Sorption of Aromatic Compounds with Copolymer Sorbent Materials Containing β-Cyclodextrin
Abstract
:1. Introduction


2. Methods
2.1. Materials
2.2. Sorption Methods
2.3. Data Analysis
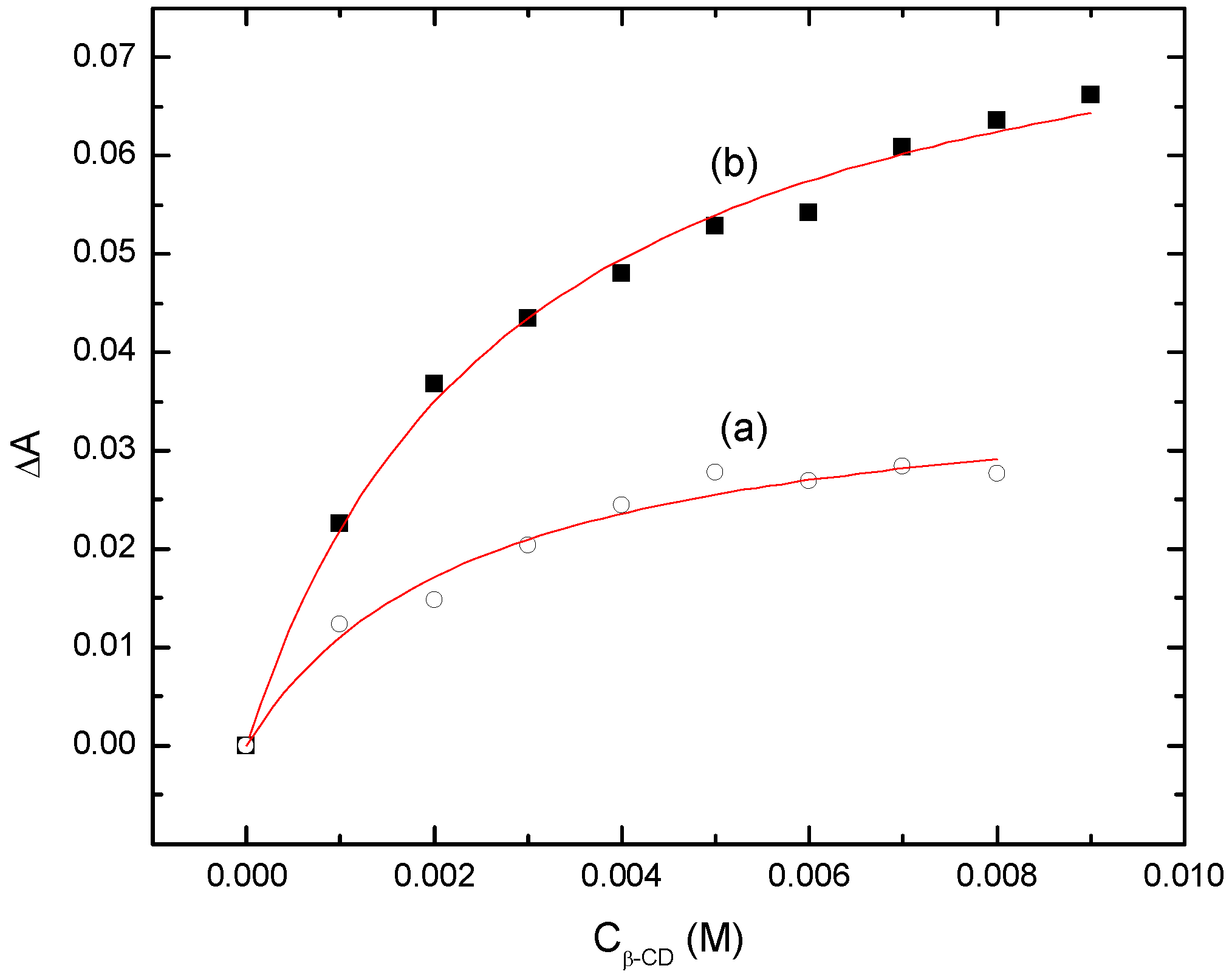
3. Results and Discussion

| 2,4 DCP | GAC | MDI-3 | CDI-3 | |
| Qm (mmol/g) | 1.17 | 0.542 | 1.14 | |
| KS (mM−1) | 656 | 444 | 391 | |
| ns | 0.619 | 1.59 | 2.00 | |
| 2,4 D | Qm (mmol/g) | 0.641 | 0.607 | 0.0394 |
| KS (mM−1) | 1.28 × 103 | 929 | 1.56 | |
| ns | 0.390 | 2.08 | 1.08 | |
| PCP | Qm (mmol/g) | 0.306 | 0.0860 | 0.0540 |
| KS (mM−1) | 51.2 | 2.17 | 24.0 | |
| ns | 0.816 | 0.717 | 1.65 |
| Sorbent Material | SA (BET) (m2/g) a | Dye Method SA (m2/g) b | Vads(m3/g) c | Qm(mmol/g) d |
|---|---|---|---|---|
| CDI-3 | 0.332 | 620 | 33.9 | 1.96 |
| MDI-3 | 2.96 | 449 | 24.6 | 1.42 |
| GAC | 951 | 641 | 35.1 | 35.1 |


| Adsorbate | Keq (L.mol−1) pH = 4.6 | Keq (L.mol−1) pH = 9.0 |
|---|---|---|
| 2,4-DCP | 245 (350 ± 23)49 (556 ± 17)49 | 350 |
| 2,4-D | 197 (63.58 ± 5.77) 50 | 410 |
| PNP | 338 (159)51 | 370 (1549)51 |

4. Conclusions
Acknowledgments
References
- Sun, Y.; Chen, J.L.; Li, A.M.; Liu, F.Q.; Zhang, Q.X. Adsorption of resorcinol and catechol from aqueous solution by aminated hypercrosslinked polymers. React. Funct. Polym. 2005, 64, 63–73. [Google Scholar] [CrossRef]
- Yin, J.; Chen, R.; Ji, Y.; Zhao, C.; Zhao, G.; Zhang, H. Adsorption of phenols by magnetic polysulfone microcapsules containing tributyl phosphate. Chem. Eng. J. 2010, 157, 466–474. [Google Scholar] [CrossRef]
- Onodera, S. Formation mechanism and chemical safety of nonintentional chemical substances present in chlorinated drinking water and wastewater. Yakugaku Zasshi 2010, 130, 1157–1174. [Google Scholar] [CrossRef] [PubMed]
- Kawakami, T.; Nishi, I.; Kishi, T.; Onodera, S. Formation of polybrominated and polychlorinated alkylphenoxyalkylphenols (PXAPAPs) during aqueous chlorination of 4-alkylphenol solutions in the presence of bromide ion. Organohalogen Compd. 2008, 70, 2344–2347. [Google Scholar]
- Macdonald, R.W.; Ikonomou, M.G.; Paton, D.W. Historical inputs of PCDDs, PCDFs, and PCBs to a British Columbia interior lake: The effect of environmental controls on pulp mill emissions. Environ. Sci. Technol. 1998, 32, 331–337. [Google Scholar] [CrossRef]
- Onodera, S.; Ogawa, M.; Yamawaki, C.; Yamagishi, K.; Suzuki, S. Production of polychlorinated phenoxyphenols (predioxins) by aqueous chlorination of organic compounds. Chemosphere 1989, 19, 675–680. [Google Scholar] [CrossRef]
- Nowak, K.M.; Miltner, A.; Gehre, M.; Schaeffer, A.; Kaestner, M. Formation and fate of bound residues from microbial biomass during 2,4-D degradation in soil. Environ. Sci. Technol. 2011, 45, 999–1006. [Google Scholar] [CrossRef] [PubMed]
- Schwartz, F.W.; Lee, E.S.; Kim, Y. Lessons from practice in the assessment and remediation of contaminated ground water. Geosci. J. 2008, 12, 97–105. [Google Scholar] [CrossRef]
- End Poverty 2015: Millennium development goals. United Nations. Available online: http://www.un.org/millenniumgoals/ (accessed on 23 August 2011).
- Wenz, G. Cyclodextrins as building blocks for supramolecular structures and functional units. Angew. Chem. Int. Ed. Engl. 1994, 33, 803–822. [Google Scholar] [CrossRef]
- Crini, G.; Bertini, S.; Torri, G.; Naggi, A.; Sforzini, D.; Vecchi, C.; Janus, L.; Lekchiri, Y.; Morcellet, M. Sorption of aromatic compounds in water using insoluble cyclodextrin polymers. J. Appl. Polym. Sci. 1998, 68, 1973–1978. [Google Scholar] [CrossRef]
- Harada, A.; Hashidzume, A.; Takashima, Y. Supramolecular Polymers, Polymeric Betains, Oligomers (Advances in Polymer Science); Abe, A., Albertsson, A.-C., Duncan, R., Dušek, K., de Jeu, W.H., Joanny, J.-F., Kausch, H.-H., Kobayashi, S., Lee, K.-S., Leibler, L., Eds.; Springer Berlin Heidelberg: New York, NY, USA, 2006; volume 201, pp. 1–44. [Google Scholar]
- Mohamed, M.H.; Wilson, L.D.; Headley, J.V.; Peru, K.M. Novel materials for environmental remediation of tailing pond waters containing naphthenic acids. Process Saf. Environ. Prot. 2008, 86, 237–243. [Google Scholar] [CrossRef]
- Mohamed, M.H.; Wilson, L.D.; Headley, J.V.; Peru, K.M. Investigation of the sorption properties of β-Cyclodextrin based polyurethanes with phenolic dyes and naphthenates. J. Colloid Interface Sci. 2011, 356, 217–226. [Google Scholar] [CrossRef]
- Crini, G. Recent developments in polysaccharide-based materials used as adsorbents in wastewater treatment. Prog. Polym. Sci. 2005, 30, 38–70. [Google Scholar] [CrossRef]
- van de Manakker, F.; Vermonden, T.; van Nostrum, C.F.; Hennink, W.E. Cyclodextrin-based polymeric materials: Synthesis, properties, and pharmaceutical/biomedical applications. Biomacromolecules 2009, 10, 3157–3175. [Google Scholar] [CrossRef] [PubMed]
- Orprecio, R.; Evans, C.H. Polymer-immobilized cyclodextrin trapping of model organic pollutants in flowing water streams. J. Appl. Polym. Sci. 2003, 90, 2103–2110. [Google Scholar] [CrossRef]
- Janus, L.; Crini, G.; El-Rezzi, V.; Morcellet, M.; Cambiaghi, A.; Torri, G.; Naggi, A.; Vecchi, C. New sorbents containing β-cyclodextrin. Synthesis, characterization, and sorption properties. React. Funct. Polym. 1999, 42, 173–180. [Google Scholar] [CrossRef]
- Topchieva, I.N.; Kalashnikov, F.A.; Spiridonov, V.V.; Mel’nikov, A.B.; Polushina, G.E.; Lezov, A.V. Cyclodextrin-containing nanotubes as a base for designing materials with a new architecture. Dokl. Chem. 2003, 390, 115–118. [Google Scholar] [CrossRef]
- Wintgens, V.; Amiel, C. Surface plasmon resonance study of the interaction of a beta-cyclodextrin polymer and hydrophobically modified poly(N-isopropylacrylamide). Langmuir. 2005, 21, 11455–11461. [Google Scholar] [CrossRef] [PubMed]
- Vélaz, I.; Isasi, J.; Sánchez, M.; Uzqueda, M.; Ponchel, G. Structural characteristics of some soluble and insoluble β-cyclodextrin polymers. J. Incl. Phenom. Macrocycl. Chem. 2007, 57, 65–68. [Google Scholar] [CrossRef]
- Bender, M.L.; Komiyama, M. Cyclodextrin Chemistry; Springer-Verlag: New York, NY, USA, 1978. [Google Scholar]
- Inoue, Y.; Harkushi, T.; Liu, Y.; Tong, L.H.; Shen, B.J.; Jin, D.S. Thermodynamics of molecular recognition by cyclodextrins. 1. Calorimetric titration of inclusion complexation of naphthalenesulfonates with alpha-, beta-, and gamma-cyclodextrins: Enthalpy-entropy compensation. J. Am. Chem. Soc. 1993, 115, 475–481. [Google Scholar] [CrossRef]
- Polarz, S.; Antonietti, M. Porous materials via nanocasting procedures: Innovative materials and learning about soft-matter organization. Chem. Commun. 2002, 22, 2593–2604. [Google Scholar] [CrossRef]
- Asouhidou, D.D.; Triantafyllidis, K.S.; Lazaridis, N.K.; Matis, K.A. Adsorption of Remazol Red 3BS from aqueous solutions using APTES-and cyclodextrin-modified HMS-type mesoporous silicas. Colloids Surf. A 2009, 346, 83–90. [Google Scholar] [CrossRef]
- Shiu, W.; Ma, K.; Varhanickova, D.; Mackay, D. Chlorophenols and alkylphenols: A review and correlation of environmentally relevant properties and fate in an evaluative environment. Chemosphere 1994, 29, 1155–1224. [Google Scholar] [CrossRef]
- Mohamed, M.H.; Wilson, L.D.; Headley, J.V. Determination of host-guest binding sites for β-cyclodextrin urethane copolymers. Carbohydr. Polym. 2010, 80, 186–196. [Google Scholar] [CrossRef]
- Kleine, R.; Hamera, P. Use of immobilized β-cyclodextrin for decontamination of water. CLB Chem. Labor und Biotech. 1997, 48, 335–338. [Google Scholar]
- Bibby, A.; Mercier, L. Adsorption and separation of water-soluble aromatic molecules by cyclodextrin-functionalized meosporous silica. Green Chem. 2003, 5, 15–19. [Google Scholar] [CrossRef]
- Ma, M.; Li, D. New organic nanoporous polymers and their inclusion complexes. Chem. Mat. 1999, 11, 872–874. [Google Scholar] [CrossRef]
- Mamba, B.B.; Krause, R.W.; Malefetse, T.J.; Nxumalo, E.N. Monofunctionalized cyclodextrin polymers for the removal of organic pollutants from water. Environ. Chem. Lett. 2007, 5, 79–84. [Google Scholar]
- Mhlanga, S.D.; Mamba, B.B.; Krause, R.W.; Malefetse, T.J. Removal of organic contaminants from water using nanosponge cyclodextrin polyurethanes. J. Chem. Tech. Biotech. 2007, 82, 382–388. [Google Scholar]
- Mohamed, M.H.; Wilson, L.D.; Headley, J.V. Design and characterization of novel β-cyclodextrin based copolymer materials. Carbohydr. Res. 2011, 364, 219–229. [Google Scholar] [CrossRef]
- Wilson, L.D.; Mohamed, M.H.; Headley, J.V. Surface area and pore structure properties of β-cyclodextrin-urethane copolymer materials. J. Colloid Interface Sci. 2011, 357, 215–222. [Google Scholar] [CrossRef] [PubMed]
- Sips, R. On the Structure of a Catalyst Surface. J. Chem. Phys. 1948, 16, 490–495. [Google Scholar] [CrossRef]
- Giles, C.H.; D’Silva, A.P.; Tridevi, A.S. Use of p-nitrophenol for specific surface measurement of granular solids and fibres. J. Appl. Chem. 1970, 20, 37–41. [Google Scholar] [CrossRef]
- Pratt, D.Y.; Wilson, L.D.; Kozinski, J.A.; Morhart, A.M. Preparation and sorption studies of β-cyclodextrin/epicholohydrin copolymers. J. Appl. Polym. Sci. 2010, 116, 2982–2989. [Google Scholar]
- Pan, J.; Zou, X.; Wang, X.; Guan, W.; Li, C.; Yan, Y.; Wu, X. Adsorptive removal of 2,4-dichlorophenol and 2,6-dichlorophenol from aqueous solution by β-cyclodextrin/attapulgite composites: Equilibrium, kinetics and thermodynamics. Chem. Eng. J. 2011, 166, 40–48. [Google Scholar] [CrossRef]
- Steed, J.W.; Atwood, J.L. Supramolecular Chemistry, 2nd ed.; John Wiley & Sons, Ltd.: West Sussex, UK, 2009. [Google Scholar]
- Li, N.; Mei, Z.; Ding, S. 2,4-Dichlorophenol sorption on cyclodextrin polymers. J. Incl. Phenom.Macrocycl. Chem. 2010, 68, 123–129. [Google Scholar] [CrossRef]
- Crini, G.; Janus, L.; Morcellet, M.; Torri, G.; Naggi, A.; Bertini, S.; Vecchi, C. Macroporous polyamines containing cyclodextrin: Synthesis, characterization, and sorption prperties. J. Appl. Polym. Sci. 1998, 69, 1419–1427. [Google Scholar] [CrossRef]
- Carbonnier, B.; Janus, L.; Lekchiri, Y.; Morcellet, M. Coating of porous silica beads by in situ polymerization/crosslinking of 2-hydroxypropyl β- cyclodextrin for reversed-phase high performance liquid chromatography applications. J. Appl. Polym. Sci. 2004, 91, 1419–1426. [Google Scholar] [CrossRef]
- Martel, B.; Le Thuaut, P.; Bertini, S.; Crini, G.; Bacquet, M.; Torri, G.; Morcellet, M. Grafting of cyclodextrins onto polypropylene nonwoven fabrics for the manufacture of reactive filters. III. Study of the sorption properties. J. Appl. Polym. Sci. 2002, 85, 1771–1778. [Google Scholar] [CrossRef]
- Paleologou, M.; Li, S.; Purdy, W.C. Liquid chromatographic retention behavior and separation of chlorophenols on a β-cyclodextrin bonded-phase column, part I. Monoaromatic chlorophenols: Retention behavior. J. Chromatogr. Sci. 1990, 28, 311–318. [Google Scholar] [PubMed]
- Hanna, K.; de Brauer, C.; Germain, P. Cyclodextrin -enhanced solubilization of pentachlorophenol in water. J. Environ. Manag. 2004, 71, 1–8. [Google Scholar] [CrossRef]
- Wang, X.; Brusseau, M.L. Simultaneous complexation of organic compounds and heavy metals by a modified cyclodextrin. Environ. Sci. Technol. 1995, 29, 2632–2635. [Google Scholar] [CrossRef] [PubMed]
- Phan, T.N.T.; Bacquet, M.; Morcellet, M. The removal of organic pollutants from water using new silica-supported β-cyclodextrin derivatives. React. Funct. Polym. 2002, 52, 117–125. [Google Scholar] [CrossRef]
- Fenyvesi, E.; Szeman, J.; Szejtli, J. Extraction of PAHs and pesticides from contaminated soils with aqueous CD solutions. J. Inclusion Phenom. Mol. Recognit. Chem. 1996, 25, 229–232. [Google Scholar] [CrossRef]
- Leyva, E.; Moctezuma, E.; Strouse, J.; Garcia-Garibay, M.A. Spectrometric and 2D NMR studies on the complexation of chlorophenols with cyclodextrins. J. Incl. Phenom. Macrocycl. Chem. 2001, 39, 41–46. [Google Scholar] [CrossRef]
- Almansa-Lopez, E.; Bosque-Sendra, J.M.; Cuadros-Rodriguez, L.; Garcia-Campana, A.M.; Aaron, J.J. Applying non-parametric statistical methods to the classical measurements of inclusion complex binding constants. Anal. Bioanal.Chem. 2003, 375, 414–423. [Google Scholar] [PubMed]
- Eftink, M.R.; Harrison, J.C. Calorimetric Studies of p-Nitrophenol Binding to α- and β-Cyclodextrin. Bioorg. Chem. 1981, 10, 388–398. [Google Scholar]
- Fan, Y.; Feng, Y.-Q.; Da, S.-L.; Feng, P.-Y. Evaluation of β-cyclodextrin bonded silica as a selective sorbent for the solid-phase extraction of 4-nitrophenol and 2,4-dinitrophenol. Anal. Sci. 2003, 19, 709–714. [Google Scholar]
- Gerasimowicz, W.; Wojcik, J. Azo dye-α-cyclodextrin adduct formation. Bioorg. Chem. 1982, 11, 420–427. [Google Scholar]
- Torrents, A.; Jayasundera, S. Effects of sorbent properties on sorption of agrochemical. In Proceedings of the 211th ACS National Meeting, New Orleans, LA, USA, 24–28 March 1996. Book of Abstracts, INOR-357.
- Sevillano, X.; Isasi, J.R.; Penas, F.J. Feasibility study of degradation of phenol in a fluidized bed bioreactor with a cyclodextrin polymer as biofilm carrier. Biodegradation 2008, 19, 589–597. [Google Scholar] [CrossRef] [PubMed]
- Tardioli, P.W.; Zanin, G.M.; de Moraes, F.F. Production of cyclodextrins in a fluidized-bed reactor using cyclodextrin -glycosyl-transferase. Appl. Biochem. Biotech. 2000, 84-86, 1003–1019. [Google Scholar] [CrossRef]
© 2011 by the authors; licensee MDPI, Basel, Switzerland. This article is an open access article distributed under the terms and conditions of the Creative Commons Attribution license (http://creativecommons.org/licenses/by/3.0/).
Share and Cite
Wilson, L.D.; Mohamed, M.H.; Berhaut, C.L. Sorption of Aromatic Compounds with Copolymer Sorbent Materials Containing β-Cyclodextrin. Materials 2011, 4, 1528-1542. https://doi.org/10.3390/ma4091528
Wilson LD, Mohamed MH, Berhaut CL. Sorption of Aromatic Compounds with Copolymer Sorbent Materials Containing β-Cyclodextrin. Materials. 2011; 4(9):1528-1542. https://doi.org/10.3390/ma4091528
Chicago/Turabian StyleWilson, Lee D., Mohamed H. Mohamed, and Christopher L. Berhaut. 2011. "Sorption of Aromatic Compounds with Copolymer Sorbent Materials Containing β-Cyclodextrin" Materials 4, no. 9: 1528-1542. https://doi.org/10.3390/ma4091528
APA StyleWilson, L. D., Mohamed, M. H., & Berhaut, C. L. (2011). Sorption of Aromatic Compounds with Copolymer Sorbent Materials Containing β-Cyclodextrin. Materials, 4(9), 1528-1542. https://doi.org/10.3390/ma4091528
