Next Article in Journal
Single Voxel Proton Spectroscopy for Neurofeedback at 7 Tesla
Next Article in Special Issue
Chitin-Methacrylate: Preparation, Characterization and Hydrogel Formation
Previous Article in Journal / Special Issue
Sorption of Aromatic Compounds with Copolymer Sorbent Materials Containing β-Cyclodextrin
 
 
Font Type:
Arial Georgia Verdana
Font Size:
Aa Aa Aa
Line Spacing:
Column Width:
Background:
Short Note

Two Types of Inulin Fructotransferases

by
Kazutomo Haraguchi
National Food Research Institute, 2-1-12 Kannondai, Tsukuba-shi, Ibaraki 305-8642, Japan
Materials 2011, 4(9), 1543-1547; https://doi.org/10.3390/ma4091543
Submission received: 28 June 2011 / Revised: 25 August 2011 / Accepted: 31 August 2011 / Published: 7 September 2011
(This article belongs to the Special Issue Carbohydrate Polymers)

Abstract

:
Inulin is a polysaccharide contained in chicory, dahlia, and other plants. An oligosaccharide DFA III is produced from inulin using a microbial enzyme, inulin fructotransferase (DFA III producing) [EC 2.4.1.93]. The oligosaccharide DFAIII has a unique functionality that accelerates the assimilation of minerals (Ca, Fe, and so on) from intestines. Therefore, it has a potential for the improvement of osteoporosis and iron deficiency anemia. The production of DFA III was industrialized in 2004 in Japan. Another oligosaccharide DFA I is produced from inulin by another enzyme, inulin fructotransferase (DFA I producing) [EC 2.4.1.200]. The oligosaccharide DFA I has half the sweetness of sucrose. The genes of the two enzymes were cloned and the nucleotide sequences were determined. The deduced amino acid sequences of two enzyme genes had a homology of 49.8%.

1. Introduction

In Japan, 600 thousand tons of sucrose is produced annually, from sugar beet produced in Hokkaido. Therefore, the beet sugar production is an important industry of Hokkaido region, even though the consumption of sucrose in Japan is gradually decreasing. Therefore, the introduction of an alternative crop of the sugar beet is expected. In European countries (Germany, Belgium, and so on), a crop chicory has been introduced as an alternative to the sugar beet. The chicory root contains a polysaccharide inulin. The inulin is a polysaccharide contained in chicory, dahlia, Jerusalem artichoke and other plants. The chemical structure of inulin is a β-2, 1 linked fructose polymer terminated with a sucrose residue. In European countries, inulin is used in various foods as a low calorie dietary fiber, for example a component of chocolate.
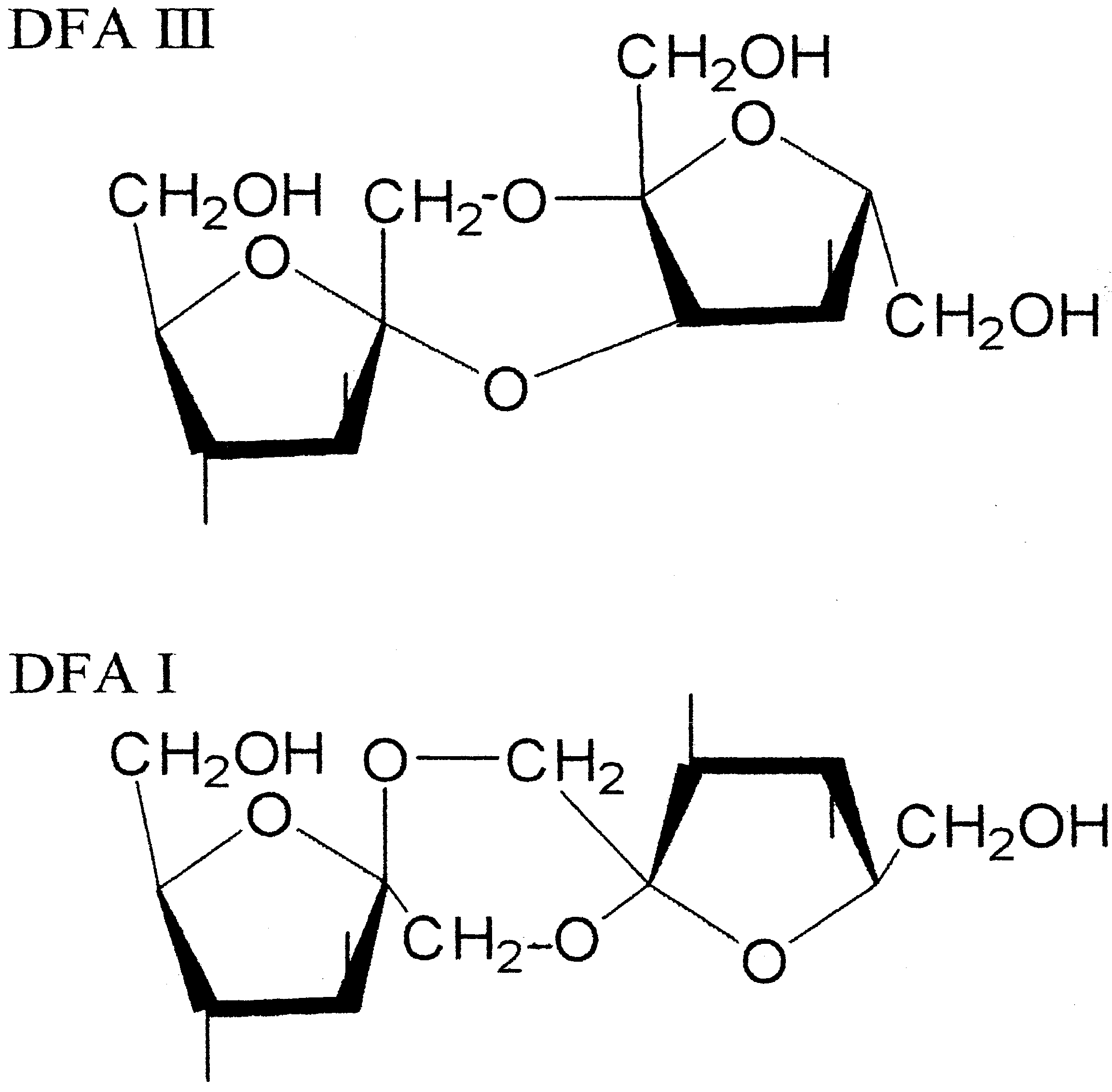
Using the microbial enzymes, various oligosaccharides are produced from inulin. These oligosaccharides have potential of an application, for example, as a food, a pharmaceutical product, and so on. There are two unique oligosaccharides, DFA III and DFA I, produced from inulin using a microbial enzyme. In DFA III and DFA I, two molecules of fructose are linked to each other at two portions. In this article, we describe two types of enzymes, inulin fructotransferase (DFA III producing), and inulin fructotransferase (DFA I producing). Figure 1 shows the chemical structures of the oligosaccharides DFA III and DFA I.
Figure 1. The chemical structures of oligosaccharides DFA III and DFA I.
Figure 1. The chemical structures of oligosaccharides DFA III and DFA I.
Materials 04 01543 g001

2. Inulin Fructotransferase (DFA III producing)

In studies of inulin decomposing enzymes, inulinases [EC 3.2.1.7] from molds and yeast have been reported in the past. Afterwards, Uchiyama et al. (1973) discovered a new type of inulin decomposing enzyme produced by Arthrobacter ureafaciens [1]. The enzyme converted inulin into an oligosaccharide DFA III (di-D-fructofuranose 1,2’:2, 3’ dianhydride) and a small amount of other oligosaccharides. This DFA III producing enzyme was designated as inulin fructotransferase (DFA III producing) [EC 2.4.1.93]. The enzyme was produced in a culture supernatant of the A. uereafaciens. The enzyme was purified with an ammonium sulfate precipitation, an acetone precipitation, and a Sephadex G-100 chromatography. The purity of the enzyme was ascertained by a SDS-PAGE. The enzyme showed maximum activity at pH 6.0 and 50 °C and it was stable up to 50 °C. The molecular mass of this enzyme was estimated to be 80 k Da by a gel filtration.
Subsequently, there have been several reports on the inulin fructotransferase (DFA III producing) from Arthrobacter species [2,3,4,5]. Kang et al. reported on the enzyme from Bacillus sp. [6]. We reported on the enzyme from Leifsonia sp. [7]. In many of the DFA III producing enzymes [2,3,4,5,7], the residual oligosaccharides (minor products) are the GF3 (nystose) and GF4 (fructosyl nystose). Therefore, for these enzymes, the smallest substrate for the enzymes is estimated to be GF5.
Sakurai et al. (1997) reported on the cloning of the gene of inulin fructotransferase (DFA III producing) from Arthrobacter sp. H65-7, for the first time [8]. The genomic library of the Arthrobacter H65-7 DNA was screened by colony hybridization and a positive clone was obtained. The cloned 2.2 k bp EcoR I-Kpn I fragment contained the gene of the enzyme of Arthrobacter sp. H65-7. The gene had an open reading frame of 1314 base pairs, and that encoded a signal peptide of 32 amino acids. Therefore, it was estimated that the mature enzyme protein is composed of 405 amino acids.
We reported on the cloning of the gene of inulin fructotransferase (DFA III producing) from Arthrobacter globiformis C11-1 [9]. The gene contained a 1353 base pairs open reading frame, and it encoded a signal peptide of 40 amino acids and the mature enzyme protein of 410 amino acids. The deduced amino acid sequence of the enzyme of A. globiformis C11-1 had a homology of 74% with that of Arthrobacter sp. H65-7.
The DFA III is a non-reducing sugar; mp 164 °C. The DFA III has half the sweetness of sucrose. It was found (2000) that the DFA III accelerates the assimilation of minerals (Ca, Fe, and so on) from intestines [10]. Therefore, the DFA III has a potential for the improvement of osteoporosis and iron deficiency anemia. The production of DFA III was industrialized, using the inulin fructotransferase (DFA III producing) from Arthrobacter sp. H65-7 [4]. The sales of the DFA III containing products on the market started in 2004 in Japan. Now DFA III containing commodities are on sale in drugstores and convenience stores in Japan.

3. Inulin Fructotransferase (DFA I producing)

We (1989) reported on another type of inulin decomposing enzyme produced by Arthrobacter globiformis S14-3, for the first time [11]. The enzyme converted inulin into an oligosaccharide DFA I (di-D-fructofuranose 1,2’:2,1’ dianhydride) and a small amount of the other oligosaccharides. This enzyme was designated as inulin fructotransferase (DFA I producing) [EC 2.4.1.200]. This enzyme is produced in a culture supernatant of A. globiformis S14-3. The enzyme was purified by DEAE-Toyopearl chromatography performed in triplicate. The purity was ascertained by a SDS-PAGE. The purified enzyme showed maximum activity at pH 6.0 and 40 °C, and it was stable up to 70 °C at pH 6.0. The molecular mass of the enzyme was estimated as 39 kDa by a SDS-PAGE and 46 kDa by a gel filtration. Therefore, the enzyme of A. globiformis S14-3 was considered to be a monomer.
Afterwards, there have been a few reports on inulin fructotransferase (DFA I producing) from Arthrobacter species [12,13]. Kushibe et al. reported on the enzyme from Streptomyces sp. [14].
We (1995) reported on the cloning of inulin fructotransferase (DFA I producing) gene from Arthrobacter globiformis S14-3, for the first time [15]. The genomic library of the A. globiformis S14-3 was screened by colony hybridization and a positive clone was obtained. The cloned 1.5 k bp Sph I fragment contained the gene of the enzyme from A. globiformis S14-3. The cloned gene had an 1182 bp open reading frame, and it encoded 392 amino acid residues. As mentioned previously, this enzyme is an extra-cellular enzyme produced in the culture supernatant of the microorganism. Though, this enzyme gene has not a structure for a signal peptide. The deduced amino acid sequence of the enzyme had a homology of 49.8% with that of the inulin fructotransferase (DFA III producing) from Arthrobacter sp. H65-7 [8]. This result suggests that the inulin fructotransferase (DFA III producing) and inulin fructotransferase (DFA I) have the same genetic origin. Figure 2 shows the comparison of deduced amino acid sequences of the enzymes [8,9,15].
The oligosaccharide DFA I is a non-reducing sugar; mp. 163 °C. It has half the sweetness of sucrose, therefore it has a potential for a new type of a low calorie sweetener.
Figure 2. The comparison of deduced amino acid sequences of inulin fructotransferases.
Figure 2. The comparison of deduced amino acid sequences of inulin fructotransferases.
Materials 04 01543 g002
C11-1: Deduced sequence of inulin fructotranferase (DFA III producing) from Arthrobacter globiformis C11-1; H65-7: deduced sequence of inulin fructotransferase (DFA III producing) from Arthrobacter sp. H65-7; S14-3: deduced sequence of inulin fructotransferase (DFA I-producing) from Arthrobacter globiformis S14-3.

References

  1. Uchiyama, T.; Niwa, S.; Tanaka, K. Purification and properties of Arthrobacter ureafaciens inulase II. Biochim. Biophys. Acta 1973, 315, 412–420. [Google Scholar] [CrossRef]
  2. Haraguchi, K.; Kishimoto, M.; Seki, K.; Hayashi, K.; Kobayashi, S.; Kainuma, K. Purification and properties of inulin fructotransferase (depolymerizing) from Arthrobacter globiformis C11-1. Agric. Biol. Chem. 1988, 52, 291–292. [Google Scholar] [CrossRef]
  3. Kawamura, M.; Takahashi, S.; Uchiyama, T. Purification and some properties of inulin fructotransferase (depolymerizing) from Arthrobacter ilicis. Agric. Biol. Chem. 1988, 52, 3209–3210. [Google Scholar] [CrossRef]
  4. Yokota, A.; Enomoto, K.; Tomita, F. Purification and properties of an inulin fructotransferase (depolymerizing) from Arthrobacter sp. H65-7. J. Ferment. Bioeng. 1991, 72, 262–265. [Google Scholar] [CrossRef]
  5. Haraguchi, K.; Yoshida, M.; Ohtsubo, K. Thermostable inulin fructotransferase (DFA III-producing) from Arthrobacter sp. L68-1. Carbohydr. Polym. 2005, 59, 411–416. [Google Scholar] [CrossRef]
  6. Kang, S.; Kim, W.; Chang, Y.; Kim, S. Purification and properties of inulin fructotransferase (DFA III-producing) from Bacillus sp. snu-7. Biosci. Biotech. Biochem. 1998, 62, 628–631. [Google Scholar]
  7. Haraguchi, K.; Yoshida, M.; Ohtsubo, K. Inulin fructotransferase (DFA III-producing) from Leifsonia sp. T88-4. Carbohydr. Polym. 2006, 66, 75–80. [Google Scholar] [CrossRef]
  8. Sakurai, H.; Yokota, A.; Tomita, F. Molecular cloning of an inulin fructotransfarase (depolymerizing) gene from Arthrobacter sp. H65-7 and its expression in Escherichia coli. Biosci. Biotech. Biochem. 1997, 61, 87–92. [Google Scholar] [CrossRef]
  9. Haraguchi, K.; Mori, S.; Hayashi, K. Cloning of inulin fructotransferase (DFA III-producing) gene from Arthrobacter globiformis C11-1. J. Biosci. Bioeng. 2000, 89, 590–595. [Google Scholar] [CrossRef] [PubMed]
  10. Saito, K.; Tomita, F. Difructose anhydrides: Their mass production and physiological functions. Biosci. Biotech. Biochem. 2000, 64, 1321–1327. [Google Scholar] [CrossRef]
  11. Seki, K.; Haraguchi, K.; Kishimoto, M.; Kobayashi, S.; Kainuma, K. Purification and properties of a novel inulin fructotransferase (DFA I-producing) from Arthrobacter globiformis S14-3. Agric. Biol. Chem. 1989, 53, 2089–2094. [Google Scholar] [CrossRef]
  12. Ueda, M.; Sashida, R.; Morimoto, Y.; Ohkishi, H. Purification of inulin fructotransferase (DFA I-producing) from Arthrobacter sp. MCI-2493 and production of DFA I from inulin by the enzyme. Biosci. Biotech. Biochem. 1994, 58, 574–575. [Google Scholar] [CrossRef]
  13. Haraguchi, K.; Yoshida, M.; Ohtsubo, K. Purification and properties of a heat-stable inulin fructotransferase from Arthrobacter ureafaciens. Biotech. Lett. 2003, 25, 1049–1053. [Google Scholar] [CrossRef]
  14. Kushibe, S.; Sashida, R.; Morimoto, Y.; Ohkishi, H. Purification and characterization of a di-D-fructofuranose 2’, 1: 2, 1’-dianhydride producing enzyme from Streptomyces sp. MCI-2524. Biosci. Biotech. Biochem. 1993, 57, 2054–2058. [Google Scholar] [CrossRef]
  15. Haraguchi, K.; Seki, K.; Kishimoto, M.; Nagata, T.; Kasumi, T.; Kainuma, K.; Kobayashi, S. Cloning and nucleotide sequence of the inulin fructotransferase (DFA I-producing) gene of Arthrobacter globiformis S14-3. Biosci. Biotech. Biochem. 1995, 59, 1809–1812. [Google Scholar] [CrossRef]

Share and Cite

MDPI and ACS Style

Haraguchi, K. Two Types of Inulin Fructotransferases. Materials 2011, 4, 1543-1547. https://doi.org/10.3390/ma4091543

AMA Style

Haraguchi K. Two Types of Inulin Fructotransferases. Materials. 2011; 4(9):1543-1547. https://doi.org/10.3390/ma4091543

Chicago/Turabian Style

Haraguchi, Kazutomo. 2011. "Two Types of Inulin Fructotransferases" Materials 4, no. 9: 1543-1547. https://doi.org/10.3390/ma4091543

APA Style

Haraguchi, K. (2011). Two Types of Inulin Fructotransferases. Materials, 4(9), 1543-1547. https://doi.org/10.3390/ma4091543

Article Metrics

Back to TopTop