Antiviral Activity of Metal-Containing Polymers—Organotin and Cisplatin-Like Polymers
Abstract
:
1. Introduction
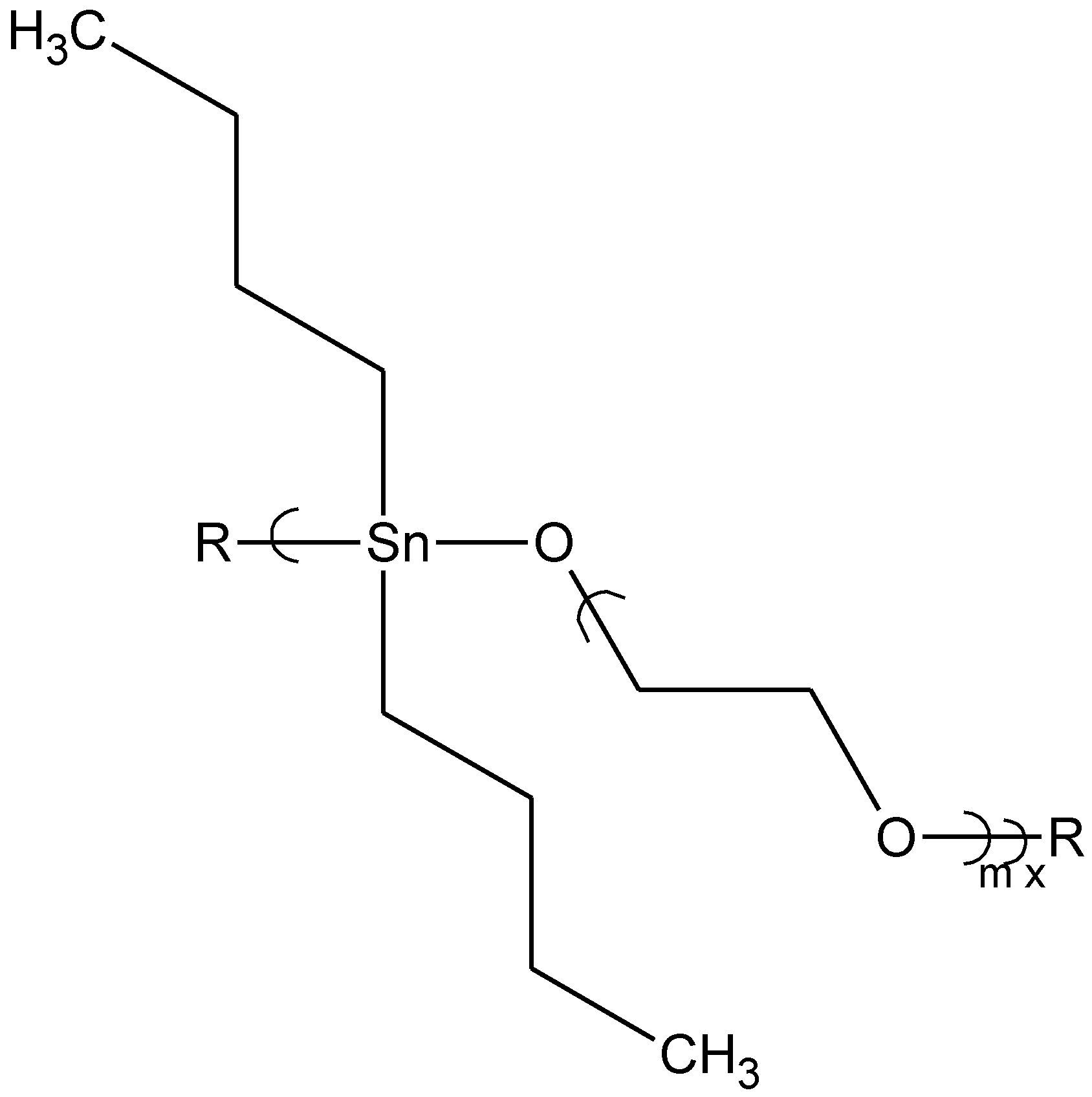
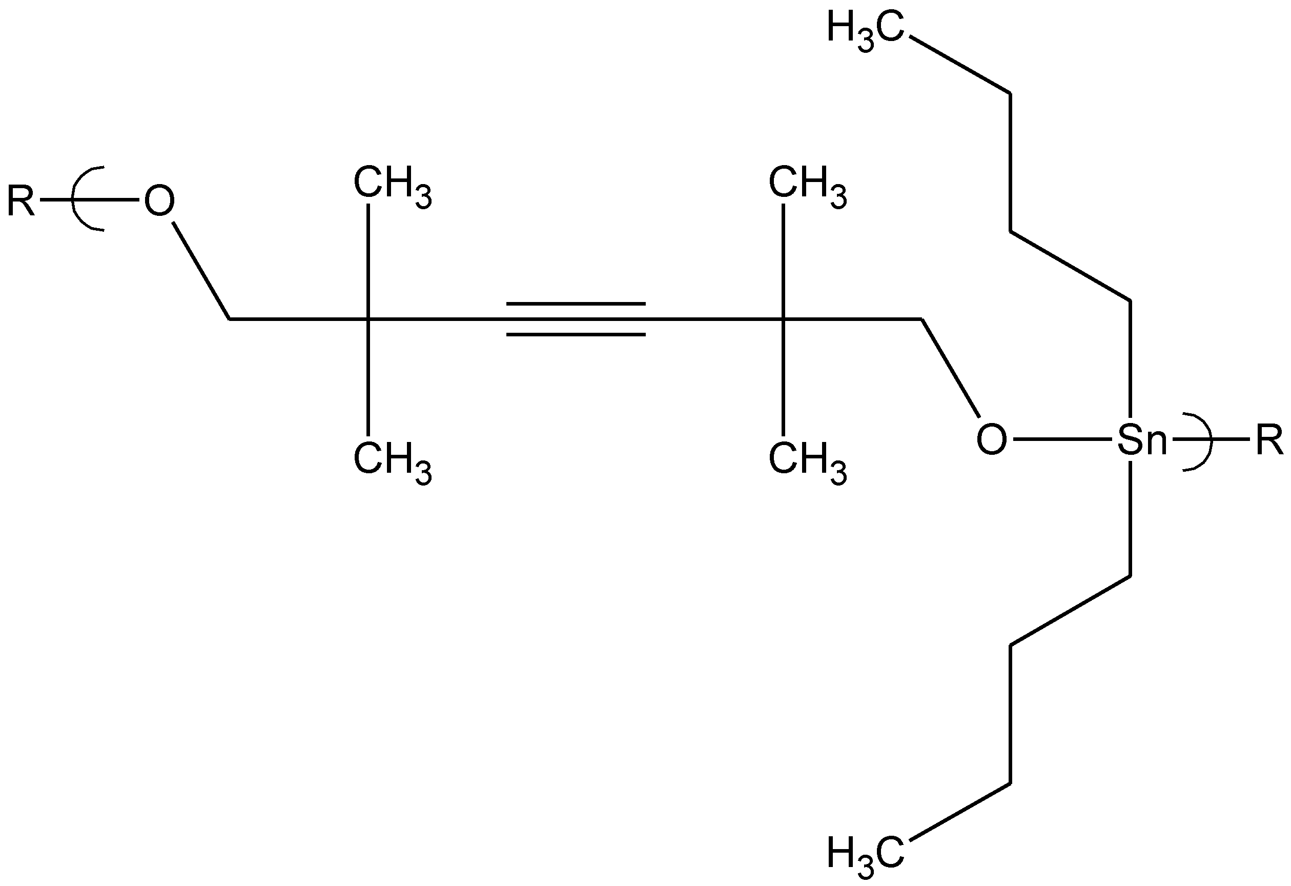
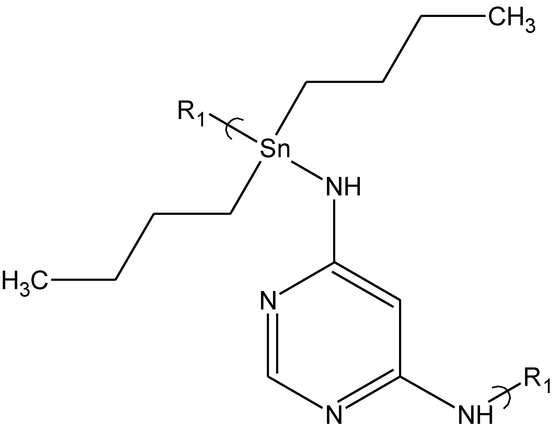
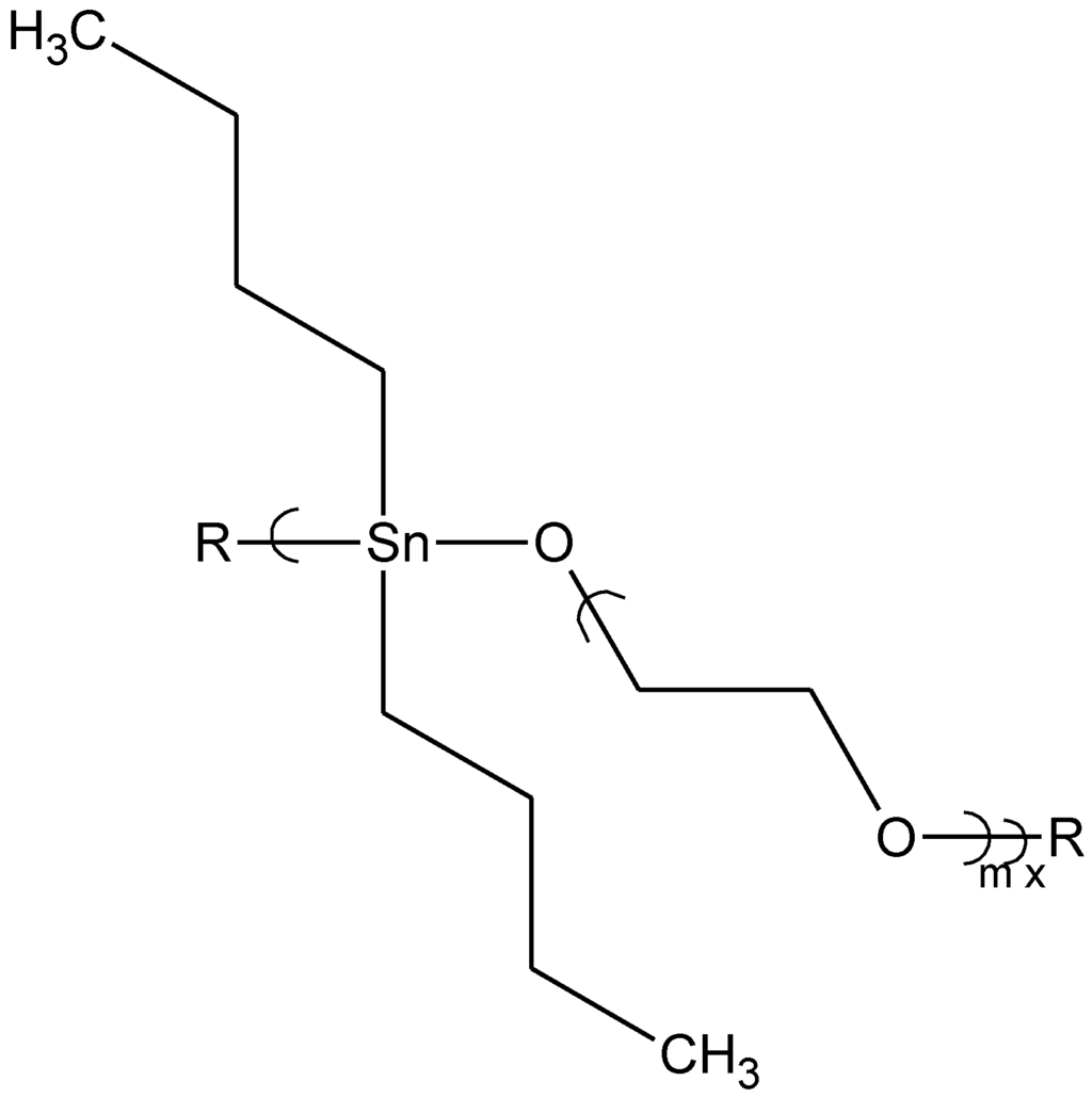
2. Results and Discussion
2.2. Acyclovir


3. Experimental Section
3.1. Synthesis of Bioactive Materials


3.3. Vaccinia and HSV-1 Plaque Assays
4. Conclusions
References
- Takimoto, C.H.; Wright, J.; Arbuck, S.G. Clinical applications of the camptothecins. Biochim. Biophys. Acta 1998, 1400, 107–119. [Google Scholar] [CrossRef] [PubMed]
- Gasperi-Campani, A.; Roncuzzi, L.; Zoli, W.; Amadori, D. Saporin 6 and lonidamine in primary cell cultures from human breast carcinomas: a synergistic effect. Anticancer Drug Des. 1997, 12, 91–98. [Google Scholar] [PubMed]
- Alama, A.; Tasso, B.; Novelli, F.; Sparatore, F. Organometallic compounds in oncology: implications of novel organotins as antitumor agents. Drug Discov. Today 2009, 14, 500–508. [Google Scholar] [CrossRef] [PubMed]
- Arakawa, Y. Biological activity of tin and immunity. Sangyo Eiseigaku Zasshi 1997, 39, 1–20. [Google Scholar] [PubMed]
- Abdellah, M.A.; Hadjikakou, S.K.; Hadjiliadis, N.; Kubicki, M.; Bakas, T.; Kourkoumelis, N.; Simos, Y.V.; Karkabounas, S.; Barsan, M.M.; Butler, I.S. Synthesis, Characterization, and Biological Studies of Organotin(IV) Derivatives with o- or p-hydroxybenzoic Acids. Bioinorg. Chem. Appl. 2009, 2009, 542979:1–542979:12. [Google Scholar]
- Bara, A.; Socaciu, C.; Silvestru, C.; Haiduc, I. Antitumor organometallics. I. Activity of some diphenyltin (IV) and diphenylantimony (III) derivatives on in vitro and in vivo Ehrlich ascites tumor. Anticancer Res. 1991, 11, 1651–1655. [Google Scholar] [PubMed]
- Alama, A.; Viale, M.; Cilli, M.; Bruzzo, C.; Novelli, F.; Tasso, B.; Sparatore, F. In vitro cytotoxic activity of tri-n-butyltin(IV)lupinylsulfide hydrogen fumarate (IST-FS 35) and preliminary antitumor activity in vivo. Invest. New Drug. 2009, 27, 124–130. [Google Scholar] [CrossRef]
- Barbieri, F.; Sparatore, F.; Cagnoli, M.; Bruzzo, C.; Novelli, F.; Alama, A. Antiproliferative activity and interactions with cell-cycle related proteins of the organotin compound triethyltin(IV)lupinylsulfide hydrochloride. Chem. Biol. Interact 2001, 134, 27–39. [Google Scholar] [CrossRef] [PubMed]
- Barbieri, F.; Viale, M.; Sparatore, F.; Favre, A.; Cagnoli, M.; Bruzzo, C.; Novelli, F.; Alama, A. Cytotoxicity in vitro and preliminary antitumor activity in vivo of a novel organotin compound. Anticancer Res. 2000, 20, 977–980. [Google Scholar] [PubMed]
- Barbieri, F.; Viale, M.; Sparatore, F.; Schettini, G.; Favre, A.; Bruzzo, C.; Novelli, F.; Alama, A. Antitumor activity of a new orally active organotin compound: A preliminary study in murine tumor models. Anticancer Drugs 2002, 13, 599–604. [Google Scholar] [CrossRef] [PubMed]
- Barot, G.; Shahi, K.R.; Roner, M.R.; Carraher, C.E. Synthesis, structural characterization, and ability to inhibit cancer growth of a series of organotin poly(ethylene glycols). J. Inorg. Organomet. Polym. Mater. 2007, 17, 595–603. [Google Scholar] [CrossRef]
- Barot, G.; Shahi, K.R.; Roner, M.R.; Carraher, C.E. Synthesis, anomalous fiber formation, and preliminary anticancer study of the organotin polyether derived from 2-butyne-1,4-diol. J. Polym. Mater. 2006, 23, 423–436. [Google Scholar]
- Carraher, C.E.; Barot, G.; Battin, A. Reactions Between the Matrix and Ion Fragments Created from the MALDI MS of Organotin-Containing Polymers. J. Polym. Mater. 2009, 26, 17–31. [Google Scholar]
- Carraher, C.E.; Roner, M.R.; Shahi, K.; Ashida, Y.; Barot, G. Synthesis and initial cell line results of organotin polyethers containing diethylstilbestrol. J. Inorg. Organomet. Polym. Mater. 2008, 18, 180–188. [Google Scholar] [CrossRef]
- Chasapis, C.T.; Hadjikakou, S.K.; Garoufis, A.; Hadjiliads, N.; Bakas, T.; Kubicki, M.; Ming, Y. Organotin(IV) derivatives of L-Cysteine and their in vitro anti-tumor properties. Bioinorg. Chem. Appl. 2004, 2, 43–54. [Google Scholar] [CrossRef]
- Choudhuri, S.K.; Das Dutta, S.; Chatterjee, R.; Chowdhury, J.R. Antitumor activity of some organotin complexes of hydroxamic acids derived from dibasic carboxylic acid. Chemotherapy 1991, 37, 122–127. [Google Scholar] [CrossRef] [PubMed]
- Crowe, A.J.; Smith, P.J.; Cardin, C.J.; Parge, H.E.; Smith, F.E. Possible pre-dissociation of diorganotin dihalide complexes: relationship between antitumour activity and structure. Cancer Lett. 1984, 24, 45–48. [Google Scholar] [CrossRef] [PubMed]
- Gielen, M.; Kayser, F.; Zhidkova, O.B.; Kampel, V.T.; Bregadze, V.L.; de Vos, D.; Biesemans, M.; Mahieu, B.; Willem, R. Synthesis, characterization and in vitro antitumour activity of novel organotin derivatives of 1,2- and 1,7-Dicarba-Closo-dodecaboranes. Met. Based Drugs 1995, 2, 37–42. [Google Scholar] [CrossRef] [PubMed]
- Hadjikakou, S. K.; Ozturk, II; Xanthopoulou, M. N.; Zachariadis, P. C.; Zartilas, S.; Karkabounas, S.; Hadjiliadis, N. Synthesis, structural characterization and biological study of new organotin(IV), silver(I) and antimony(III) complexes with thioamides. J. Inorg. Biochem. 2008, 102, 1007–1015. [Google Scholar] [CrossRef] [PubMed]
- Holloway, L.N.; Pannell, K.H.; Whalen, M.M. Effects of a series of triorganotins on atp levels in human natural killer cells. Environ. Toxicol. Pharmacol. 2008, 25, 43–50. [Google Scholar] [CrossRef] [PubMed]
- Koch, B.; Baul, T.S.; Chatterjee, A. Cell proliferation inhibition and antitumor activity of novel alkyl series of diorganotin(IV) compounds. J. Appl. Toxicol. 2008, 28, 430–438. [Google Scholar] [CrossRef] [PubMed]
- Ray, D.; Sarma, K.D.; Antony, A. Differential effects of tri-n-butylstannyl benzoates on induction of apoptosis in K562 and MCF-7 cells. IUBMB Life 2000, 49, 519–525. [Google Scholar] [CrossRef] [PubMed]
- Roner, M.R.; Carraher, C.E., Jr.; Shahi, K.; Ashida, Y.; Barot, G. Ability of group IVB metallocene polyethers containing dienestrol to arrest the growth of selected cancer cell lines. BMC Cancer 2009, 9, 358. [Google Scholar] [CrossRef] [PubMed]
- Roner, M.R.; Shahi, K.R.; Barot, G.; Battin, A.; Carraher, C.E. Preliminary results for the inhibition of pancreatic cancer cells by organotin polymers. J. Inorg. Organomet. Polym. Mater. 2009, 19, 410–414. [Google Scholar] [CrossRef]
- Samuel, P.M.; de Vos, D.; Raveendra, D.; Sarma, J.A.; Roy, S. 3-D QSAR studies on new dibenzyltin(IV) anticancer agents by comparative molecular field analysis (CoMFA). Bioorg Med. Chem. Lett. 2002, 12, 61–64. [Google Scholar] [CrossRef] [PubMed]
- Syng-Ai, C.; Basu Baul, T.S.; Chatterjee, A. Inhibition of cell proliferation and antitumor activity of a novel organotin compound. J. Environ. Pathol. Toxicol. Oncol. 2001, 20, 333–342. [Google Scholar] [CrossRef] [PubMed]
- Xanthopoulou, M.N.; Hadjikakou, S.K.; Hadjiliadis, N.; Schurmann, M.; Jurkschat, K.; Michaelides, A.; Skoulika, S.; Bakas, T.; Binolis, J.; Karkabounas, S.; Charalabopoulos, K. Synthesis, structural characterization and in vitro cytotoxicity of organotin(IV) derivatives of heterocyclic thioamides, 2-mercaptobenzothiazole, 5-chloro-2-mercaptobenzothiazole, 3-methyl-2-mercaptobenzothiazole and 2-mercaptonicotinic acid. J. Inorg. Biochem. 2003, 96, 425–434. [Google Scholar] [CrossRef] [PubMed]
- Yamabe, Y.; Hoshino, A.; Imura, N.; Suzuki, T.; Himeno, S. Enhancement of androgen-dependent transcription and cell proliferation by tributyltin and triphenyltin in human prostate cancer cells. Toxicol. Appl. Pharmacol. 2000, 169, 177–184. [Google Scholar] [CrossRef] [PubMed]
- Zhao, A.; Shahi, K.R.; Roner, M.R.; Barot, G.; Fiore, T.; Pellerito, C.; Scopelliti, M.; Pellerito, L.; Carraher, C.E. Ciprofloxacin Polymers Derived from Diallyltin and Divinyltin Dihalides. J. Polym. Mater. 2008, 25, 213–236. [Google Scholar]
- Barbieri, R.; Ruisi, G.; Atassi, G. The antitumor activity and the structure of bis(adeninato-N9) diphenyltin(IV). J. Inorg. Biochem. 1991, 41, 25–30. [Google Scholar] [CrossRef] [PubMed]
- Barot, G.; Roner, M.; Shahi, K.; Carraher, C. Synthesis and structural and preliminary anticancer characterization of the organotin polyether from dibutyltin dichloride and 2,4-dimethyl-3-hexyne-2,5-diol. Polym. Mater. Sci. Eng. 2008, 99, 383–385. [Google Scholar]
- Barot, G.; Roner, M.R.; Naoshima, Y.; Nagao, K.; Shahi, K.; Carraher, C.E. Synthesis, structural characterization, and preliminary biological characterization of organotin polyethers derived from hydroquinone and substituted hydroquinones. J. Inorg. Organomet. Polym. Mater. 2009, 19, 12–27. [Google Scholar] [CrossRef]
- Barot, G.; Shahi, K.; Roner, M.; Carraher, C. Synthesis, structural characterization, and ability to inhibit cancer growth of a series of organotin poly(ethylene glycols). Journal J. Inorg. Organomet. Polym. Mater. 2007, 17, 595–603. [Google Scholar] [CrossRef]
- Carraher, C.; Sabir, T.; Roner, M.; Shahi, K.; Bleicher, R.; Roehr, J.; Bassett, K. Synthesis of organotin polyamine ethers containing acyclovir and their preliminary anticancer and antiviral activity. J. Inorg. Organomet. Polym. Mater. 2006, 16, 249–257. [Google Scholar] [CrossRef]
- Carraher, C.; Siegmann-Louda, D. Organotin macromolecules as anticancer drugs. In Macromolecules Containing Metal and Metal-Like Elements, Vol 3. Biomedical Applications; Wiley: Hoboken, NJ, USA, 2004; Volume 3, pp. 57–74. [Google Scholar]
- Carraher, C.E., Jr.; Roner, M.R.; Barot, G. Organotin-containing polyethers as potential anticancer drugs. Cancer Res. J. 2010, 3, 207–232. [Google Scholar]
- Fitzner, B.; Brock, P.; Holzhuter, S.A.; Nizze, H.; Sparmann, G.; Emmrich, J.; Liebe, S.; Jaster, R. Synergistic growth inhibitory effects of the dual endothelin-1 receptor antagonist bosentan on pancreatic stellate and cancer cells. Dig. Dis. Sci. 2009, 54, 309–320. [Google Scholar] [CrossRef] [PubMed]
- Gielen, M.; Willem, R. Cytotoxic activity of bis-[di-n-butyl(4-aminosalicylato)tin] oxide, NSC: 628561, bis-[diphenyl(4-aminosalicylato)tin] oxide, NSC: 628562, and some related compounds, against a series of human tumour cell lines. Anticancer Res. 1992, 12, 257–268. [Google Scholar] [PubMed]
- Gielen, M.; Willem, R. Cytotoxic activity against a series of human tumour cell lines of some diorganotin(iv) 1,2-ethylenediamine N,N′-diacetates, N-(2-hydroxyethyl)- and N-(carbamoylmethyl)-iminodiacetates, and ortho-aminobenzoates. Anticancer Res. 1992, 12, 269–271. [Google Scholar] [PubMed]
- Gielen, M.; Willem, R. In vitro cytotoxicity of diorganotin (IV) trimethoxy-benzoates against sixty human NCl tumor cell lines. Anticancer Res. 1992, 12, 1323–1325. [Google Scholar] [PubMed]
- Hoti, N.; Ma, J.; Tabassum, S.; Wang, Y.; Wu, M. Triphenyl tin benzimidazolethiol, a novel antitumor agent, induces mitochondrial-mediated apoptosis in human cervical cancer cells via suppression of HPV-18 encoded E6. J. Biochem. 2003, 134, 521–528. [Google Scholar] [CrossRef] [PubMed]
- Jan, C.; Jiann, B.; Lu, Y.; Chang, H.; Su, W.; Chen, W.; Yu, C.; Huang, J. Effect of the organotin compound triethyltin on Ca2+ handling in human prostate cancer cells. Life Sci. 2000, 70, 1337–1345. [Google Scholar] [CrossRef]
- Jan, C.R.; Jiann, B.P.; Lu, Y.C.; Chang, H.T.; Su, W.; Chen, W.C.; Yu, C.C.; Huang, J.K. Effect of the organotin compound triethyltin on Ca2+ handling in human prostate cancer cells. Life Sci. 2002, 70, 1337–1345. [Google Scholar] [CrossRef] [PubMed]
- Kopf-Maier, P.; Janiak, C.; Schumann, H. Antitumor properties of organometallic metallocene complexes of tin and germanium. J. Cancer Res. Clin. Oncol. 1988, 114, 502–506. [Google Scholar] [CrossRef] [PubMed]
- Roner, M.; Carraher, C.; Roehr, J.; Bassett, K. Antiviral and anticancer activity of organotin polymers and reactants derived from norfloxacin and ampicillin. J. Polym. Mater. 2006, 23, 153–159. [Google Scholar]
- Saxena, A.; Tandon, J.P. Antitumor activity of some diorganotin and tin (IV) complexes of Schiff bases. Cancer Lett. 1983, 19, 73–76. [Google Scholar] [CrossRef] [PubMed]
- Saxena, A.K.; Huber, F. Organotin compounds and cancer chemotherapy. Coord. Chem. Revs. 1989, 95, 109–123. [Google Scholar] [CrossRef]
- Shahi, K.; Roner, M.; Ashida, Y.; Barot, G.; Carraher, C. Ability of organotin polyethers derived from dienestrol to inhibit ovarian, colon, lung, and breast cancer cells. Polym. Mater. Sci. Eng. 2009, 100, 22–25. [Google Scholar]
- Shahi, K.; Roner, M.; Barot, G.; Carraher, C. Ability of a series of organotin polyethers containing methylene spacers to inhibit prostrate, breast, colon, and lung cancer cell lines. Polym. Mater. Sci. Eng. 2008, 98, 375–377. [Google Scholar]
- Shahi, K.; Roner, M.R.; Carraher, C.E.; Barot, G. Selected organotin polyethers as potential anti-cancer drugs. Polym. Mater. Sci. Eng. 2006, 94, 466–468. [Google Scholar]
- Siegmann-Louda, D.; Carraher, C.; Nagy, D.; Snedden, D.; Ross, J. Simple organotin polyethers as potential anti-cancer drugs. Polym. Mater. Sci. Eng. 2003, 89, 487–488. [Google Scholar]
- Spencer, P.; Holt, W. Anticancer Drugs: Design, Delivery and Pharmacology; Nova Science Publishers: Hauppauge, NY, USA, 2009. [Google Scholar]
- Whalen, M.M.; Loganathan, B.G. Butyltin exposure causes a rapid decrease in cyclic AMP levels in human lymphocytes. Toxicol. Appl. Pharmacol. 2001, 171, 141–148. [Google Scholar] [CrossRef] [PubMed]
- Carraher, C.; Roner, M.R.; Barot, G. Anticancer Drugs: Design, Delivery and Pharmacology; Nova Science: Hauppauge, NY, USA, 2009. [Google Scholar]
- Koch, B.; Basu Baul, T.S.; Chatterjee, A. p53-dependent antiproliferative and antitumor effect of novel alkyl series of diorganotin(IV) compounds. Invest. New Drugs 2009, 27, 319–326. [Google Scholar] [CrossRef] [PubMed]
- Zucker, R.M.; Elstein, K.H.; Easterling, R.E.; Massaro, E.J. Flow cytometric analysis of the cellular toxicity of tributyltin. Toxicol. Lett. 1988, 43, 201–218. [Google Scholar] [CrossRef] [PubMed]
- Siegmann-Louda, D.; Carraher, C. Polymeric platinum-containing drugs in the treatment of cancer. In Macromolecules Containing Metal and Metal-Like Elements. Vol. 3. Biomedical Applications; Wiley: Hoboken, NY, USA, 2004; Volume 3, pp. 119–192. [Google Scholar]
- Gerth, H.U.; Rompel, A.; Krebs, B.; Boos, J.; Lanvers-Kaminsky, C. Cytotoxic effects of novel polyoxotungstates and a platinum compound on human cancer cell lines. Anticancer Drugs 2005, 16, 101–106. [Google Scholar] [CrossRef] [PubMed]
- Wheate, N.J.; Collins, J.G. Multi-nuclear platinum drugs: a new paradigm in chemotherapy. Curr. Med. Chem. Anticancer Agents 2005, 5, 267–279. [Google Scholar] [CrossRef] [PubMed]
- Knox, R.J.; Friedlos, F.; Lydall, D.A.; Roberts, J.J. Mechanism of cytotoxicity of anticancer platinum drugs: Evidence that cis-diamminedichloroplatinum(II) and cis-diammine-(1,1-cyclobutanedicarboxylato)platinum(II) differ only in the kinetics of their interaction with DNA. Cancer Res. 1986, 46, 1972–1979. [Google Scholar] [PubMed]
- Arandjelovic, S.; Tesic, Z.; Juranic, Z.; Radulovic, S.; Vrvic, M.; Potkonjak, B.; Ilic, Z. Antiproliferative activity of some cis-/trans-platinum(II) complexes on HeLa cells. J. Exp. Clin. Cancer Res. 2002, 21, 519–526. [Google Scholar] [PubMed]
- Radulovic, S.; Tesic, Z.; Manic, S. Trans-platinum complexes as anticancer drugs: recent developments and future prospects. Curr. Med. Chem. 2002, 9, 1611–1618. [Google Scholar] [CrossRef] [PubMed]
- Fricker, S.P. A Screening Strategy for Metal Antitumor Agents as Exemplified by Gold(III) Complexes. Met. Based Drugs 1999, 6, 291–300. [Google Scholar] [CrossRef] [PubMed]
- Milacic, V.; Fregona, D.; Dou, Q.P. Gold complexes as prospective metal-based anticancer drugs. Histol. Histopathol. 2008, 23, 101–108. [Google Scholar] [PubMed]
- Shahi, K.; Roner, M.; Barot, G.; Carraher, C. Ability of dibutyltin poly(ethylene oxides) to inhibit the viruses associated with small pox and herpes. Polym. Mater. Sci. Eng. 2008, 99, 51–53. [Google Scholar]
- Shahi, K.; Roner, M.; Battin, A.; Carraher, C. Ability of organotin pyrimidine polyamines to hinhibit HSV-1 (Herpes simplex virus) and Vaccinia (small pox virus) viruses. Polym. Mater. Sci. Eng. 2008, 99, 365–367. [Google Scholar]
- Trombley, M.; Biegley, N.; Carraher, C.; Giron, D. Effect of Tetramisole and Its Platinum Polyamine on Mice Infected with Encephalomyocarditis-Variant-D Virus; Plenum: Hannover, Germany, 1988; pp. 223–238. [Google Scholar]
- Carraher, C.; Lopez, I.; Giron, D. Synthesis, structural and biological characterization of the polymeric platinol derivative of methotrexate for the treatment of juvenile diabetes. Polym. Mater. 1985, 53, 644–648. [Google Scholar]
- Roner, M.; Carraher, C.; Dhanji, S. Antiviral activity of cisplatin derivatives of methotrexate against Vaccinia Virus, Varicella Zoster Virus (VZV), Reovirus ST3, and Herpes Simplex Virus (HSV-1). Polym. Mater. Sci. Eng. 2005, 93, 410–413. [Google Scholar]
- Roner, M.; Carraher, C.; Dhanji, S.; Barot, G. Antiviral and anticancer activity of cisplatin derivatives of methotrexate. J. Polym. Mater. 2007, 24, 371–385. [Google Scholar]
- Carraher, C.; Lopez, I.; Giron, D. Polymeric Platinol Derivative of Methotrexate for the Treatment of Virally Related Juvenile Diabetes; Plenum: Hannover, Germany, 1987. [Google Scholar]
- Roner, M.; Carraher, C.; Dhanji, S.; Barot, G. Antiviral and anticancer activity of cisplatin derivatives of tilorone. J. Inorg. Organomet. Polym. Mater. 2008, 18, 374–383. [Google Scholar] [CrossRef]
- Roner, M.R.; Carraher, C.E.; Zhao, A.; Roehr, J.L.; Bassett, K.D.; Siegmann-Louda, D. Activity of acyclovir, ciprofloxacin, and organotin polymers derived from acyclovir and ciprofloxacin against Herpes Simplex virus (HSV-1) and Varicella Zoster virus (VZV). Polym. Mater. Sci. Eng. 2004, 90, 515–518. [Google Scholar]
- Roner, M.R.; Carraher, C.E.; Roehr, J.L.; Bassett, K.D.; Siegmann-Louda, D.W. Anti-viral activity of norfloxacin and ampicillin and dibutyltin polymers derived from norfloxacin and ampicillin against reovirus ST3, vaccinia virus, herpes simplex virus (HSV-1), and varicella zoster virus (VZV). Polym. Mater. Sci. Eng. 2004, 91, 744–746. [Google Scholar]
- Chandra, P.; Wright, G.J. Tilorone hydrochloride: The drug profile. Top Curr. Chem. 1977, 72, 125–148. [Google Scholar] [PubMed]
- Chandra, P.; Will, G.; Gericke, D.; Gotz, A. Inhibition of DNA polymerases from RNA tumor viruses by tilorone and congeners: Site of action. Biochem. Pharmacol. 1974, 23, 3259–3265. [Google Scholar] [CrossRef] [PubMed]
- Chandra, P.; Zunino, F.; Gaur, V.P.; Zaccara, A.; Woltersdorf, M.; Luoni, G.; Gotz, A. Mode of tilorone hydrochloride interaction to DNA and polydeoxyribonucleotides. FEBS Lett. 1972, 28, 5–9. [Google Scholar] [CrossRef] [PubMed]
- Karpov, A.V.; Antonenko, S.V.; Barbasheva, E.V.; Spivak, N. Study of anti-HIV activity of the yeast RNA-tilorone molecular complex. Vopr Virusol. 1997, 42, 17–19. [Google Scholar] [PubMed]
- Karpov, A.V.; Zholobak, N.M.; Spivak, N.Y.; Rybalko, S.L.; Antonenko, S.V.; Krivokhatskaya, L.D. Virus-inhibitory effect of a yeast RNA-tilorone molecular complex in cell cultures. Acta Virol. 2001, 45, 181–184. [Google Scholar] [PubMed]
- Loginova, S.; Koval’chuk, A.V.; Borisevich, S.V.; Kopylova, N.K.; Pashchenko Iu, I.; Khamitov, R.A.; Maksimov, V.A.; Shuster, A.M. Antiviral effectiveness of the combined use of amixine and virasole in experimental hemorrhagic fever with renal syndrome in sucking albino mice. Vopr. Virusol. 2005, 50, 30–32. [Google Scholar] [PubMed]
- Alcaro, S.; Arena, A.; Neri, S.; Ottana, R.; Ortuso, F.; Pavone, B.; Vigorita, M.G. Design and synthesis of DNA-intercalating 9-fluoren-beta-O-glycosides as potential IFN-inducers, and antiviral and cytostatic agents. Bioorg. Med. Chem. 2004, 12, 1781–1791. [Google Scholar] [CrossRef] [PubMed]
- Liakhov, S.A.; Litvinova, L.A.; Andronati, S.A.; Berezina, L.K.; Galkin, B.N.; Osetrov, V.E.; Filippova, T.O.; Golovenko, N. Biochemical mechanisms of realization of antiviral and interferon-inducing activity of amixine and its analogs. Ukr Biokhim Zh 2001, 73, 108–113. [Google Scholar] [PubMed]
- Katz, E.; Margalith, E.; Winer, B. The effect of tilorone hydrochloride on the growth of several animal viruses in tissue cultures. J. Gen. Virol. 1976, 31, 125–129. [Google Scholar] [CrossRef] [PubMed]
- Katz, E.; Margalith, E.; Winer, B. Inhibition of vaccinia virus growth by the nucleoside analogue 1-beta-D-ribofuranosyl-1,2,4-triazole-3-carboxamide (virazole, ribavirin). J. Gen. Virol. 1976, 32, 327–330. [Google Scholar] [CrossRef] [PubMed]
- Katz, E.; Margalith, E.; Winer, B. Inhibition of herpesvirus deoxyribonucleic acid and protein synthesis by tilorone hydrochloride. Antimicrob. Agents Chemother. 1976, 9, 189–195. [Google Scholar] [CrossRef] [PubMed]
- Roner, M.R.; Cox, D.C. Cellular integrity is required for inhibition of initiation of cellular DNA synthesis by reovirus type 3. J. Virol. 1985, 53, 350–359. [Google Scholar] [PubMed]
- Kapikian, A.Z.; Kim, H.W.; Wyatt, R.G.; Cline, W.L.; Arrobio, J.O.; Brandt, C.D.; Rodriguez, W.J.; Sack, D.A.; Chanock, R.M.; Parrott, R.H. Human reovirus-like agent as the major pathogen associated with “winter” gastroenteritis in hospitalized infants and young children. New Engl. J. Med. 1976, 294, 965–972. [Google Scholar] [CrossRef] [PubMed]
- Medvedev, A.; Buneeva, O.; Glover, V. Biological targets for isatin and its analogues: Implications for therapy. Biologics 2007, 1, 151–162. [Google Scholar] [PubMed]
- Fu, G.; Pang, H.; Wong, Y.H. Naturally occurring phenylethanoid glycosides: potential leads for new therapeutics. Curr. Med. Chem. 2008, 15, 2592–2613. [Google Scholar] [CrossRef] [PubMed]
- Scozzafava, A.; Owa, T.; Mastrolorenzo, A.; Supuran, C.T. Anticancer and antiviral sulfonamides. Curr. Med. Chem. 2003, 10, 925–953. [Google Scholar] [CrossRef] [PubMed]
- Carballeira, N.M. New advances in the chemistry of methoxylated lipids. Prog. Lipid Res. 2002, 41, 437–456. [Google Scholar] [CrossRef] [PubMed]
- Maruyama, T.; Utsumi, K.; Tomioka, H.; Kasamoto, M.; Sato, Y.; Anne, T.; De Clercq, E. Synthesis, antiviral, antibacterial and antitumor cell activities of 2′-deoxy-2′-fluoropuromycin. Chem. Pharm. Bull. Tokyo 1995, 43, 955–959. [Google Scholar] [CrossRef] [PubMed]
- Andersson, L.; Bohlin, L.; Iorizzi, M.; Riccio, R.; Minale, L.; Moreno-Lopez, W. Biological activity of saponins and saponin-like compounds from starfish and brittle-stars. Toxicon 1989, 27, 179–188. [Google Scholar] [CrossRef] [PubMed]
- Krol, W.; Dworniczak, S.; Pietsz, G.; Czuba, Z.P.; Kunicka, M.; Kopacz, M.; Nowak, D. Synthesis and tumoricidal activity evaluation of new morin and quercetin sulfonic derivatives. Acta Pol. Pharm. 2002, 59, 77–79. [Google Scholar] [PubMed]
© 2011 by the authors; licensee MDPI, Basel, Switzerland. This article is an open access article distributed under the terms and conditions of the Creative Commons Attribution license (http://creativecommons.org/licenses/by/3.0/).
Share and Cite
Roner, M.R.; Carraher Jr., C.E.; Shahi, K.; Barot, G. Antiviral Activity of Metal-Containing Polymers—Organotin and Cisplatin-Like Polymers. Materials 2011, 4, 991-1012. https://doi.org/10.3390/ma4060991
Roner MR, Carraher Jr. CE, Shahi K, Barot G. Antiviral Activity of Metal-Containing Polymers—Organotin and Cisplatin-Like Polymers. Materials. 2011; 4(6):991-1012. https://doi.org/10.3390/ma4060991
Chicago/Turabian StyleRoner, Michael R., Charles E. Carraher Jr., Kimberly Shahi, and Girish Barot. 2011. "Antiviral Activity of Metal-Containing Polymers—Organotin and Cisplatin-Like Polymers" Materials 4, no. 6: 991-1012. https://doi.org/10.3390/ma4060991
APA StyleRoner, M. R., Carraher Jr., C. E., Shahi, K., & Barot, G. (2011). Antiviral Activity of Metal-Containing Polymers—Organotin and Cisplatin-Like Polymers. Materials, 4(6), 991-1012. https://doi.org/10.3390/ma4060991
 
        
 
       
       
       
       
       
       
       
       
       
       
      