Abstract
We synthesized three novel highly fluorescent compounds, 2-(2’-pyridyl)-3-(N-ethyl-(3’-carbazolyl))acrylonitrile, 2-(3”-pyridyl)-3-(N-ethyl-(3’-carbazolyl))acrylonitrile, and 2-(4-pyridyl)-3-(N-ethyl-(3’-carbazolyl))acrylonitrile by Knoevenagel condensation. The first two were synthesized without solvent in the presence of piperidine as a catalyst; the third was synthesized without a catalyst and with N,N-dimethylformamide as a solvent. In solution, the molar absorption coefficients showed absorptions at 380, 378, and 396 nm, respectively; in solid state, absorptions were at 398, 390, and 442 nm, respectively. The fluorescence emission was at 540, 540 and 604 nm, respectively, the 2-(4-pyridyl)-3-(N-ethyl-(3’-carbazolyl))acrylonitrile showed a red shift in the emission of 64 nm compared to the other two compounds. The fluorescence quantum yield for the compounds in powder form showed values of 0.05, 0.14, and 0.006, respectively; compared with the value measured for the Alq3 reference, 2-(3”-pyridyl)-3-(N-ethyl-(3’-carbazolyl))acrylonitrile had a lightly higher value. The third harmonic generation measurement for 2-(2’-pyridyl)-3-(N-ethyl-(3’-carbazolyl))acrylonitrile yielded a χ(3) value of 5.5 × 10−12 esu, similar to that reported for commercial polymers.
1. Introduction
Low molecular weight and oligomeric, organic compounds with optical or electrical properties have been widely used as dyes in organic electronic devices, including light emitting diodes (OLEDs), solar cells, organic semiconductor lasers, etc. [1,2,3,4,5,6]. Typically, the dyes have a donor-acceptor structure that controls their photophysical properties [2,7,8]. Carbazole is an organic compound that is well known for its electron-donor properties [9]; OLEDs have used carbazole based dimers, oligomers, and polymers as blue, white, green, and red emitters [10,11,12,13,14]. Carbazole polymers are also used in the hole transport layer [15,16] of organic field effect transistors [17,18] and photovoltaic cells [19,20]. On the other hand, poly(phenylenevinylene) and carbazole compounds (low molecular weight and polymers) are of great interest because they belong to the family of organic materials that possess strong π-electron conjugation; i.e., they extend electron delocalization. Recent reports have shown that several of these derivatives have third-order nonlinear optical (NLO) properties [21,22,23,24,25,26,27]. It is thought that strong π-electron conjugation is crucial for attaining high optical nonlinearities; thus, it is of great interest to identify or understand the structure-property relationships of these derivatives for photonic applications [28,29,30]. This knowledge would facilitate the rational design of new second- and third-order NLO materials based on both low molecular weight molecules and polymers. Adès et al. described a donor-acceptor dye based on a carbazole unit linked through a vinylene conjugation to electron-acceptor groups, like nitrile (-CN), ethylester (-COOEt), phenyl (-Ph), or para-nitrophenyl (-PhNO2) [8]. They reported that these compounds underwent a red shift in absorption and emission that was associated with the electron-withdrawing character of the groups. For the -Ph group, the absorption showed a maximum at 385 nm; for the -CN, -COOEt, and -PhNO2 groups, the maxima were at 397, 416, and 428 nm, respectively. The λemission was at 490 nm for both the -COOEt and -Ph groups, and at 530 and 585 for the -CN and -PhNO2 groups, respectively.
On the other hand, the pyridine is an important electron-acceptor group, due to its high electron affinity. Dailey et al. described the poly(2,5-pyridinediyl) (PPY) as an efficient electron transport layer in bilayer polymeric LEDs. The OLEDs with a PPY layer exhibited an external quantum efficiency 60-times greater than that of similar devices without a PPY layer [31]. Epstein et al. described poly(p-pyridine)- and poly(p-pyridylvinylene)-based polymers as emissive layers in light emitting devices [32].
Su, et al. [33] showed that the combination of a carbazole electron-donor and a pyridine electron-acceptor could give bipolar host materials; for example, 2,6-bis[(3-(carbazol-9-yl)phenyl)]pyridine and 3,5-bis[(3-(carbazol-9-yl)phenyl)]pyridine. These host materials were doped with iridium(III) bis[(4,6-(difluorophenyl)pyridinato-N,C2’)]picolinate to create phosphorescent OLEDs.
The route of synthesis is very important for obtaining the desired dye structures for a specific application. Some dyes with donor-acceptor structures have been formed in a Heck coupling reaction with palladium-catalysis [2], others were formed in the Knoevenagel condensation [8]. Our group previously synthesized different conjugated compounds with the Knoevenagel condensation, without a catalyst, and under solvent-free conditions [34,35,36,37]. This method was successfully used to synthesize α,β-diphenylacrylonitrile; α-(2-pyridyl)-β-(phenyl)acrylonitrile; α-(3-pyridyl)-β-(phenyl)acrylonitrile; α-(phenyl-β-(2-pyridyl)acrylonitrile; 1,4-bis[1-(2-cyano-2-phenyl)vinyl]benzene; 1,4-bis[1-(2-cyano-2’-pyridyl)vinyl]benzene; and 1,4-bis[1-(2-cyano-3-pyridyl)vinyl]benzene, among other compounds [37].
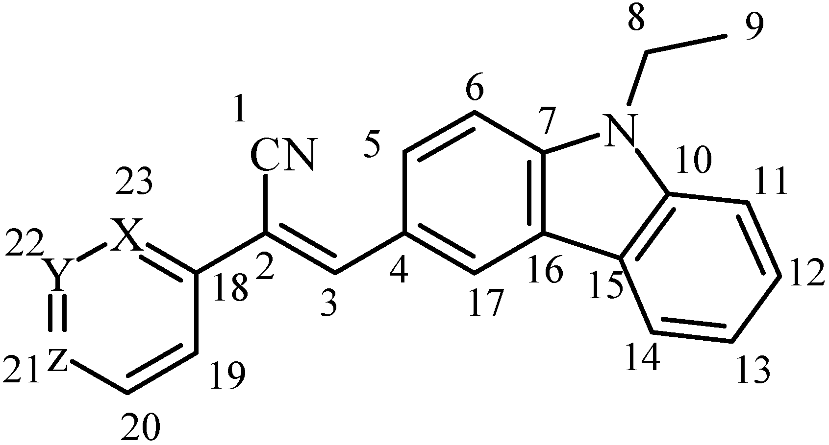
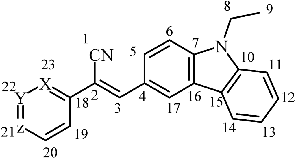
In the present work, we used the Knoevenagel condensation for the synthesis of three novel acrylonitrile derivatives from N-ethyl-3-carbazolecarboxaldehyde and pyridineacetonitrile to form a donor-acceptor structure. The synthesized compounds were: (I) 2-(2’-pyridyl)-3-(N-ethyl-(3’-carbazolyl))acrylonitrile, (II) 2-(3’-pyridyl)-3-(N-ethyl-(3”-carbazolyl))acrylonitrile, and (III) 2-(4-pyridyl)-3-(N-ethyl-(3’-carbazolyl))acrylonitrile (Scheme I). The aim of the synthesis was to obtain fluorescent compounds that exhibit a strong emission and bathochromic effect which was correlated to their optical properties with the structure of the compounds, especially the position of the N in the pyridine ring and the CN group attached to the double bond.
Scheme I.
Synthetic routes of 2-(2’-pyridyl)-3-(N-ethyl-(3’-carbazolyl))acrylonitrile (I), 2-(3’-pyridyl)-3-(N-ethyl-(3”-carbazolyl))acrylonitrile (II), and 2-(4-pyridyl)-3-(N-ethyl-(3’-carbazolyl)) acrylonitrile (III).
Scheme I.
Synthetic routes of 2-(2’-pyridyl)-3-(N-ethyl-(3’-carbazolyl))acrylonitrile (I), 2-(3’-pyridyl)-3-(N-ethyl-(3”-carbazolyl))acrylonitrile (II), and 2-(4-pyridyl)-3-(N-ethyl-(3’-carbazolyl)) acrylonitrile (III).

2. Results and Discussion
2.1. FT-IR and NMR Characteristics
FT-IR characterization of compounds I–III showed similar characteristic bands in the region of 1628–1629 cm−1. These were assigned to the ν(C=C) vibrations of the alkene double bond, which is conjugated with the aromatic ring, and the CN attached to the double bond [38]. The bands at 745 cm−1, 747 cm−1, and 744 cm−1 for compounds I–III, respectively, were assigned to the δ(C-H) vibrations of the double bond. The bands at 2210, 2210, and 2213 cm−1, respectively, were due to the C≡N stretching vibrations. The 1H NMR data showed that the principal evidence [38] for the structures of the prepared compounds were the singlets at δ: 8.652, 8.612, and 8.833 ppm for I, II, and III, respectively, due to the proton attached to the double bond. The 13C NMR spectra exhibited signals at δ 119.2 and 118.6 for I and II, respectively; these were assigned to the C atom of the nitrile group. These values are in good accordance with those recently reported for some nitriles [39,40,41].
2.2. Absorption
The molar absorptivity (ε) spectra of compounds I and II in chloroform and of compound III in DMSO are given in Figure 1. All three compounds displayed strong absorption (ε > 20,000); the highest was exhibited by compound II. The bands observed below 350 nm are characteristic of the pure carbazole unit; the broad absorption, with λmax values of 380, 378, and 396 nm for compounds I, II, and III, respectively, was attributed to π-π* transitions. A bathochromic shift was observed for the -para position of the pyridine ring. Figure 2 shows the UV-Vis absorption in solid state with KBr as host material. In the solid state, the compounds exhibited a bathochromic shift of around 18–20 nm for I and II, compared to their absorptions in solution (Figure 1). For III, the band at 396 nm presented a red shift of around 50 nm and a widening of the band in the solid state compared to the absorption in solution (Figure 2). The broadened band and the pronounced red shift absorption could be explained by the formation of J-aggregates, which form by self-association of dyes in the solid state due to strong intermolecular Van der Waals-like attractive forces between the molecules [42,43]. The J-aggregates are known to cause a bathochromic shift in the absorption spectrum.
Figure 1.
Molar absorptivity of compounds I, II, and III.
Figure 1.
Molar absorptivity of compounds I, II, and III.

Figure 2.
Absorbance in the solid state for compounds I, II, and III.
Figure 2.
Absorbance in the solid state for compounds I, II, and III.

2.3. Fluorescence
Figure 3 shows the fluorescence signals for the studied compounds in the solid state. All three compounds showed very weak fluorescence in solution; however, in the solid state, they displayed strong fluorescence λf at 540 nm for compound I and II and at 604 for compound III. The signal for compound II was higher than those for compound I or III. For compounds I and II, the strong emission could be a consequence of the phenomena known as aggregation-induced emission (AIE) [44,45,46]. AIE could be caused by restricted intramolecular rotations that form non-planar structures, which reduce intermolecular interactions and excimer formation; as a result, the fluorescence efficiency is increased. On the other hand, the effects of intramolecular planarization could cause the formation of J-aggregates in the solid state, which would induce a red shift and enhance the solid state emission. For compound III, the behavior of compound III, large red shift of emission and significant low intensity of fluorescence could have two possible explanations; first, the observed results may be attributed to aggregate formation and exciton coupling (excimer). Alternatively, the red-shift in the absorption and emission spectra may be attributed to planarization of the molecule. The formation of excimers is known to drastically decrease the fluorescence quantum yield in the solid state due to the greater number of non-radiative decay pathways during the depopulation of the excited state. Also the red shift of the emission for compound III, compared with I and II, could be due to its donor-acceptor structure associated with the -para position of the pyridine ring.
Figure 3.
Fluorescence signals for compounds I, II, and III in the solid state.
Figure 3.
Fluorescence signals for compounds I, II, and III in the solid state.

Many groups have attempted to measure the absolute Фf of compounds in the solid state, particularly for thin solid films [47,48,49,50,51]. However, it is well known that this measurement is complicated due to the difficulties in determining the angular distribution of the emission, reflectivity, and absorbance in solid state compounds, like films of polymeric semiconductors. In the present work, we determined the Фf for the three compounds in powder form. For the determination of Фf, the experimental setup was similar to that described by De Mello, except that compounds I–III were not prepared in films; instead, the powdered compounds were placed into Pyrex tubes. First, the laser emission intensity was measured for the empty tube, located inside the integrating sphere. Then, the compound powder was placed inside the tube and the fluorescence spectra were measured as described by De Mello. The Фf value of Alq3, taken as a reference, has been reported for films to be approximately 0.20–0.25 [49,50]. For our experimental setup, the Alq3 Фf value was 0.11, which we used for the reference. The values measured for compounds I, II, and III were 0.05, 0.14, and 0.006, respectively. Compound II had the highest value, slightly higher than that of the Alq3 reference.
Next, we measured the third harmonic generation (THG) property for compound I. Figure 4 shows the THG Maker-Fringe pattern for a compound I film doped with PS. As reference, Figure 4 also includes the THG pattern measured from the fused silica substrate alone (thickness: 1 mm). These data were obtained at the fundamental near IR wavelength of 1200 nm (THG signal at 400 nm). From these data, we estimated that the third-order nonlinear susceptibility (χ(3)) of the films was in the order of 10−12 esu at this fundamental wavelength. The absorption coefficient was taken into account according to Equation 1. For the well known PPV polymer, χ(3) was reported to be in the order of 10−10 to 10−11 esu [24]. For some oligomers of PPV (PV-n), χ(3) values were reported in the order of 10−11 to10−13 esu [25,26]. Therefore, the χ(3) value for compound I of 5.5 × 10−12 esu, estimated from the THG Maker-Fringe technique, was consistent with those reported in the literature.
Figure 4.
Third harmonic generation (THG) Maker-fringe pattern for a 92 nm-thin polystyrene polymer film of I doped with 30 wt. % of compound (filled circles) and for a 1 mm-thick substrate without a film deposited on it (open circles). The fundamental wavelength was 1200 nm.
Figure 4.
Third harmonic generation (THG) Maker-fringe pattern for a 92 nm-thin polystyrene polymer film of I doped with 30 wt. % of compound (filled circles) and for a 1 mm-thick substrate without a film deposited on it (open circles). The fundamental wavelength was 1200 nm.

In the Maker-fringe technique, the third-harmonic peak intensity from the substrate-film structure, If 3ω, is compared to that produced from the substrate alone, Is3ω. Then, the non-linear susceptibility, χ(3), in a film of thickness, Lf, is determined as follows:
where χs(3) and Lc,s are the non-linear susceptibility and coherence length, respectively, for the substrate at the fundamental wavelength, and α is the film absorption coefficient at the harmonic wavelength [52]. In our calculation, we used χs(3) = 3.1 × 10−14 esu and Lc,s = 9.0 µm for the fused silica substrate [52]. Our samples satisfied the condition that Lf << Lc,s, in which Equation 1 is valid.
3. Experimental Section
3.1. Materials and Measurements
2-pyridylacetonitrile, 3-pyridylacetonitrile, 4-pyridylacetonitrile hydrochloride, and piperidine were procured from Aldrich Chemical Co.; N-ethyl-3-carbazolecarboxaldehyde was acquired from Acros Organics; all chemicals were used as received.
The IR spectra of the products were recorded on a Vertex (model 70, Bruker Optics, Germany) 750 FT-IR spectrophotometer by attenuated total reflectance (ATR). 1H NMR and 13C NMR spectra were obtained in CDCl3 and DMSO-d6 on a Varian 400 MHz NMR spectrometer (Varian NMR, Walnut Creek, CA, USA). The electron ionization (EI) spectra were acquired on a Jeol MStation 700-D mass spectrometer (Jeol USA, Peabody, MA, USA). The UV-Vis and fluorescence were acquired with a Spectrometer SD2000 (Ocean Optics, Dunedin, FL, USA). For compounds in solution, absorption was measured at room temperature in CHCl3 and DMSO. For compounds in solid state, absorption was measured on pellets prepared with KBr. A UV/Vis DT 1000 CE light source (Analytical Instrument Systems, Inc., Flemington, NJ, USA) was used for measuring absorption. The molar absorption coefficient (ε) was calculated according to the Beer-Lamber law A = εcl [53]. The excitation source for measuring the fluorescence and fluorescence quantum yield (Φf) was a laser diode at a wavelength of 405 nm. The Φf was measured on compounds in powder form with the experimental setup described by De Mello et al. [47], these were compared with the quantum yield of Alq3 as reference. The non-linear optical measurements were performed in solid state (solid films) with the guest (compound)-host (polymer) approach. Briefly, polystyrene (PS) and the test compound were mixed at a 70:30 wt% ratio, respectively, in chloroform. The solid films were deposited on fused silica substrates (1 mm-thick) with the spin coating technique. The prepared films had typical thicknesses, between 90 and 120 nm, with good optical quality. The third harmonic generation (THG) Maker-fringes procedure was carried out according to previously reported methods [52,54]. The third-harmonic beam that emerged from the films as a bulk effect was separated from the pump beam with a color filter and was detected with a photomultiplier tube and a Lock-in amplifier. The THG measurements were performed for incident angles in the range from −40° to 40° with steps of 0.27 degrees. All the experiments were computer-controlled.
3.2. Synthesis and Characterization of Novel Acrylonitrile Compounds
We synthesized compounds (I) 2-(2’-pyridyl)-3-(N-ethyl-(3’-carbazolyl))acrylonitrile, (II) 2-(3’-pyridyl)-3-(N-ethyl-(3”-carbazolyl))acrylonitrile, and (III) 2-(4-pyridyl)-3-(N-ethyl-(3’-carbazolyl)) acrylonitrile with the Knoevenagel condensation as shown in Scheme I.
The condensation reaction conditions were as follows: (I) 0.75 ml (6.8 mmol) of 2-pyridylacetonitrile, 1 g (4.47 mmol) of N-ethyl-3-cabazolecarboxaldehyde, and 0.5 ml (5.06 mmol) of piperidine were combined in a flask; (II) 0.35 ml (3.25 mmol) of 3-pyridylacetonitrile, 0.5 g (2.23 mmol) of N-ethyl-3-cabazolecarboxaldehyde, and 0.25 ml (2.53 mmol) of piperidine were combined in a flask. The piperidine acted as catalyst and solvent. The reactions were refluxed with stirring for 24 h at 100 °C. During the reaction, the mixtures appeared oily, and the color changed from colorless, to yellow, to brown. The reactions were distilled after the reaction time in order to eliminate the piperidine, until the precipitate formed. The precipitates were purified by recrystallization with cyclohexane. The final products were (I) a yellow powder, yield 29%, m.p. 110–111 °C; and (II) a yellow powder, yield 25.7%, m.p. 115–117 °C. The products were soluble in moderately polar solvents. The spectroscopic properties were as follows (with carbon locations as shown in Scheme II):
Scheme II.
Identification of carbons for 13C NMR.
Scheme II.
Identification of carbons for 13C NMR.

I: 1H NMR (400 MHz, CDCl3, δ, ppm): 8.749–8.740 (d, 1H, H22), 8.666-8.637 (m, 1H, H21), 8.652 (s, 1H, H3), 8.241-8.209 (dd, 1H, H5), 8.166–8.138 (dd, 1H, H6), 7.772 (s, 1H, H17), 7.776–7.758 (m, 1H, H19), 7.512–7.230 (m, 5H, H20, H11–14), 4.366–4.334 (m, 2H, H8), 1.459–1.435 (t, 3H, H9). 13C NMR (400 MHz, CDCl3, δ, ppm):119.2 (C1), 105.5 (C2), 146.7 (C3), 124.6 (C4),121.0 (C5), 109.2 (C6), 141.8 (C7), 38.0 (C8), 14.1 (C9), 140.8 (C10), 109.1 (C11), 120.2 (C12), 122.2 (C13), 126.7 (C14), 123.1 (C15), 123.6 (C16), 128.2 (C17), 152.1 (C18), 123.9 (C19), 137.7 (C20), 122.9 (C21), 149.5 (C22). IR (KBr, cm−1): 3051 (w), 2979 (m), 2933 (w), (CH, Py, Cz), 2210 (s) (C≡N), 1628 (w, C=C), 1585 (s), 1496 (m), 1468 (s), 1435 (m), (C=C, C=N, Py, Cz), 1233 (s, C-N, Cz), 745 (s, δ(C-H)). EI, m/z (%, Ir): 323 (57) (M+), 322 (52), 308 (17), 293 (7), 281 (4), 153, (5), 28 (8), 8 (30).
II: 1H NMR (300 MHz, CDCl3, δ, ppm): 8.944 (s, 1H, H23), 8.612 (s, 1H, H3), 8.596–8.584 (m, 1H, H21), 8.145-8.096 (m, 2H, H19, H5), 7.960–7.940 (dd, 1H, H6), 7.674 (s, 1H, H17), 7.512–7.292 (m, 5H, H20, H11-14), 4.346–4.328 (m, 2H, H8), 1.455–1.419 (t, 3H, H9). 13C NMR (400 MHz, CDCl3, δ, ppm):118.6 (C1), 104.0 (C2), 145.1 (C3), 124.4 (C4),121.0 (C5), 109.2 (C6), 141.6 (C7), 38.0 (C8), 14.1 (C9), 140.7 (C10), 109.1 (C11), 120.2 (C12), 122.2 (C13), 126.8 (C14), 123.1 (C15), 123.5 (C16), 127.5 (C17), 131.5 (C18), 123.8 (C19), 133.3 (C20), 123.0 (C21), 149.4 (C22). IR (KBr, cm−1): 3052 (m), 2968 (m), 2929 (w), (CH, Py, Cz), 2210 (s) (C≡N), 1629 (w, C=C), 1589 (s), 1495 (s), 1473(m), (C=C, C=N, Py, Cz), 1235 (s, C-N, Cz), 747 (s, δ(C—H)). EI, m/z (%, Ir): 323 (98) (M+), 322 (14), 309 (17), 308 (67), 293 (9), 266 (5), 153 (7), 18 (17).
To obtain compound III, 0.3462 mg (2.23 mmol) of 4-pyridylacetonitrile hydrochloride and 0.5 g (2.23 mmol) of N-ethyl-3-cabazolecarboxaldehyde were dissolved in 10 mL of dimethylformamide (DMF). The reaction was refluxed with stirring for 40 h at 120 °C. During the reaction, the mixture appeared oily, and the color changed from red-pink to brown. The reaction was distilled after the reaction time in order to eliminate the DMF, until the precipitate formed. The precipitate was treated with MeOH to eliminate the DMF hydrochloride formed; the insoluble solid was purified by recrystallization with a mixture of H2O:C3H6O (1:1) to give an orange-red crystal, yield 22.5%, m.p. 215–217 °C. Compound III was soluble in: δEtOH, δMeOH, δDMF and δDMSO and completely soluble in excess ΔDMF, ΔDMSO. The spectroscopic properties were as follows:
III: 1H NMR (300 MHz, CDCl3, δ, ppm): 8.833 (s, 1H, H3), 8.765–8.751 (d, 2H, H20, H22), 8.590 (s, 1H, H17), 8.285–8.258 (dd, 1H, H11), 8.145–8.125 (d, 1H, H5), 7.943–7.928 (d, 2H, H19-H23), 7.846–7.824 (d, 1H, H14), 7.713–7.693 (d, 1H, H6), 7.560–7.539 (m, 1H, H12), 7.326–7.307 (m, 1H, H13) 4.530–4.494 (m, 2H, H8), 1.356–1.320 (t, 3H, H9). IR (KBr, cm−1): 3038 (w), 2973 (m), 2929 (w), (CH, Py, Cz), 2213 (s) (C≡N), 1624 (w, C=C), 1568 (s), 1499 (m), 1443 (m), (C=C, C=N, Py, Cz), 1231 (s, C-N, Cz), 744 (s, δ(C-H)). EI, m/z (%, Ir): 323 (90) (M+), 309 (38), 308 (90), 270 (17), 252 (18), 235 (14), 208 (13), 129 (14), 44 (23), 38 (39), 36 (100), 35 (18).
4. Conclusions
We synthesized three novel fluorescent pyridine-carbazole based compounds with –CN attached to C=C on the acetonitriles at the -o, -m, or -p position in the pyridine ring. The synthesis of the compounds was carried out with piperidine or DMF as catalyst and solvent. The compounds were characterized with spectroscopic techniques. Optical characterization showed an effect due to the position of the bound moiety in the pyridine ring. The emission could only be observed and measured when the compounds were in the solid state; this could be attributed to the phenomenon of aggregation-induced emission. The quantum yield efficiency was measured in the solid state because, in solution, the compounds did not exhibit a distinguished fluorescence signal; the highest value was for the—meta position. Finally, THG measurements for compound I showed an interestingly high value for χ(3), which was similar to that reported for commercial polymers; even thought the compound I, is of low molecular weight.
Acknowledgements
The authors would like to acknowledge VIEP-BUAP and CONACyT (55250) for financial support. We also thank M. C. Vladimir Carranza for assistance with the EI mass spectrometry.
References
- Gondek, E.; Danel, A.; Kityk, I.V. Single-layered light-emitting diodes possessing methoxy-modified pyrazoloquinoline dyes in poly-N-vinylcarbazole matrix. J. Lumin. 2008, 128, 348–354. [Google Scholar] [CrossRef]
- Patra, A.; Pan, M.; Friend, C.S.; Lin, T.-Ch.; Cartwright, A.N.; Prasad, P.N. Electroluminescence properties of systematically derivatized organic chromophores containing electron donor and acceptor groups. Chem. Mater. 2002, 14, 4044–4048. [Google Scholar] [CrossRef]
- Yu, G.; Gao, J.; Hummelen, J.C.; Wudl, F.; Heeger, A.J. Polymer photovoltaic cells: Enhanced efficiencies via a network of internal donor-acceptor heterojunctions. Science 1995, 270, 1789–1791. [Google Scholar]
- Shaheen, E.S.; Christoph, J.B.; Sariciftci, N.S.; Padinger, F.; Fromherz, T.; Hummelen, J.C. 2.5% efficient organic plastic solar cells. Appl. Phys. Lett. 2001, 78, 841–843. [Google Scholar] [CrossRef]
- Tessler, N.; Denton, G.J.; Friend, R.H. Lasing from conjugated-polymer microcavities. Nature 1996, 382, 695–697. [Google Scholar] [CrossRef]
- Samuel, I.D.W.; Turnbull, G.A. Organic semiconductor lasers. Chem. Rev. 2007, 107, 1272–1295. [Google Scholar] [CrossRef] [PubMed]
- Zhou, Y.; Xiao, Y.; Chi, S.; Qian, X. Isomeric boron-fluorine complexes with donor-acceptor architecture: Strong solid/liquid fluorescence and large stokes shift. Org. Lett. 2008, 10, 633–636. [Google Scholar] [CrossRef] [PubMed]
- Adès, D.; Boucard, V.; Cloutet, E.; Siove, A.; Olivero, C.; Castex, M.C.; Pichler, G. Photoluminescence of donor-acceptor carbazole-based molecules in amorphous and powder forms. J. Appl. Phys. 2000, 87, 7290–7293. [Google Scholar] [CrossRef]
- Molecular Association Including Molecular Complexes; Foster, R. (Ed.) Academic Press: New York, NY, USA, 1979; Volume 2.
- Adhikari, R.M.; Mondal, R.; Shah, B.K.; Neckers, D.C. Synthesis and photophysical properties of carbazole-based blue light-emitting dendrimers. J. Org. Chem. 2007, 72, 4727–4732. [Google Scholar] [CrossRef] [PubMed]
- D’Almeida, K.; Bernéde, J.C.; Marsillac, S.; Godoy, A.; Diaz, F.R. Carbazole based electroluminescent devices obtained by vacuum evaporation. Synth. Met. 2001, 122, 127–129. [Google Scholar] [CrossRef]
- Liu, Y.; Nishiura, M.; Wang, Y.; Hou, Z. π-Conjugated aromatic enynes as a single-emitting component for white electroluminescence. J. Am. Chem. Soc. 2006, 128, 5592–5593. [Google Scholar] [CrossRef] [PubMed]
- Thomas, K.R.J.; Lin, J.T.; Tao, Y.-T.; Ko, C.-W. Light-emitting carbazole derivatives: Potential electroluminescent materials. J. Am. Chem. Soc. 2001, 123, 9404–9411. [Google Scholar] [CrossRef] [PubMed]
- Guan, M.; Chen, Z.; Bian, Z.; Liu, Z.; Gong, Z.; Baik, W.; Lee, H.; Huang, C. The host materials containing carbazole and oxadiazole fragment for red triplet emitter in organic light-emitting diodes. Org. Electron. 2006, 7, 330–336. [Google Scholar] [CrossRef]
- Strohriegl, P.; Grazulevicius, J.V. Handbook of Organic Conductive Molecules and Polymers; John Wiley & Sons: New York, NY, USA, 1997. [Google Scholar]
- Blouin, N.; Leclerc, M. Poly(2,7-carbazole)s: Structure-property relationships. Accounts Chem. Res. 2008, 41, 1110–1119. [Google Scholar] [CrossRef]
- Murphy, A.R.; Fréchet, J.M.J. Organic semiconducting oligomers for use in thin film transistors. Chem. Rev. 2007, 107, 1066–1096. [Google Scholar] [CrossRef] [PubMed]
- Drolet, N.; Morin, J.-F.; Leclerc, N.; Wakim, S.; Tao, Y.; Leclerc, M. 2,7-Carbazolenevinylene-based oligomer thin-film transistors: high mobility through structural ordering. Adv. Funct. Mater. 2005, 15, 1671–1682. [Google Scholar] [CrossRef]
- Blouin, N.; Michaud, A.; Leclerc, M. A low-bandgap poly(2,7-carbazole) derivative for use in high-performance solar cells. Adv. Mater. 2007, 19, 2295–2300. [Google Scholar] [CrossRef]
- Blouin, N.; Michaud, A.; Gendron, D.; Wakim, S.; Blair, E.; Neagu-Plesu, R.; Belletete, M.; Durocher, G.; Tao, Y.; Leclerc, M. Toward a rational design of poly(2,7-carbazole) derivatives for solar cells. J. Am. Chem. Soc. 2008, 130, 732–742. [Google Scholar] [CrossRef] [PubMed]
- Wong, M.S.; Li, Z.H.; Shek, M.F.; Samoc, M.; Samoc, A.; Luther-Davies, B. Synthesis and third-order nonlinear optical properties of end-functionalized oligo-phenylenevinylenes. Chem. Mater. 2002, 14, 2999–3004. [Google Scholar] [CrossRef]
- Samoc, M.; Samoc, A.; Luther-Davies, B.; Humphrey, M.G.; Wong, M.-S. Third-order optical nonlinearities of oligomers, dendrimers and polymers derived from solution Z-scan studies. Opt. Mater. 2003, 21, 485–488. [Google Scholar] [CrossRef]
- Meier, H.; Ickenroth, D.; Stalmach, U.; Koynov, K.; Bahtiar, A.; Bubeck, C. Preparation and nonlinear optics of monodisperse oligo(1,4-phenyleneethynylene)s. Eur. J. Org. Chem. 2001, 23, 4431–4435. [Google Scholar] [CrossRef]
- Yoon, C.B.; Lee, J.I.; Shim, H.K. Synthesis and third-order nonlinearity of dye-containing poly(1,4-phenylenevinylene) derivative. Synthetic Met. 1997, 84, 273–274. [Google Scholar] [CrossRef]
- Koynov, K.; Bahtiar, A.; Bubeck, C.; Muhling, B.; Meier, H. Effect of donor-acceptor substitution on the nonlinear optical properties of oligo(1,4-phenyleneethynylene)s studied by third harmonic generation spectroscopy. J. Phys. Chem. B 2005, 109, 10184–10188. [Google Scholar] [CrossRef] [PubMed]
- Mathy, A.; Ueberhofen, K.; Schenk, R.; Gregorius, H.; Garay, R.; Müllen, K.; Bubeck, C. Third-harmonic-generation spectroscopy of poly(p-phenylenevinylene): A comparison with oligomers and scaling laws for conjugated polymers. Phys. Rev. B 1996, 53, 4367–4376. [Google Scholar] [CrossRef]
- Jiang, L.; Lu, F.; Gao, Y.; Song, Y.; Liu, H.; Gan, H.; Jiu, T.; Li, Y.; Li, Y.; Wang, S.; Zhu, D. Nonlinear optical properties of an ultrathin film containing porphyrin and poly (phenylenevinylene) units. Thin Solid Films 2006, 496, 311–316. [Google Scholar] [CrossRef]
- Bader, M.A.; Marowsky, G.; Bahtiar, A.; Koynov, K.; Bubeck, C.; Tillmann, H.; Hörhold, H.H.; Pereira, S. Poly(p-phenylenevinylene) derivatives: New promising materials for nonlinear all-optical waveguide switching. J. Opt. Soc. Am. B 2002, 19, 2250–2262. [Google Scholar] [CrossRef]
- Samoc, A.; Samoc, M.; Woodruff, M.; Luther-Davies, B. Tuning the properties of poly(p-phenylenevinylene) for use in all-optical switching. Opt. Lett. 1995, 20, 1241–1243. [Google Scholar] [CrossRef] [PubMed]
- Samoc, A.; Samoc, M.; Woodruff, M.; Luther-Davies, B. Photonic Polymer Systems, Fundamentals, Methods and Applications; Ise, D.L., Wnek, G.E., Trantolo, D.J., Cooper, T.M., Gresser, J.D., Eds.; Marcel Dekker, Inc.: Basel, Switzerland, 1998. [Google Scholar]
- Dailey, S.; Halim, M.; Rebourt, E.; Hoursburgh, L.E.; Samuel, I.D.W.; Monkman, A.P. An efficient electron-transporting polymer for light-emitting diodes. J. Phys. Condens. Matter. 1998, 10, 5171–5178. [Google Scholar] [CrossRef]
- Epstein, A.J.; Blatchford, J.W.; Wang, Y.Z.; Jessen, S.W.; Gebler, D.D.; Lin, L.B.; Gustafson, T.L.; Wang, H.L.; Park, Y.W.; Swager, T.M.; MacDiarmind, A.G. Poly(p-pyridine)—and poly (p-pyridyl vinylene)-based polymers: Their photophysics and application to SCALE devices. Synt. Met. 1996, 78, 253–261. [Google Scholar] [CrossRef]
- Su, S.-J.; Sasabe, H.; Takeda, T.; Kido, J. Pyridine-containing bipolar host materials for highly efficient blue phosphorescent OLEDs. Chem. Mater. 2008, 20, 1691–1693. [Google Scholar] [CrossRef]
- Percino, M.J.; Chapela, V.M.; Urzúa, O.; Montiel, L.-F.; Rodríguez de Barbarín, C. 1-(p-Fluorophenyl)-2-(2’-pyridyl)ethanol and 1-(p-fluorophenyl)-2-(2’-pyridyl)ethene obtained from the condensation reaction of 2-picoline and p-fluorophenylaldehyde under catalyst-and solvent-free conditions. Res. Chem. Intermediat. 2007, 33, 623–629. [Google Scholar] [CrossRef]
- Percino, M.J.; Chapela, V.M.; Montiel, L.-F.; Rodríguez-Babarín, C. X-Ray crystal structures of a 1-(p-fluorophenyl)-2-(α-pyridyl)ethanol intermediate and the 1-(p-fluorophenyl)-2-(α-pyridyl)ethene dehydration compound obtained from the condensation reaction of 2-methylpyridine and p-fluorobenzaldehyde. Open Crystallogr. J. 2008, 1, 37–41. [Google Scholar] [CrossRef]
- Percino, M.J.; Chapela, V.M.; Sanchez, A.; Maldonado-Rivera, J.L. Condensation reactions of methylpyridines and aromatic aldehydes under catalyst and solvent free Conditions. Chem. Indian J. 2006, 3, 262–267. [Google Scholar]
- Percino, M.J.; Chapela, V.M.; Montiel, L.-F.; Pérez-Gutiérrez, E.; Maldonado-Rivera, J.L. Spectroscopic characterization of halogen- and cyano-substituted pyridinevinylenes synthesized without catalyst or solvent. Chem. Pap. 2010, 64, 360–367. [Google Scholar] [CrossRef]
- Williams, D.H.; Fleming, I. Spectroscopic Methods in Organic Chemistry, 3rd ed.; McGraw-Hill: Maidenhead, UK, 1980. [Google Scholar]
- Gatial, A.; Milata, V.; Biskupič, S.; Pigosšová, J.; Herzog, K.; Salzer, R. The vibrational and NMR spectra and conformations of methoxymethylene- and 1-methoxyethylidenepropanedinitrile including solvent effect calculations. Asian Chem. Letter. 2004, 8, 169–186. [Google Scholar]
- Gróf, M.; Polovková, J.; Gatial, A.; Milata, V.; Černuchová, P.; Prónayová, N.; Matějka, P. Isomers and conformers of two push-pull hydrazines studied by NMR and vibrational spectroscopy and by ab initio calculations. J. Mol. Struc. 2007, 834–836, 284–293. [Google Scholar] [CrossRef]
- Vida, M.; Gatial, A.; Polovková, J.; Zalibera, L.; Milata, V.; Salzer, R. The vibrational and NMR spectra, conformations and ab initio calculations of 1-(cyclopropylamino)-ethylidene propanedinitrile. Asian Chem. Letter. 2007, 11, 11–24. [Google Scholar]
- Kobayashi, T. J-Aggregates; World Scientific Publishing: Hackensack, NJ, USA, 1996; pp. 111–160. [Google Scholar]
- Oelkrug, D.; Tompert, A.; Gierschner, J.; Egelhaaf, H.-J.; Hanack, M.; Hohloch, M.; Steinhuber, E. Tuning of fluorescence in films and nanoparticles of oligophenylenevinylenes. J. Phys. Chem. B 1998, 102, 1902–1907. [Google Scholar] [CrossRef]
- Davis, R.; Kumar, N.S.S.; Abraham, S.; Suresh, C.H.; Rath, N.P.; Tamaoki, N.; Das, S. Molecular packing and solid-state fluorescence of alkoxy-cyano substituted diphenylbutadienes: Structure of the luminescent aggregates. J. Phys. Chem. C 2008, 112, 2137–2146. [Google Scholar] [CrossRef]
- Liu, Y.; Tao, X.; Wang, F.; Shi, J.; Yu, W.; Ren, Y.; Zou, D.; Jiang, M. Intermolecular hydrogen bonds induce highly emissive excimers: Enhancement of solid-state luminescence. J. Phys. Chem. C 2007, 111, 6544–6549. [Google Scholar] [CrossRef]
- Luo, J.; Xie, Z.; Lam, J.W.Y.; Cheng, L.; Chen, H.; Qiu, C.; Kwok, H.S.; Zhan, X.; Liu, Y.; Zhu, D.; Tang, B.Z. Aggregation-induced emission of 1-methyl-1,2,3,4,5-pentaphenylsilole. Chem. Commun. 2001, 18, 1740–1741. [Google Scholar] [CrossRef]
- De Mello, J.C.; Wittmann, H.F.; Friend, R.H. An improved experimental determination of external photoluminescence quantum efficiency. Adv. Mater. 1997, 9, 230–232. [Google Scholar] [CrossRef]
- Kumar, N.S.S.; Varghese, S.; Rath, N.P.; Das, S. Solid state optical properties of 4-alkoxy-pyridine butadiene derivatives: Reversible thermal switching of luminescence. J. Phys. Chem. C 2008, 112, 8429–8437. [Google Scholar] [CrossRef]
- Kawamura, Y.; Sasabe, H.; Adachi, C. Simple accurate system for measuring absolute photoluminescence quantum efficiency in organic solid-state thin films. Jpn. J. Appl. Phys. 2004, 43, 7729–7730. [Google Scholar] [CrossRef]
- Mattoussi, H.; Murata, H.; Merritt, C.D.; Lizumi, Y.; Kido, J.; Kafafi, Z.H. Photoluminescence quantum yield of pure and molecularly doped organic solid films. J. Appl. Phys. 1999, 86, 2642–2650. [Google Scholar] [CrossRef]
- Palsson, L.-O.; Monkman, A.P. Measurements of solid-state photoluminescence quantum yields of films using a fluorimeter. Adv. Mater. 2002, 14, 757–758. [Google Scholar] [CrossRef]
- Ramos-Ortiz, G.; Maldonado, J.L.; Meneses-Nava, M.A.; Barbosa-García, O.; Olmos, M.; Cha, M. Third-harmonic generation performance of organic polymer films doped with triphenylmethane derivative dyes. Opt. Mater. 2007, 29, 636–641. [Google Scholar] [CrossRef]
- Gordon, A.J.; Ford, R.A. The Chemist’s Companion—A Handbook of Practical Data, Techniques, and References; John Wiley & Sons, Inc.: Hoboken, NJ, USA, 1972. [Google Scholar]
- Klimova, E.; Klimova, T.; Martínez-Mendoza, J.M.; Ortiz-Frade, L.; Maldonado, J.-L.; Ramos-Ortiz, G.; Flores-Alamo, M.; Martínez-García, M. 5-Aryl-1-ferrocenylpenta-1,4-dien-3-ones: Synthesis, structures, electrochemistry and third-order nonlinear optical properties. Inorg. Chim. Acta 2009, 362, 2820–2827. [Google Scholar] [CrossRef]
© 2011 by the authors. Licensee MDPI, Basel, Switzerland. This article is an open access article distributed under the terms and conditions of the Creative Commons Attribution license ( http://creativecommons.org/licenses/by/3.0/).