Element Specific Versus Integral Structural and Magnetic Properties of Co:ZnO and Gd:GaN Probed with Hard X-ray Absorption Spectroscopy
Abstract
:1. Introduction
2. Dilute Magnetic Semiconductors (DMS)
2.1. The Controversy about Co:ZnO DMS
2.1.1. Experimental Work
2.1.2. Theoretical Work
2.2. Gd:GaN-RT Ferromagnetism with Colossal Moments?
3. Experimental Techniques
3.1. Structural Properties
3.1.1. Integral Methods
3.1.2. Element-specific Methods

3.2. Magnetic Properties
3.2.1. Integral Methods
3.2.2. Element-specific Methods

4. Co-doped ZnO Epitaxial Films
4.1. Basic Structural Properties


4.2. Paramagnetic Co:ZnO Films
4.2.1. Typical XANES/XLD Signatures

4.2.2. SQUID Results

4.2.3. XMCD Results

4.2.4. EPR Results

4.2.5. Anisotropic Paramagnetism

4.2.6. Antiferromagnetic Co-O-Co Interaction

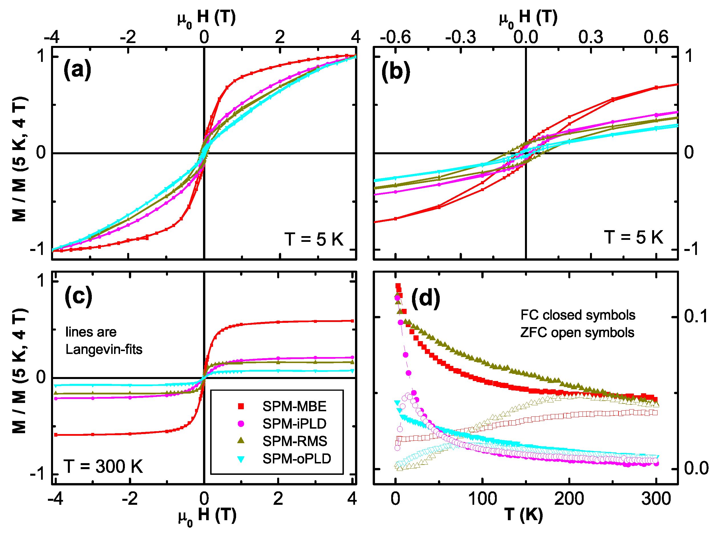
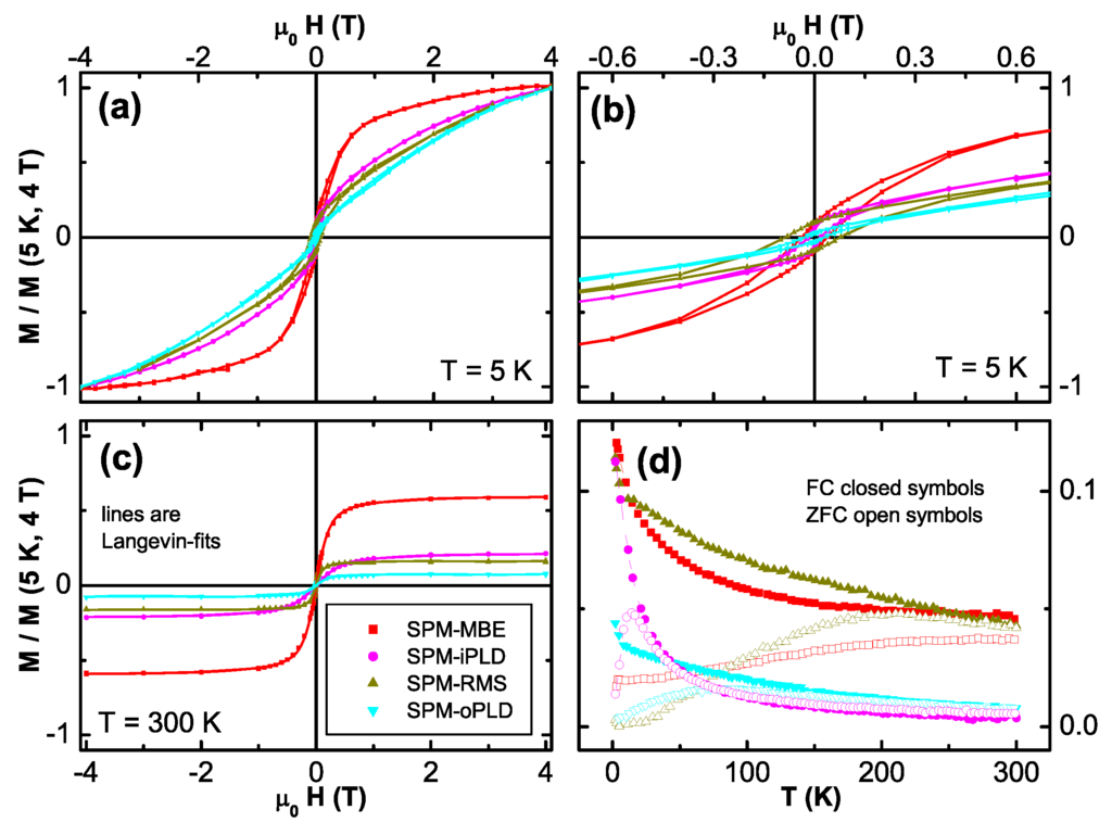
4.3. Superparamagnetic Co:ZnO Films





4.4. Magneto-transport Properties of PM/SPM Co:ZnO

4.5. Summary–Co:ZnO
5. Gd-doping of GaN Epitaxial Films
5.1. Fabrication of Gd-doped GaN
5.2. Structural Properties

5.3. Magnetic Properties
5.3.1. Integral Magnetometry


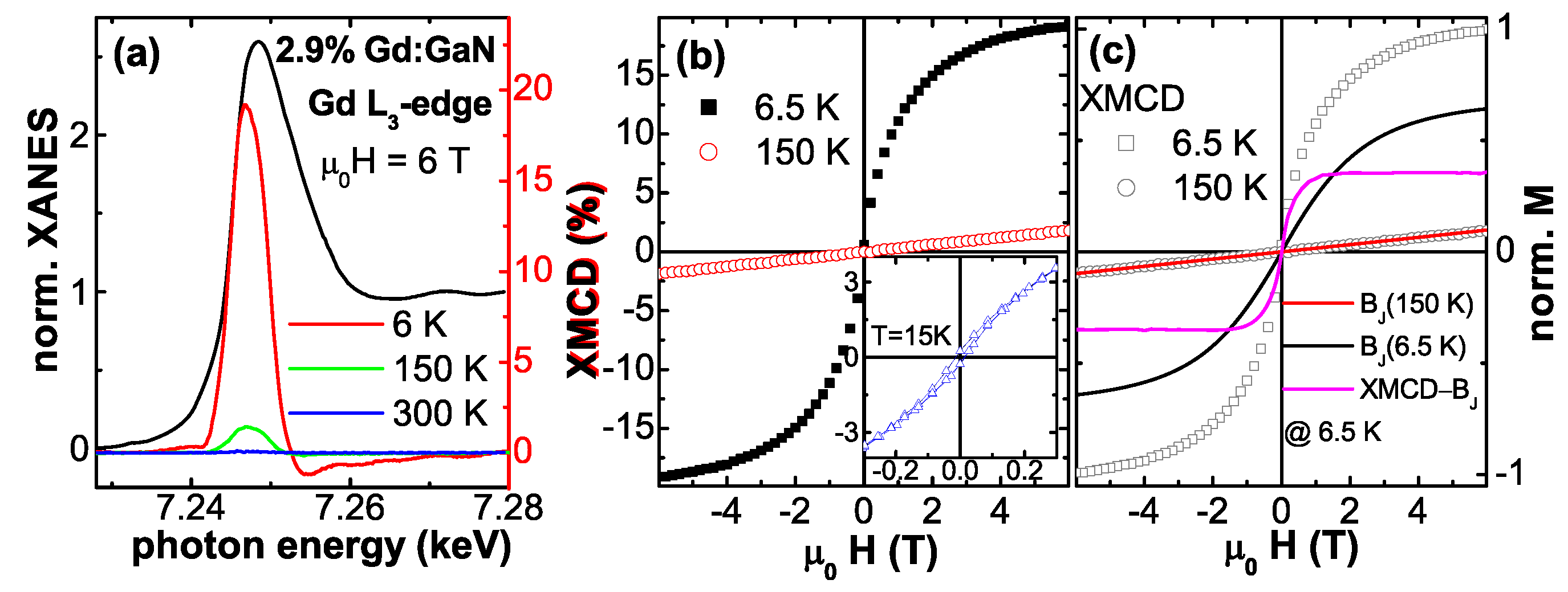
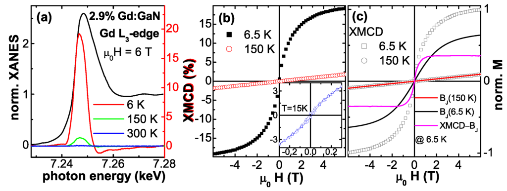
5.3.2. Gd Sublattice Magnetization

5.3.3. Magnetic Polarization of the GaN Host



5.4. Summary–Gd:GaN
6. Conclusions and Outlook
Acknowledgements
References
- Moore, G.E. Cramming more components onto integrated circuits. Electronics 1965, 38, 114–117. [Google Scholar] [CrossRef]
- Datta, S.; Das, B. Electronic analog of the electro-optic modulator. Appl. Phys. Lett. 1990, 56, 665–667. [Google Scholar] [CrossRef]
- Ohno, Y.; Young, D.K.; Beschoten, B.; Matsukura, F.; Ohno, H.; Awschalom, D.D. Electrical spin injection in a ferromagnetic semiconductor heterostructure. Nature 1999, 402, 790–792. [Google Scholar] [CrossRef]
- Wolf, S.A.; Awschalom, D.D.; Buhrman, R.A.; Daughton, J.M.; von Molnár, S.; Roukes, M.L.; Chtchelkanova, A.Y.; Treger, D.M. Spintronics: A spin-based electronics vision for the future. Science 2001, 294, 1488–1495. [Google Scholar] [CrossRef] [PubMed]
- Martel, R.; Schmidt, T.; Shea, H.R.; Hertel, T.; Avouris, Ph. Single- and multi-wall carbon nanotube field-effect transistors. Appl. Phys. Lett. 1998, 73, 2447–2449. [Google Scholar] [CrossRef]
- Huang, Y.; Duan, X.; Cui, Y.; Lauhon, L.J.; Kim, K.-H.; Lieber, C.M. Logic gates and computation from assembled nanowire building blocks. Science 2001, 294, 1313–1317. [Google Scholar] [CrossRef] [PubMed]
- Chen, J.; Rheed, M.A.; Rawlett, A.M.; Tour, J.M. Large on-off ratios and negative differential resistance in a molecular electronic device. Science 1999, 286, 1550–1552. [Google Scholar] [CrossRef] [PubMed]
- Baibich, M.N.; Broto, J.M.; Fert, A.; Nguyen Van Dau, F.; Petroff, F.; Eitenne, P.; Creuzet, G.; Friederich, A.; Chazelas, J. Giant magnetoresistance of (001)Fe/(001)Cr magnetic superlattices. Phys. Rev. Lett. 1988, 61, 2472–2475. [Google Scholar] [CrossRef] [PubMed]
- Binasch, G.; Grünberg, P.; Saurenbach, F.; Zinn, W. Enhanced magnetoresistance in layered magnetic structures with antiferromagnetic interlayer exchange. Phys. Rev. B 1989, 39, 4828–4830. [Google Scholar] [CrossRef]
- Moodera, J.S.; Kinder, L.R.; Wong, T.M.; Meservey, R. Large magnetoresistance at room temperature in ferromagnetic thin film tunnel junctions. Phys. Rev. Lett. 1995, 74, 3273–3276. [Google Scholar] [CrossRef] [PubMed]
- Parkin, S.S.P.; Roche, K.P.; Samant, M.G.; Rice, P.M.; Beyers, R.B.; Scheuerlein, R.E.; O’Sullivan, E.J.; Brown, S.L.; Bucchigano, J.; Abraham, D.W.; Lu, Y.; Rooks, M.; Trouilloud, P.L.; Wanner, R.A.; Gallagher, W.J. Exchange-biased magnetic tunnel junctions and application to nonvolatile magnetic random access memory. J. Appl. Phys. 1999, 85, 5828–5833. [Google Scholar] [CrossRef]
- Black, W.C., Jr.; Das, B.J. Programmable logic using giant-magnetoresistance and spin-dependent tunneling devices. J. Appl. Phys. 2000, 87, 6674–6679. [Google Scholar] [CrossRef]
- Richter, R.; Boeve, H.; Bär, L.; Bangert, J.; Klostermann, U.K.; Wecker, J.; Reiss, G. Field programmable spin-logic based on magnetic tunnelling elements. J. Magn. Magn. Mater. 2002, 240, 127–129. [Google Scholar] [CrossRef]
- Ney, A.; Pampuch, C.; Koch, R.; Ploog, K.H. Programmable computing with a single magnetoresistive element. Nature 2003, 425, 485–487. [Google Scholar] [CrossRef] [PubMed]
- Fiederling, R.; Keim, M.; Reuscher, G.; Ossau, W.; Schmidt, G.; Waag, A.; Molenkamp, L.W. Injection and detection of a spin-polarized current in a light-emitting diode. Nature 1999, 402, 787–790. [Google Scholar]
- Zhu, H.J.; Ramsteiner, M.; Kostial, H.; Wassermeier, M.; Schönherr, H.-P.; Ploog, K.H. Room-temperature spin injection from Fe into GaAs. Phys. Rev. Lett. 2001, 87, 016601. [Google Scholar] [CrossRef] [PubMed]
- Jiang, X.; Wang, R.; Shelby, R.M.; Macfarlane, R.M.; Bank, S.R.; Harris, J.S.; Parkin, S.S.P. Highly spin-polarized room-temperature tunnel injector for semiconductor spintronics using MgO(100). Phys. Rev. Lett. 2005, 94, 056601. [Google Scholar] [CrossRef] [PubMed]
- Adelmann, C.; Lou, X.; Strand, J.; Palmstrom, C.J.; Crowell, P.A. Spin injection and relaxation in ferromagnet-semiconductor heterostructures. Phys. Rev. B 2005, 71, 121301. [Google Scholar] [CrossRef]
- Lou, X.; Adelmann, C.; Crooker, S.A.; Garlid, E.S.; Zhang, J.; Madhukar Reddy, K.S.; Flexner, S.D.; Palmstrom, C.J.; Crowell, P.A. Electrical detection of spin transport in lateral ferromagnetsemiconductor devices. Nat. Physics 2007, 3, 197–202. [Google Scholar] [CrossRef]
- Matthias, B.T.; Bozorth, R.M.; Van Vleck, J.H. Ferromagnetic interaction in EuO. Phys. Rev. Lett. 1961, 7, 160–161. [Google Scholar] [CrossRef]
- Schmehl, A.; Vaithyanathan, V.; Herrnberger, A.; Thiel, S.; Richter, C.; Liberati, M.; Heeg, T.; Rockerath, M.; Kourkoutis, L.F.; Muhlbauer, S.; Boni, P.; Muller, D.A.; Basash, Y.; Schubert, J.; Idzerda, Y.; Mannhart, J.; Schlom, D. Epitaxial integration of the highly spin-polarized ferromagnetic semiconductor EuO with silicon and GaN. Nat. Mater. 2007, 6, 882–887. [Google Scholar] [CrossRef] [PubMed]
- Furdyna, J.K. Diluted magnetic semiconductors. J. Appl. Phys. 1988, 64, R29–R64. [Google Scholar] [CrossRef]
- Shapira, Y.; Bindilatti, V. Magnetization-step studies of antiferromagnetic clusters and single ions: Exchange, anisotropy, and statistics. J. Appl. Phys. 2002, 92, 4155–4185. [Google Scholar] [CrossRef]
- Ohno, H.; Shen, A.; Matsukura, F.; Oiwa, A.; Endo, A.; Katsumoto, S.; Iye, Y. (Ga,Mn)As: A new diluted magnetic semiconductor based on GaAs. Appl. Phys. Lett. 1996, 69, 363–365. [Google Scholar] [CrossRef]
- Chiba, D.; Yamanouchi, M.; Matsukura, F.; Ohno, H. Electrical manipulation of magnetization reversal in a ferromagnetic semiconductor. Science 2003, 301, 943–945. [Google Scholar] [CrossRef] [PubMed]
- Chiba, D.; Sato, Y.; Kita, T.; Matsukura, F.; Ohno, H. Current-driven magnetization reversal in a ferromagnetic semiconductor (Ga,Mn)As/GaAs/(Ga,Mn)As tunnel junction. Phys. Rev. Lett. 2004, 93, 216602. [Google Scholar] [CrossRef] [PubMed]
- Jungwirth, T.; Wang, K.Y.; Masek, J.; Edmonds, K.W.; König, J.; Sinova, J.; Polini, M.; Goncharuk, N.A.; MacDonald, A.H.; Sawicki, M.; Rushforth, A.W.; Campion, R.P.; Zhao, L.X.; Foxon, C.T.; Gallagher, B.L. Prospects for high temperature ferromagnetism in (Ga,Mn)As semiconductors. Phys. Rev. B 2005, 72, 165204. [Google Scholar] [CrossRef]
- Dietl, T.; Ohno, H.; Matsukara, F.; Cibert, J.; Ferrand, D. Zener model description of ferromagnetism in Zinc-blende magnetic semiconductors. Science 2000, 287, 1019–1022. [Google Scholar] [CrossRef] [PubMed]
- Sato, K.; Katayama-Yoshida, H. Material design for transparent ferromagnets with ZnO-based ferromagnetic semiconductors. Jpn. J. Appl. Phys. 2000, 39, L555–L558. [Google Scholar] [CrossRef]
- Reed, M.L.; El-Masry, N.A.; Stadelmaier, H.H.; Ritums, M.K.; Reed, M.J.; Parker, C.A.; Roberts, J.C.; Bedair, S.M. Room temperature ferromagnetic properties of (Ga, Mn)N. Appl. Phys. Lett. 2001, 79, 3473–3475. [Google Scholar] [CrossRef]
- Ueda, K.; Tabata, H.; Kawai, T. Magnetic and electric properties of transition-metal-doped ZnO films. Appl. Phys. Lett. 2001, 79, 988–990. [Google Scholar] [CrossRef]
- Dhar, S.; Brandt, O.; Trampert, A.; Däweritz, L.; Friedland, K.J.; Ploog, K.H.; Keller, J.; Beschoten, B.; Güntherodt, G. Origin of high-temperature ferromagnetism in (Ga,Mn)N layers grown on 4HSiC(0001) by reactive molecular-beam epitaxy. Appl. Phys. Lett. 2003, 82, 2077–2079. [Google Scholar] [CrossRef]
- Dhar, S.; Brandt, O.; Trampert, A.; Friedland, K.J.; Sun, Y.J.; Ploog, K.H. Observation of spin-glass behavior in homogeneous (Ga,Mn)N layers grown by reactive molecular-beam epitaxy. Phys. Rev. B 2003, 67, 165205. [Google Scholar] [CrossRef]
- Sarigiannidou, E.; Wilhelm, F.; Monroy, E.; Galera, R.M.; Bellet-Amalric, E.; Rogalev, A.; Goulon, J.; Cibert, J.; Mariette, H. Intrinsic ferromagnetism in wurtzite (Ga,Mn)N semiconductor. Phys. Rev. B 2006, 74, 041306(R). [Google Scholar] [CrossRef]
- Teraguchi, N.; Suzuki, A.; Nanishi, Y.; Zhou, Y.K.; Hashimoto, M.; Asahi, H. Room-temperature observation of ferromagnetism in diluted magnetic semiconductor GaGdN grown by RF-molecular beam epitaxy. Solid State Commun. 2002, 122, 651–653. [Google Scholar] [CrossRef]
- Dhar, S.; Brandt, O.; Ramsteiner, M.; Sapega, V.F.; Ploog, K.H. Colossal magnetic moment of Gd in GaN. Phys. Rev. Lett. 2005, 94, 037205. [Google Scholar] [CrossRef] [PubMed]
- Chambers, S.A. Ferromagnetism in doped thin-film oxide and nitride semiconductors and dielectrics. Surf. Sci. Rep. 2006, 61, 345–381. [Google Scholar] [CrossRef]
- Chambers, S.A. Epitaxial growth and properties of doped transition metal and complex oxide films. Adv. Mater. 2010, 22, 219–248. [Google Scholar] [CrossRef] [PubMed]
- Coey, J.M.D. Dilute magnetic oxides. Curr. Opin. Solid State Mater. Sci. 2006, 10, 83–92. [Google Scholar] [CrossRef]
- Brumage, W.H.; Dorman, C.F.; Quade, C.R. Temperature-dependent paramagnetic susceptibilities of Cu2+ and Co2+ as dilute impurities in ZnO. Phys. Rev. B 2001, 63, 104411. [Google Scholar] [CrossRef]
- Kolesnik, S.; Dabrowski, B.; Mais, J. Structural and magnetic properties of transition metal substituted ZnO. J. Appl. Phys. 2004, 95, 2582–2586. [Google Scholar] [CrossRef]
- Park, J.H.; Kim, M.G.; Jang, H.M.; Ryu, S.; Kim, Y.M. Co-metal clustering as the origin of ferromagnetism in Co-doped ZnO thin films. Appl. Phys. Lett. 2004, 84, 1338–1340. [Google Scholar] [CrossRef]
- Lawes, G.; Risbud, A.S.; Ramirez, A.P.; Seshadri, R. Absence of ferromagnetism in Co and Mn substituted polycrystalline ZnO. Phys. Rev. B 2005, 71, 045201. [Google Scholar] [CrossRef]
- Bouloudenine, M.; Viart, N.; Colis, S.; Kortus, J.; Dinia, A. Antiferromagnetism in bulk Zn1-xCoxO magnetic semiconductors prepared by the coprecipitation technique. Appl. Phys. Lett. 2005, 87, 052501. [Google Scholar] [CrossRef]
- Deka, S.; Pasricha, R.; Joy, P.A. Experimental comparison of the structural, magnetic, electronic, and optical properties of ferromagnetic and paramagnetic polycrystalline Zn1-xCoxO (x = 0, 0.05, 0.1). Phys. Rev. B 2006, 74, 033201. [Google Scholar] [CrossRef]
- Sati, P.; Deparis, C.; Morhain, C.; Schäfer, S.; Stepanov, A. Antiferromagnetic interactions in single crystalline Zn1-xCoxO thin films. Phys. Rev. Lett. 2007, 98, 137204. [Google Scholar] [CrossRef] [PubMed]
- Kaspar, T.C.; Droubay, T.; Heald, S.M.; Nachimuthu, P.; Wang, C.M.; Shutthanandan, V.; Johnson, C.A.; Gamelin, D.R.; Chambers, S.A. Lack of ferromagnetism in n-type cobalt-doped ZnO epitaxial thin films. New J. Phys. 2008, 10, 055010. [Google Scholar] [CrossRef]
- Opel, M.; Nielsen, K.-W.; Bauer, S.; Goennenwein, S.T.B.; Cézar, J.C.; Schmeisser, D.; Simon, J.; Mader, W.; Gross, R. Nanosized superparamagnetic precipitates in cobalt-doped ZnO. Eur. Phys. J. B 2008, 63, 437–444. [Google Scholar] [CrossRef]
- Ney, A.; Ollefs, K.; Ye, S.; Kammermeier, T.; Ney, V.; Kaspar, T.C.; Chambers, S.A.; Wilhelm, F.; Rogalev, A. Absence of intrinsic ferromagnetic interactions of isolated and paired Co dopant atoms in Zn1-xCoxO with high structural perfection. Phys. Rev. Lett. 2008, 100, 157201. [Google Scholar] [CrossRef] [PubMed]
- Iusan, D.; Knut, R.; Sanyal, B.; Karis, O.; Eriksson, O.; Coleman, V.A.; Westin, G.; Wikberg, J.M.; Svedlindh, P. Electronic structure and chemical and magnetic interactions in ZnO doped with Co and Al: Experiments and ab initio density-functional calculations. Phys. Rev. B 2008, 78, 085319. [Google Scholar] [CrossRef]
- Tuan, A.C.; Bryan, J.D.; Pakhomov, A.B.; Shutthanandan, V.; Thevuthasan, S.; McCready, D.E.; Gaspar, D.; Engelhard, M.H.; Rogers, J., Jr.; Krishnan, K.; Gamelin, D.R.; Chambers, S.A. Epitaxial growth and properties of cobalt-doped ZnO on α-Al2O3 single-crystal substrates. Phys. Rev. B 2004, 70, 054424. [Google Scholar] [CrossRef]
- Yin, Z.; Chen, N.; Chai, C.; Yang, F. Structural and magnetic properties of insulating Zn1-xCoxO thin films. J. Appl. Phys. 2004, 96, 5093–5096. [Google Scholar] [CrossRef]
- Kittilstved, K.R.; Norberg, N.S.; Gamelin, D.R. Chemical manipulation of high-TC ferromagnetism in ZnO diluted magnetic semiconductors. Phys. Rev. Lett. 2005, 94, 147209. [Google Scholar] [CrossRef] [PubMed]
- Venkatesan, M.; Fitzgerald, C.B.; Lunney, J.G.; Coey, J.M.D. Anisotropic ferromagnetism in substituted Zinc Oxide. Phys. Rev. Lett. 2004, 93, 177206. [Google Scholar] [CrossRef] [PubMed]
- Xu, X.H.; Blythe, H.J.; Ziese, M.; Behan, A.J.; Neal, J.R.; Mokhtari, A.; Ibrahim, R.M.; Fox, A.M.; Gehring, G.A. Carrier-induced ferromagnetism in n-type ZnMnAlO and ZnCoAlO thin films at room temperature. New J. Phys. 2006, 8, 135–144. [Google Scholar] [CrossRef]
- Hsu, H.S.; Huang, J.C.A.; Chen, S.F.; Liu, C.P. Role of grain boundary and grain defects on ferromagnetism in Co:ZnO films. Appl. Phys. Lett. 2007, 90, 102506. [Google Scholar] [CrossRef]
- Behan, A.J.; Mokhtari, A.; Blythe, H.J.; Score, D.; Xu, X.-H.; Neal, J.R.; Fox, A.M.; Gehring, G.A. Two magnetic regimes in doped ZnO corresponding to a dilute magnetic semiconductor and a dilute magnetic insulator. Phys. Rev. Lett. 2008, 100, 047206. [Google Scholar] [CrossRef] [PubMed]
- Akdogan, N.; Nefedov, A.; Westerholt, K.; Zabel, H.; Becker, H.-W.; Somsen, C.; Khaibullin, R.; Tagirov, L. Intrinsic room temperature ferromagnetism in Co-implanted ZnO. J. Phys. D 2008, 41, 165001. [Google Scholar] [CrossRef]
- Liu, Y.; MacManus-Driscoli, J.L. Impurity control in Co-doped ZnO films through modifying cooling atmosphere. Appl. Phys. Lett. 2009, 94, 022503. [Google Scholar] [CrossRef]
- Zukova, A.; Teiserskis, A.; van Dijken, S.; Gunko, Y.K.; Kazlauskiene, V. Giant moment and magnetic anisotropy in Co-doped ZnO films grown by pulse-injection metal organic chemical vapor deposition. Appl. Phys. Lett. 2006, 89, 232503. [Google Scholar] [CrossRef]
- Song, C.; Geng, K.W.; Zeng, F.; Wang, X.B.; Shen, Y.X.; Pan, F.; Xie, Y.N.; Liu, T.; Zhou, H.T.; Fan, Z. Giant magnetic moment in an anomalous ferromagnetic insulator: Co-doped ZnO. Phys. Rev. B 2006, 73, 024405. [Google Scholar] [CrossRef]
- Barla, A.; Schmerber, G.; Beaurepaire, E.; Dinia, A.; Bieber, H.; Colis, S.; Scheurer, F.; Kappler, J.-P.; Imperia, P.; Nolting, F.; Wilhelm, F.; Rogalev, A.; Müller, D.; Grob, J.J. Paramagnetism of the Co sublattice in ferromagnetic Zn1-xCoxO films. Phys. Rev. B 2007, 76, 125201. [Google Scholar] [CrossRef]
- Tietze, T.; Gacic, M.; Schütz, G.; Jakob, G.; Brück, S.; Goering, E. XMCD studies on Co and Li doped ZnO magnetic semiconductors. New J. Phys. 2008, 10, 055009. [Google Scholar] [CrossRef]
- Coey, J.M.D.; Venkatesan, M.; Fitzgerald, C.B. Donor impurity band exchange in dilute ferromagnetic oxides. Nat. Mat. 2005, 4, 173–179. [Google Scholar] [CrossRef] [PubMed]
- Straumal, B.B.; Mazilkin, A.A.; Protasova, S.G.; Myatiev, A.A.; Straumal, P.B.; Schütz, G.; van Aken, P.A.; Goering, E.; Baretzky, B. Magnetization study of nanograined pure and Mn-doped ZnO films: Formation of a ferromagnetic grain-boundary foam. Phys. Rev. B 2009, 79, 205206. [Google Scholar] [CrossRef]
- Chen, S.J.; Suzuki, K.; Garitaonandia, J.S. Room temperature ferromagnetism in nanostructured ZnOAl system. Appl. Phys. Lett. 2009, 95, 172507. [Google Scholar] [CrossRef]
- Büsgen, T.; Hilgendorff, M.; Irsen, S.; Wilhelm, F.; Rogalev, A.; Goll, D.; Giersing, M. Colloidal cobalt-doped ZnO nanorods: Synthesis, structural, and magnetic properties. J. Phys. Chem. C 2008, 112, 2412–2417. [Google Scholar] [CrossRef]
- Kittilstved, K.R.; Schwartz, D.A.; Tuan, A.C.; Heald, S.M.; Chambers, S.A.; Gamelin, D.R. Direct kinetic correlation of carriers and ferromagnetism in Co2+: ZnO. Phys. Rev. Lett. 2006, 97, 037203. [Google Scholar] [CrossRef] [PubMed]
- Wi, S.C.; Kang, J.-S.; Kim, J.H.; Cho, S.-B.; Kim, B.J.; Yoon, S.; Suh, B.J.; Han, S.W.; Kim, K.H.; Kim, K.J.; Kim, B.S.; Song, H.J.; Shin, H.J.; Shim, J.H.; Min, B.I. Electronic structure of Zn1-xCoxO using photoemission and x-ray absorption spectroscopy. Appl. Phys. Lett. 2004, 84, 4233–4235. [Google Scholar] [CrossRef]
- Wei, H.; Yao, T.; Pan, Z.; Mai, C.; Sun, Z.; Wu, Z.; Hu, F.; Jiang, Y.; Yan, W. Role of Co clusters in wurtzite Co:ZnO dilute magnetic semiconductor thin films. J. Appl. Phys. 2009, 105, 043903. [Google Scholar] [CrossRef]
- Venkatesan, M.; Stamenov, P.; Dorneles, L.S.; Gunning, R.D.; Bernoux, B.; Coey, J.M.D. Magnetic, magnetotransport, and optical properties of Al-doped Zn0.95Co0.05O thin films. Appl. Phys. Lett. 2007, 90, 242508. [Google Scholar] [CrossRef]
- Ney, A.; Opel, M.; Kaspar, T.C.; Ney, V.; Ye, S.; Ollefs, K.; Kammermeier, T.; Bauer, S.; Nielsen, K.-W.; Goennenwein, S.T.B.; Engelhard, M.H.; Zhou, S.; Potzger, K.; Simon, J.; Mader, W.; Heald, S.M.; Cezar, J.C.; Wilhelm, F.; Rogalev, A.; Gross, R.; Chambers, S.A. Advanced spectroscopic synchrotron techniques to unravel the intrinsic properties of dilute magnetic oxides: the case of Co:ZnO. New J. Phys. 2010, 12, 013020. [Google Scholar] [CrossRef]
- Zhou, S.; Potzger, K.; von Borany, J.; Grötzschel, R.; Skorupa, W.; Helm, M.; Fassbender, J. Crystallographically oriented Co and Ni nanocrystals inside ZnO formed by ion implantation and postannealing. Phys. Rev. B 2008, 77, 035209. [Google Scholar] [CrossRef]
- Jedrecy, N.; von Bardeleben, H.J.; Demaille, D. High-temperature ferromagnetism by means of oriented nanocolumns: Co clustering in (Zn,Co)O. Phys. Rev. B 2009, 80, 205204. [Google Scholar] [CrossRef]
- Kaspar, T.C.; Droubay, T.; Heald, S.M.; Engelhard, M.H.; Nachimuthu, P.; Chambers, S.A. Hidden ferromagnetic secondary phases in cobalt-doped ZnO epitaxial thin films. Phys. Rev. B 2008, 77, 201303(R). [Google Scholar] [CrossRef]
- Heald, S.M.; Kaspar, T.C.; Droubay, T.; Shutthanandan, V.; Chambers, S.A.; Mokhtari, A.; Behan, A.J.; Blythe, H.J.; Neal, J.R.; Fox, A.M.; Gehring, G.A. X-ray absorption fine structure and magnetization characterization of the metallic Co component in Co-doped ZnO thin films. Phys. Rev. B 2009, 79, 075202. [Google Scholar] [CrossRef]
- Sato, K.; Katayama-Yoshida, H. First principles materials design for semiconductor spintronics. Semicond. Sci. Technol. 2002, 17, 367–376. [Google Scholar] [CrossRef]
- Risbud, A.S.; Spaldin, N.A.; Chen, Z.Q.; Stemmer, S.; Seshadri, R. Magnetism in polycrystalline cobalt-substituted zinc oxide. Phys. Rev. B 2003, 68, 205202. [Google Scholar] [CrossRef]
- Lee, E.C.; Chang, K.J. Ferromagnetic versus antiferromagnetic interaction in Co-doped ZnO. Phys. Rev. B 2004, 69, 085205. [Google Scholar] [CrossRef]
- Spaldin, N.A. Search for ferromagnetism in transition-metal-doped piezoelectric ZnO. Phys. Rev. B 2004, 69, 125201. [Google Scholar] [CrossRef]
- Sluiter, M.H.F.; Kawazoe, Y.; Sharma, P.; Inoue, A.; Raju, A.R.; Rout, C.; Waghmare, U.V. First principles based design and experimental evidence for a ZnO-based ferromagnet at room temperature. Phys. Rev. Lett. 2005, 94, 187204. [Google Scholar] [CrossRef] [PubMed]
- Patterson, C.H. 2006 Role of defects in ferromagnetism in Zn1-xCoxO: A hybrid density-functional study. Phys. Rev. B 2006, 74, 144432. [Google Scholar] [CrossRef]
- Hu, S.J.; Yan, S.S.; Zhao, M.W.; Mei, L.M. First-principles LDA+U calculations of the Co-doped ZnO magnetic semiconductor. Phys. Rev. B 2006, 73, 245205. [Google Scholar] [CrossRef]
- Toyoda, M.; Akaib, H.; Sato, K.; Katayama-Yoshida, H. Electronic structures of (Zn,TM)O (TM: V, Cr, Mn, Fe, Co, and Ni) in the self-interaction-corrected calculations. Physica B 2006, 376–377, 647–650. [Google Scholar] [CrossRef]
- Kobayashi, M.; Ishida, Y.; Hwang, J.L.; Mizokawa, T.; Fujimori, A.; Mamiya, K.; Okamoto, J.; Takeda, Y.; Okane, T.; Saitoh, Y.; Muramatsu, Y.; Tanaka, A.; Saeki, H.; Tabata, H.; Kawai, T. Characterization of magnetic components in the diluted magnetic semiconductor Zn1-xCoxO by x-ray magnetic circular dichroism. Phys. Rev. B 2005, 72, 201201(R). [Google Scholar] [CrossRef]
- Sanyal, B.; Granäs, O.; Knut, R.; Coleman, V.A.; Thunström, P.; Iusan, D. M.; Karis, O.; Eriksson, O.; Westin, G. Electronic structure of Co doped ZnO: Theory and experiment. J. Appl. Phys. 2008, 103, 07D130. [Google Scholar]
- Nayak, S.K.; Ogura, M.; Hucht, A.; Akai, H.; Entel, P. Monte Carlo simulations of diluted magnetic semiconductors using ab initio exchange parameters. J. Phys.: Condens. Matter 2009, 21, 064238. [Google Scholar]
- Iusan, D.; Kabir, M.; Granäs, O.; Eriksson, O.; Sanyal, B. Microscopic picture of Co clustering in ZnO. Phys. Rev. B 2009, 79, 125202. [Google Scholar] [CrossRef]
- Dietl, T.; Andrearczyk, T.; Lipińska, A.; Kiecana, M.; Tay, M.; Wu, Y. Origin of ferromagnetism in Zn1-xCoxO from magnetization and spin-dependent magnetoresistance measurements. Phys. Rev. B 2007, 76, 155312. [Google Scholar] [CrossRef]
- Sanyal, B.; Knut, R.; Granäs, O.; Iusan, D.M.; Karis, O.; Eriksson, O. Inhomogeneity in Co doped ZnO diluted magnetic semiconductor. J. Appl. Phys. 2008, 103, 07D131. [Google Scholar] [CrossRef]
- Dürr, H.A.; Eimüller, T.; Elmers, H.-J.; Eisebitt, S.; Farle, M.; Kuch, W.; Matthes, F.; Mertins, M.; Mertins, H.-C.; Oppeneer, P.M.; Plucinski, L.; Schneider, C.M.; Wende, H.; Wurth, W.; Zabel, H. A closer look into magnetism: Opportunities with synchrotron radiation. IEEE Trans. Magn. 2009, 45, 15–57. [Google Scholar] [CrossRef]
- Asahi, H.; Zhou, Y.K.; Hashimoto, M.; Kim, M.S.; Li, X.J.; Emura, S.; Hasegawa, S. GaN-based magnetic semiconductors for nanospintronics. J. Phys. Condens. Mater. 2004, 16, S5555. [Google Scholar] [CrossRef]
- Favennec, P.N.; L’Haridon, H.; Salvi, M.; Moutonnet, D.; Le Guillou, Y. Luminescence of erbium implanted in various semiconductors: IV, III-V and II-VI materials. Electron. Lett. 1989, 25, 718–719. [Google Scholar] [CrossRef]
- Wang, Y.Q.; Steckl, A.J. Three-color integration on rare-earth-doped GaN electroluminescent thin films. Appl. Phys. Lett. 2003, 82, 502–504. [Google Scholar] [CrossRef]
- Dhar, S.; Pérez, L.; Brandt, O.; Trampert, A.; Ploog, K.H.; Keller, J.; Beschoten, B. Gd-doped GaN: A very dilute ferromagnetic semiconductor with a Curie temperature above 300 K. Phys. Rev. B 2005, 72, 245203. [Google Scholar] [CrossRef]
- Roever, M.; Mai, D.-D.; Bedoya-Pinto, A.; Malindretos, J.; Rizzi, A. Electron stabilized ferromagnetism in GaGdN. Phys. Stat. Solidi (c) 2008, 5, 2352–2354. [Google Scholar] [CrossRef]
- Martínez-Criado, G.; Sancho-Juan, O.; Garro, N.; Sans, J.A.; Cantarero, A.; Susini, J.; Roever, M.; Mai, D.-D.; Bedoya-Pinto, A.; Malindretos, J.; Rizzi, A. X-ray absorption in GaGdN: A study of local structure. Appl. Phys. Lett. 2008, 93, 021916. [Google Scholar] [CrossRef]
- Dhar, S.; Kammermeier, T.; Ney, A.; Pérez, L.; Ploog, K.H.; Melnikov, A.; Wieck, A.D. Ferromagnetism and colossal magnetic moment in Gd-focused ion-beam-implanted GaN. Appl. Phys. Lett. 2006, 89, 062503. [Google Scholar] [CrossRef]
- Lo, F.-Y.; Melnikov, A.; Reuter, D.; Wieck, A.D.; Ney, V.; Kammermeier, T.; Ney, A.; Schörmann, J.; Potthast, S.; As, D.J.; Lischka, K. Magnetic and structural properties of Gd-implanted zinc-blende GaN. Appl. Phys. Lett. 2007, 90, 262505. [Google Scholar] [CrossRef]
- Zhou, Y.K.; Choi, S.W.; Emura, S.; Hasegawa, S.; Asahi, H. Large magnetization in high Gd concentration GaGdN and Si-doped GaGdN grown at low temperatures. Appl. Phys. Lett. 2008, 92, 062505. [Google Scholar] [CrossRef]
- Hite, J.K.; Frazier, R.M.; Davies, R.; Thaler, G.T.; Abernathy, C.R.; Pearton, S.J.; Zavada, J.M. Effect of growth conditions on the magnetic characteristics of GaGdN. Appl. Phys. Lett. 2006, 89, 092119. [Google Scholar] [CrossRef]
- Han, S.Y.; Hite, J.; Thaler, G.T.; Frazier, R.M.; Abernathy, C.R.; Pearton, S.J.; Choi, H.K.; Lee, W.O.; Park, Y.D.; Zavada, J.M.; Gwilliam, R. Effect of Gd implantation on the structural and magnetic properties of GaN and AlN. Appl. Phys. Lett. 2006, 88, 042102. [Google Scholar] [CrossRef]
- Hite, J.K.; Allums, K.K.; Thaler, G.T.; Abernathy, C.R.; Pearton, S.J.; Frazier, R.M.; Dwivedi, R.; Wilkins, R.; Zavada, J.M. Effects of proton irradiation on the magnetic properties of GaGdN and GaCrN. New J. Phys. 2008, 10, 055005. [Google Scholar] [CrossRef]
- Bedoya-Pinto, A.; Malindretos, J.; Roever, M.; Mai, D.D.; Rizzi, A. Variable range hopping transport in ferromagnetic GaGdN epitaxial layers. Phys. Rev. B 2009, 80, 195208. [Google Scholar] [CrossRef]
- Ney, A.; Kammermeier, T.; Ney, V.; Ye, S.; Ollefs, K.; Manuel, E.; Dhar, S.; Ploog, K.H.; Arenholz, E.; Wilhelm, F.; Rogalev, A. Element specific magnetic properties of Gd-doped GaN: Very small polarization of Ga and paramagnetism of Gd. Phys. Rev. B 2008, 77, 233308. [Google Scholar] [CrossRef]
- Dalpian, G.M.; Wei, S.-H. Electron-induced stabilization of ferromagnetism in Ga1-xGdxN. Phys. Rev. B 2005, 72, 115201. [Google Scholar] [CrossRef]
- Liu, L.; Yu, P.Y.; Ma, Z.; Mao, S.S. Ferromagnetism in GaN:Gd: A density functional theory study. Phys. Rev. Lett. 2008, 100, 127203. [Google Scholar] [CrossRef] [PubMed]
- Gohda, Y.; Oshiyama, A. Intrinsic ferromagnetism due to cation vacancies in Gd-doped GaN: First-principles calculations. Phys. Rev. B 2008, 78, 161201(R). [Google Scholar] [CrossRef]
- Dev, P.; Xue, Y.; Zhang, P. Defect-induced intrinsic magnetism in wide-gap III nitrides. Phys. Rev. Lett. 2008, 100, 117204. [Google Scholar] [CrossRef] [PubMed]
- Mitra, C.; Lambrecht, W.R.L. Interstitial-nitrogen- and oxygen-induced magnetism in Gd-doped GaN. Phys. Rev. B 2009, 80, 081202(R). [Google Scholar] [CrossRef]
- Wende, H. Recent advances in x-ray absorption spectroscopy. Rep. Prog. Phys. 2004, 67, 2105–2181. [Google Scholar] [CrossRef]
- Joly, Y. X-ray absorption near-edge structure calculations beyond the muffin-tin approximation. Phys. Rev. B 2001, 63, 125120. [Google Scholar] [CrossRef]
- Ney, A.; Kammermeier, T.; Manuel, E.; Ney, V.; Dhar, S.; Ploog, K.H.; Wilhelm, F.; Rogalev, A. Element specific investigations of the structural and magnetic properties of Gd:GaN. Appl. Phys. Lett. 2007, 90, 252515. [Google Scholar] [CrossRef]
- Rogalev, A.; Goulon, J.; Goulon-Ginet, C.; Malgrange, C. Instrumentation developments for polarization dependent X-ray spectroscopies. Lect. Notes Phys. 2001, 565, 60–86. [Google Scholar]
- Naftel, S.J.; Sham, T.K. Co L3,2-edge and multi-detection channel XAFS studies of Co-Si interactions. J. Synchrotron Radiat. 1999, 6, 526–528. [Google Scholar] [CrossRef] [PubMed]
- Henke, B.L.; Lee, P.; Tanaka, T.J.; Shimabukuro, R.L.; Fujikawa, B.K. Low-energy X-ray interaction coefficients: Photoabsorption, scattering and reflection, E = 100–2000 eV, Z = 1–94. At. Data Nucl. Data Tables 1982, 27, 1–144. [Google Scholar] [CrossRef]
- Sati, P.; Hayn, R.; Kuzian, R.; Régnier, S.; Schäfer, S.; Stepanov, A.; Morhain, C.; Deparis, C.; Laügt, M.; Goiran, M.; Golacki, Z. Magnetic anisotropy of Co2+ as signature of intrinsic ferromagnetism in ZnO:Co. Phys. Rev. Lett. 2006, 96, 017203. [Google Scholar] [CrossRef] [PubMed]
- Ney, A.; Kammermeier, T.; Ollefs, K.; Ye, S.; Ney, V.; Kaspar, T.C.; Chambers, S.A.; Wilhelm, F.; Rogalev, A. Anisotropic paramagnetism of Co-doped ZnO epitaxial films. Phys. Rev. B 2010, 81, 054420. [Google Scholar] [CrossRef]
- Coey, J.M.D.; Wongsaprom, K.; Alaria, J.; Venkatesan, M. Charge-transfer ferromagnetism in oxide nanoparticles. J. Phys. D: Appl. Phys. 2008, 41, 134016. [Google Scholar] [CrossRef]
- Bougeard, D.; Ahlers, S.; Trampert, A.; Sircar, N.; Abstreiter, G. Clustering in a precipitate-free GeMn magnetic semiconductor. Phys. Rev. Lett. 2006, 97, 237202. [Google Scholar] [CrossRef] [PubMed]
- Dietl, T. Dilute magnetic semiconductors: Functional ferromagnets. Nat. Mater. 2003, 2, 646–648. [Google Scholar] [CrossRef] [PubMed]
- Dietl, T. From our readers: Self-organized growth controlled by charge states of magnetic impurities. Nat. Mater. 2006, 5, 673. [Google Scholar] [CrossRef] [PubMed]
- Venkatesan, M.; Fitzgerald, C.B.; Coey, J.M.D. Thin films: Unexpected magnetism in a dielectric oxide. Nature 2004, 430, 630. [Google Scholar] [PubMed]
- Abraham, D.W.; Frank, M.M.; Guha, S. Absence of magnetism in hafnium oxide films. Appl. Phys. Lett. 2005, 87, 252502. [Google Scholar] [CrossRef]
- Salzer, R.; Spemann, D.; Esquinazi, P.; Höhne, R.; Setzer, A.; Schindler, K.; Schmidt, H.; Butz, T. Possible pitfalls in search of magnetic order in thin films deposited on single crystalline sapphire substrates. J. Magn. Magn. Mater. 2007, 317, 53–60. [Google Scholar] [CrossRef]
- Bonanni, A.; Kiecana, M.; Simbrunner, C.; Li, T.; Sawicki, M.; Wegscheider, M.; Quast, M.; Przybylińka, H.; Navarro-Quezada, A.; Jakiela, R.; Wolos, A.; Jantsch, W.; Dietl, T. Paramagnetic GaN:Fe and ferromagnetic (Ga,Fe)N: The relationship between structural, electronic, and magnetic properties. Phys. Rev. B 2007, 75, 125210. [Google Scholar] [CrossRef]
- Stamenov, P.; Coey, J.M.D. Sample size, position, and structure effects on magnetization measurements using second-order gradiometer pickup coils. Rev. Sci. Instrum. 2006, 77, 015106. [Google Scholar] [CrossRef]
- Ney, A.; Kammermeier, T.; Ney, V.; Ollefs, K.; Ye, S. Limitations of measuring small magnetic signals of samples deposited on a diamagnetic substrate. J. Magn. Magn. Mater. 2008, 320, 3341–3346. [Google Scholar] [CrossRef]
- Thole, B.T.; Carra, P.; Sette, F.; van der Laan, G. X-ray circular dichroism as a probe of orbital magnetization. Phys. Rev. Lett. 1992, 68, 1943–1946. [Google Scholar] [CrossRef] [PubMed]
- Carra, P.; Thole, B.T.; Altarelli, M.; Wang, X.-D. X-ray circular dichroism and local magnetic fields. Phys. Rev. Lett. 1993, 70, 694–697. [Google Scholar] [CrossRef] [PubMed]
- Nagamatsu, S.; Matsumoto, H.; Fujikawa, T.; Ishiji, K.; Hashizume, H. Measurement and multiple-scattering calculation of Cu K-edge x-ray magnetic circular dichroism spectra from an exchange-coupled Co/Cu multilayer. Phys. Rev. B 2004, 70, 174442. [Google Scholar] [CrossRef]
- Ishimatsu, N.; Maruyama, H.; Kawamura, N.; Suzuki, M.; Ohishi, Y.; Shimomura, O. Stability of Ferromagnetism in Fe, Co, and Ni Metals under High Pressure. J. Phys. Soc. Jpn. 2007, 76, 064703. [Google Scholar] [CrossRef]
- Laguna-Marco, M.A.; Piquer, C.; Charboy, J. X-ray magnetic circular dichroic spectrum at the K edge of the transition metal in R − T intermetallics and its relationship with the magnetism of the rare earth. Phys. Rev. B 2009, 80, 144419. [Google Scholar] [CrossRef]
- Kisi, E.H.; Elcombe, M.M. u Parameters for the wurtzite structure of ZnS and ZnO using powder neutron diffraction. Acta Cryst. C 1989, 45, 1867–1870. [Google Scholar] [CrossRef]
- Kuzmin, A.; Larcheri, S.; Rocca, F. Zn K-edge XANES in nanocrystalline ZnO. J. Phys. Conf. Ser. 2007, 93, 012045. [Google Scholar] [CrossRef]
- Decremps, F.; Datchi, F.; Saitta, A.M.; Polian, A.; Pascarelli, S.; Di Cicco, A.; Itíe, J.P.; Baudelet, F. Local structure of condensed zinc oxide. Phys. Rev. B 2003, 68, 104101. [Google Scholar] [CrossRef]
- Rode, K.; Mattana, R.; Anane, A.; Cros, V.; Jacquet, E.; Contour, J.-P.; Petroff, F.; Fert, A.; Arrio, M.-A.; Sainctavit, Ph.; Bencok, P.; Wilhelm, F.; Brookes, N. B.; Rogalev, A. Magnetism of (Zn,Co)O thin films probed by x-ray absorption spectroscopies. Appl. Phys. Lett. 2008, 92, 012509. [Google Scholar] [CrossRef]
- Estle, T.L.; de Wit, M. Paramagnetic Resonance of Co2+ and V2+ in ZnO. Bull. Am. Phys. Soc. 1961, 6, 445. [Google Scholar]
- Koidl, P. Optical absorption of Co2+ in ZnO. Phys. Rev. B 1977, 15, 2493. [Google Scholar] [CrossRef]
- Jedrecy, N.; von Bardeleben, H.J.; Zheng, Y.; Cantin, J.-L. Electron paramagnetic resonance study of Zn1-xCoxO: A predicted high-temperature ferromagnetic semiconductor. Phys. Rev. B 2004, 69, 041308(R). [Google Scholar] [CrossRef]
- Sati, P.; Stepanov, A.; Pashchenko, V. Exchange broadening of EPR line in ZnO:Co. Low Temp. Phys. 2007, 33, 927–930. [Google Scholar] [CrossRef]
- Kuzian, R.O.; Daré, A.M.; Sati, P.; Hayn, R. Crystal-field theory of Co2+ in doped ZnO. Phys. Rev. B 2006, 74, 155201. [Google Scholar] [CrossRef]
- Behringer, R.E. Number of single, double, and triple clusters in a system containing two types of atoms. J. Chem. Phys. 1958, 29, 537–539. [Google Scholar] [CrossRef]
- Droubay, T.C.; Kaspar, T.C.; Kaspar, B.P.; Chambers, S.A. Cation dopant distributions in nanostructures of transition-metal doped ZnO: Monte Carlo simulations. Phys. Rev. B 2009, 79, 075324. [Google Scholar] [CrossRef]
- Ye, S.; Ney, V.; Kammermeier, T.; Ollefs, K.; Zhou, S.; Schmidt, H.; Wilhelm, F.; Rogalev, A.; Ney, A. Absence of ferromagnetic-transport signatures in epitaxial paramagnetic and superparamagnetic Zn0.95Co0.05O films. Phys. Rev. B 2009, 80, 245321. [Google Scholar] [CrossRef]
- Von Bardeleben, H.J.; Jedrecy, N.; Cantin, J.L. Ferromagnetic resonance signature of metallic Co clusters in ferromagnetic ZnCoO thin films. Appl. Phys. Lett. 2008, 93, 142505. [Google Scholar] [CrossRef]
- Kammermeier, T.; Ney, V.; Ye, S.; Ollefs, K.; Kaspar, T.C.; Chambers, S.A.; Wilhelm, F.; Rogalev, A.; Ney, A. Element specific measurements of the structural properties and magnetism of CoxZn1-xO. J. Magn. Magn. Mat. 2009, 321, 699–701. [Google Scholar] [CrossRef]
- Gacic, M.; Adrian, H.; Jakob, G. Pulsed laser deposition of ferromagnetic Zn0.95Co0.05O thin films. Appl. Phys. Lett. 2008, 93, 152509. [Google Scholar] [CrossRef]
- Xu, Q.; Hartmann, L.; Zhou, S.; Mücklich, A.; Helm, M.; Biehne, G.; Hochmuth, H.; Lorenz, M.; Grundmann, M.; Schmidt, H. Spin Manipulation in Co-Doped ZnO. Phys. Rev. Lett. 2008, 101, 076601. [Google Scholar] [CrossRef] [PubMed]
- Gacic, M.; Jakob, G.; Herbort, C.; Adrian, H.; Tietze, T.; Brück, S.; Goering, E. Magnetism of Co-doped ZnO thin films. Phys. Rev. B 2007, 75, 205206. [Google Scholar] [CrossRef]
- Knies, C.; Elm, M.T.; Klar, P.J.; Stehr, J.; Hofmann, D.M.; Romanov, N.; Kammermeier, T.; Ney, A. Nonferromagnetic nanocrystalline ZnO:Co thin films doped with Zn interstitials. J. Appl. Phys. 2009, 105, 073918. [Google Scholar] [CrossRef]
- Ney, A.; Kammermeier, T.; Ollefs, K.; Ney, V.; Ye, S.; Dhar, S.; Ploog, K.H.; Röver, M.; Malindretos, J.; Rizzi, A.; Wilhelm, F.; Rogalev, A. Gd-doped GaN studied with element specificity: Very small polarization of Ga, paramagnetism of Gd and the formation of magnetic clusters. J. Magn. Magn. Mat. 2010, 322, 1162–1166. [Google Scholar] [CrossRef]
- Leuenberger, F.; Parge, A.; Felsch, W.; Baudelet, F.; Giorgetti, C.; Dartyge, E.; Wilhelm, F. X-ray magnetic circular dichroism at the Gd L2,3 absorption edges in GdN layers: The influence of lattice expansion. Phys. Rev. B 2006, 73, 214430. [Google Scholar] [CrossRef]
- Pérez, L.; Lau, G.S.; Dhar, S.; Brandt, O.; Ploog, K.H. Magnetic phases and anisotropy in Gd-doped GaN. Phys. Rev. B 2006, 74, 195207. [Google Scholar] [CrossRef]
- Kammermeier, T.; Dhar, S.; Ney, V.; Manuel, E.; Ney, A.; Ploog, K.H.; Lo, F.-Y.; Melnikov, A.; Wieck, A.D. Paramagnetic and ferromagnetic resonance studies on dilute magnetic semiconductors based on GaN. Phys. Status Solidi A 2008, 205, 1872–1875. [Google Scholar] [CrossRef]
- Sapega, V.F.; Ramsteiner, M.; Dhar, S.; Brandt, O.; Ploog, K.H. Large spin splitting of GaN electronic states induced by Gd doping. arXiv:cond-mat/0509198v1 2015, unpublished work. [Google Scholar]
- Freeman, A.A.; Edmonds, K.W.; van der Laan, G.; Campion, R.P.; Rushforth, A.W.; Farley, N.R.S.; Johal, T.K.; Foxon, C.T.; Gallagher, B.L.; Rogalev, A.; Wilhelm, F. Valence band orbital polarization in III-V ferromagnetic semiconductors. Phys. Rev. B 2008, 77, 073304. [Google Scholar] [CrossRef]
© 2010 by the author; licensee MDPI, Basel, Switzerland. This article is an open access article distributed under the terms and conditions of the Creative Commons Attribution license (http://creativecommons.org/licenses/by/3.0/).
Share and Cite
Ney, A. Element Specific Versus Integral Structural and Magnetic Properties of Co:ZnO and Gd:GaN Probed with Hard X-ray Absorption Spectroscopy. Materials 2010, 3, 3565-3613. https://doi.org/10.3390/ma3063565
Ney A. Element Specific Versus Integral Structural and Magnetic Properties of Co:ZnO and Gd:GaN Probed with Hard X-ray Absorption Spectroscopy. Materials. 2010; 3(6):3565-3613. https://doi.org/10.3390/ma3063565
Chicago/Turabian StyleNey, Andreas. 2010. "Element Specific Versus Integral Structural and Magnetic Properties of Co:ZnO and Gd:GaN Probed with Hard X-ray Absorption Spectroscopy" Materials 3, no. 6: 3565-3613. https://doi.org/10.3390/ma3063565
APA StyleNey, A. (2010). Element Specific Versus Integral Structural and Magnetic Properties of Co:ZnO and Gd:GaN Probed with Hard X-ray Absorption Spectroscopy. Materials, 3(6), 3565-3613. https://doi.org/10.3390/ma3063565
