Experimental Study on Mechanical Properties and Mix Design Optimization of Nano-SiO2-Double-Doped Fiber High-Strength Concrete
Abstract
1. Introduction
2. Materials and Methods
2.1. Materials
2.2. Test Scheme
2.3. Specimen Preparation and Test Method
3. Establishment and Discussion of Response Surface Model
3.1. Response Surface Model Establishment
3.2. Response Surface Model Validation
3.3. Response Surface Analysis
3.3.1. Analysis of Cube Compressive Strength
3.3.2. Analysis of Splitting Tensile Strength
3.3.3. Analysis of Toughness Index
4. Multi-Objective Mix Design Optimization Based on MOPSO
4.1. Optimization Model Construction
4.2. Optimization Results and Analysis
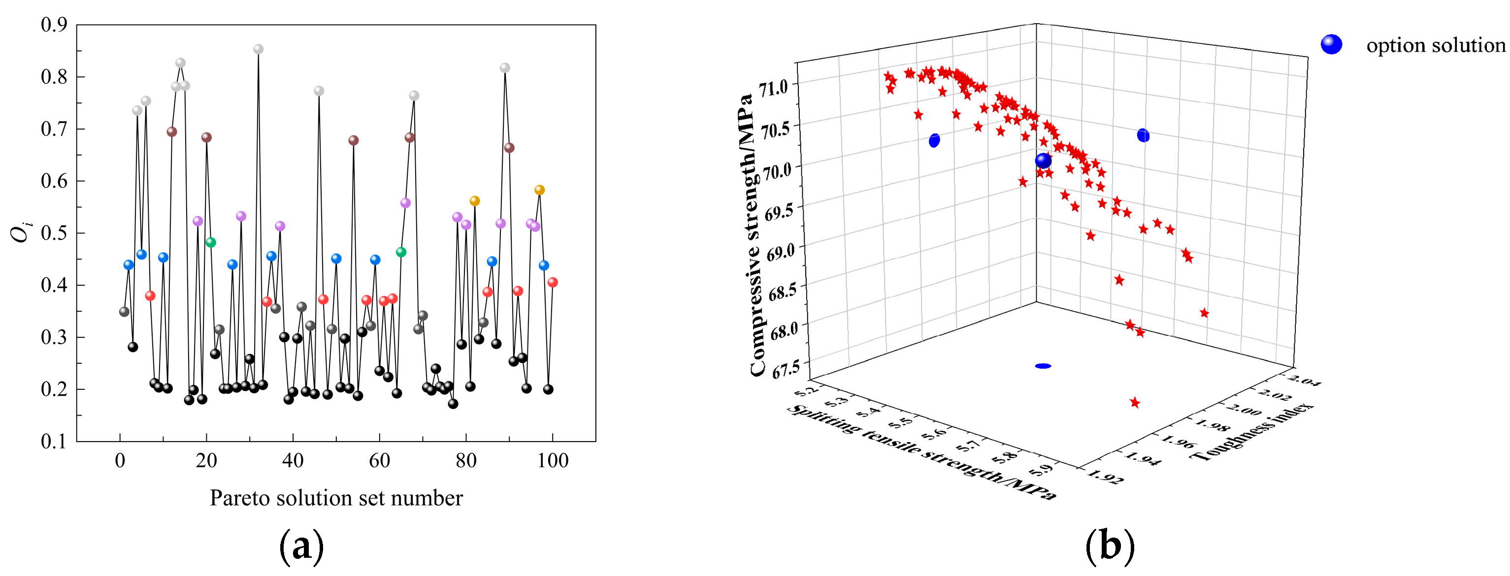
4.3. Optimal Pareto Solution Based on Entropy Weight TOPSIS Decision-Making
4.4. SEM Analysis
5. Conclusions
- (1)
- A multivariate regression model based on the Box–Behnken response surface design was developed to quantitatively describe the effects and interactions of the three factors NS, SF, and PPF. Analysis of variance and signal-to-noise ratio tests showed that the coefficients of determination (R2) is close to 1, the C.V. is less than 10%, and the signal-to-noise ratio is consistently above 4, indicating that the established predictive models possess excellent fitting accuracy.
- (2)
- NS, SF, and PPF each have significant influences on the mechanical properties of the concrete. The results indicate that cubic compressive strength, split tensile strength, and resilience index all initially increase and then decrease with increasing NS content; cubic compressive strength and resilience index increase with increasing SF content. However, when the SF content exceeds a certain level, the fiber spacing becomes too dense, weakening the effective bridging effect between fibers, resulting in a decrease in split tensile strength at excessively high SF contents; PPF can suppress crack formation within a certain content range, but its effect on cubic compressive strength is relatively weak; Due to agglomeration and water absorption, both split tensile strength and resilience index decrease when the PPF content is too high.
- (3)
- The mix proportion of NSDHFRC was optimized through a multi-objective approach combining MOPSO and entropy-weighted TOPSIS methods. The optimal mix was determined to be the mass fraction of NS is 2.15%, and the volume fractions of SF and PPF are 1.37% and 0.063%, respectively, with cubic compressive strength, split tensile strength, and resilience index being 69.94 MPa, 5.49 MPa, and 1.99, respectively. Experimental verification confirmed that the relative error is within 5%, validating the effectiveness and practical applicability of the coupled response surface methodology and multi-objective optimization techniques for NSDHFRC mix design, providing a basis and reference for practical engineering projects.
- (4)
- Compared to ordinary concrete, the incorporation of NS in NSDHFRC effectively promotes hydration reactions, generating abundant C-S-H gel and resulting in a denser matrix structure. Simultaneously, under the modifying effect of NS, both PPF and SF surfaces are coated with substantial hydration products, forming a stable “fiber-hydration product-matrix” composite interface structure that significantly enhances interfacial bonding between fibers and matrix. PPF primarily acts during the microcrack initiation stage, inhibiting early damage development, while SF continuously provides bridging and load-bearing functions during crack propagation and post-peak stages.
Author Contributions
Funding
Data Availability Statement
Acknowledgments
Conflicts of Interest
Abbreviations
| NS | Nano-SiO2 |
| SF | Steel fiber |
| PPF | Polypropylene fiber |
| NSDHFRC | Nano-SiO2-double-doped fiber high-strength concrete |
| RSM | Response surface model |
| MOPSO | Multi-Objective Probability-Based Simultaneous Optimization |
| BBD | Box–Behnken Design |
| CCD | Central Composite Design |
| SEM | Scanning electron microscopy |
| ANOVA | Analysis of variance |
| C.V. | Coefficient of variation |
| ITZ | Interfacial transition zone |
References
- Delavar, M.R.; Aslani, F.; Sercombe, T. Cracking behaviour in 3D concrete printed fibre-reinforced cementitious composites: A review. J. Build. Eng. 2025, 114, 114312. [Google Scholar] [CrossRef]
- Ünal, M.T.; Gökçe, H.S.; Ayough, P.; Alnahhal, A.M.; Şimşek, O.; Nehdi, M.L. Nanomaterial and fiber-reinforced sustainable geopolymers: A systematic critical review. Constr. Build. Mater. 2023, 404, 133325. [Google Scholar] [CrossRef]
- Zhang, X.; Geng, J.; Pang, S.; Su, L.; Cai, G.; Zhou, Z. Microscopic properties and splitting tensile strength of fiber-modified cement-stabilized aeolian sand. J. Mater. Civ. Eng. 2023, 35, 04023128. [Google Scholar] [CrossRef]
- Wang, F.M.; Wan, J.Q.; Huang, A.S.; Jiang, Y.B.; Yu, C.Y.; Luo, X.Y. Experimental study on axial compressive behavior of steel–polypropylene hybrid fiber–reinforced ECC under monotonic and cyclic loading. J. Build. Struct. 2023, 44, 344–353. [Google Scholar]
- Dheyaaldin, M.H.; Kianmehr, P. Sustainable utilization of nanomaterials in reactive powder composite: State of the art review. J. Build. Eng. 2024, 98, 111047. [Google Scholar] [CrossRef]
- Feng, S.; Xiao, H.; Chen, L. Influence of nanomaterials on mechanical performance and microstructure of cement paste. Constr. Build. Mater. 2026, 509, 145146. [Google Scholar] [CrossRef]
- Yang, T.; Liu, B.; Li, L.; Gan, X.; Lu, L.; Li, Y. Agglomeration Behavior of Colloidal Nano-Silica and Its Effect on Pore Structure, Mechanical Properties and Shrinkage of Cement Mortar. Constr. Build. Mater. 2023, 409, 133865. [Google Scholar] [CrossRef]
- Nazari, A.; Riahi, S. Microstructural, thermal, physical and mechanical behavior of the self compacting concrete containing SiO2 nanoparticles. Mater. Sci. Eng. A 2010, 527, 7663–7672. [Google Scholar] [CrossRef]
- Garg, R.; Garg, R.; Bansal, M.; Aggarwal, Y. Experimental study on strength and microstructure of mortar in presence of micro and nano-silica. Mater. Today Proc. 2021, 43, 769–777. [Google Scholar] [CrossRef]
- Mei, M.; Wu, L.; Chengcheng, W.; Wu, Z.; Liu, H.; Yi, Y. Mechanical properties of nano SiO2 and fiber-reinforced concrete with steel fiber and high performance polypropylene fiber. Mater. Res. Express 2021, 8, 105001. [Google Scholar] [CrossRef]
- Emiru, Y. Nano silica cement composite for high strength concrete reinforced with steel fiber. J. Civ. Eng. Appl. 2024, 5, 01–11. [Google Scholar]
- Liu, G.; Cheng, W.; Chen, L. Investigating and optimizing the mix proportion of pumping wet-mix shotcrete with polypropylene fiber. Constr. Build. Mater. 2017, 150, 14–23. [Google Scholar] [CrossRef]
- Prusty, R.; Mukharjee, B.B.; Barai, S.V. Nano-engineered concrete using recycled aggregates and nano-silica: Taguchi approach. Adv. Concr. Constr. 2015, 3, 253–268. [Google Scholar] [CrossRef]
- Preethi, S.; Ravichandran, P.T. Laboratory investigation on nanomaterial modified bituminous concrete mixes with reclaimed asphalt pavement. Int. J. Pavement Res. Technol. 2025, 18, 1299–1313. [Google Scholar] [CrossRef]
- Rahim, N.I.; Mohammed, B.S.; Abdulkadir, I.; Dahim, M. Effect of crumb rubber, fly ash, and nanosilica on the properties of self-compacting concrete using response surface methodology. Materials 2022, 15, 1501. [Google Scholar] [CrossRef]
- Al-Sabaeei, A.M.; Alhussian, H.; Abdulkadir, S.J.; Sutanto, M.; Alrashydah, E.; Mabrouk, G.; Bilema, M.; Milad, A.; Abdulrahman, H. Computational modelling for predicting rheological properties of composite modified asphalt binders. Case Stud. Constr. Mater. 2023, 19, e02651. [Google Scholar] [CrossRef]
- Guo, J.; Xia, X.; Zhang, P.; Wang, K. Reinforcement mechanism of nano-SiO2 and polypropylene fibers on concrete abrasion resistance subject to dynamic sandy water. J. Mater. Res. Technol. 2023, 27, 1630–1650. [Google Scholar] [CrossRef]
- Karimipour, A.; Ghalehnovi, M.; Edalati, M.; De Brito, J. Properties of fibre-reinforced high-strength concrete with nano-silica and silica fume. Appl. Sci. 2021, 11, 9696. [Google Scholar] [CrossRef]
- Zhang, P.; Li, Q.; Chen, Y.; Shi, Y.; Ling, Y.F. Durability of steel fiber-reinforced concrete containing SiO2 nano-particles. Materials 2019, 12, 2184. [Google Scholar] [CrossRef]
- JGJ 55-2011; Specification for Mix Proportion Design of Ordinary Concrete. Building Industry Press: Beijing, China, 2011.
- Harish, V.; Reddy, B.S. Optimization of Nano-Silica Content for Enhanced Mechanical Properties of Concrete. J. Neonatal Surg. 2025, 14, 516–521. [Google Scholar]
- Zhang, P.; Sha, D.; Li, Q.; Zhao, S.; Ling, Y. Effect of Nano Silica Particles on Impact Resistance and Durability of Concrete Containing Coal Fly Ash. Nanomaterials 2021, 11, 1296. [Google Scholar] [CrossRef]
- Vivek, D.; Elango, K.S.; Saravanakumar, R.; Mohamed Rafek, B.; Ragavendra, P.; Kaviarasan, S.; Raguram, E. Effect of Nano-Silica in High Performance Concrete. Mater. Today Proc. 2021, 37, 1226–1229. [Google Scholar] [CrossRef]
- Srivastava, A.; Mishra, A.; Singh, S.K. Mechanical and Durability Study of Nano-SiO2 and Nano-TiO2 on Fiber Reinforced Concrete. Chall. J. Concr. Res. Lett. 2025, 16, 33. [Google Scholar] [CrossRef]
- Labaran, Y.H.; Atmaca, N.; Tan, M.; Atmaca, K.; Aram, S.A.; Kaky, A.T. Nano-Enhanced Concrete: Unveiling the Impact of Nano-Silica on Strength, Durability, and Cost Efficiency. Discov. Civ. Eng. 2024, 1, 116. [Google Scholar] [CrossRef]
- Vadivel, M.; Selinaruby, G.; Padmapriya, R.; Perumal, B. Experimental Research on Mechanical and Microstructural Characteristics of Hybrid Fiber Reinforced Concrete (HFRC). Sci. Rep. 2025, 15, 43189. [Google Scholar] [CrossRef]
- Mohamed, A.M.; Tayeh, B.A.; Abu Aisheh, Y.I.; Salih, M.N.A. Exploring the Performance of Steel Fiber Reinforced Lightweight Concrete: A Case Study Review. Case Stud. Constr. Mater. 2023, 18, e01968. [Google Scholar] [CrossRef]
- Zhang, M.; Jing, J.; Zhang, S. Effect of Steel Fiber Content on Fatigue Performance of High-Strength Concrete Beams. Sci. Rep. 2025, 15, 11815. [Google Scholar] [CrossRef] [PubMed]
- Naadia, T.; Gueciouer, D. Optimization of Steel Fiber-Reinforced Self-Compacting Concrete with Tuff Powder. Constr. Build. Mater. 2025, 474, 140759. [Google Scholar] [CrossRef]
- GB/T 50081-2019; Standard for Test Methods of Concrete Physical and Mechanical Properties. Building Industry Press: Beijing, China, 2019.
- Khan, M.; Cao, M.; Ali, M. Cracking Behaviour and Constitutive Modelling of Hybrid Fibre Reinforced Concrete. J. Build. Eng. 2020, 30, 101272. [Google Scholar] [CrossRef]
- Deng, M.; Han, J.; Liu, H.; Qin, M.; Liang, X. Analysis of Compressive Toughness and Deformability of High Ductile Fiber Reinforced Concrete. Adv. Mater. Sci. Eng. 2015, 2015, 384902. [Google Scholar] [CrossRef]
- Abdulkadir, I.; Mohammed, B.S.; Liew, M.; Wahab, M. Modelling and multi-objective optimization of the fresh and mechanical properties of self-compacting high volume fly ash ECC (HVFA-ECC) using response surface methodology (RSM). Case Stud. Constr. Mater. 2021, 14, e00525. [Google Scholar] [CrossRef]
- Zhang, X.; Shao, Y.; Yang, J.; Wu, Y.; Su, L. Mechanical properties of nano-Al2O3 synergized polyacrylonitrile fiber-reinforced geopolymer materials. Acta Mater. Compos. Sin. 2026, 43, 340–358. [Google Scholar]
- Sadrmomtazi, A.; Fasihi, A. Influence of Polypropylene Fibers on the Performance of Nano-SiO2-Incorporated Mortar. Iran. J. Sci. Technol. 2010, 34, 385. [Google Scholar]
- Luo, T.; Pan, X.; Tang, L.; Sun, Q.; Pan, J. Research on Splitting-Tensile Properties and Failure Mechanism of Steel-Fiber-Reinforced Concrete Based on DIC and AE Techniques. Materials 2022, 15, 7150. [Google Scholar] [CrossRef]
- Torkomany, M.R.; Hassan, H.S.; Shoukry, A.; Abdelrazek, A.M.; Elkholy, M. An Enhanced Multi-Objective Particle Swarm Optimization in Water Distribution Systems Design. Water 2021, 13, 1334. [Google Scholar] [CrossRef]












| 28-Day Compressive Strength/MPa | Initial Setting Time/h | Setting Time/h | Water-to-Clinker Ratio/% | Moisture Content/% | 0.08 mm Sieve Size/% | CaO/% | SiO2/% |
|---|---|---|---|---|---|---|---|
| 53 | 50 | 8 | 84 | 99.9 | 0.005 | 54.82 | 23.89 |
| Appearance | Bulk Density /(g·cm−3) | Specific Surface Area/(m2·g) | Average Particle Size/nm | SiO2 /% | Fe2O3 /% | Al2O3 /% |
|---|---|---|---|---|---|---|
| White powder | 0.15 | 185 | 20 | 99.9 | 0.005 | 0.04 |
| Density /(g·cm−3) | Diameter /mm | Length /mm | Diameter-to-Length Ratio | Tensile Strength /MPa |
|---|---|---|---|---|
| 7.8 | 0.75 | 35 | 47 | 1150 |
| Density /(g·cm−3) | Melting Point/°C | Diameter /μm | Length /mm | Tensile Strength /MPa | Modulus of Elasticity/GPa |
|---|---|---|---|---|---|
| 0.91 | 167 | 26 | 18 | 510 | 5.5 |
| Cement | Fly Ash | Mineral Powder | Aggregate | Water | Water Reducer | |
|---|---|---|---|---|---|---|
| Coarse Aggregate | Fine Aggregate | |||||
| 321 | 50 | 124 | 1181 | 665 | 131 | 5.93 |
| Factors | Number | Level | ||
|---|---|---|---|---|
| −1 | 0 | 1 | ||
| NS | A/% | 1 | 2 | 3 |
| SF | B/% | 0.5 | 1 | 1.5 |
| PPF | C/% | 0.05 | 0.15 | 0.25 |
| Test Number | Factors | ||
|---|---|---|---|
| A/% | B/% | C/% | |
| C1 | 2 | 1 | 0.15 |
| C2 | 2 | 1 | 0.15 |
| C3 | 2 | 1 | 0.15 |
| C4 | 2 | 1 | 0.15 |
| C5 | 2 | 1 | 0.15 |
| C6 | 2 | 1.5 | 0.25 |
| C7 | 2 | 0.5 | 0.25 |
| C8 | 2 | 1.5 | 0.05 |
| C9 | 2 | 0.5 | 0.05 |
| C10 | 3 | 1 | 0.25 |
| C11 | 3 | 1 | 0.05 |
| C12 | 3 | 1.5 | 0.15 |
| C13 | 3 | 0.5 | 0.15 |
| C14 | 1 | 1 | 0.25 |
| C15 | 1 | 1 | 0.05 |
| C16 | 1 | 1.5 | 0.15 |
| C17 | 1 | 0.5 | 0.15 |
| Number | Y1/MPa | Y2/MPa | Y3 | ||||||
|---|---|---|---|---|---|---|---|---|---|
| Result | Mean | Sd | Result | Mean | Sd | Result | Mean | Sd | |
| C1 | 67.05, 67.32, 67.77 | 67.38 | 0.36 | 5.70, 6.05, 6.07 | 5.94 | 0.206 | 1.95, 2.09, 2.11 | 2.05 | 0.084 |
| C2 | 67.31, 67.62, 67.81 | 67.58 | 0.25 | 5.40, 5.81, 5.92 | 5.71 | 0.271 | 1.96, 1.97, 2.10 | 2.01 | 0.078 |
| C3 | 67.18, 67.48, 67.90 | 67.52 | 0.36 | 5.60, 5.95, 6.18 | 5.91 | 0.29 | 1.93, 1.99, 2.05 | 1.99 | 0.06 |
| C4 | 66.29, 66.61, 66.84 | 66.58 | 0.28 | 5.50, 5.92, 6.13 | 5.85 | 0.322 | 1.92, 2.03, 2.05 | 2 | 0.071 |
| C5 | 67.11, 67.45, 67.70 | 67.42 | 0.30 | 5.42, 5.88, 6.07 | 5.79 | 0.334 | 1.90, 2.01, 2.03 | 1.98 | 0.07 |
| C6 | 65.88, 66.09, 66.48 | 66.15 | 0.3 | 4.25, 4.70, 4.85 | 4.6 | 0.312 | 1.81, 1.92, 1.97 | 1.9 | 0.081 |
| C7 | 67.95, 68.18, 68.59 | 68.24 | 0.33 | 4.05, 4.48, 4.61 | 4.38 | 0.292 | 1.68, 1.75, 1.76 | 1.73 | 0.044 |
| C8 | 69.98, 70.15, 70.56 | 70.23 | 0.30 | 4.95, 5.40, 5.49 | 5.28 | 0.291 | 1.89, 2.05, 2.06 | 2 | 0.094 |
| C9 | 64.82, 65.03, 65.42 | 65.09 | 0.30 | 3.80, 4.25, 4.40 | 4.15 | 0.315 | 1.81, 1.85, 1.92 | 1.86 | 0.056 |
| C10 | 64.41, 64.73, 64.93 | 64.69 | 0.26 | 4.55, 5.00, 5.09 | 4.88 | 0.288 | 1.51, 1.58, 1.59 | 1.56 | 0.044 |
| C11 | 67.28, 67.52, 67.94 | 67.58 | 0.33 | 4.60, 5.10, 5.18 | 4.96 | 0.315 | 1.76, 1.83, 1.84 | 1.81 | 0.044 |
| C12 | 67.15, 67.50, 67.76 | 67.47 | 0.31 | 5.10, 5.55, 5.67 | 5.44 | 0.302 | 1.61, 1.65, 1.72 | 1.66 | 0.056 |
| C13 | 64.18, 64.40, 64.80 | 64.46 | 0.31 | 4.00, 4.45, 4.57 | 4.34 | 0.303 | 1.48, 1.48, 1.57 | 1.51 | 0.052 |
| C14 | 64.52, 64.85, 65.06 | 64.81 | 0.27 | 4.40, 4.85, 4.97 | 4.74 | 0.303 | 1.85, 1.87, 1.89 | 1.87 | 0.02 |
| C15 | 64.48, 64.83, 65.06 | 64.79 | 0.29 | 4.48, 4.95, 5.03 | 4.82 | 0.311 | 1.75, 1.80, 1.91 | 1.82 | 0.08 |
| C16 | 64.63, 64.88, 65.25 | 64.92 | 0.31 | 4.20, 4.75, 4.85 | 4.6 | 0.351 | 1.89, 1.94, 1.99 | 1.94 | 0.05 |
| C17 | 62.48, 62.79, 62.98 | 62.75 | 0.25 | 3.75, 4.30, 4.43 | 4.16 | 0.359 | 1.76, 1.78, 1.86 | 1.8 | 0.053 |
| Number | Y1 | Y2 | Y3 | |||
|---|---|---|---|---|---|---|
| Actual Value | Predicted Value | Actual Value | Predicted Value | Actual Value | Predicted Value | |
| C1 | 67.38 | 67.3 | 5.94 | 5.84 | 2.00 | 2.00 |
| C2 | 67.58 | 67.3 | 5.71 | 5.84 | 2.01 | 2.00 |
| C3 | 67.52 | 67.3 | 5.91 | 5.84 | 2.01 | 2.00 |
| C4 | 66.58 | 67.3 | 5.85 | 5.84 | 1.97 | 2.00 |
| C5 | 67.42 | 67.3 | 5.79 | 5.84 | 1.99 | 2.00 |
| C6 | 66.15 | 66.17 | 4.6 | 4.66 | 1.83 | 1.81 |
| C7 | 68.24 | 67.73 | 4.38 | 4.39 | 1.80 | 1.79 |
| C8 | 70.23 | 70.74 | 5.28 | 5.26 | 1.99 | 2.00 |
| C9 | 65.09 | 65.07 | 4.15 | 4.09 | 1.73 | 1.75 |
| C10 | 64.69 | 65.13 | 4.88 | 4.94 | 1.59 | 1.60 |
| C11 | 67.58 | 67.54 | 4.96 | 5.09 | 1.80 | 1.78 |
| C12 | 67.47 | 67.01 | 5.44 | 5.32 | 1.83 | 1.84 |
| C13 | 64.46 | 64.53 | 4.34 | 4.27 | 1.70 | 1.70 |
| C14 | 64.81 | 64.85 | 4.74 | 4.61 | 1.76 | 1.77 |
| C15 | 64.79 | 64.35 | 4.82 | 4.76 | 1.76 | 1.75 |
| C16 | 64.92 | 64.85 | 4.6 | 4.66 | 1.90 | 1.90 |
| C17 | 62.75 | 63.22 | 4.16 | 4.27 | 1.78 | 1.77 |
| Source | Sum of Squares | df | Mean Square | F-Value | p-Value | VIF | Significance |
|---|---|---|---|---|---|---|---|
| Y1 | 52.2844 | 9 | 5.8094 | 20.1031 | 0.0003 | — | Yes |
| A-NS | 6.0031 | 1 | 6.0031 | 20.7735 | 0.0026 | 1 | Yes |
| B-SF | 8.4598 | 1 | 8.4598 | 29.2748 | 0.0010 | 1 | Yes |
| C-PPF | 1.8019 | 1 | 1.8019 | 6.2353 | 0.0412 | 1 | Yes |
| AB | 0.1764 | 1 | 0.1764 | 0.6104 | 0.4602 | 1 | No |
| AC | 2.117 | 1 | 2.117 | 7.3259 | 0.0303 | 1 | Yes |
| BC | 13.0801 | 1 | 13.0802 | 45.2633 | 0.0003 | 1 | Yes |
| A2 | 19.981 | 1 | 19.981 | 69.1433 | <0.0001 | 1.01 | Yes |
| B2 | 0.1993 | 1 | 0.1993 | 0.6898 | 0.4336 | 1.01 | No |
| C2 | 0.5155 | 1 | 0.5155 | 1.784 | 0.2235 | 1.01 | No |
| Residual | 2.0229 | 7 | 0.289 | — | — | — | — |
| Lack of fit | 1.357 | 3 | 0.4523 | 2.7169 | 0.1793 | — | No |
| Pure Error | 0.6659 | 4 | 0.1665 | — | — | — | — |
| Cor Total | 54.3074 | 16 | — | — | — | — | — |
| Source | Sum of Squares | df | Mean Square | F-Value | p-Value | VIF | Significance |
|---|---|---|---|---|---|---|---|
| Y2 | 6.4 | 9 | 0.7114 | 42.41 | <0.0001 | — | Yes |
| A-NS | 0.2115 | 1 | 0.2115 | 12.61 | 0.0093 | 1 | Yes |
| B-SF | 1.04 | 1 | 1.0400 | 62.27 | <0.0001 | 1 | Yes |
| C-PPF | 0.0464 | 1 | 0.0464 | 2.76 | 0.1403 | 1 | No |
| AB | 0.11 | 1 | 0.11 | 6.56 | 0.0375 | 1 | Yes |
| AC | 2.89 × 10−6 | 1 | 2.89 × 10−6 | 0.0002 | 0.9899 | 1 | No |
| BC | 0.2067 | 1 | 0.2067 | 12.32 | 0.0099 | 1 | Yes |
| A2 | 0.9628 | 1 | 0.9628 | 57.41 | 0.0001 | 1.01 | Yes |
| B2 | 2.25 | 1 | 2.25 | 133.93 | <0.0001 | 1.01 | Yes |
| C2 | 1.09 | 1 | 1.09 | 65.26 | <0.0001 | 1.01 | Yes |
| Residual | 0.1174 | 7 | 0.0168 | — | — | — | — |
| Lack of fit | 0.083 | 3 | 0.0277 | 3.22 | 0.1443 | — | No |
| Pure Error | 0.0344 | 4 | 0.0086 | — | — | — | — |
| Cor Total | 6.52 | 16 | — | — | — | — | — |
| Source | Sum of Squares | df | Mean Square | F-Value | p-Value | VIF | Significance |
| Y3 | 0.4051 | 9 | 0.045 | 32 | <0.0001 | — | Yes |
| A-NS | 0.1036 | 1 | 0.1036 | 73.64 | <0.0001 | 1 | Yes |
| B-SF | 0.0458 | 1 | 0.0458 | 32.57 | 0.0007 | 1 | Yes |
| C-PPF | 0.0232 | 1 | 0.0232 | 16.47 | 0.0048 | 1 | Yes |
| AB | 0.0001 | 1 | 0.0001 | 0.0859 | 0.778 | 1 | No |
| AC | 0.0219 | 1 | 0.0219 | 15.59 | 0.0055 | 1 | Yes |
| BC | 0.0001 | 1 | 0.0001 | 0.1036 | 0.7569 | 1 | No |
| A2 | 0.1545 | 1 | 0.1545 | 109.82 | <0.0001 | 1.01 | Yes |
| B2 | 0.0307 | 1 | 0.0307 | 21.8 | 0.0023 | 1.01 | Yes |
| C2 | 0.01 | 1 | 0.01 | 7.13 | 0.032 | 1.01 | Yes |
| Source | Sum of Squares | df | Mean Square | F-Value | p-Value | VIF | Significance |
| Residual | 0.0098 | 7 | 0.0014 | — | — | — | — |
| Lack of fit | 0.0073 | 3 | 0.0024 | 3.75 | 0.1171 | — | No |
| Pure Error | 0.0026 | 4 | 0.0006 | — | — | — | — |
| Cor Total | 0.4150 | 16 | — | — | — | — | — |
| Model | R2 | C.V./% | Adeq Precision | ||
|---|---|---|---|---|---|
| Y1 | 0.962 | 0.915 | 0.581 | 0.81 | 18.25 |
| Y2 | 0.982 | 0.959 | 0.788 | 2.57 | 17.65 |
| Y3 | 0.976 | 0.946 | 0.710 | 2.03 | 16.77 |
| Parameters | Maximum Number of Iterations | Population Size | Pareto Solution Set Size | w | Inertial Weight Decay Rate | C1 | C2 | Mutation Selection Rate |
|---|---|---|---|---|---|---|---|---|
| Value | 100 | 500 | 100 | 0.422 | 0.99 | 1.9775 | 1.7355 | 0.1 |
| Evaluation Indicator | Entropy Value | Weight |
|---|---|---|
| Y1 | 0.98885 | 0.11636 |
| Y2 | 0.93785 | 0.64835 |
| Y3 | 0.97745 | 0.23529 |
| Evaluation Indicator | Predicted Value | Experimental Value | Relative Error (%) |
|---|---|---|---|
| Y1/MPa | 69.94 | 68.95 | 1.42 |
| Y2/MPa | 5.49 | 5.62 | 2.37 |
| Y3 | 1.99 | 1.91 | 4.02 |
Disclaimer/Publisher’s Note: The statements, opinions and data contained in all publications are solely those of the individual author(s) and contributor(s) and not of MDPI and/or the editor(s). MDPI and/or the editor(s) disclaim responsibility for any injury to people or property resulting from any ideas, methods, instructions or products referred to in the content. |
© 2026 by the authors. Licensee MDPI, Basel, Switzerland. This article is an open access article distributed under the terms and conditions of the Creative Commons Attribution (CC BY) license.
Share and Cite
Zhu, Y.; Zhang, Y.; Tao, Y.; Wang, Q.; Zhang, R.; Fang, Y. Experimental Study on Mechanical Properties and Mix Design Optimization of Nano-SiO2-Double-Doped Fiber High-Strength Concrete. Materials 2026, 19, 1359. https://doi.org/10.3390/ma19071359
Zhu Y, Zhang Y, Tao Y, Wang Q, Zhang R, Fang Y. Experimental Study on Mechanical Properties and Mix Design Optimization of Nano-SiO2-Double-Doped Fiber High-Strength Concrete. Materials. 2026; 19(7):1359. https://doi.org/10.3390/ma19071359
Chicago/Turabian StyleZhu, Yanchang, Yanmei Zhang, Yingying Tao, Qikai Wang, Rui Zhang, and Yongxiang Fang. 2026. "Experimental Study on Mechanical Properties and Mix Design Optimization of Nano-SiO2-Double-Doped Fiber High-Strength Concrete" Materials 19, no. 7: 1359. https://doi.org/10.3390/ma19071359
APA StyleZhu, Y., Zhang, Y., Tao, Y., Wang, Q., Zhang, R., & Fang, Y. (2026). Experimental Study on Mechanical Properties and Mix Design Optimization of Nano-SiO2-Double-Doped Fiber High-Strength Concrete. Materials, 19(7), 1359. https://doi.org/10.3390/ma19071359

