Synergistic Effects of Pre-Stretching and Aging Temperature on Precipitation Behavior and Damage Tolerance of an Al-Cu-Li Alloy
Abstract
1. Introduction
2. Experimental
2.1. Material Preparations
2.2. Property Tests and Microstructure Observations
3. Results
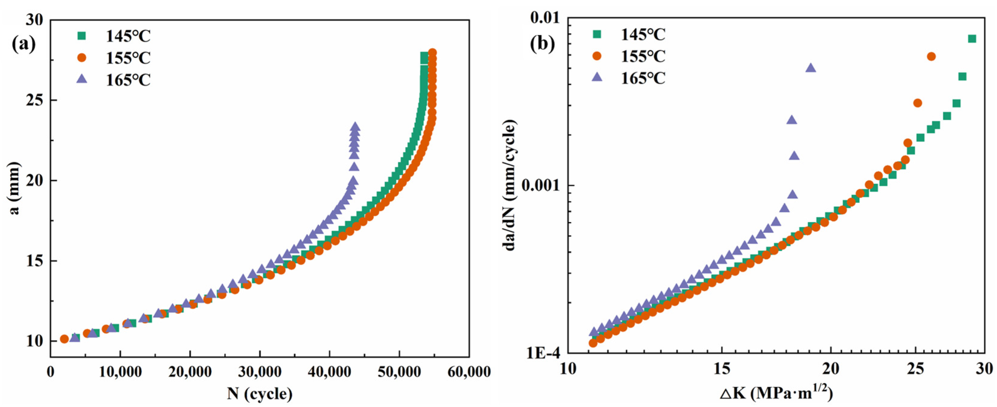
3.1. Mechanical Properties
3.2. Precipitation Behavior
3.3. Fracture Morphology
4. Discussion
4.1. Mechanism of Precipitation Modulation by Pre-Stretching
4.2. Influence of Aging Temperature on Precipitation Competition and Boundary Characteristics
5. Conclusions
- (1)
- Increasing the pre-stretching deformation significantly enhances the number density and refines the size of the intragranular T1 and θ′ phases, while promoting a discontinuous distribution of grain boundary precipitates. This results in an improved plasticity and fracture toughness of the alloy without compromising its high strength, as well as a reduction in the fatigue crack growth rate.
- (2)
- An increase in the aging temperature accelerates the coarsening of the T1 phase and reduces its number density, while inhibiting the precipitation of the θ′ phase. Grain boundary precipitates coarsen and exhibit a discontinuous distribution. Although the peak strength is not significantly affected, both the fracture toughness and fatigue crack growth resistance deteriorate markedly.
- (3)
- The microstructure–property relationship of the alloy indicates that, by appropriately controlling the pre-stretching deformation (3.5~4.5%) and aging temperature (145~155 °C), the size, distribution, and grain boundary characteristics of the precipitates can be optimized. This enables a synergistic enhancement of high strength and excellent damage tolerance.
Author Contributions
Funding
Data Availability Statement
Conflicts of Interest
References
- Dursun, T.; Soutis, C. Recent developments in advanced aircraft aluminium alloys. Mater. Des. 2014, 56, 862–871. [Google Scholar] [CrossRef]
- Rioja, R.J.; Liu, J. The Evolution of Al-Li Base Products for Aerospace and Space Applications. Metall. Mater. Trans. A 2012, 43, 3325–3337. [Google Scholar] [CrossRef]
- Chen, Y.Q.; He, Z.M.; Heng, L.L.; Song, Y.F.; Zhan, L.H.; Pan, S.P.; Liu, W.H. Corrosion fatigue mechanisms and control technologies in aviation aluminum alloys: A critical review. Chin. J. Aeronaut. 2026, 39, 103496. [Google Scholar] [CrossRef]
- Suresh, M.; Kalsar, R.; More, A.M.; Bisht, A.; Nayan, N.; Suwas, S. Evolution of microstructure and texture in the third generation Al-Li alloy AA2195 during warm hybrid processing. J. Alloys Compd. 2021, 855, 156750. [Google Scholar] [CrossRef]
- Chen, P.C.; Li, X.W.; Yao, Y.; Shi, G.H.; Wen, K.; Li, Z.H.; Zhang, Y.A.; Xiong, B.Q. Hot Deformation Analysis and Microstructure Evolution of a Novel Al-Cu-Li Alloy by Isothermal Compression. Adv. Eng. Mater. 2023, 25, 2201884. [Google Scholar] [CrossRef]
- Liu, D.; Ma, Y.; Li, J.; Liu, C.; Du, Y.; Chen, Y.; Zhang, X.; You, W.; Zhang, R. Quench sensitivity and microstructure evolution of the 2060 Al-Cu-Li alloy with a low Mg content. Mater. Charact. 2021, 177, 111156. [Google Scholar] [CrossRef]
- Liu, F.Y.; Du, Z.L.; Wang, G.T.; Guo, E.Y.; Chen, Z.N.; Xu, Y.J.; Zhang, Z.R.; Kang, H.J.; Wang, T.M. Damage evolution and fracture mechanisms of Al-Cu-Li alloy during elevated-temperature tensile deformation via in-situ synchrotron tomography. J. Mater. Sci. Technol. 2026, 271, 31–42. [Google Scholar] [CrossRef]
- Wang, P.; Ye, L.Y.; Li, Z.P.; Guo, X.B.; Tang, J.G.; Liu, S.D.; Zhang, Y. Effect of microstructure characteristics on fatigue properties of Al-Cu-Li alloy and damage accumulation mode of fatigue crack propagation under constant load. J. Alloys Compd. 2025, 1038, 182978. [Google Scholar] [CrossRef]
- Gumbmann, E.; Lefebvre, W.; Geuser, F.D. The effect of minor solute additions on the precipitation path of an Al-Cu-Li alloy. Acta Mater. 2016, 115, 104–114. [Google Scholar] [CrossRef]
- Han, J.Q.; Wang, H.M.; Xu, A.J.; Niu, K.M. Enhanced matrix precipitation of T1 (Al2CuLi) phase in AA2055 Al-Li alloy during stress aging process. Mater. Sci. Eng. A 2021, 827, 142057. [Google Scholar] [CrossRef]
- Decreus, B.; Deschamps, A.; Geuser, F.D.; Donnadieu, P.; Sigli, C.; Weyland, M. The influence of Cu/Li ratio on precipitation in Al-Cu-Li-x alloys. Acta Mater. 2013, 61, 2207–2218. [Google Scholar] [CrossRef]
- Zhao, X.Y.; Liu, W.S.; Xiao, D.H.; Ma, Y.Z.; Huang, L.P.; Tang, Y. A critical review: Crystal structure, evolution and interaction mechanism with dislocations of nano precipitates in Al-Li alloys. Mater. Des. 2022, 217, 110629. [Google Scholar] [CrossRef]
- Meng, J.Y.; Zhou, H.B.; Wang, R.Q.; Liu, W. Quantitative analysis on T1 phase precipitation behaviors and mechanical properties of 2195 Al-Li alloy after cryogenic deformation and aging. Trans. Nonferrous Met. Soc. China 2026, 36, 25–42. [Google Scholar] [CrossRef]
- Rodgers, B.I.; Prangnell, P.B. Quantification of the influence of increased pre-stretching on microstructure-strength relationships in the Al-Cu-Li alloy AA2195. Acta Mater. 2016, 108, 55–67. [Google Scholar] [CrossRef]
- Li, C.L.; Li, X.W.; Zhang, Y.A.; Wen, K.; Xiao, W.; Li, Y.; Yu, M.Y.; Gao, G.; Li, Z.H.; Xiong, B.Q. Effect of Sc content on microstructure characteristics and evolution of W phase in Al-Cu-Li alloys under as-cast and homogenization conditions. J. Mater. Res. Technol. 2023, 25, 7335–7352. [Google Scholar] [CrossRef]
- Dong, F.; Huang, S.Q.; Yi, Y.P.; He, H.L.; Huang, K.; Gao, S.L.; Jia, Y.Z.; Yu, W.W. Effect of increased stretching deformation at cryogenic temperature on the precipitation behavior and mechanical properties of 2060 Al–Li alloy. Mater. Sci. Eng. A 2022, 834, 142585. [Google Scholar] [CrossRef]
- Xiong, Y.; Yang, Y.L.; Xie, H.G.; Zhan, L.H. Effect of ageing temperature on the mechanical properties and microstructures of cryogenic-rolled 2195 Al-Cu-Li alloy. Mater. Sci. Eng. A 2025, 924, 147855. [Google Scholar] [CrossRef]
- Radan, L.; Songmene, V.; Zedan, Y.; Samuel, F.H. Investigating the Effect of Heat Treatment on the Microstructure and Hardness of Aluminum-Lithium Alloys. Materials 2023, 16, 6502. [Google Scholar] [CrossRef]
- Hajjioui, E.A.; Bouchaâla, K.; Faqir, M.; Essadiqi, E. A review of manufacturing processes, mechanical properties and precipitations for aluminum lithium alloys used in aeronautic applications. Heliyon 2023, 9, e12565. [Google Scholar] [CrossRef]
- Li, C.; Li, X.; Zhang, Y.; Wen, K.; Yan, L.; Li, Y.; Li, Y.; Yu, M.; Gao, G.; Yan, H.; et al. Effect of Cu/Li Ratio on Mechanical Properties and Corrosion Behavior of Sc-Containing Al-Cu-Li Alloys. Materials 2025, 18, 2254. [Google Scholar] [CrossRef] [PubMed]
- Cui, S.; Zhang, C.S.; Liu, M.F.; Chen, L.; Zhao, G.Q. Precipitation behavior of an Al-Cu-Li-X alloy and competing relationships among precipitates at different aging temperatures. Mater. Sci. Eng. A 2021, 814, 141125. [Google Scholar] [CrossRef]
- Starink MJGao, N.; Kamp, N.; Wang, S.C.; Pitcher, P.D.; Sinclair, I. Relations between microstructure, precipitation, age-formability and damage tolerance of Al-Cu-Mg-Li (Mn, Zr, Sc) alloys for age forming. Mater. Sci. Eng. A 2006, 418, 241–249. [Google Scholar] [CrossRef]
- Kermanidis, A.T.; Charalampidou, C.M.; Goulas, I.; Skarvelis, P.; Alexopoulos, N.D. Fatigue and fracture behaviour of (Al-Cu-Li) AA2198 under different ageing conditions. Int. J. Fatigue 2024, 184, 108286. [Google Scholar] [CrossRef]
- Xia, P.; Hu, Y.W.; Tong, M.M.; Hao, J.F. Delayed precipitation of S′ phases and accelerated fatigue crack propagation induced by coarsened grain boundary precipitates in an Al-Cu-Li alloy. Mater. Charact. 2025, 230, 115763. [Google Scholar] [CrossRef]
- Chen, P.; Li, X.; Lin, H.; Wen, K.; Li, Y.; Wang, S.; Xun, C.; Li, C.; Yan, L.; Zhang, Y.; et al. Influence of Cu Content on Precipitation Behavior and Mechanical Properties Under Aging Treatment of Al-Cu-Li Alloys. Materials 2025, 18, 2172. [Google Scholar] [CrossRef] [PubMed]
- Wang, P.; Ye, L.Y.; Li, Z.P.; Guo, X.B. Influence of pre-deformation on the fatigue crack growth and fracture behavior of Al-Cu-Li-Sc alloy. Theor. Appl. Fract. Mech. 2025, 138, 104913. [Google Scholar] [CrossRef]
- Liu, M.; Tao, X.; Di, Z.; Qin, M.; Liu, Z.; Bai, S. Effect of Pre-Rolling on Microstructure and Fatigue Crack Propagation Resistance of a Third-Generation Al-Li Alloy. Materials 2023, 16, 7540. [Google Scholar] [CrossRef]
- GB/T 16865-2023; Test Pieces and Method for Tensile Test for Wrought Aluminium and Magnesium Alloys Products. National Standard of the People’s Republic of China: Beijing, China, 2023.
- GB/T 42914-2023; Test Method for Fracture Toughness of Aluminium Alloy Products. National Standard of the People’s Republic of China: Beijing, China, 2023.
- GB/T 6398-2017; Metallic Materials—Fatigue Testing—Fatigue Crack Growth Method. National Standard of the People’s Republic of China: Beijing, China, 2017.
- Zeng, G.J.; Guo, Y.J.; Xiong, C.C.; Li, H.R.; Zhou, W. Enhanced fatigue crack propagation resistance of Al-Cu-Li alloys via regulating grain structure and precipitation behavior. Int. J. Fatigue 2025, 197, 108916. [Google Scholar] [CrossRef]
- Zhu, A.W.; Starke, E.A. Strengthening effect of unshearable particles of finite size: A computer experimental study. Acta Mater. 1999, 47, 3263–3269. [Google Scholar] [CrossRef]
- Deng, S.X.; Li, J.F.; Ning, H.; Lu, D.D.; Zeng, G.J.; Liu, Z.Z.; Xiang, H.; Que, J.R.; Liu, D.Y. Effect of Zr addition on the microstructure evolution and mechanical properties of extruded Al-Cu-Li-Mn alloys. Mater. Charact. 2023, 202, 113011. [Google Scholar] [CrossRef]
- Zeng, G.; Li, H.; Deng, S.; Ma, P.; Chen, Y.; Liu, T.; Li, J.; Liu, D.; Xu, G. Detailed investigation on microstructure and strengthening contribution of Al-xCu-1.3Li-X alloy sheets. Mater. Charact. 2023, 205, 113278. [Google Scholar] [CrossRef]
- Xu, X.; Wu, G.; Zhang, L.; Tong, X.; Zhang, X.; Sun, J.; Li, L.; Xiong, X. Effects of heat treatment and pre-stretching on the mechanical properties and microstructure evolution of extruded 2050 Al-Cu-Li alloy. Mater. Sci. Eng. A 2022, 845, 143236. [Google Scholar] [CrossRef]
- Nie, J.F.; Muddle, B.C. Microstructural design of high-strength aluminum alloys. J. Phase Equilib. 1998, 19, 543–551. [Google Scholar] [CrossRef]
- Deng, S.X.; Li, J.F.; Wang, L.; Chen, Y.Y.; Xiang, Z.W.; Ma, P.C.; Chen, Y.L.; Liu, D.Y. Strengthening mechanism of T8-aged Al-Cu-Li alloy with increased pre-deformation. Trans. Nonferrous Met. Soc. China 2024, 34, 3151–3169. [Google Scholar] [CrossRef]
- Xie, Y.K.; Liu, S.; Guo, X.; Liang, C.; Deng, Y. Enhancing the strength of Sc-containing Al-Cu-Li alloys by modifying the precipitation behavior through plastic deformation and heat treatment. Mater. Charact. 2024, 207, 113558. [Google Scholar] [CrossRef]
- Xie, Y.K.; Liu, S.; Guo, X.; Liang, C.; Deng, Y. Development of ultra-high strength Al-Cu-Li alloys containing high Mg through the combination of pre-stretching and age-hardening. Mater. Sci. Eng. A 2024, 896, 146289. [Google Scholar] [CrossRef]
- Lu, D.D.; Wang, G.; Li, J.F.; Deng, S.X. Effect of grain structure and precipitate on tensile properties and low-cycle fatigue behaviors of 2A55 Al-Cu-Li alloy. Int. J. Fatigue 2022, 159, 106834. [Google Scholar] [CrossRef]

















| Cu | Li | Mg | Ag | Zn | Mn | Zr | Al |
|---|---|---|---|---|---|---|---|
| 4.04 | 1.29 | 0.44 | 0.42 | 0.39 | 0.30 | 0.10 | Bal. |
Disclaimer/Publisher’s Note: The statements, opinions and data contained in all publications are solely those of the individual author(s) and contributor(s) and not of MDPI and/or the editor(s). MDPI and/or the editor(s) disclaim responsibility for any injury to people or property resulting from any ideas, methods, instructions or products referred to in the content. |
© 2026 by the authors. Licensee MDPI, Basel, Switzerland. This article is an open access article distributed under the terms and conditions of the Creative Commons Attribution (CC BY) license.
Share and Cite
Lin, B.; Li, C.; Li, X.; Zhang, Y.; Wen, K.; Li, Y.; Yan, L.; Li, Y.; Yan, H.; Li, Z.; et al. Synergistic Effects of Pre-Stretching and Aging Temperature on Precipitation Behavior and Damage Tolerance of an Al-Cu-Li Alloy. Materials 2026, 19, 1245. https://doi.org/10.3390/ma19061245
Lin B, Li C, Li X, Zhang Y, Wen K, Li Y, Yan L, Li Y, Yan H, Li Z, et al. Synergistic Effects of Pre-Stretching and Aging Temperature on Precipitation Behavior and Damage Tolerance of an Al-Cu-Li Alloy. Materials. 2026; 19(6):1245. https://doi.org/10.3390/ma19061245
Chicago/Turabian StyleLin, Ben, Changlin Li, Xiwu Li, Yongan Zhang, Kai Wen, Ying Li, Lizhen Yan, Yanan Li, Hongwei Yan, Zhihui Li, and et al. 2026. "Synergistic Effects of Pre-Stretching and Aging Temperature on Precipitation Behavior and Damage Tolerance of an Al-Cu-Li Alloy" Materials 19, no. 6: 1245. https://doi.org/10.3390/ma19061245
APA StyleLin, B., Li, C., Li, X., Zhang, Y., Wen, K., Li, Y., Yan, L., Li, Y., Yan, H., Li, Z., & Xiong, B. (2026). Synergistic Effects of Pre-Stretching and Aging Temperature on Precipitation Behavior and Damage Tolerance of an Al-Cu-Li Alloy. Materials, 19(6), 1245. https://doi.org/10.3390/ma19061245

