Influence of Welding Control Mode on the Joint Performance of Ultrasonically Welded Carbon Fiber-Reinforced Polycarbonate
Abstract
1. Introduction
2. Experimental
2.1. Materials
2.2. Ultrasonic Welding Procedure
2.3. Temperature Measurement
2.4. Testing and Characterization
3. Results and Discussion
3.1. Effect of Welding Control Modes on the Weld Quality
3.2. Effect of Welding Control Modes on the Weld Formation Process
3.3. Effect of Welding Control Modes on Joint Failure Behavior
- (1)
- Core quantitative index: net laminate penetration > 0.6 mm.
- (2)
- Macroscopic criterion: distinct coked area was observed in the macroscopic morphology of the welded joints (Figure 9(a3,b3,c3)). The area was attributed to the thermal degradation and carbonization of polycarbonate resin caused by excessive heat input.
- (3)
- Microscopic criterion: SEM observations revealed densely distributed pore defects in the weld zone, which are accompanied by resin flow accumulation and interfacial debonding between fibers and the resin matrix (Figure 10h,i).
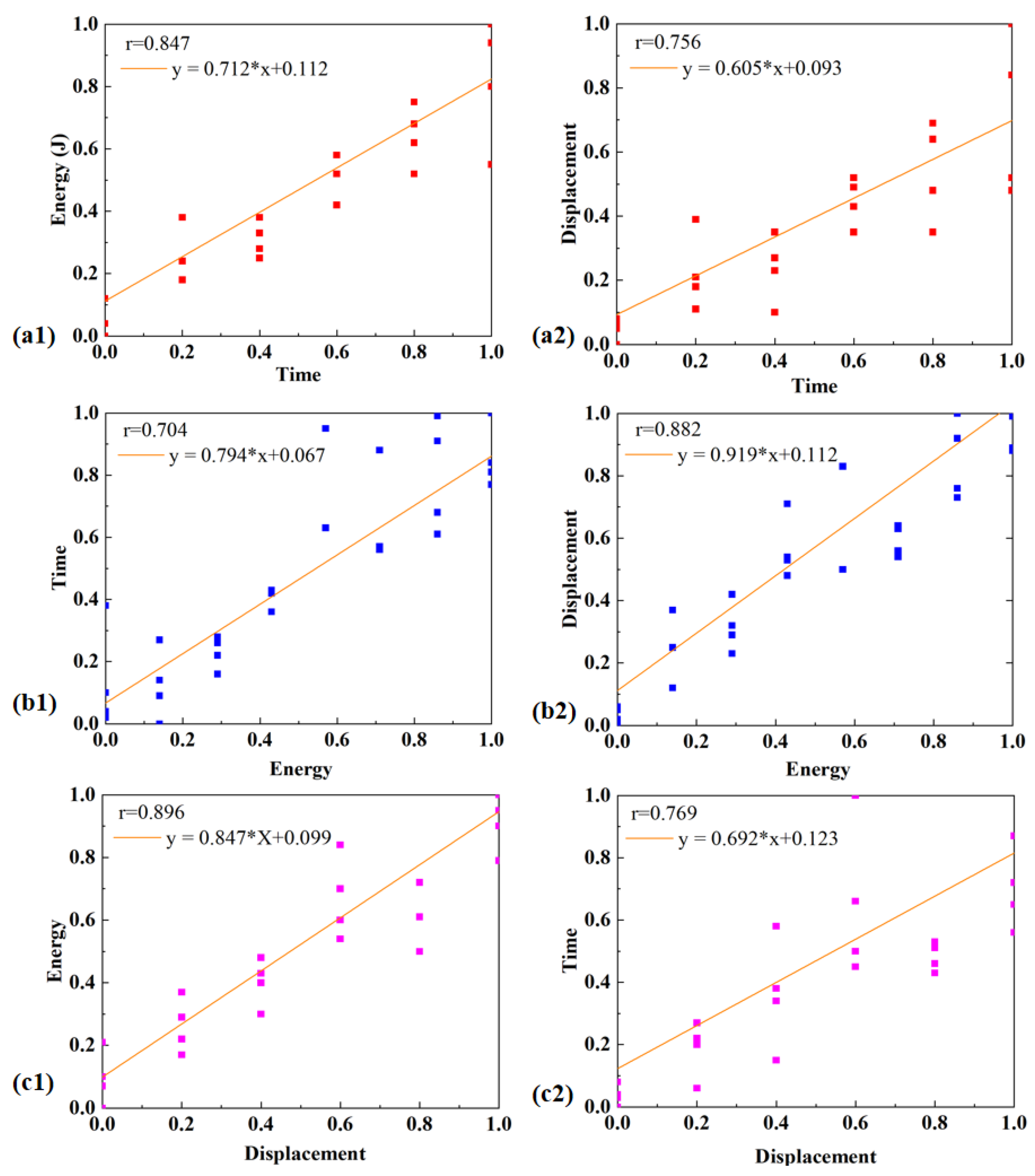
3.4. Correlation Analysis Among Welding Control Modes
4. Conclusions
- (1)
- The displacement control mode demonstrated the highest joint quality and process stability. It achieved a maximum LSS of 30.6 MPa at 1.2 mm with the lowest data scatter. CT characterization showed a dense interface with minimal pores and no apparent resin squeeze-out. This is followed by the energy control mode, while the time control mode exhibits the lowest overall effectiveness for this material system.
- (2)
- The ultrasonic welding process under all three control modes can be divided into three stages based on displacement evolution. The resulting peak temperature difference between the center and the edge varied with the control mode.
- (3)
- Correlation analysis showed that the displacement–energy relationship had the strongest coupling with a correlation coefficient of r = 0.896 under the displacement control mode.
- (4)
- Under the time control mode, the dominant failure mode transited from interfacial fracture at low parameters to interlaminar fracture as the welding time increased. Under the energy and displacement control modes, interlaminar fracture was the dominant failure mode even at low parameter settings.
Author Contributions
Funding
Institutional Review Board Statement
Informed Consent Statement
Data Availability Statement
Conflicts of Interest
References
- Ikpe, A.E.; Itiat, N.E.; Ekanem, I.I. A Systematic Review of Engineering Plastics and Their Viability in Conventional Industrial and Manufacturing Processes. J. Mater. Manuf. Technol. 2025, 2, 12–32. [Google Scholar]
- Vieyra, H.; Molina-Romero, J.M.; Calderón-Nájera, J.D.; Santana-Díaz, A. Engineering, Recyclable, and Biodegradable Plastics in the Automotive Industry: A Review. Polymers 2022, 14, 3412. [Google Scholar] [CrossRef]
- Nunes, J.; Silva, J. Sandwiched composites in aerospace engineering. In Advanced Composite Materials for Aerospace Engineering; Woodhead Publishing: Oxford, UK, 2016; pp. 129–174. [Google Scholar]
- Mallick, P. Thermoplastics and thermoplastic–matrix composites for lightweight automotive structures. In Design and Manufacturing for Lightweight Vehicles, 2nd ed.; Woodhead Publishing: Oxford, UK, 2021; pp. 187–228. [Google Scholar]
- Molinar-Díaz, J.; Parsons, A.J.; Ahmed, I.; Warrior, N.A.; Harper, L. Poly-Ether-Ether-Ketone (PEEK) Biomaterials and Composites: Challenges, Progress, and Opportunities. Polym. Rev. 2025, 65, 527–565. [Google Scholar] [CrossRef]
- Picard, M.; Mohanty, A.K.; Misra, M. Recent advances in additive manufacturing of engineering thermoplastics: Challenges and opportunities. RSC Adv. 2020, 10, 36058. [Google Scholar] [CrossRef] [PubMed]
- Ozkan, C.; Karsli, N.G.; Aytac, A.; Deniz, V. Short carbon fiber reinforced polycarbonate composites: Effects of different sizing materials. Compos. Part B Eng. 2014, 62, 230–235. [Google Scholar] [CrossRef]
- Almushaikeh, A.M.; Alotaibi, B.M.; Alenad, A.M.; Alqahtani, N.B.; Alharbi, A.G. Comprehensive Review of the Properties and Modifications of Carbon Fiber-Reinforced Thermoplastic Composites. Polymers 2021, 13, 2474. [Google Scholar] [CrossRef]
- Kore, S.; Murthy, V.S.; Hiremath, N.; Theodore, M.; Young, S.; Penumadu, D.; Vaidya, U. Textile-Grade Carbon Fiber-Reinforced Polycarbonate Composites: Effect of Epoxy Sizing. Ind. Eng. Chem. Res. 2021, 60, 3981−3991. [Google Scholar] [CrossRef]
- Villegas, I.F.; Moser, L.; Yousefpour, A.; Mitschang, P.; Bersee, H.E. Process and performance evaluation of ultrasonic, induction and resistance welding of advanced thermoplastic composites. J. Thermoplast. Compos. Mater. 2012, 26, 1007–1024. [Google Scholar] [CrossRef]
- Bhudolia, S.K.; Gohel, G.; Leong, K.F.; Islam, A. Advances in Ultrasonic Welding of Thermoplastic Composites: A Review. Materials 2020, 13, 1284. [Google Scholar] [CrossRef]
- Li, H.; Chen, C.; Li, Y.X.; Wu, J.J. Ultrasonic welding of fiber-reinforced thermoplastic composites: A review. Int. J. Adv. Manuf. Technol. 2022, 120, 29–57. [Google Scholar] [CrossRef]
- Brito, C.B.; Teuwen, J.; Dransfeld, C.A.; Villegas, I.F. Ultrasonic welding of thermoplastic composites: A comparison between polyetheretherketone and low-melt polyaryletherketone as resin in the adherends and energy directors. Compos. Part B Eng. 2025, 296, 112264. [Google Scholar] [CrossRef]
- Tsiangou, E.; Freitas, S.T.; Benedictus, R.; Villegas, I.F. On the sensitivity of the ultrasonic welding process of epoxy- to polyetheretherketone (PEEK)-based composites to the welding force and amplitude of vibrations. Compos. Part C Open Access 2021, 5, 100141. [Google Scholar] [CrossRef]
- Schaefer, F.H. Ultrasonic Welding of Polyamide and Polycarbonate Plates. Key Eng. Mater. 2011, 450, 165–168. [Google Scholar] [CrossRef]
- Ren, Y.Y.; Han, B.; Yan, Q.Y. High-performance ultrasonic welding of continuous carbon fiber reinforced polycarbonate composites: Synergizing simulation and experimentation. Compos. Struct. 2025, 372, 119555. [Google Scholar] [CrossRef]
- Chinnadurai, T.; Arungalai, V.S.; Mohan, R.N.; Prakash, N. Studies on ulteasonic welding of polycarbonate and acrylonitrile butasiene styrene blends. J. Chem. Technol. Metall. 2017, 52, 41–51. [Google Scholar]
- Bonmatin, M.; Chabert, F.; Bernhart, G.; Cutard, T.; Djilali, T. Ultrasonic welding of CF/PEEK composites: Influence of welding parameters on interfacial temperature profiles and mechanical properties. Compos. Part A Appl. Sci. Manuf. 2022, 162, 107074. [Google Scholar] [CrossRef]
- Birtha, J.; Marschik, C.; Kobler, E.; Straka, K.; Steinbichler, G.; Schlecht, S.; Zwicklhuber, P. Optimizing the Process of Spot Welding of Polycarbonate-Matrix-Based Unidirectional (UD) Thermoplastic Composite Tapes. Polymers 2023, 15, 2182. [Google Scholar] [CrossRef]
- Villegas, I.F. In situ monitoring of ultrasonic welding of thermoplastic composites through power and displacement data. J. Thermoplast. Compos. Mater. 2015, 28, 66–85. [Google Scholar] [CrossRef]
- Pirondi, A.; Gulino, M.; Moroni, F.; Bercella, M. Study of the ultrasonic welding of a polycarbonate-glass fiber laminate and comparison with adhesive bonding. Proc. Inst. Mech. Eng. Part L J. Mater. Des. Appl. 2024, 238, 112–132. [Google Scholar] [CrossRef]
- Liu, J.; Yue, D.; Wang, X.; Pan, J.; Yang, D.; Quan, D. Effects of welding displacement and energy director thickness on the ultrasonic welding of epoxy-to-polyetherimide based hybrid composite joints. Compos. Sci. Technol. 2024, 257, 110810. [Google Scholar] [CrossRef]
- Köhler, F.; Villegas, I.F.; Dransfeld, C.; Hermann, A. Static ultrasonic welding of carbon fibre unidirectional thermoplastic materials and the influence of heat generation and heat transfer. J. Compos. Mater. 2021, 55, 2087–2102. [Google Scholar] [CrossRef]
- Villegas, I.F. Strength development versus process data in ultrasonic welding of thermoplastic composites with flat energy directors and its application to the definition of optimum processing parameters. Compos. Part A Appl. Sci. Manuf. 2014, 65, 27–37. [Google Scholar] [CrossRef]
- Palardy, G.; Villegas, I.F. On the effect of flat energy directors thickness on heat generation during ultrasonic welding of thermoplastic composites. Compos. Interfaces 2017, 24, 203–214. [Google Scholar] [CrossRef]
- Zhao, Q.; Wu, H.; Chen, X.; Chen, X.; Xu, S.; He, C.; Zhao, T. Morphological Characterization and Failure Analysis of the Ultrasonic Welded Single-Lap Joints. Polymers 2023, 15, 3555. [Google Scholar] [CrossRef]
- Goto, K.; Imai, K.; Arai, M.; Ishikawa, T. Shear and tensile joint strengths of carbon fiber-reinforced thermoplastics using ultrasonic welding. Compo Part A Applied Sci. Manuf. 2019, 116, 126–137. [Google Scholar] [CrossRef]
- McNeill, I.C.; Rincon, A. Degradation Studies of Some Polyesters and Polycarbonates—8. Bisphenol A Polycarbonate. Polym. Degrad. Stab. 1991, 33, 177–193. [Google Scholar] [CrossRef]
- Wang, T.; Zhang, Z.; Ao, S.; Wang, K.; Li, Y. Ultrasonic welding of continuous carbon fiber reinforced PEEK with embossed energy directors. J. Manuf. Process. 2024, 131, 256–269. [Google Scholar] [CrossRef]











| Parameters | Value |
|---|---|
| Welding time (s) | 0.6, 0.9, 1.2, 1.5, 1.8, 2.1 |
| Welding energy (J) | 1200, 1400, 1600, 1800, 2000, 2200 |
| Welding displacement (mm) | 0.8, 1.0, 1.2, 1.4, 1.6, 1.8 |
| Welding force (N) | 600 |
| Amplitude (μm) | 36.2 |
| Hold time (s) | 5 |
| Set Welding Time (s) | Actual Displacement (mm) | ED Consumption (mm) | Net Laminate Penetration (mm) | System Error (mm) |
|---|---|---|---|---|
| 0.6 | 0.51 | 0.12 | 0 | 0.39 |
| 0.9 | 0.80 | 0.40 | 0 | 0.40 |
| 1.2 | 0.92 | 0.51 | 0 | 0.41 |
| 1.5 | 1.42 | 0.60 | 0.41 | 0.41 |
| 1.8 | 1.61 | 0.60 | 0.59 | 0.42 |
| 2.1 | 1.74 | 0.60 | 0.73 | 0.41 |
| Set Welding Energy (J) | Actual Displacement (mm) | ED Consumption (mm) | Net Laminate Penetration (mm) | System Error (mm) |
|---|---|---|---|---|
| 1600 | 0.92 | 0.50 | 0 | 0.42 |
| 1800 | 0.92 | 0.51 | 0 | 0.41 |
| 2000 | 1.21 | 0.60 | 0.21 | 0.40 |
| 2200 | 1.51 | 0.60 | 0.49 | 0.42 |
| 2400 | 1.57 | 0.60 | 0.58 | 0.39 |
| 2600 | 1.69 | 0.60 | 0.69 | 0.40 |
| Set Displacement (mm) | Actual Displacement (mm) | ED Consumption (mm) | Net Laminate Penetration (mm) | System Error (mm) |
|---|---|---|---|---|
| 0.8 | 0.8 | 0.4 | 0 | 0.40 |
| 1.0 | 1.0 | 0.6 | 0 | 0.41 |
| 1.2 | 1.2 | 0.6 | 0.21 | 0.40 |
| 1.4 | 1.4 | 0.6 | 0.39 | 0.41 |
| 1.6 | 1.6 | 0.6 | 0.62 | 0.41 |
| 1.8 | 1.8 | 0.6 | 0.79 | 0.42 |
Disclaimer/Publisher’s Note: The statements, opinions and data contained in all publications are solely those of the individual author(s) and contributor(s) and not of MDPI and/or the editor(s). MDPI and/or the editor(s) disclaim responsibility for any injury to people or property resulting from any ideas, methods, instructions or products referred to in the content. |
© 2026 by the authors. Licensee MDPI, Basel, Switzerland. This article is an open access article distributed under the terms and conditions of the Creative Commons Attribution (CC BY) license.
Share and Cite
Zhang, Z.; Yang, Y.; Wei, L.; Ao, S.; Li, Y. Influence of Welding Control Mode on the Joint Performance of Ultrasonically Welded Carbon Fiber-Reinforced Polycarbonate. Materials 2026, 19, 1138. https://doi.org/10.3390/ma19061138
Zhang Z, Yang Y, Wei L, Ao S, Li Y. Influence of Welding Control Mode on the Joint Performance of Ultrasonically Welded Carbon Fiber-Reinforced Polycarbonate. Materials. 2026; 19(6):1138. https://doi.org/10.3390/ma19061138
Chicago/Turabian StyleZhang, Zhaolong, Yuanduo Yang, Lunan Wei, Sansan Ao, and Yang Li. 2026. "Influence of Welding Control Mode on the Joint Performance of Ultrasonically Welded Carbon Fiber-Reinforced Polycarbonate" Materials 19, no. 6: 1138. https://doi.org/10.3390/ma19061138
APA StyleZhang, Z., Yang, Y., Wei, L., Ao, S., & Li, Y. (2026). Influence of Welding Control Mode on the Joint Performance of Ultrasonically Welded Carbon Fiber-Reinforced Polycarbonate. Materials, 19(6), 1138. https://doi.org/10.3390/ma19061138

