The Influence of the 4-Diethylaminophenyl Substituent on the Physicochemical Properties of Phenanthro[9,10-d]imidazole Derivatives in the Context of Electroluminescent Applications
Abstract
1. Introduction
2. Experimental Section
3. Results and Discussion
3.1. Synthesis
3.2. Thermal Properties
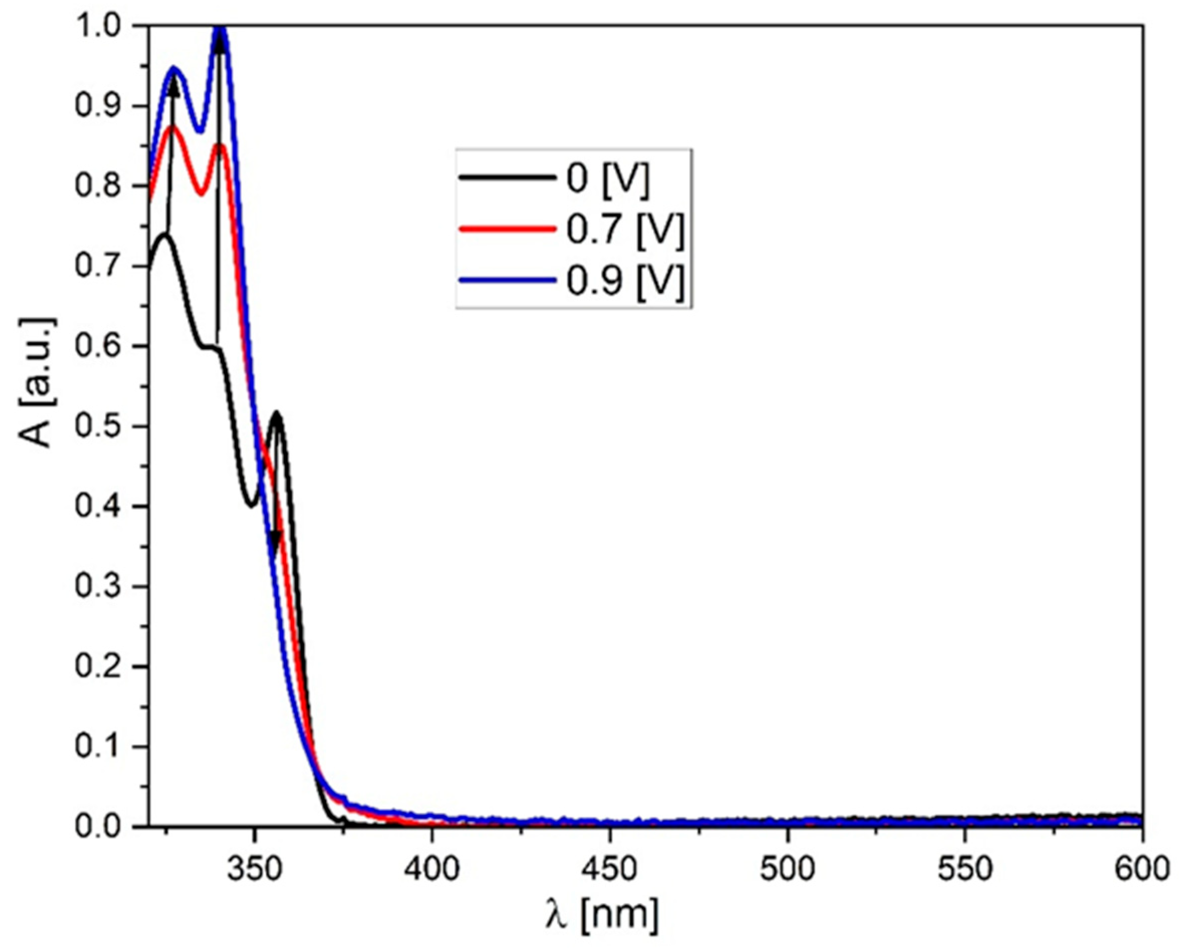
3.3. Redox Behavior
3.4. DFT Calculations
3.5. Optical Properties
4. Conclusions
Supplementary Materials
Author Contributions
Funding
Institutional Review Board Statement
Informed Consent Statement
Data Availability Statement
Acknowledgments
Conflicts of Interest
References
- Keerthika, P.; Nutalapati, V.; Konidena, R.K. A Guide to Mastering Multi-Resonance Thermally Activated Delayed Fluorescence: From Challenges to Strategies for High-Performance OLEDs. J. Mater. Chem. C 2025, 13, 17416–17457. [Google Scholar] [CrossRef]
- Cui, B.; Zhou, J.; Duan, C.; Xu, H. Blue Multiple-Resonance Thermally Activated Delayed Fluorescence Materials. Adv. Opt. Mater. 2025, 13, 2403295. [Google Scholar] [CrossRef]
- Guo, Z.; Zhang, X.; Zhou, A.; Utochnikova, V.; Zhu, Y.; Meng, H. Chemical Strategies for Modifying Carbonyl/Nitrogen-Based MR-TADF Materials toward Narrowband Emission. Adv. Opt. Mater. 2025, 13, e01289. [Google Scholar] [CrossRef]
- Ren, Y.; Su, S.-J. Recent Advances in Highly Efficient Small-Molecule TADF Emitters for Solution-Processed OLEDs. J. Mater. Chem. C 2025, 13, 19909–19926. [Google Scholar] [CrossRef]
- Li, B.; Lv, Y. Recent Advances of Aromatic Cyclic Imide/Amide Acceptors in Thermally Activated Delayed Fluorescent Materials for Organic Light-Emitting Diodes. Adv. Opt. Mater. 2025, 13, e01835. [Google Scholar] [CrossRef]
- Ferraro, V.; Bizzarri, C.; Bräse, S. Thermally Activated Delayed Fluorescence (TADF) Materials Based on Earth-Abundant Transition Metal Complexes: Synthesis, Design and Applications. Adv. Sci. 2024, 11, 2404866. [Google Scholar] [CrossRef] [PubMed]
- Zhao, Z.; Gao, A.; Wang, Z.; Liu, Z.; Xiong, W.; Xu, Y.; Meng, L.; Dang, D. Recent Advances of Organic Emitters in Deep-red Light-emitting Electrochemical Cells. Luminescence 2024, 39, e4657. [Google Scholar] [CrossRef]
- Ghahary, R.; Rabiei, M.; Nasiri, S.; Padgurskas, J.; Rukuiza, R. Overview on the Thermally Activated Delayed Fluorescence and Mechanochromic Materials: Bridging Efficiency and Versatility in LECs and OLEDs. Materials 2025, 18, 2714. [Google Scholar] [CrossRef]
- Schlingman, K.; Chen, Y.; Carmichael, R.S.; Carmichael, T.B. 25 Years of Light-Emitting Electrochemical Cells: A Flexible and Stretchable Perspective. Adv. Mater. 2021, 33, 2006863. [Google Scholar] [CrossRef]
- Krawiec, A.; Szłapa-Kula, A.; Kula, S. 1H-Imidazo [4,5-f][1,10]Phenanthroline Derivatives as Promising Ligands for Ir and Ru Complex Compounds for Applications in LECs: Mini-Review. Materials 2025, 18, 4380. [Google Scholar] [CrossRef]
- Peng, H.-N.; Liu, J.; Li, G.; Zhao, B. Efficient deep blue fluorescent emitters based on bipolar phenanthroimidazole-carbazole hybrid for non-doped electroluminescent device with small CIEy. Dye. Pigment. 2024, 222, 111885. [Google Scholar] [CrossRef]
- Tavgeniene, D.; Blazevicius, D.; Kirstukas, M.; Krucaite, G.; Kazlauskas, K.; Banevicius, D.; Jankauskas, V.; Kamarauskas, E.; Grigalevicius, S. Phenanthro[9,10-d]imidazole having electroactive derivatives as potential host materials for third generation organic light emitting diodes. Synth. Met. 2025, 311, 117822. [Google Scholar] [CrossRef]
- Akshaya, M.; Gayathri, R.; Imran, P.M.; Nagarajan, S. Exploring Single Atom Substitution In Phenanthro[9,10-d]Imidazole -Based D–π–A Architectures with Fluorene and its Heteroanalogs for Non-Volatile Resistive WORM Memory Device Applications. Chem. Eur. J. 2025, 31, e202404337. [Google Scholar] [CrossRef]
- Kathirvelan, D.; Mayakrishnan, S.; Uma Maheswari, N.; Biswas, C.; Raavi, S.S.K.; Panda, T.K. A Simple D–π–A System of Phenanthroimidazole-π-Fluorenone for Highly Efficient Non-Doped Bipolar AIE Luminogens: Synthesis, and Molecular Optical, Thermal and Electrochemical Properties. New J. Chem. 2020, 44, 1785–1794. [Google Scholar] [CrossRef]
- Jia, Y.; Wu, S.; Zhang, Y.; Fan, S.; Zhao, X.; Liu, H.; Dong, X.; Wang, S.; Li, X. Achieving Non-Doped Deep-Blue OLEDs by Applying Bipolar Imidazole Derivatives. Org. Electron. 2019, 69, 289–296. [Google Scholar] [CrossRef]
- Chen, W.-C.; Yuan, Y.; Xiong, Y.; Rogach, A.L.; Tong, Q.-X.; Lee, C.-S. Aromatically C6- and C9-Substituted Phenanthro[9,10-d]Imidazole Blue Fluorophores: Structure–Property Relationship and Electroluminescent Application. ACS Appl. Mater. Interfaces 2017, 9, 26268–26278. [Google Scholar] [CrossRef]
- Wang, Z.-Y.; Liu, B.; Zhao, J.-W.; Ruan, G.-L.; Tao, S.-L.; Tong, Q.-X. Bipolar Deep-Blue Phenanthroimidazole Derivatives: Structure, Photophysical and Electroluminescent Properties. Org. Electron. 2018, 52, 89–97. [Google Scholar] [CrossRef]
- Chen, S.; Wu, Y.; Zhao, Y.; Fang, D. Deep Blue Organic Light-Emitting Devices Enabled by Bipolar Phenanthro[9,10-d]Imidazole Derivatives. RSC Adv. 2015, 5, 72009–72018. [Google Scholar] [CrossRef]
- Jayabharathi, J.; Prabhakaran, A.; Thanikachalam, V.; Jeeva, P. Efficient Non-Doped Blue Emitting Devices Based on Bis(Phenanthrimidazolyl)Biphenyl Derivatives. New J. Chem. 2016, 40, 8768–8777. [Google Scholar] [CrossRef]
- Thanikachalam, V.; Sarojpurani, E.; Jayabharathi, J.; Jeeva, P. Efficient Phenanthroimidazole-Styryl-Triphenylamine Derivatives for Blue OLEDs: A Combined Experimental and Theoretical Study. New J. Chem. 2017, 41, 2443–2457. [Google Scholar] [CrossRef]
- Tang, X.; Liu, H.; Liu, F.; He, X.; Xu, X.; Chen, J.; Peng, Q.; Lu, P. Efficient Red Electroluminescence From Phenanthro[9,10-d]imidazole-Naphtho[2,3-c][1,2,5]Thiadiazole Donor-Acceptor Derivatives. Chem. Asian J. 2021, 16, 1942–1948. [Google Scholar] [CrossRef] [PubMed]
- Li, Z.; Xie, N.; Xu, Y.; Li, C.; Mu, X.; Wang, Y. Fluorine-Substituted Phenanthro[9,10-d]Imidazole Derivatives with Optimized Charge-Transfer Characteristics for Efficient Deep-Blue Emitters. Org. Mater. 2020, 02, 011–019. [Google Scholar] [CrossRef]
- Liu, F.; Tan, Y.; Liu, H.; Tang, X.; Gao, L.; Du, C.; Min, J.; Jin, H.; Lu, P. High-Efficiency near-Infrared Fluorescent Organic Light-Emitting Diodes with Small Efficiency Roll-off Based on AIE-Active Phenanthro[9,10-d]Imidazole Derivatives. J. Mater. Chem. C 2020, 8, 6883–6890. [Google Scholar] [CrossRef]
- Xin, J.; Li, Z.; Liu, Y.; Liu, D.; Zhu, F.; Wang, Y.; Yan, D. High-Efficiency Non-Doped Deep-Blue Fluorescent Organic Light-Emitting Diodes Based on Carbazole/Phenanthroimidazole Derivatives. J. Mater. Chem. C 2020, 8, 10185–10190. [Google Scholar] [CrossRef]
- Reddy, S.S.; Sree, V.G.; Gunasekar, K.; Cho, W.; Gal, Y.; Song, M.; Kang, J.; Jin, S. Highly Efficient Bipolar Deep-Blue Fluorescent Emitters for Solution-Processed Non-Doped Organic Light-Emitting Diodes Based on 9,9-Dimethyl-9,10-dihydroacridine/Phenanthroimadazole Derivatives. Adv. Opt. Mater. 2016, 4, 1236–1246. [Google Scholar] [CrossRef]
- Wang, D.-H.; Yao, J.-F.; Li, H.-Z.; Li, G.-Z.; Xie, F.-M.; Li, Y.-Q.; Hu, Y.-Y.; Tang, J.-X.; Zhao, X. New Strategy for Developing Deep Blue TADF Materials with Narrow Emission and CIEy < 0.06 Employing Host Materials as Donors. New J. Chem. 2023, 47, 3026–3036. [Google Scholar] [CrossRef]
- Li, C.; Wei, J.; Song, X.; Ye, K.; Zhang, H.; Zhang, J.; Wang, Y. Non-Doped Luminescent Material Based Organic Light-Emitting Devices Displaying High Brightness under Very Low Driving Voltage. J. Mater. Chem. C 2016, 4, 7013–7019. [Google Scholar] [CrossRef]
- Keerthika, P.; Kumar, A.; Selvaganesan, A.; Moon, J.; Nutalapati, V.; Lee, J.Y.; Konidena, R.K. Overcoming the 5% EQE Ceiling in Deep-Blue Fluorescent OLEDs with Hybridized Local and Charge Transfer Featured Phenanthroimidazole-Carbazole Emitters. J. Mater. Chem. C 2025, 13, 20540–20548. [Google Scholar] [CrossRef]
- Szlapa-Kula, A.; Kula, S. Progress on Phenanthroimidazole Derivatives for Light-Emitting Electrochemical Cells: An Overview. Energies 2023, 16, 5194. [Google Scholar] [CrossRef]
- Liu, C.; Li, J.; Man, X.; Liu, H.; Sun, X.; Liu, F.; Lu, P. Synthesis and Characteristics of Organic Red-Emissive Materials Based on Phenanthro[9,10-d]Imidazole. Chem. Asian J. 2019, 14, 821–827. [Google Scholar] [CrossRef] [PubMed]
- Wang, B.; Mu, G.; Tan, J.; Lei, Z.; Jin, J.; Wang, L. Pyridine-Containing Phenanthroimidazole Electron-Transport Materials with Electron Mobility/Energy-Level Trade-off Optimization for Highly Efficient and Low Roll-off Sky Blue Fluorescent OLEDs. J. Mater. Chem. C 2015, 3, 7709–7719. [Google Scholar] [CrossRef]
- Zhang, F.; Li, W.; Wei, D.; Wei, X.; Li, Z.; Zhang, S.; Li, S.; Wei, B.; Cao, G.; Zhai, B. Synthesis, Photophysical and Electroluminescent Properties of Blue-Emitting Dual Core Imidazole–Anthracene/Pyrene Derivatives. RSC Adv. 2016, 6, 60264–60270. [Google Scholar] [CrossRef]
- Kaiyasuan, C.; Chasing, P.; Nalaoh, P.; Wongkaew, P.; Sudyoadsuk, T.; Kongpatpanich, K.; Promarak, V. Twisted Phenanthro[9,10-d]Imidazole Derivatives as Non-doped Emitters for Efficient Electroluminescent Devices with Ultra-Deep Blue Emission and High Exciton Utilization Efficiency. Chem. Asian J. 2021, 16, 2328–2337. [Google Scholar] [CrossRef] [PubMed]
- Bujak, P.; Kulszewicz-Bajer, I.; Zagorska, M.; Maurel, V.; Wielgus, I.; Pron, A. Polymers for Electronics and Spintronics. Chem. Soc. Rev. 2013, 42, 8895–8999. [Google Scholar] [CrossRef]
- Kula, S.; Ledwon, P.; Maroń, A.M.; Siwy, M.; Grzelak, J.; Szalkowski, M.; Maćkowski, S.; Schab-Balcerzak, E. Synthesis, Photophysical Properties and Electroluminescence Characterization of 1-Phenyl-1H-Phenanthro[9,10-d]Imidazole Derivatives with N-Donor Substituents. Dyes Pigm. 2021, 192, 109437. [Google Scholar] [CrossRef]
- Ivanauskaite, A.; Lygaitis, R.; Raisys, S.; Kazlauskas, K.; Kreiza, G.; Volyniuk, D.; Gudeika, D.; Jursenas, S.; Grazulevicius, J.V. Structure–Property Relationship of Blue Solid State Emissive Phenanthroimidazole Derivatives. Phys. Chem. Chem. Phys. 2017, 19, 16737–16748. [Google Scholar] [CrossRef] [PubMed]
- Qin, W.; Yang, Z.; Jiang, Y.; Lam, J.W.Y.; Liang, G.; Kwok, H.S.; Tang, B.Z. Construction of Efficient Deep Blue Aggregation-Induced Emission Luminogen from Triphenylethene for Nondoped Organic Light-Emitting Diodes. Chem. Mater. 2015, 27, 3892–3901. [Google Scholar] [CrossRef]
- Zhang, S.; Li, W.; Yao, L.; Pan, Y.; Shen, F.; Xiao, R.; Yang, B.; Ma, Y. Enhanced Proportion of Radiative Excitons in Non-Doped Electro-Fluorescence Generated from an Imidazole Derivative with an Orthogonal Donor–Acceptor Structure. Chem. Commun. 2013, 49, 11302–11304. [Google Scholar] [CrossRef]
- Li, W.; Dong, G.; Wang, H.; Liu, J.; Chen, J.; Dong, Y.; Zhang, C. Novel Fluorescence Sensing of D-A Type Imidazole Derivatives to Fe3+ and Its Application on Rewritable Paper. J. Mol. Struct. 2024, 1307, 137977. [Google Scholar] [CrossRef]
- Chen, X.; Zhang, H.; Tan, H.-J.; Yang, L.; Qin, P.; Zheng, X.-H.; Tang, S.-S.; Liu, Y.; Tong, Q.-X. Rational Molecular Design of Multifunctional Blue-Emitting Materials Based on Phenanthroimidazole Derivatives. Chem. Eur. J. 2021, 27, 7275–7282. [Google Scholar] [CrossRef]
- Song, X.; Zhu, S.; Liu, Y.; Shi, T.; Yang, L.; He, Y.; Niu, X.; Yang, Z.; Yuan, J.; Feng, Z. Hybridized Local and Charge-Transfer Excited States of Blue OLEDs Based on Phenanthroimidazole Derivates with a Narrow FWHM of 24 Nm. J. Mater. Chem. C 2024, 12, 14129–14138. [Google Scholar] [CrossRef]
- Zhang, S.; Yao, L.; Peng, Q.; Li, W.; Pan, Y.; Xiao, R.; Gao, Y.; Gu, C.; Wang, Z.; Lu, P.; et al. Achieving a Significantly Increased Efficiency in Nondoped Pure Blue Fluorescent OLED: A Quasi-Equivalent Hybridized Excited State. Adv. Funct. Mater. 2015, 25, 1755–1762. [Google Scholar] [CrossRef]
- Krebs, F.C.; Spanggaard, H. An Exceptional Red Shift of Emission Maxima upon Fluorine Substitution. J. Org. Chem. 2002, 67, 7185–7192. [Google Scholar] [CrossRef] [PubMed]





| Compound | T5 a [°C] | T10 b [°C] | Tmax c [°C] | Tm d [°C] |
|---|---|---|---|---|
| AM-0 | 312 | 320 | 363 | 312 |
| AM-1 | 289 | 310 | 368 | 220 |
| AM-2 | 283 | 313 | 379 | 186 |
| AM-3 | 257 | 285 | 347 | 202 |
| Compound | E1red [V] | E1ox [V] | E2ox [V] | E3ox [V] | IP 1 (eV) | EA 2 (eV) | Eg(CV) 3 [eV] |
|---|---|---|---|---|---|---|---|
| AM-0 | −2.25 | 0.08 | 0.52 | - | −5.18 | −2.85 | 2.33 |
| AM-1 | −2.25 | 0.23 | - | - | −5.33 | −2.85 | 2.48 |
| AM-2 | −2.25 | 0.50 | 0.96 | 1.37 | −5.60 | −2.85 | 2.75 |
| AM-3 | −2.35 | 0.76 | 1.33 | - | −5.86 | −2.75 | 3.11 |
| Compound | HOMO(DFT) [eV] | LUMO(DFT) [eV] | IP(DFT) [eV] | EA(DFT) [eV] | Eg(DFT) [eV] | IP—EA(DFT) [eV] | Eg (opt DFT) [eV] |
|---|---|---|---|---|---|---|---|
| AM-0 | −5.29 | −1.19 | 5.05 | 1.49 | 4.10 | 3.56 | 3.15 |
| AM-1 | −5.34 | −1.18 | 5.05 | 1.47 | 4.16 | 3.58 | 3.25 |
| AM-2 | −5.77 | −1.28 | 5.39 | 1.66 | 4.49 | 3.73 | 3.46 |
| AM-3 | −5.90 | −1.33 | 5.62 | 1.72 | 4.58 | 3.90 | 3.50 |
| Compound | Solvent | ε [104 dm3·mol−1·cm−1] | λabs [nm] | λem [nm] | Stokes Shift * [nm] | QY | Egopt |
|---|---|---|---|---|---|---|---|
| AM-0 | toluene | 4.18, 5.80, 3.12sh | 289, 348, 380sh | 401, 416 | 53 | 0.28 | - |
| CHCl3 | 2.01, 3.00, 1.97sh | 317, 351, 378sh | 418, 435 | 67 | 0.22 | 3.15 | |
| THF | 6.17, 5.50, 3.61, 5.31, 2.68sh | 248, 262, 287, 347, 377sh | 420 | 73 | 0.27 | - | |
| MeCN | 6.42, 5.24, 3.04, 5.42, 3.30sh | 248, 263, 286, 344, 374sh | 444 | 100 | 0.20 | - | |
| DMSO | 5.24, 3.18, 5.41, 3.29sh | 264, 289, 351, 379sh | 453 | 102 | 0.26 | - | |
| MeOH | 6.85, 5.73, 3.06, 5.40, 3.40 | 247, 260, 286, 342, 374 | 425 | 51 | 0.26 | - | |
| AM-1 | toluene | 2.64, 3.28, 1.58sh | 290, 342, 375sh | 398, 415 | 56 | 0.34 | - |
| CHCl3 | 1.67, 1.80, 2.35, 1.04sh | 280, 289, 341, 375sh | 429, 439 | 88 | 0.41 | 3.15 | |
| THF | 6.87, 3.56, 4.78, 2.46sh | 250, 289, 342, 375sh | 415 | 73 | 0.34 | - | |
| MeCN | 7.10, 3.28, 4.46, 2.23sh | 251, 288, 336, 372sh | 441 | 105 | 0.21 | - | |
| DMSO | 5.69, 3.23, 4.79, 2.66sh | 261, 288, 344, 380sh | 448 | 104 | 0.30 | - | |
| MeOH | 7.88, 3.42, 4.60, 2.41sh | 250, 285, 330, 364sh | 419 | 89 | 0.31 | - | |
| AM-2 | toluene | 3.79, 2.75, 1.12, 0.99 | 283, 312, 347, 364 | 373, 392, 413 | 9 | 0.20 | - |
| CHCl3 | 2.97, 4.80, 2.73, 0.94, 0.83 | 272, 278, 310, 347, 362 | 376, 392, 417 | 14 | 0.07 | 3.33 | |
| THF | 7.67, 6.30, 2.80, 1.05, 0.93 | 263, 272, 312, 346, 363 | 375, 389, 413 | 12 | 0.05 | - | |
| MeCN | 8.21, 6.41, 2.81, 0.86, 0.80 | 259, 272, 309, 345, 361 | 367, 384, 407 | 6 | 0.02 | - | |
| DMSO | 8.08, 6.45, 2.81, 0.96, 0.83 | 264, 273, 311, 347, 363 | 370, 387, 410 | 7 | 0.03 | - | |
| MeOH | 9.00, 5.91, 2.86, 0.85, 0.73 | 258, 273, 304, 339, 355 | 365, 383, 402 | 10 | 0.04 | - | |
| AM-3 | toluene | 2.00, 1.71, 1.58, 0.60, 0.52 | 278, 287, 310, 344, 360 | 372, 389, 412 | 12 | 0.21 | - |
| CHCl3 | 1.54, 1.48, 0.71, 0.60 | 284, 314, 345, 362 | 372, 391, 412 | 10 | 0.15 | 3.34 | |
| THF | 5.45, 1.67, 1.70, 0.73, 0.65 | 262, 287, 313, 344, 361 | 372, 389, 411 | 11 | 0.24 | - | |
| MeCN | 5.32, 1.53, 1.47, 0.50, 0.48 | 258, 285, 308, 342, 359 | 376, 389, 414 | 17 | 0.19 | - | |
| DMSO | 5.34, 1.64, 1.58, 0.59, 0.52 | 263, 287, 312, 344, 361 | 378, 390, 414 | 17 | 0.26 | - | |
| MeOH | 6.25, 1.71, 1.55, 0.50, 0.45 | 258, 284, 303, 338, 354 | 370, 384, 406 | 16 | 0.17 | - |
Disclaimer/Publisher’s Note: The statements, opinions and data contained in all publications are solely those of the individual author(s) and contributor(s) and not of MDPI and/or the editor(s). MDPI and/or the editor(s) disclaim responsibility for any injury to people or property resulting from any ideas, methods, instructions or products referred to in the content. |
© 2025 by the authors. Licensee MDPI, Basel, Switzerland. This article is an open access article distributed under the terms and conditions of the Creative Commons Attribution (CC BY) license.
Share and Cite
Krawiec, A.; Filapek, M.; Kula, S. The Influence of the 4-Diethylaminophenyl Substituent on the Physicochemical Properties of Phenanthro[9,10-d]imidazole Derivatives in the Context of Electroluminescent Applications. Materials 2026, 19, 55. https://doi.org/10.3390/ma19010055
Krawiec A, Filapek M, Kula S. The Influence of the 4-Diethylaminophenyl Substituent on the Physicochemical Properties of Phenanthro[9,10-d]imidazole Derivatives in the Context of Electroluminescent Applications. Materials. 2026; 19(1):55. https://doi.org/10.3390/ma19010055
Chicago/Turabian StyleKrawiec, Agnieszka, Michał Filapek, and Sławomir Kula. 2026. "The Influence of the 4-Diethylaminophenyl Substituent on the Physicochemical Properties of Phenanthro[9,10-d]imidazole Derivatives in the Context of Electroluminescent Applications" Materials 19, no. 1: 55. https://doi.org/10.3390/ma19010055
APA StyleKrawiec, A., Filapek, M., & Kula, S. (2026). The Influence of the 4-Diethylaminophenyl Substituent on the Physicochemical Properties of Phenanthro[9,10-d]imidazole Derivatives in the Context of Electroluminescent Applications. Materials, 19(1), 55. https://doi.org/10.3390/ma19010055

