Effect of Iron Site Substitution on Magneto-Optical Properties of Bi-Substituted Garnets for Magnetic Hologram Memory
Abstract
1. Introduction
2. Materials and Methods Experimental
3. Results and Discussion
3.1. XRD Results
3.2. Lattice Constant
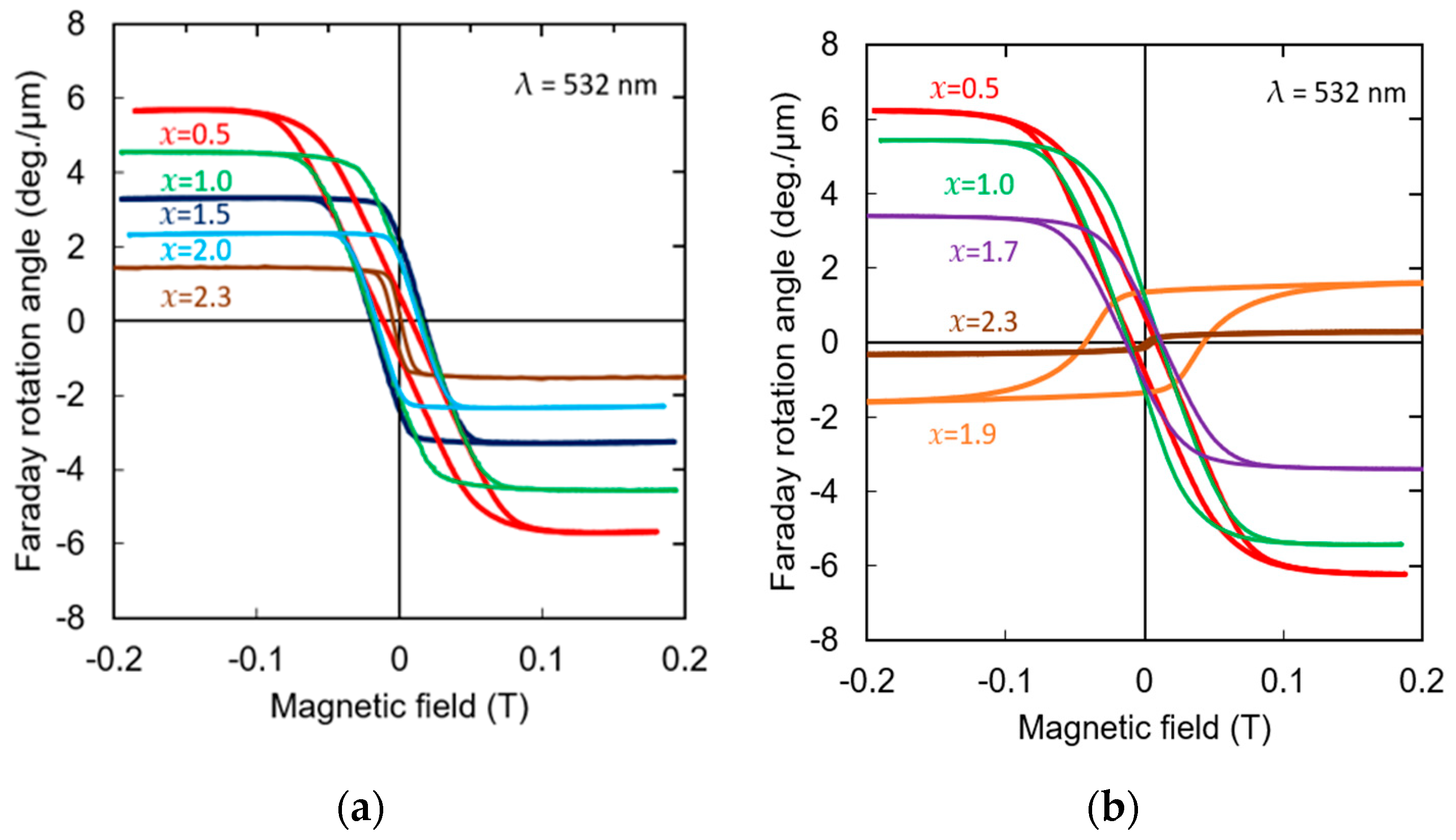
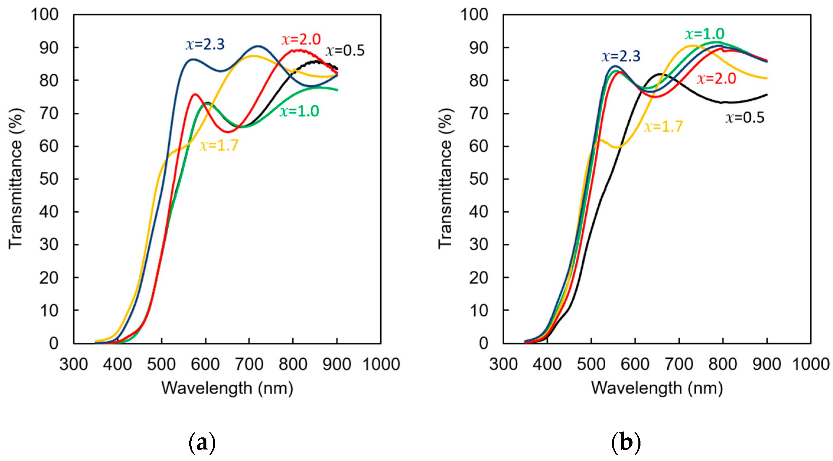
3.3. Magneto-Optical Properties
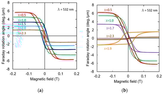
3.4. Transmittance Properties
4. Conclusions
Author Contributions
Funding
Institutional Review Board Statement
Informed Consent Statement
Data Availability Statement
Acknowledgments
Conflicts of Interest
References
- Mikaelliane, A.L.; Bobrinev, V.I. Holographic memory devices. Opto-Electronics 1970, 2, 193–199. [Google Scholar] [CrossRef]
- Rajchman, J.A. An optical read-write mass memory. Appl. Opt. 1970, 9, 2269–2271. [Google Scholar] [CrossRef] [PubMed]
- Sakaguchi, M.; Nishida, N.; Nemoto, T. A new associative memory system utilizing holography. IEEE Trans. Comput. 1970, C-19, 1174–1181. [Google Scholar] [CrossRef]
- Takeda, Y. Hologram memory with high quality and high information storage density –Hologram Memory–. Jpn. J. Appl. Phys. 1972, 11, 656–665. [Google Scholar] [CrossRef]
- D’Auria, L.; Huignard, J.; Spitz, E. Holographic read-write memory and capacity enhancement by 3D storage. IEEE Trans. Magn. 1973, 9, 83–94. [Google Scholar] [CrossRef]
- Nomura, H.; Okoshi, T. Storage density limitation of a volume-type hologram memory: Theory. Appl. Opt. 1976, 15, 550–555. [Google Scholar] [CrossRef]
- Hong, J.H.; McMichael, I.; Chang, T.V.; Christian, Q.; Paek, E.G. Volume holographic memory systems: Techniques and architectures. Opt. Eng. 1995, 34, 2193–2203. [Google Scholar] [CrossRef]
- Rakuljic, G.A.; Leyva, V.; Yariv, A. Optical data storage by using orthogonal wavelength-multiplexed volume holograms. Opt. Lett. 1992, 17, 1471–1473. [Google Scholar] [CrossRef]
- Li, H.-Y.S.; Psaltis, D. Three-dimensional holographic disks. Appl. Opt. 1994, 33, 3764–3774. [Google Scholar] [CrossRef]
- Lin, X.; Liu, J.P.; Hao, J.Y.; Wang, K.; Zhang, Y.Y.; Li, H.; Horimai, H.; Tan, X.D. Collinear holographic data storage technologies. Opto-Electron. Adv. 2020, 3, 190004. [Google Scholar] [CrossRef]
- Pu, A.; Psaltis, D. High-density recording in photopolymer-based holographic three-dimensional disks. Appl. Opt. 1996, 35, 2389–2398. [Google Scholar] [CrossRef] [PubMed]
- Orlov, S.S.; Phillips, W.; Bjornson, E.; Takashima, Y.; Sundaram, P.; Hesselink, L.; Okas, R.; Kwan, D.; Snyder, R. High-transfer-rate high-capacity holographic disk data-storage system. Appl. Opt. 2004, 43, 4902–4914. [Google Scholar] [CrossRef] [PubMed]
- Horimai, H.; Tan, X.; Li, J.; Suzuki, K. Wavelength margin analysis in advanced collinear holography. Jpn. J. Appl. Phys. 2005, 44, 3493. [Google Scholar] [CrossRef]
- Horimai, H.; Tan, X.; Li, J. Collinear holography. Appl. Opt. 2005, 44, 2575–2579. [Google Scholar] [CrossRef]
- Horimai, H.; Tan, X. Advanced collinear holography. Opt. Rev. 2005, 12, 90–92. [Google Scholar] [CrossRef]
- Horimai, H.; Tan, X. Collinear technology for a holographic versatile disk. Appl. Opt. 2006, 45, 910–914. [Google Scholar] [CrossRef]
- Horimai, H.; Tan, X. Holographic information storage system: Today and future. IEEE Trans. Magn. 2007, 43, 943–947. [Google Scholar] [CrossRef]
- Nakamura, Y. Magnetic holography and its application to data storage. Photonics 2021, 8, 187. [Google Scholar] [CrossRef]
- Close, D.H.; Jacobson, A.D.; Margerum, J.D.; Brault, R.G.; McClung, F.J. Holographic recording on photopolymer materials. Appl. Phys. Lett. 1969, 14, 159–160. [Google Scholar] [CrossRef]
- Waldman, D.A.; Li, H.-Y.S.; Cetin, E.A. Holographic recording properties in thick films of ULSH-500 photopolymer. Proc. SPIE 1998, 3291, 89. [Google Scholar] [CrossRef]
- Nakamura, Y.; Takagi, H.; Lim, P.B.; Inoue, M. Magnetic volumetric hologram memory with magnetic garnet. Opt. Express 2014, 22, 16439–16444. [Google Scholar] [CrossRef] [PubMed]
- Nakamura, Y.; Takagi, H.; Lim, P.B.; Inoue, M. Effect of recording condition on the diffraction efficiency of magnetic hologram with magnetic garnet films. J. Appl. Phys. 2014, 116, 103106. [Google Scholar] [CrossRef]
- Isogai, R.; Suzuki, S.; Nakamura, K.; Nakamura, Y.; Takagi, H.; Goto, T.; Lim, P.B.; Inoue, M. Collinear volumetric magnetic holography with magnetophotonic microcavities. Opt. Express 2015, 23, 13153–13158. [Google Scholar] [CrossRef] [PubMed]
- Isogai, R.; Nakamura, Y.; Takagi, H.; Goto, T.; Lim, P.B.; Inoue, M. Thermomagnetic writing into magnetophotonic microcavities controlling thermal diffusion for volumetric magnetic holography. Opt. Express 2016, 24, 522–527. [Google Scholar] [CrossRef]
- Nakamura, Y.; Shirakashi, Z.; Takagi, H.; Lim, P.B.; Goto, T.; Uchida, H.; Inoue, M. Error-free reconstruction of magnetic hologram via improvement of recording conditions in collinear optical system. Opt. Express 2017, 25, 15349–15357. [Google Scholar] [CrossRef]
- Shirakashi, Z.; Goto, T.; Takagi, H.; Nakamura, Y.; Lim, P.B.; Uchida, H.; Inoue, M. Reconstruction of non-error magnetic hologram data by magnetic-assist recording. Sci. Rep. 2017, 7, 12835. [Google Scholar] [CrossRef]
- Nakamura, Y.; Lim, P.B.; Goto, T.; Uchida, H.; Inoue, M. Recording and reconstruction of volumetric magnetic hologram using multilayer medium with heat dissipation layers. Opt. Express 2019, 27, 27573–27579. [Google Scholar] [CrossRef]
- Nakamura, Y.; Lim, P.B.; Goto, T.; Uchida, H.; Inoue, M. Development of heat dissipation multilayer media for volumetric magnetic hologram memory. Appl. Sci. 2019, 9, 1738. [Google Scholar] [CrossRef]
- Nakamura, Y.; Lim, P.B.; Goto, T.; Uchida, H.; Inoue, M. Development of heat dissipation multilayer media for magnetic hologram memory. Electron. Commun. Jpn. 2020, 103, 22–29. [Google Scholar] [CrossRef]
- Mezrich, R.S. Magnetic holography. Appl. Opt. 1970, 9, 2275–2279. [Google Scholar] [CrossRef]
- Mezrich, R.S. Reconstruction effects in magnetic holography. IEEE Trans. Magn. 1970, 6, 537–541. [Google Scholar] [CrossRef]
- Fan, G.; Pennington, K.; Greiner, J.H. Magneto-optic hologram. J. Appl. Phys. 1969, 40, 974–975. [Google Scholar] [CrossRef]
- Shono, K.; Kuroda, S.; Alex, M.; Ogawa, S. Sputtered garnet media for magneto-optic data storage. J. Magn. Magn. Mater. 1990, 88, 205–210. [Google Scholar] [CrossRef]
- Sanchez, R.D.; Rivas, J.; Vaqueiro, P.; Lopez-Quintela, M.A.; Caeiro, D. Particle size effects on magnetic properties of yttrium iron garnets prepared by a sol–gel method. J. Magn. Magn. Mater. 2002, 247, 92–98. [Google Scholar] [CrossRef]
- Kuroda, C.S.; Kim, T.Y.; Hirano, T.; Taniyama, T.; Yamazaki, Y. Effects of the substitution of non-magnetic ions in Bi-YIG coating films on the magneto-optical properties. J. Jpn. Soc. Powder Powder Metall. 2000, 47, 203–207. [Google Scholar] [CrossRef]
- Takeuchi, H.; Ito, S.; Mikami, I.; Taniguchi, S. Faraday rotation and optical absorption of a single crystal of bismuth-substituted gadolinium iron garnet. J. Appl. Phys. 1973, 44, 4789–4790. [Google Scholar] [CrossRef]
- Scott, G.B.; Lacklison, D.E. Magneto-optic properties and applications of bismuth-substituted iron garnets. IEEE Trans. Magn. 1976, 12, 292–311. [Google Scholar] [CrossRef]
- Hansen, P.; Witter, K.; Tolksdorf, W. Magnetic and magneto-optic properties of lead- and bismuth-substituted yttrium iron garnet films. Phys. Rev. B 1983, 27, 6608–6618. [Google Scholar] [CrossRef]
- Ishibashi, T.; Mizusama, A.; Nagai, M.; Shimizu, S.; Sato, K.; Togashi, N.; Mogi, T.; Houchido, M.; Sano, H.; Kuriyama, K. Characterization of epitaxial (Y,Bi)3(Fe,Ga)5O12 thin films grown by metal-organic decomposition method. J. Appl. Phys. 2005, 97, 013516. [Google Scholar] [CrossRef]
- Dongquoc, V.; Kuchi, R.; Van, P.C.; Yoon, S.-G.; Jeong, J.-R. Effects of heating rate on the magneto-optical properties of bismuth-substituted yttrium iron garnet films prepared via modified metal–organic decomposition. Curr. Appl. Phys. 2018, 18, 241–245. [Google Scholar] [CrossRef]
- Lee, H.; Yoon, Y.; Kim, S.; Yoo, H.K.; Melikyan, H.; Danielyan, E.; Babajanyan, A.; Ishibashi, T.; Friedman, B.; Lee, K. Preparation of bismuth-substituted yttrium iron garnet powder and thin film by the metal-organic decomposition method. J. Cryst. Growth 2011, 329, 27–32. [Google Scholar] [CrossRef]
- Gomi, M.; Tanida, T.; Abe, M. RF sputtering of highly Bi-substituted garnet films on glass substrates for magneto-optic memory. J. Appl. Phys. 1985, 57, 3888–3890. [Google Scholar] [CrossRef]
- Robertson, J.M.; Wittekoek, S.; Popma, T.J.; Bongers, P.F. Preparation and optical properties of single crystal thin films of bismuth-substituted iron garnets for magneto-optic applications. Appl. Phys. 1973, 2, 219–228. [Google Scholar] [CrossRef]
- Umezawa, H.; Yokoyama, Y.; Koshizuka, N. Temperature dependence of Faraday rotation in Bi-substituted terbium iron garnet films. J. Appl. Phys. 1988, 63, 3113–3115. [Google Scholar] [CrossRef]
- Ishibashi, T.; Kosaka, T.; Naganuma, M.; Nomura, T. Magneto-optical properties of Bi-substituted yttrium iron garnet films by metal–organic decomposition method. J. Phys. Conf. Ser. 2010, 200, 112002. [Google Scholar] [CrossRef]
- Azadi Motlagh, Z.; Mozaffari, M.; Amighian, J. Preparation of nano-sized Al-substituted yttrium iron garnets by the mechanochemical method and investigation of their magnetic properties. J. Magn. Magn. Mater. 2009, 321, 1980–1984. [Google Scholar] [CrossRef]
- Musa, M.A.; Azis, R.A.S.; Osman, N.H.; Hassan, J.; Zangina, T. Structural and magnetic properties of yttrium iron garnet (YIG) and yttrium aluminum iron garnet (YAlG) nanoferrite via sol–gel synthesis. Results Phys. 2017, 7, 1135–1142. [Google Scholar] [CrossRef]
- Mohaidat, Q.I.; Lataifeh, M.; Hamasha, K.; Mahmood, S.H.; Bsoul, I.; Awawdeh, M. The structural and the magnetic properties of aluminum substituted yttrium iron garnet. Mater. Res. 2018, 21, e20170808. [Google Scholar] [CrossRef]
- Scheffler, D.; Steuer, O.; Zhou, S.; Siegl, L.; Goennenwein, S.T.B.; Lammel, M. Aluminium-substituted yttrium iron garnet thin films with reduced Curie temperature. Phys. Rev. Mater. 2023, 7, 094405. [Google Scholar] [CrossRef]
- Zaini, N.Z.M.; Ibrahim, N.B. The effect of gallium substitution on the microstructure and magnetic properties of yttrium iron garnet. AIP Conf. Proc. 2015, 1678, 040011. [Google Scholar] [CrossRef]
- Hamasha, K.; Mohaidat, Q.I.; Lataifeh, M.; Bsoul, I.; Mahmood, S.H. Structural and magnetic studies of Ga-doped yttrium iron garnet. J. Wuhan Univ. Technol. Mater. Sci. Ed. 2021, 36, 13–21. [Google Scholar] [CrossRef]
- Sasaki, M.; Lou, G.; Liu, Q.; Ninomiya, M.; Kato, T.; Iwata, S.; Ishibashi, T. Nd0.5Bi2.5Fe5−yGayO12 thin films on Gd3Ga5O12 substrates prepared by metal–organic decomposition. Jpn. J. Appl. Phys. 2016, 55, 055501. [Google Scholar] [CrossRef]
- Ramazanov, S.; Sobola, D.; Ţalu, Ş.; Orudzev, F.; Arman, A.; Kaspar, P.; Dallaev, R.; Ramazanov, G. Multiferroic behavior of the functionalized surface of a flexible substrate by deposition of Bi2O3 and Fe2O3. Microsc. Res. Tech. 2022, 85, 1300–1310. [Google Scholar] [CrossRef] [PubMed]
- Geng, W.R.; Tang, Y.L.; Zhu, Y.L.; Wang, Y.J.; Wu, B.; Yang, L.X.; Feng, Y.P.; Zou, M.J.; Shi, T.T.; Cao, Y.; et al. Magneto–Electric–Optical Coupling in Multiferroic BiFeO3-Based Films. Adv. Mater. 2022, 34, 2106396. [Google Scholar] [CrossRef] [PubMed]
- Gilleo, M.A.; Geller, S. Magnetic and crystallographic properties of substituted yttrium-iron garnet, 3Y2O3·xM2O3·(5 − x)Fe2O3. Phys. Rev. 1958, 110, 73–78. [Google Scholar] [CrossRef]
- Bhalekar, A.R.; Singh, L.N. Aluminium-substituted yttrium iron garnet nanoparticles: A review. Int. J. Sci. Eng. Res. 2018, 9, 284–288. [Google Scholar]
- Mee, C.D. Recent measurements of the magneto-optical properties of some garnets. Contemp. Phys. 1967, 8, 385–400. [Google Scholar] [CrossRef]
- Su, T.; Ning, S.; Cho, E.; Ross, C.A. Magnetism and site occupancy in epitaxial Y-rich yttrium iron garnet films. Phys. Rev. Mater. 2021, 5, 094403. [Google Scholar] [CrossRef]
- Anupama, A.V.; Kumar, R.; Choudhary, H.K.; Sahoo, B. Synthesis of coral-shaped yttrium-aluminium-iron garnets by solution-combustion method. Ceram. Int. 2018, 44, 3024–3031. [Google Scholar] [CrossRef]
- Dubs, C.; Surzhenko, O. Magnetically compensated nanometer-thin Ga-substituted yttrium iron garnet (Ga:YIG) films with robust perpendicular magnetic anisotropy. arXiv 2025, arXiv:2504.03377. [Google Scholar] [CrossRef]
- Gilleo, M.A. Ferromagnetic Insulators: Garnets. In Handbook of Ferromagnetic Materials; Wohlfarth, E.P., Ed.; North-Holland Publishing Company: Amsterdam, The Netherlands, 1980; Volume 2, pp. 1–53. [Google Scholar] [CrossRef]
- Vértesy, G. Coercive Properties of Magnetic Garnet Films. Crystals 2023, 13, 946. [Google Scholar] [CrossRef]













| x (Al/Ga) | TC for (Bi,Al)/YIG) [K] | z/x for (Bi,Al)/YIG | TC for (Bi,Ga)/YIG) [K] | z/x for (Bi,Ga)/YIG |
|---|---|---|---|---|
| 0 | 591 | 0 | 591 | 0 |
| 0.5 | 540.7 | 0.801 | 540.6 | 0.799 |
| 1.0 | 474.5 | 0.617 | 497.6 | – |
| 1.5 | 424.4 | 0.690 | 429.6 | 0.767 |
| 405.5 | 0.550 | 468.7 | – | |
| 1.7 | 454.4 | – | 502.9 | – |
| 402.4 | 0.699 | 433.2 | – | |
| 1.9 | 407.8 | – | 332.2 | 0.470 |
| 403.3 | – | 389.2 | – | |
| 375.5 | 0.659 | |||
| 2.0 | 392.5 | – | 350.9 | 0.582 |
| 395.6 | – | |||
| 2.1 | 406.6 | – | 328.5 | 0.543 |
| 2.3 | 400.7 | – | 335.0 | – |
| 399.1 | – |
Disclaimer/Publisher’s Note: The statements, opinions and data contained in all publications are solely those of the individual author(s) and contributor(s) and not of MDPI and/or the editor(s). MDPI and/or the editor(s) disclaim responsibility for any injury to people or property resulting from any ideas, methods, instructions or products referred to in the content. |
© 2026 by the authors. Licensee MDPI, Basel, Switzerland. This article is an open access article distributed under the terms and conditions of the Creative Commons Attribution (CC BY) license.
Share and Cite
Chauhan, S.B.S.; Nakamura, Y.; Mito, S.; Boey, L.P. Effect of Iron Site Substitution on Magneto-Optical Properties of Bi-Substituted Garnets for Magnetic Hologram Memory. Materials 2026, 19, 151. https://doi.org/10.3390/ma19010151
Chauhan SBS, Nakamura Y, Mito S, Boey LP. Effect of Iron Site Substitution on Magneto-Optical Properties of Bi-Substituted Garnets for Magnetic Hologram Memory. Materials. 2026; 19(1):151. https://doi.org/10.3390/ma19010151
Chicago/Turabian StyleChauhan, Sumiko Bharti Singh, Yuichi Nakamura, Shinichiro Mito, and Lim Pang Boey. 2026. "Effect of Iron Site Substitution on Magneto-Optical Properties of Bi-Substituted Garnets for Magnetic Hologram Memory" Materials 19, no. 1: 151. https://doi.org/10.3390/ma19010151
APA StyleChauhan, S. B. S., Nakamura, Y., Mito, S., & Boey, L. P. (2026). Effect of Iron Site Substitution on Magneto-Optical Properties of Bi-Substituted Garnets for Magnetic Hologram Memory. Materials, 19(1), 151. https://doi.org/10.3390/ma19010151
