Structural, Magnetic, and Magnetocaloric Properties of Ce2(Fe, Co)17 Compounds: Tuning Magnetic Transitions and Enhancing Refrigeration Efficiency
Abstract
1. Introduction
2. Experimental Methods
3. Results and Discussions
3.1. Structural Properties
3.1.1. Crystal Structure
3.1.2. Rietveld Refinement
3.2. Magnetic Properties
3.2.1. Thermomagnetic Properties
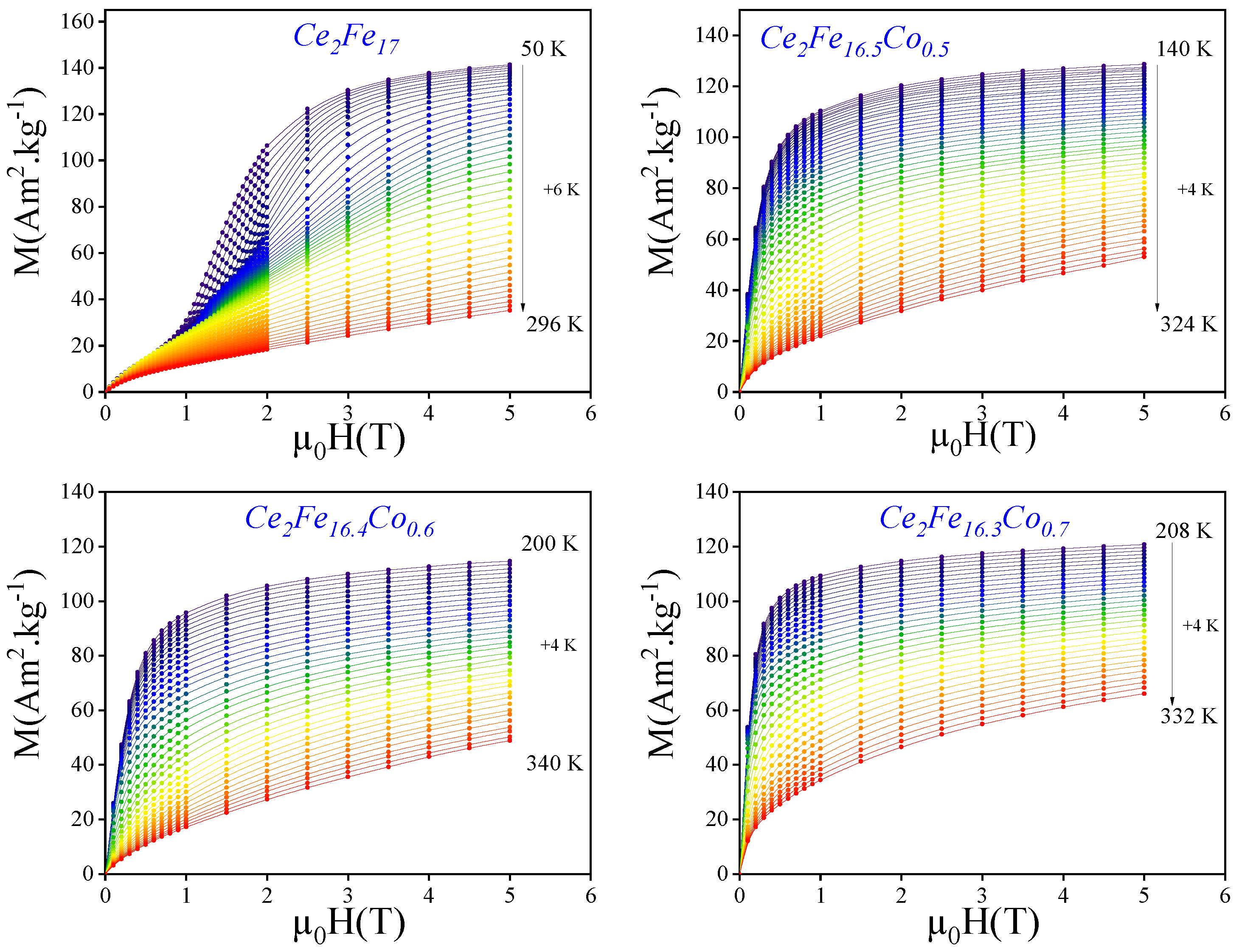
3.2.2. Isothermal Magnetization Curves and Phase Transition
3.2.3. Magnetocaloric Effect
4. Conclusions
Author Contributions
Funding
Institutional Review Board Statement
Informed Consent Statement
Data Availability Statement
Conflicts of Interest
References
- Pecharsky, V.K.; Gschneidner, K.A. Giant magnetocaloric effect in Gd5(Si2Ge2). Phys. Rev. Lett. 1997, 78, 4494. [Google Scholar] [CrossRef]
- Pecharsky, V.K.; Gschneidner, K.A. Effect of alloying on the giant magnetocaloric effect of Gd5(Si2Ge2). J. Magn. Magn. Mater. 1997, 167, L179–L184. [Google Scholar] [CrossRef]
- Gschneidner, K.A.; Pecharsky, V.K.; Brück, E.; Duijin, H.G.M.; Levin, E.M. Comment on “Direct Measurement of the ‘Giant’ Adiabatic Temperature Change in Gd5Si2Ge2”. Phys. Rev. Lett. 2000, 85, 4190. [Google Scholar] [CrossRef]
- Tang, H.; Pecharsky, V.K.; Samolyuk, G.D.; Zou, M.; Gschneidner, K.A.; Antropov, V.P.; Schlagel, D.L.; Lograsso, T.A. Anisotropy of the Magnetoresistance in Gd5Si2Ge2. Phys. Rev. Lett. 2004, 93, 237203. [Google Scholar] [CrossRef]
- Fujieda, S.; Fujita, A.; Fukamichi, K. Large magnetocaloric effect in La(FexSi1−x)13 itinerant-electron metamagnetic compounds. Appl. Phys. Lett. 2002, 81, 1276–1278. [Google Scholar]
- Fujita, A.; Fujieda, S.; Fukamichi, K. Relative cooling power of La(FexSi1−x)13 after controlling the Curie temperature by hydrogenation and partial substitution of Ce. J. Magn. Magn. Mater. 2007, 310, e1006–e1007. [Google Scholar] [CrossRef]
- Fujita, A.; Fujieda, S.; Fukamichi, K. Influence of hydrogenation on the electronic structure and the itinerant-electron metamagnetic transition in strong magnetocaloric compound La(Fe0.88Si0.12)13. J. Magn. Magn. Mater. 2009, 321, 3553–3558. [Google Scholar] [CrossRef]
- Phejar, M.; Paul-Boncour, V.; Bessais, L. Structural and magnetic properties of magnetocaloric LaFe13−xSix compounds synthesized by high energy ball-milling. Intermetallics 2010, 18, 2301–2307. [Google Scholar] [CrossRef]
- Boutahar, A.; Phejar, M.; Paul-Boncour, V.; Bessais, L.; Lassri, H. Theoretical Work in Magnetocaloric Effect of LaFe13−xSix Compounds. J. Supercond. Nov. Magn. 2014, 27, 1795–1800. [Google Scholar] [CrossRef]
- Phejar, M.; Paul-Boncour, V.; Bessais, L. Investigation on structural and magnetocaloric properties of LaFe13−xSix(H,C)y compounds. J. Solid State Chem. 2016, 223, 95–102. [Google Scholar] [CrossRef]
- Tegus, O.; Fuquan, B.; Dagula, W.; Zhang, L.; Brück, E.; Si, P.Z.; de Boer, F.R.; Buschow, K.H.J. Magnetic-entropy change in Mn1.1Fe0.9P0.7As0.3–xGex. J. Alloys Compd. 2005, 396, 6–9. [Google Scholar] [CrossRef]
- Bartok, A.; Kustov, M.; Cohen, L.F.; Pasko, A.; Zehani, K.; Bessais, L.; Mazaleyrat, F.; LoBue, M. Study of the first paramagnetic to ferromagnetic transition in as prepared samples of Mn–Fe–P–Si magnetocaloric compounds prepared by different synthesis routes. J. Magn. Magn. Mater. 2016, 400, 333–338. [Google Scholar] [CrossRef]
- Bartok, A.; Kuepferling, M.; Curcio, C.; Basso, V.; Pasko, A.; Zehani, K.; Bessais, L.; Mazaleyrat, F.; Lobue, M. Influence of particle size on the magnetocaloric properties of Mn1.30Fe0.65P0.5Si0.5 powders. In Proceedings of the 7th International Conference on Magnetic Refrigeration at Room Temperature (Thermag VII), Turin, Italy, 11–14 September 2016; Book Series: Refrigeration Science and Technology. pp. 119–122. [Google Scholar]
- Pasko, A.; Bartok, A.; Zehani, K.; Bessais, L.; Mazaleyrat, F.; LoBue, M. X-ray diffraction analysis of the magnetoelastic phase transition in the Mn-Fe-P-Si magnetocaloric alloy. AIP Adv. 2016, 6, 056204. [Google Scholar] [CrossRef]
- Dinesen, A.R.; Linderoth, S.; Morup, S. Direct and indirect measurement of the magnetocaloric effect in La0.67Ca0.33−xSrxMnO3±δ(x∈[0:0.33]). J. Phys. Condens. Matter 2005, 17, 6257. [Google Scholar] [CrossRef]
- Zhong, W.; Au, C.-T.; Du, Y.-W. Review of magnetocaloric effect in perovskite-type oxides. Chin. Phys. B 2013, 22, 057501. [Google Scholar]
- Felhi, H.; Smari, M.; Bojorek, A.; Nouri, K.; Dhahri, E.; Bessais, L. Controllable synthesis, XPS investigation and magnetic property of multiferroic BiMn2O5 system: The role of neodyme doping. Prog. Nat. Sci. 2019, 29, 198–209. [Google Scholar] [CrossRef]
- Ameur, N.; Elleuch, F.; Triki, M.; Dhahri, E.; Bessais, L.; Hlil, E.K. Effect of A-site deficiency on the structural and magnetic properties of La0.8−x□xNa0.2−x□xMnO3 oxides and estimation of the magnetocaloric behavior. Solid State Comm. 2019, 289, 30–37. [Google Scholar] [CrossRef]
- Atanasov, R.; Hirian, R.; Bortnic, R.; Souca, G.; Szatmari, A.; Barbu-Tudoran, L.; Deac, I.G. Near-room-temperature magnetic properties and magnetocaloric effect of polycrystalline and nano-scale manganites Pr(0.65−x)NdxSr0.35MnO3 (x ≤ 0.35). J. Alloys Compd. 2024, 1004, 175932. [Google Scholar] [CrossRef]
- Kumar, G.J.; Guo, Z.; Gu, L.; Feng, J.; Kamala Bharathi, K.; Wang, K. Broad table-like magnetocaloric effect in GdFeCo thin-films for room temperature Ericsson-cycle magnetic refrigeration. J. Appl. Phys. 2024, 135, 123904. [Google Scholar] [CrossRef]
- Arejdal, M. Magnetocaloric effect and critical exponents at near room temperature of CrTe. Solid State Commun. 2024, 390, 115612. [Google Scholar] [CrossRef]
- Uporov, S.; Sterkhov, E. Magnetocaloric effect in Gd-Sc solid solutions. Solid State Commun. 2024, 380, 115444. [Google Scholar] [CrossRef]
- Luo, L.; Shen, H.; Zhang, L.; Huang, Y.; Sun, J.; Phan, M.H. Giant magnetocaloric effect and hysteresis loss in MnxFe2−xP0.5Si0.5 (0.7 ≤ x ≤ 1.2) microwires at ambient temperatures. J. Sci. Adv. Mater. Devices 2024, 9, 100756. [Google Scholar] [CrossRef]
- Nehan, P.; Vitayaya, O.; Munazat, D.; Manawan, M.; Darminto, D.; Kurniawan, B. The magnetocaloric effect properties for potential applications of magnetic refrigerator technology: A review. Phys. Chem. Chem. Phys. 2024, 26, 14476–14504. [Google Scholar] [CrossRef] [PubMed]
- Ayaş, A.O.; Çetin, S.K.; Akça, G.; Akyol, M.; Ekicibil, A. Magnetic refrigeration: Current progress in magnetocaloric properties of perovskite manganite materials. Mater. Today Commun. 2023, 35, 105988. [Google Scholar] [CrossRef]
- Datta, S.; Dan, S.; Gupta, S.; Chakraborty, S.; Mazumdar, C. Multifunctional properties of Cr-substituted ferromagnetic Nd2Fe17. Intermetallics 2021, 137, 107297. [Google Scholar] [CrossRef]
- Cengiz, N.; Pektas, M.; Kolat, V.; Izgi, T.; Gencer, H.; Bayri, N.; Atalay, S. Magnetic and Magnetocaloric Properties of Pr2Fe17−xCux Intermetallic Compounds. J. Magn. 2021, 26, 332–340. [Google Scholar] [CrossRef]
- Jaballah, H.; Bouzidi, W.; Fersi, R.; Mliki, N.; Bessais, L. Structural, magnetic and magnetocaloric properties of (Pr,Sm)2Fe17 compound at room temperature. J. Phys. Chem 2021, 161, 110438. [Google Scholar] [CrossRef]
- Louhichi, S.; Jaballah, H.; Bessais, L.; Jemmali, M. Crystal structure change in magnetocaloric compounds (Er,Nd)2Fe17. Inorg. Chem. Commun. 2023, 160, 111915. [Google Scholar] [CrossRef]
- Saidi, M.; Jaballah, H.; Bessais, L.; Jemmali, M. Structural, magnetic and magnetocaloric properties of the Gd2Fe17−xCrx (x = 0, 0.5, 1 and 1.5) compounds. J. Phys. Chem. Solids. 2023, 183, 111534. [Google Scholar] [CrossRef]
- Horcheni, J.; Nouri, K.; Dhahri, E.; Bessais, L. Crystal structure, critical phenomena and magnetocaloric properties of Ni-substituted ferromagnetic Pr2Fe17 intermetallic compound around room temperature. J. Solid State Chem. 2023, 326, 124219. [Google Scholar] [CrossRef]
- Álvarez, J.; Álvarez-Alonso, P.; Sánchez-Valdés, C.; Blanco, J.; Gorria, P.; Llamazares, J.S. Exploring the magnetic and magnetocaloric behavior of nanocrystalline melt-spun R2Fe17 (R = Pr, Nd) ribbons. J. Alloys Compd. 2024, 979, 173575. [Google Scholar] [CrossRef]
- Fan, J.H.; Omura, A.; Roca, E. Geopolitics and rare earth metals. Eur. J. Political Econ. 2023, 78, 102356. [Google Scholar] [CrossRef]
- Rietveld, H. A profile refinement method for nuclear and magnetic structures. J. Appl. Crystallogr. 1969, 2, 65–71. [Google Scholar] [CrossRef]
- Rodríguez-Carvajal, J. Recent advances in magnetic structure determination by neutron powder diffraction. Phys. B 1993, 192, 55–69. [Google Scholar] [CrossRef]
- Givord, D.; Lemaire, R. Magnetic transition and anomalous thermal expansion in R2Fe17 compounds. IEEE Trans. Magn. 1974, 10, 109–113. [Google Scholar] [CrossRef]
- Plumier, R.; Sougi, M. Neutron diffraction study of helimagnet Ce2Fe17. In Proceedings of the International Conference on Magnetism, Moscow, Russia, 22–28 August 1973; p. 487. [Google Scholar]
- Janssen, Y.; Chang, S.; Kreyssig, A.; Kracher, A.; Mozharivskyj, Y.; Misra, S.; Canfield, P. Magnetic phase diagram of Ce2Fe17. Phys. Rev. B 2007, 76, 054420. [Google Scholar] [CrossRef]
- Janssen, Y.; Fujii, H.; Ekino, T.; Izawa, K.; Suzuki, T.; Fujita, T.; de Boer, F. Giant magnetoresistance in Ce2Fe17. Phys. Rev. B 1997, 56, 13716. [Google Scholar] [CrossRef]
- Banerjee, B.K. On a generalised approach to first and second order magnetic transitions. Phys. Lett. 1964, 12, 16–17. [Google Scholar] [CrossRef]
- Zhong, W.; Chen, W.; Ding, W.P.; Zhang, N.; Hu, A.; Du, Y.W.; Yan, Q.J. Structure, composition and magnetocaloric properties in polycrystalline La1−xAxMnO3+δ (A = Na, K). J. Eur. Phys. B 1998, 3, 169–174. [Google Scholar] [CrossRef]
- Horcheni, J.; Jaballah, H.; Dhahri, E.; Bessais, L. Exploring Crystal Structure, Hyperfine Parameters, and Magnetocaloric Effect in Iron-Rich Intermetallic Alloy with ThMn12-Type Structure: A Comprehensive Investigation Using Experimental and DFT Calculation. Magnetochemistry 2023, 9, 230. [Google Scholar] [CrossRef]
- Pecharsky, V.K.; Gschneidner, K.A. Magnetocaloric effect from indirect measurements: Magnetization and heat capacity. J. Appl. Phys. 1999, 86, 565–575. [Google Scholar] [CrossRef]
- Gharbi, S.; Marouani, Y.; Issaoui, F.; Dhahri, E.; Hlil, E.K.; Barille, R.; Costa, B.F.O. Assessment of structural, optical, magnetic, magnetocaloric properties and critical phenomena of La0.57Nd0.1Sr0.18Ag0.15MnO3 system at room temperature. J. Mater. Sci. Mater. Electron. 2020, 31, 11983–11996. [Google Scholar] [CrossRef]
- Alvarez, P.; Sánchez-Marcos, J.; Sanchez Llamazares, J.; Franco, V.; Reiffers, M.; Blanco, J.; Gorria, P. Magnetocaloric Effect in Nanostructured Pr2Fe17 and Nd2Fe17 Synthesized by High-Energy Ball-Milling. Acta Phys. Pol. 2010, 118, 867–869. [Google Scholar] [CrossRef]
- Gao, Z.; Li, L.; Ge, Y.; Zhu, S.; Lan, H.; Chen, B.; Pan, B. Electronic structures and related properties of Ce2Fe17-based magnetocaloric material upon Nd/Si substitution. J. Alloys Compd. 2022, 900, 163418. [Google Scholar] [CrossRef]
- Llamazares, J.S.; Álvarez-Alonso, P.; Sánchez-Valdés, C.; Ibarra-Gaytán, P.; Blanco, J.; Gorria, P. Investigating the magnetic entropy change in single-phase Y2Fe17 melt-spun ribbons. Curr. Appl. Phys. 2016, 16, 963–968. [Google Scholar] [CrossRef]
- Saidi, M.; Nouri, K.; Walha, S.; Dhahri, E.; Kabadou, A.; Jemmali, M.; Bessais, L. Structural, Magnetic, Magnetocaloric and Mössbauer Spectrometry Study of Gd2Fe17−xCux (x = 0, 0.5, 1 and 1.5) Compounds. J. Electron. Mater. 2019, 48, 2242–2253. [Google Scholar] [CrossRef]







| a (Å) | 8.4938(1) | 8.4931(1) | 8.4956(1) | 8.4965(1) |
| c (Å) | 12.4178(1) | 12.4255(1) | 12.4321(1) | 12.4390(1) |
| ratio | 1.4619 | 1.4626 | 1.4633 | 1.4640 |
| V () | 775.8 | 776.2 | 777.1 | 778.0 |
| 2.19 | 2.37 | 1.77 | 1.69 | |
| 5.72 | 6.88 | 5.46 | 5.39 | |
| Atomic Coordinates | ||||
| x (Fe, 18f site) | 0.2907(3) | 0.2908(2) | 0.2917(2) | 0.2920(2) |
| x (Fe/Co, 18h site) | 0.497(1) | 0.477(2) | 0.5028(2) | 0.5050(2) |
| z (Ce, 6c site) | 0.344(1) | 0.344(1) | 0.3439(2) | 0.3439(2) |
| x (Fe, 6c site) | 0.0956(3) | 0.0958(1) | 0.092(2) | 0.0915(2) |
| z (Fe/Co, 18h site) | 0.1549(2) | 0.155(1) | 0.166(2) | 0.172(2) |
| Sample | RCP | Ref | ||||
|---|---|---|---|---|---|---|
| (T) | (K) | J/(kg·K) | (K) | (J/kg) | ||
| 2 | 120;200 | 0.25;0.4 | 40;80 | 10;32 | This work | |
| 5 | 2;2.1 | >200 | >400 | |||
| 2 | 255 | 1.7 | 110 | 187 | - | |
| 5 | 262 | 3.7 | 144 | 533 | - | |
| 2 | 267 | 1.6 | 90 | 144 | - | |
| 5 | 280 | 3.5 | 137 | 480 | - | |
| 2 | 285 | 1.6 | 88 | 140 | - | |
| 5 | 290 | 3.5 | 120 | 420 | - | |
| 1.5 | 339 | 1.7 | 50 | 105 | [45] | |
| 3 | 300 | 3.24 | 78 | 247 | [28] | |
| 5 | 273 | 4.1 | 90.5 | 371 | [46] | |
| 5 | 297 | 3.7 | 94.5 | 350 | [46] | |
| 5 | 300 | 6.2 | 82 | 508 | [31] | |
| 5 | 303 | 4.6 | 103 | 478 | [47] | |
| 5 | 290 | 3.5 | 67 | 234.5 | [29] | |
| 1.5 | 475 | 1.2 | 15 | 18 | [48] | |
| Gd | 2 | 293 | 4.8 | 44 | 213 | [1] |
Disclaimer/Publisher’s Note: The statements, opinions and data contained in all publications are solely those of the individual author(s) and contributor(s) and not of MDPI and/or the editor(s). MDPI and/or the editor(s) disclaim responsibility for any injury to people or property resulting from any ideas, methods, instructions or products referred to in the content. |
© 2025 by the authors. Licensee MDPI, Basel, Switzerland. This article is an open access article distributed under the terms and conditions of the Creative Commons Attribution (CC BY) license (https://creativecommons.org/licenses/by/4.0/).
Share and Cite
Jaballah, H.; Horcheni, J.; Moscovici, J.; Ayadim, A.; Bessais, L. Structural, Magnetic, and Magnetocaloric Properties of Ce2(Fe, Co)17 Compounds: Tuning Magnetic Transitions and Enhancing Refrigeration Efficiency. Materials 2025, 18, 1958. https://doi.org/10.3390/ma18091958
Jaballah H, Horcheni J, Moscovici J, Ayadim A, Bessais L. Structural, Magnetic, and Magnetocaloric Properties of Ce2(Fe, Co)17 Compounds: Tuning Magnetic Transitions and Enhancing Refrigeration Efficiency. Materials. 2025; 18(9):1958. https://doi.org/10.3390/ma18091958
Chicago/Turabian StyleJaballah, Hamdi, Jihed Horcheni, Jacques Moscovici, Abderrahime Ayadim, and Lotfi Bessais. 2025. "Structural, Magnetic, and Magnetocaloric Properties of Ce2(Fe, Co)17 Compounds: Tuning Magnetic Transitions and Enhancing Refrigeration Efficiency" Materials 18, no. 9: 1958. https://doi.org/10.3390/ma18091958
APA StyleJaballah, H., Horcheni, J., Moscovici, J., Ayadim, A., & Bessais, L. (2025). Structural, Magnetic, and Magnetocaloric Properties of Ce2(Fe, Co)17 Compounds: Tuning Magnetic Transitions and Enhancing Refrigeration Efficiency. Materials, 18(9), 1958. https://doi.org/10.3390/ma18091958

