Study on the Performance Enhancement of Recycled Fine Aggregate Through Carbonation with Calcium Source Supplied by Industrial Waste Residue
Abstract
1. Introduction
2. Materials and Methods
2.1. Raw Material
2.2. Experimental Process
2.3. Test Method
2.3.1. Mineral Facies Composition
2.3.2. Micro-Morphology and Element Composition
2.3.3. Quantitative Characterization of Carbon Sequestration
2.3.4. Pore Size Analysis
2.3.5. Saturated Water Absorption
2.3.6. Apparent Density
3. Results and Discussion
3.1. Macroscopic Performance
3.2. Microscopic Characterization
3.2.1. XRD, FTIR
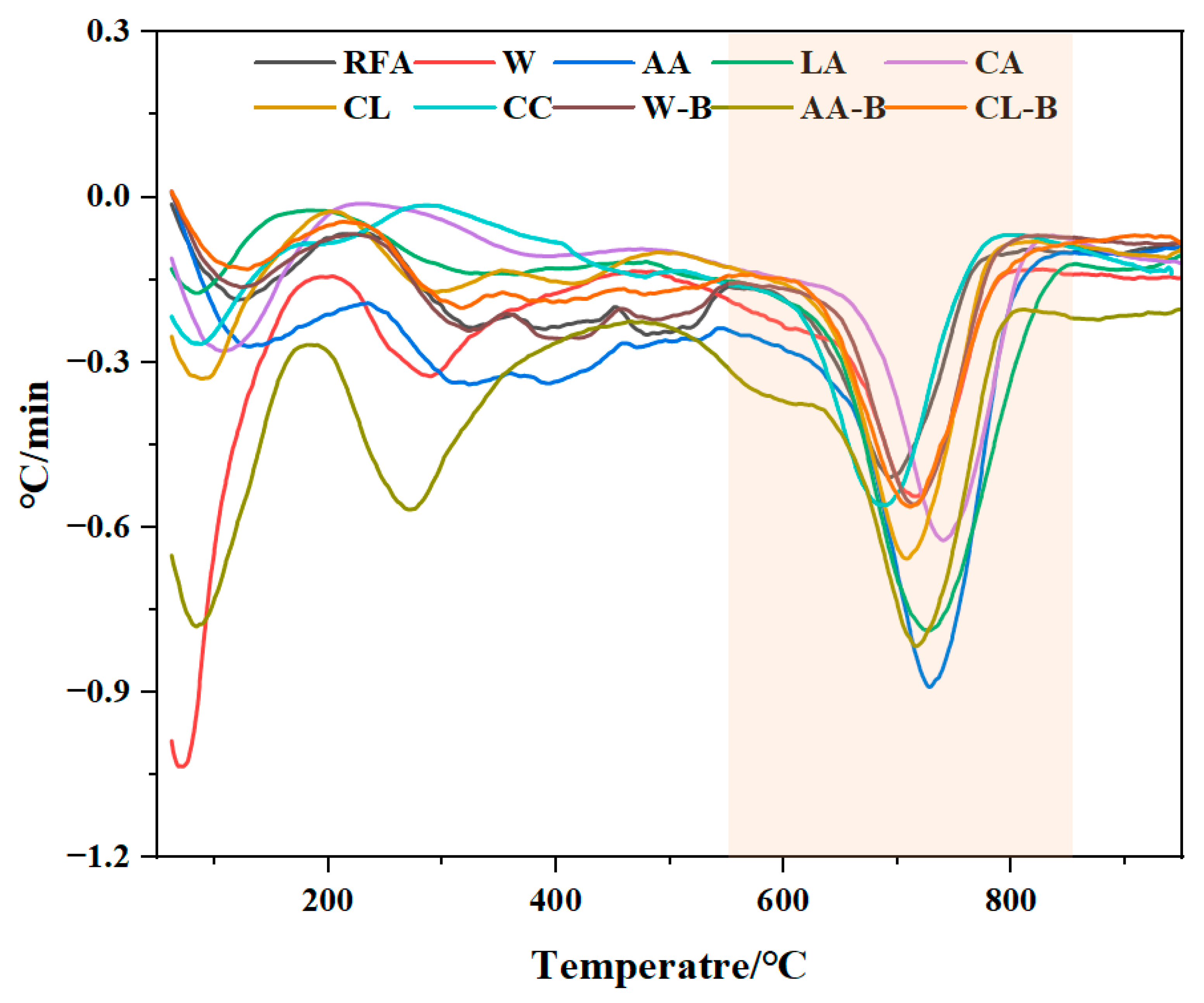
3.2.2. TG
3.2.3. SEM-EDS
3.2.4. BET
3.3. Mechanism Analysis
4. Conclusions
- (1)
- Calcium-rich leachate was obtained by immersing alkali residues in 0.3 mol/L acetic acid at a solid-to-liquid ratio of 1:6. This leachate was then used to soak the recycled fine aggregate (RFA) at a solid-to-liquid ratio of 1:2 before undergoing carbonation in a controlled chamber. Under these conditions, the carbonation effect was optimal, reducing the saturated water absorption to 16% and increasing the apparent density to 2505 kg/m3.
- (2)
- Comparing six modification methods—W, AA, LA, CA, CL, and CC—Bacillus spores selected by our research group were introduced into the W, AA, and CL treatments. Among them, the AA-B carbonation modification exhibited the most significant improvement, lowering the saturated water absorption to 14.6% and increasing the apparent density to 2610 kg/m3. The carbon sequestration capacity was enhanced by 109.04%. These findings indicate that the AA-B carbonation treatment, which combines acetic acid with Bacillus spores, yielded the best macroscopic performance in modifying RFA.
- (3)
- Through XRD image and FTIR image analysis, the changes in regenerated fine aggregate after carbonization modification can be seen from the perspective of microscopic products. The carbonization process produces a small amount of aragonite. Magnesium calcite (MgCa(CO3)2) was also found in the XRD images due to the use of alkali residue in the experiment, which contains a small amount of MgO.
- (4)
- The microstructural characterization also confirmed the superior performance of AA-B. TG revealed that the carbon sequestration capacity of AA-treated RFA increased by 45.48% compared to untreated RFA, while AA-B treatment further enhanced the carbon sequestration by 64.17%. BET analysis showed that the cumulative pore volume of AA-treated RFA was 2.94 × 10−2 cm3/g, with pores smaller than 50 nm accounting for 77.8% of the total pore volume. In contrast, AA-B-treated RFA exhibited a slightly lower cumulative pore volume of 2.89 × 10−2 cm3/g, but the proportion of pores smaller than 50 nm increased to 79.2%. This indicates that incorporating Bacillus spores into the carbonation modification process enhances the overall effectiveness of the treatment.
Author Contributions
Funding
Institutional Review Board Statement
Informed Consent Statement
Data Availability Statement
Conflicts of Interest
References
- Wang, C.-Q.; Cheng, L.-X.; Ying, Y.; Yang, F.-H. Utilization of all components of waste concrete: Recycled aggregate strengthening, recycled fine powder activity, composite recycled concrete and life cycle assessment. J. Build. Eng. 2024, 82, 108255. [Google Scholar]
- Chen, L.; Yang, M.; Chen, Z.; Xie, Z.; Huang, L.; Osman, A.I.; Farghali, M.; Sandanayake, M.; Liu, E.; Ahn, Y.H.; et al. Conversion of waste into sustainable construction materials: A review of recent developments and prospects. Mater. Today Sustain. 2024, 27, 100930. [Google Scholar]
- de Andrade Salgado, F.; de Andrade Silva, F. Recycled aggregates from construction and demolition waste towards an application on structural concrete: A review. J. Build. Eng. 2022, 52, 104452. [Google Scholar]
- Chinnu, S.; Minnu, S.; Bahurudeen, A.; Senthilkumar, R. Recycling of industrial and agricultural wastes as alternative coarse aggregates: A step towards cleaner production of concrete. Constr. Build. Mater. 2021, 287, 123056. [Google Scholar]
- Nedeljković, M.; Visser, J.; Šavija, B.; Valcke, S.; Schlangen, E. Use of fine recycled concrete aggregates in concrete: A critical review. J. Build. Eng. 2021, 38, 102196. [Google Scholar]
- Wang, B.; Yan, L.; Fu, Q.; Kasal, B. A comprehensive review on recycled aggregate and recycled aggregate concrete. Resour. Conserv. Recycl. 2021, 171, 105565. [Google Scholar]
- Berredjem, L.; Arabi, N.; Molez, L. Mechanical and durability properties of concrete based on recycled coarse and fine aggregates produced from demolished concrete. Constr. Build. Mater. 2020, 246, 118421. [Google Scholar]
- Xie, J.; Zhang, H.; Duan, L.; Yang, Y.; Yan, J.; Shan, D.; Liu, X.; Pang, J.; Chen, Y.; Li, X.; et al. Effect of nano metakaolin on compressive strength of recycled concrete. Constr. Build. Mater. 2020, 256, 119393. [Google Scholar]
- Tam, V.W.; Wattage, H.; Le, K.N.; Buteraa, A.; Soomro, M. Methods to improve microstructural properties of recycled concrete aggregate: A critical review. Constr. Build. Mater. 2021, 270, 121490. [Google Scholar]
- Kobayashi, S.; Kawano, H. Properties and usage of recycled aggregate concrete. In Demolition Reuse Conc Mason V2; CRC Press: Boca Raton, FL, USA, 2023; pp. 547–556. [Google Scholar]
- Le, H.B.; Bui, Q.B. Recycled aggregate concretes—A state-of-the-art from the microstructure to the structural performance. Constr. Build. Mater. 2020, 257, 119522. [Google Scholar]
- Zhang, T.; Cui, J.; Chen, M.; Yang, J.; Yan, Z.; Zhang, M. Durability of concrete containing carbonated recycled aggregates: A comprehensive review. Cem. Concr. Compos. 2024, 156, 105865. [Google Scholar] [CrossRef]
- Nwakaire, C.M.; Yap, S.P.; Onn, C.C.; Yuen, C.W.; Ibrahim, H.A. Utilisation of recycled concrete aggregates for sustainable highway pavement applications; a review. Constr. Build. Mater. 2020, 235, 117444. [Google Scholar]
- Ho, H.-J.; Iizuka, A.; Shibata, E. Chemical recycling and use of various types of concrete waste: A review. J. Clean. Prod. 2021, 284, 124785. [Google Scholar]
- Malazdrewicz, S.; Ostrowski, K.A.; Sadowski, Ł. Self-compacting concrete with recycled coarse aggregates from concrete construction and demolition waste–Current state-of-the art and perspectives. Constr. Build. Mater. 2023, 370, 130702. [Google Scholar]
- Li, L.; Liu, Q.; Huang, T.; Peng, W. Mineralization and utilization of CO2 in construction and demolition wastes recycling for building materials: A systematic review of recycled concrete aggregate and recycled hardened cement powder. Sep. Purif. Technol. 2022, 298, 121512. [Google Scholar] [CrossRef]
- Guo, H.; Shi, C.; Guan, X.; Zhu, J.; Ding, Y.; Ling, T.C.; Zhang, H.; Wang, Y. Durability of recycled aggregate concrete—A review. Cem. Concr. Compos. 2018, 89, 251–259. [Google Scholar]
- Al-Bayati, H.K.A.; Tighe, S.L.; Al-Bayati, H.K.A. Utilizing a different technique for improving micro and macro characteristics of coarse recycled concrete aggregate. In Proceedings of the 2016 Transportation Association of Canada’s (TAC) Conference & Exhibition; Transportation Association of Canada: Toronto, ON, Canada, 2016. [Google Scholar]
- Panghal, H.; Kumar, A. Enhancing concrete performance: Surface modification of recycled coarse aggregates for sustainable construction. Constr. Build. Mater. 2024, 411, 134432. [Google Scholar]
- Pan, Z.; Wang, S.; Liu, Y.; Li, B.; Jia, Z.; Zhang, Y.; Wang, J. The hydration, pore structure and strength of cement-based material prepared with waste soaking solution from acetic acid treatment of regenerated aggregates. J. Clean. Prod. 2019, 235, 866–874. [Google Scholar]
- Feng, C.; Cui, B.; Huang, Y.; Guo, H.; Zhang, W.; Zhu, J. Enhancement technologies of recycled aggregate–Enhancement mechanism, influencing factors, improvement effects, technical difficulties, life cycle assessment. Constr. Build. Mater. 2022, 317, 126168. [Google Scholar]
- Alqarni, A.S.; Abbas, H.; Al-Shwikh, K.M.; Al-Salloum, Y.A. Treatment of recycled concrete aggregate to enhance concrete performance. Constr. Build. Mater. 2021, 307, 124960. [Google Scholar] [CrossRef]
- Shaban, W.M.; Elbaz, K.; Yang, J.; Thomas, B.S.; Shen, X.; Li, L.; Du, Y.; Xie, J.; Li, L. Effect of pozzolan slurries on recycled aggregate concrete Mechanical and durability performance. Constr. Build. Mater. 2021, 276, 121940. [Google Scholar] [CrossRef]
- Wang, X.; Du, G.; Cai, L.; Ren, J.; Wang, W. Effect of crystallizer treatment on chloride diffusion and microstructure of recycled aggregate concrete. Constr. Build. Mater. 2022, 321, 126273. [Google Scholar] [CrossRef]
- Wang, X.; Yang, X.; Ren, J.; Han, N.; Xing, F. A novel treatment method for recycled aggregate and the mechanical properties of recycled aggregate concrete. J. Mater. Res. Technol. 2021, 10, 1389–1401. [Google Scholar] [CrossRef]
- Spaeth, V.; Tegguer, A.D. Improvement of recycled concrete aggregate properties by polymer treatments. Int. J. Sustain. Built Environ. 2013, 2, 143–152. [Google Scholar] [CrossRef]
- Zhan, B.J.; Xuan, D.X.; Poon, C.S.; Scrivener, K.L. Characterization of interfacial transition zone in concrete prepared with carbonated modeled recycled concrete aggregates. Cem. Concr. Compos. 2020, 136, 106175. [Google Scholar] [CrossRef]
- Li, L.; Xuan, D.; Sojobi, A.; Liu, S.; Poon, C.S. Efficiencies of carbonation and nano silica treatment methods in enhancing the performance of recycled aggregate concrete. Constr. Build. Mater. 2021, 308, 125080. [Google Scholar] [CrossRef]
- Wu, M.; Hu, X.; Zhang, Q.; Xue, D.; Zhao, Y. Growth environment optimization for inducing bacterial mineralization and its application in concrete healing. Constr. Build. Mater. 2019, 209, 631–643. [Google Scholar] [CrossRef]
- Wu, C.R.; Zhu, Y.G.; Zhang, X.T.; Kou, S.C. Improving the properties of recycled concrete aggregate with bio-deposition approach. Cem. Concr. Compos. 2018, 94, 248–254. [Google Scholar] [CrossRef]
- Qian, C.; Yu, X.; Zheng, T.; Chen, Y. Review on bacteria fixing CO2 and bio-mineralization to enhance the performance of construction materials. J. CO2 Util. 2022, 55, 101849. [Google Scholar] [CrossRef]
- Dong, W.; Zhan, Q.; Zhang, X.; Su, Y.; Zhou, J. Study on accelerating activation of recycled hardened concrete powder based on microbial induced calcium precipitation. Constr. Build. Mater. 2024, 411, 134710. [Google Scholar] [CrossRef]
- Liu, G.; Schollbach, K.; van der Laan, S.; Tang, P.; Florea, M.V.; Brouwers, H. Recycling and utilization of high volume converter steel slag into CO2 activated mortars—The role of slag particle size. Resour. Conserv. Recycl. 2020, 160, 104883. [Google Scholar]
- Mo, L.; Zhang, F.; Deng, M. Mechanical performance and microstructure of the calcium carbonate binders produced by carbonating steel slag paste under CO2 curing. Cem. Concr. Res. 2016, 88, 217–226. [Google Scholar]
- Kapeluszna, E.; Kotwica, Ł.; Różycka, A.; Gołek, Ł. Incorporation of Al in C-A-S-H gels with various Ca/Si and Al/Si ratio: Microstructural and structural characteristics with DTA/TG, XRD, FTIR and TEM analysis. Constr. Build. Mater. 2017, 155, 643–653. [Google Scholar]
- Liu, H.; Kaya, H.; Lin, Y.; Ogrinc, A.; Kim, S.H. Vibrational spectroscopy analysis of silica and silicate glass networks. J. Am. Ceram. Soc. 2022, 105, 2355–2384. [Google Scholar]
- Ashraf, W.; Olek, J. Carbonation behavior of hydraulic and nonhydraulic calcium silicates: Potential of utilizing low-lime calcium silicates in cement-based materials. Mater. Sci. 2016, 51, 6173–6191. [Google Scholar]
- Jin, P.; Wang, R.; Su, Y.; Dong, H.; Wang, Q. Study on carbonation process of beta-C2S under microbial enzymatic action. Constr. Build. Mater. 2019, 228, 117110. [Google Scholar] [CrossRef]
- Zhao, J.; Li, Y.-Q.; Yang, J.-J.; Cao, X.-Q.; Wang, J.-X.; Wang, G.; Sun, L.-L.; Huang, Q.-M.; Cheng, W.-M.; Lyu, Z.-W. Preparation of slag-based foam concrete and its carbon dioxide sequestration performance. Int. J. Greenh. Gas Control 2024, 135, 104156. [Google Scholar]
- Maciel, A.d.O.; Christakopoulos, P.; Rova, U.; Antonopoulou, I. Carbonic anhydrase to boost CO2 sequestration: Improving carbon capture utilization and storage (CCUS). Chemosphere 2022, 299, 134419. [Google Scholar]
- Avram, S.E.; Platon, D.V.; Tudoran, L.B.; Borodi, G.; Petean, I. Mineral Powder Extraction by the Natural Drying of Water from the Public Springs in Borsec. Appl. Sci. 2024, 14, 10806. [Google Scholar] [CrossRef]
- Lv, C.; Tang, C.-S.; Zhu, C.; Li, W.-Q.; Chen, T.-Y.; Zhao, L.; Pan, X.-H. Environmental dependence of microbially induced calcium carbonate crystal precipitations: Experimental evidence and insights. J. Geotech. Geoenviron. Eng. 2022, 148, 04022050. [Google Scholar]













| Material | SiO2 | CaO | Al2O3 | Fe2O3 | K2O | MgO | SO3 |
|---|---|---|---|---|---|---|---|
| RFA | 49.5 | 21.9 | 11.5 | 7.9 | 2.4 | 2.7 | 1.0 |
| AR | 7.3 | 45.2 | 1.8 | 0.5 | 0 | 6.6 | 5.6 |
| W | AR Solid–Liquid Ratio | RFA Solid–Liquid Ratio |
|---|---|---|
| W-1 | 1:1 | 1:2 |
| W-2 | 1:2 | 1:2 |
| W-3 | 1:3 | 1:2 |
| W-4 | 1:4 | 1:2 |
| W-5 | 1:3 | 1:1 |
| W-6 | 1:3 | 1:3 |
| W-7 | 1:3 | 1:4 |
| Method | Concentration | AR Solid–Liquid Ratio | RFA Solid–Liquid Ratio | |
|---|---|---|---|---|
| AA | 0.1 | A-1 | 1:2 | 1:2 |
| A-2 | 1:4 | 1:2 | ||
| A-3 | 1:6 | 1:2 | ||
| A-4 | 1:8 | 1:2 | ||
| 0.3 | A-5 | 1:2 | 1:2 | |
| A-6 | 1:4 | 1:2 | ||
| A-7 | 1:6 | 1:2 | ||
| A-8 | 1:8 | 1:2 | ||
| 0.5 | A-9 | 1:2 | 1:2 | |
| A-10 | 1:4 | 1:2 | ||
| A-11 | 1:6 | 1:2 | ||
| A-12 | 1:8 | 1:2 | ||
| LA | 0.1 | L-1 | 1:2 | 1:2 |
| L-2 | 1:4 | 1:2 | ||
| L-3 | 1:6 | 1:2 | ||
| L-4 | 1:8 | 1:2 | ||
| 0.3 | L-5 | 1:2 | 1:2 | |
| L-6 | 1:4 | 1:2 | ||
| L-7 | 1:6 | 1:2 | ||
| L-8 | 1:8 | 1:2 | ||
| 0.5 | L-9 | 1:2 | 1:2 | |
| L-10 | 1:4 | 1:2 | ||
| L-11 | 1:6 | 1:2 | ||
| L-12 | 1:8 | 1:2 | ||
| Method | Concentration | RFA Solid–Liquid Ratio | |
|---|---|---|---|
| CA | 0.1 | CA-1 | 1:2 |
| 0.3 | CA-2 | 1:2 | |
| 0.5 | CA-3 | 1:2 | |
| CL | 0.1 | CL-1 | 1:2 |
| 0.3 | CL-2 | 1:2 | |
| 0.5 | CL-3 | 1:2 | |
| CC | 0.1 | CC-1 | 1:2 |
| 0.3 | CC-2 | 1:2 | |
| 0.5 | CC-3 | 1:2 | |
| Method | Concentration | RFA Solid–Liquid Ratio | |
|---|---|---|---|
| CA | 0.1 | CA-0 | 1:1 |
| 0.1 | CA-1 | 1:2 | |
| 0.1 | CA-4 | 1:3 | |
| 0.1 | CA-5 | 1:4 | |
| CL | 0.3 | CL-0 | 1:1 |
| 0.3 | CL-2 | 1:2 | |
| 0.3 | CL-4 | 1:3 | |
| 0.3 | CL-5 | 1:4 | |
| CC | 0.1 | CC-0 | 1:1 |
| 0.1 | CC-1 | 1:2 | |
| 0.1 | CC-4 | 1:3 | |
| 0.1 | CC-5 | 1:4 | |
| Method | Concentration | AR Solid–Liquid Ratio | RFA Solid–Liquid Ratio |
|---|---|---|---|
| W-B | \ | 1:3 | 1:2 |
| AA-B | 0.3 | 1:6 | 1:2 |
| CL-B | 0.3 | \ | 1:3 |
| Temperature/°C | 17 | 18 | 19 | 20 | 21 | 22 | 23 | 24 |
|---|---|---|---|---|---|---|---|---|
| αt | 0.003 | 0.004 | 0.004 | 0.005 | 0.005 | 0.006 | 0.006 | 0.007 |
| Methods/MPa | W1 | W2 | W1-W2 | CO2uptake/g·kg−1 |
|---|---|---|---|---|
| RFA | 93.29 | 87.48 | 5.81 | 66.42 |
| W | 90.71 | 84.67 | 6.04 | 71.34 |
| AA | 91.70 | 83.62 | 8.08 | 96.63 |
| LA | 92.35 | 85.75 | 6.60 | 77.00 |
| CA | 95.74 | 89.03 | 6.71 | 75.37 |
| CL | 94.27 | 87.64 | 6.63 | 75.65 |
| CC | 94.99 | 88.49 | 6.5 | 73.45 |
| W-B | 93.01 | 86.79 | 6.22 | 71.67 |
| AA-B | 87.67 | 79.05 | 8.62 | 109.04 |
| CL-B | 93.70 | 86.22 | 7.48 | 86.75 |
Disclaimer/Publisher’s Note: The statements, opinions and data contained in all publications are solely those of the individual author(s) and contributor(s) and not of MDPI and/or the editor(s). MDPI and/or the editor(s) disclaim responsibility for any injury to people or property resulting from any ideas, methods, instructions or products referred to in the content. |
© 2025 by the authors. Licensee MDPI, Basel, Switzerland. This article is an open access article distributed under the terms and conditions of the Creative Commons Attribution (CC BY) license (https://creativecommons.org/licenses/by/4.0/).
Share and Cite
Li, X.; Tian, C.; Li, M.; Zhan, Q.; Wang, X.; Dong, W. Study on the Performance Enhancement of Recycled Fine Aggregate Through Carbonation with Calcium Source Supplied by Industrial Waste Residue. Materials 2025, 18, 1589. https://doi.org/10.3390/ma18071589
Li X, Tian C, Li M, Zhan Q, Wang X, Dong W. Study on the Performance Enhancement of Recycled Fine Aggregate Through Carbonation with Calcium Source Supplied by Industrial Waste Residue. Materials. 2025; 18(7):1589. https://doi.org/10.3390/ma18071589
Chicago/Turabian StyleLi, Xuan, Chuanjiang Tian, Mao Li, Qiwei Zhan, Xinyu Wang, and Wanying Dong. 2025. "Study on the Performance Enhancement of Recycled Fine Aggregate Through Carbonation with Calcium Source Supplied by Industrial Waste Residue" Materials 18, no. 7: 1589. https://doi.org/10.3390/ma18071589
APA StyleLi, X., Tian, C., Li, M., Zhan, Q., Wang, X., & Dong, W. (2025). Study on the Performance Enhancement of Recycled Fine Aggregate Through Carbonation with Calcium Source Supplied by Industrial Waste Residue. Materials, 18(7), 1589. https://doi.org/10.3390/ma18071589

