Characteristics of 3D-Integrated GaN Power Module Under Multi Heat Source Coupling
Abstract
1. Introduction
2. Sample Structure and Experimental Setup
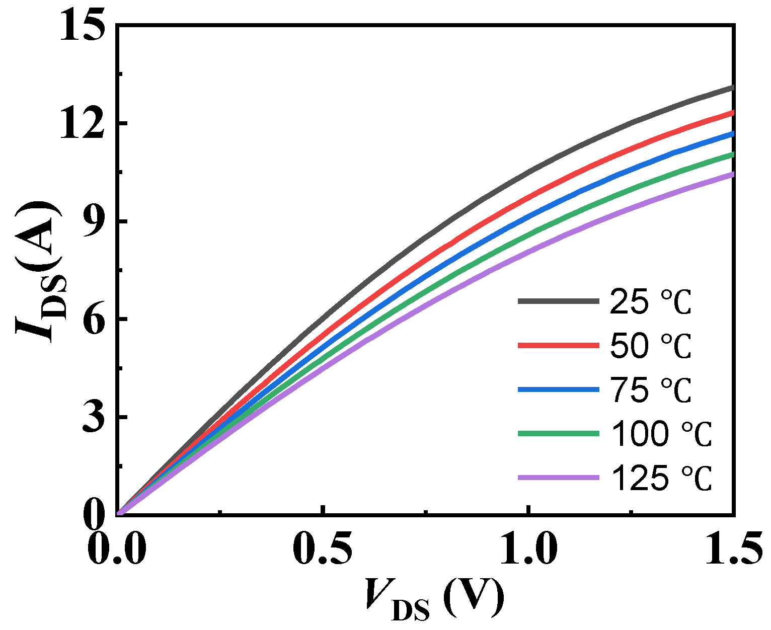
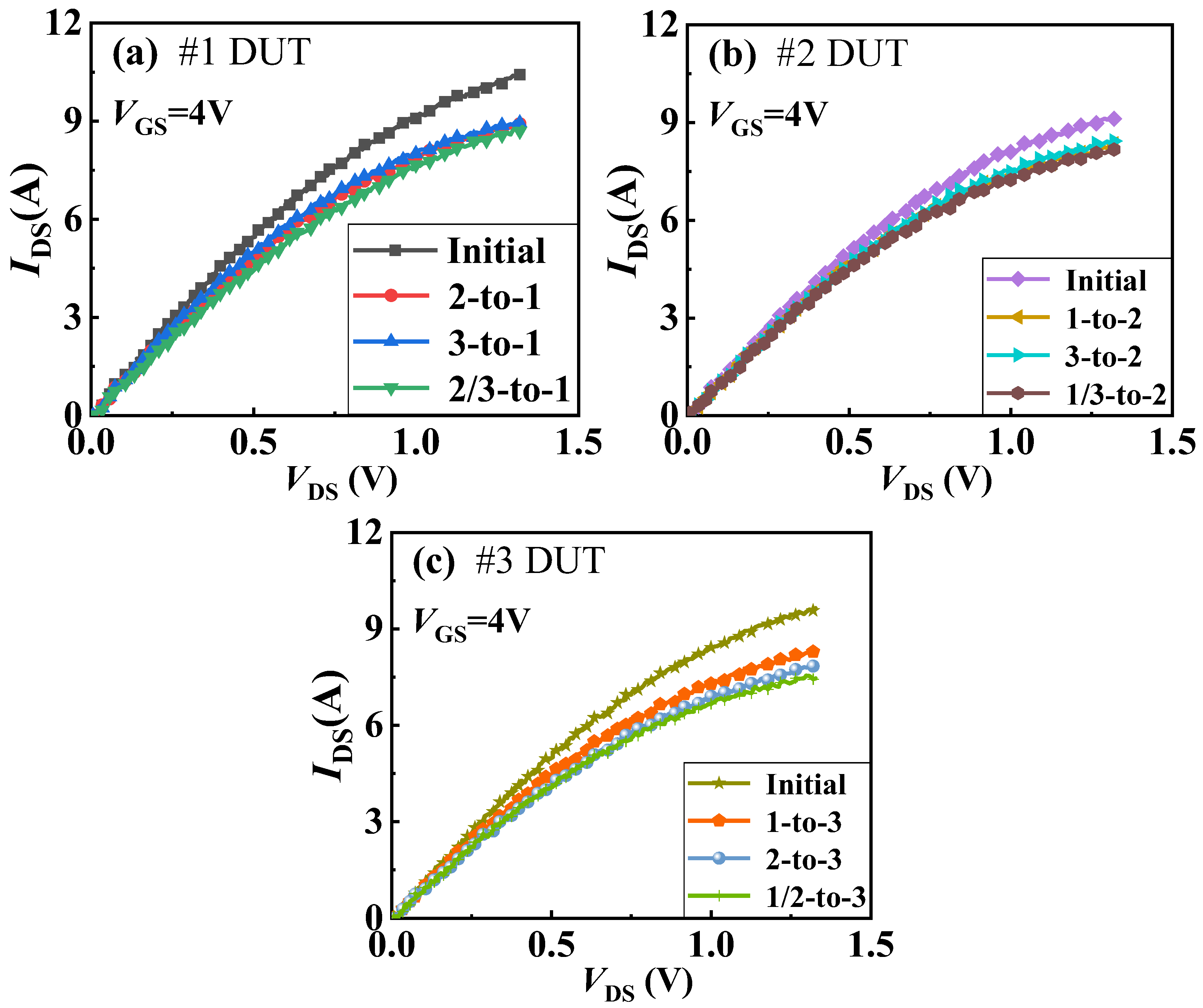
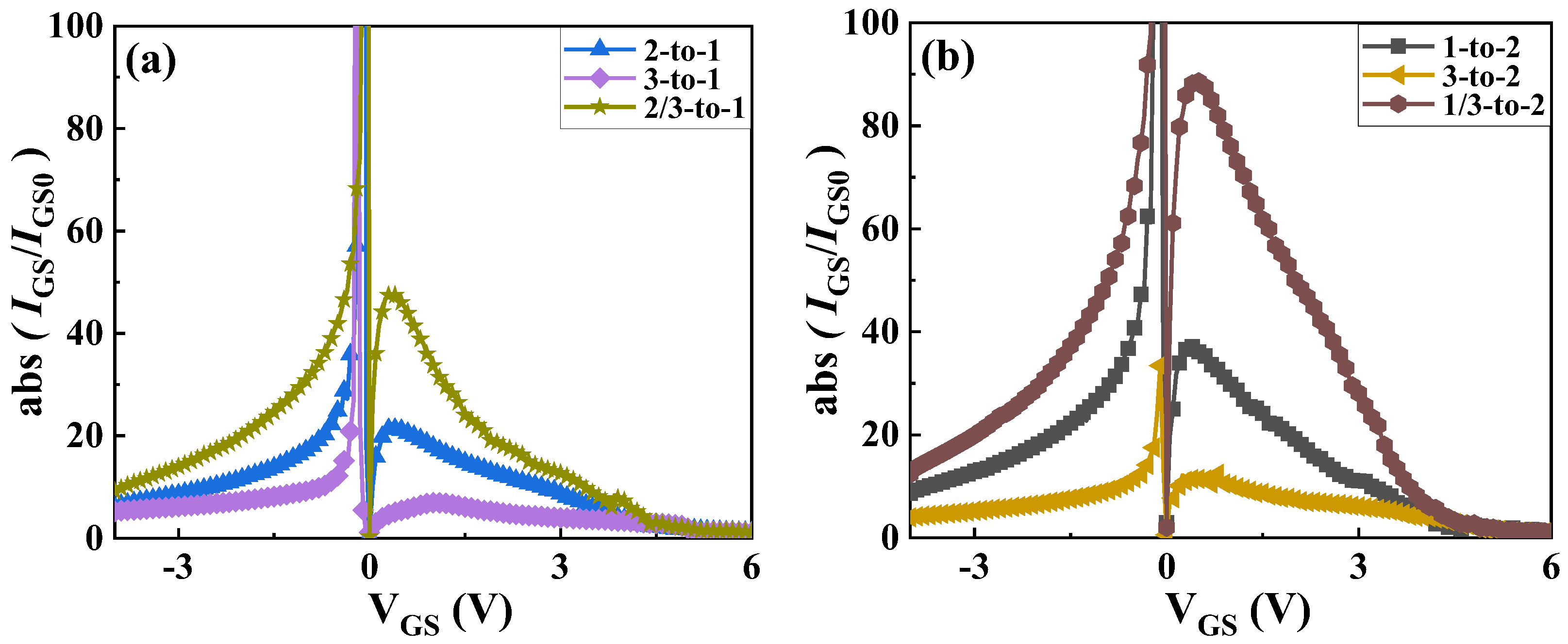
3. Results and Discussion
4. Conclusions
Author Contributions
Funding
Institutional Review Board Statement
Informed Consent Statement
Data Availability Statement
Acknowledgments
Conflicts of Interest
References
- Carlos, C.; Li, J.; Zhang, Z.; Berg, K.J.; Wang, Y.; Wang, X. Strain-Correlated Piezoelectricity in Quasi-Two-Dimensional Zinc Oxide Nanosheets. Nano Lett. 2023, 23, 6148–6155. [Google Scholar] [CrossRef] [PubMed]
- Ishibe, T.; Tomeda, A.; Komatsubara, Y.; Kitaura, R.; Uenuma, M.; Uraoka, Y.; Yamashita, Y.; Nakamura, Y. Carrier and phonon transport control by domain engineering for high-performance transparent thin film thermoelectric generator. Appl. Phys. Lett. 2021, 118, 151601. [Google Scholar] [CrossRef]
- Chen, K.J.; Haberlen, O.; Lidow, A.; Tsai, C.L.; Ueda, T.; Uemoto, Y.; Wu, Y. GaN-on-Si Power Technology: Devices and Applications. IEEE Trans. Electron Devices 2017, 64, 779–795. [Google Scholar] [CrossRef]
- Filho, M.A.M.; Farmer, W.; Hsiao, C.-L.; dos Santos, R.B.; Hultman, L.; Birch, J.; Ankit, K.; Gueorguiev, G.K. Density Functional Theory-Fed Phase Field Model for Semiconductor Nanostructures: The Case of Self-Induced Core–Shell InAlN Nanorods. Cryst. Growth Des. 2024, 24, 4717. [Google Scholar] [CrossRef] [PubMed]
- Sfuncia, G.; Nicotra, G.; Giannazzo, F.; Pécz, B.; Gueorguiev, G.K.; Kakanakova-Georgieva, A. 2D graphitic-like gallium nitride and other structural selectivity in confinement at the graphene/SiC interface. CrystEngComm 2023, 25, 5810–5817. [Google Scholar] [CrossRef]
- Chen, W.; Wong, K.-Y.; Chen, K.J. Single-Chip Boost Converter Using Monolithically Integrated AlGaN/GaN Lateral Field-Effect Rectifier and Normally Off HEMT. IEEE Electron Device Lett. 2009, 30, 430–432. [Google Scholar] [CrossRef]
- Yang, S.; Tang, Z.; Wong, K.-Y.; Lin, Y.-S.; Liu, C.; Lu, Y.; Huang, S.; Chen, K.J. High-Quality Interface in Al2O3/GaN/AlGaN/GaN MIS Structures with In Situ Pre-Gate Plasma Nitridation. IEEE Electron Device Lett. 2013, 34, 1497–1499. [Google Scholar] [CrossRef]
- Yang, S.; Huang, S.; Schnee, M.; Zhao, Q.-T.; Schubert, J.; Chen, K.J. Fabrication and Characterization of Enhancement-Mode High-k LaLuO3-AlGaN/GaN MIS-HEMTs. IEEE Trans. Electron Devices 2013, 60, 3040–3046. [Google Scholar] [CrossRef]
- Shi, Y.; Huang, S.; Bao, Q.; Wang, X.; Wei, K.; Jiang, H.; Li, J.; Zhao, C.; Li, S.; Zhou, Y.; et al. Normally OFF GaN-on-Si MIS-HEMTs Fabricated With LPCVD-SiNx Passivation and High-Temperature Gate Recess. IEEE Trans. Electron Devices 2016, 63, 614–619. [Google Scholar] [CrossRef]
- Górecki, P.; Ahmed, D. Influence of Parasitic Capacitances and Inductances in a Power Electronic Converter on Junction Temperature of Power GaN HEMTs. In Proceedings of the 2024 31st International Conference on Mixed Design of Integrated Circuits and System (MIXDES), Gdansk, Poland, 27–28 June 2024; pp. 37–41. [Google Scholar]
- Fan, Y.; Liu, X.; Zhang, W.; Wu, Y.; Liu, Z.; Zhang, C. Monolithic Heterogeneous Integration of Si(100)/GaN CMOS Inverters and Normally-Off GaN Power Devices for High Switching Frequency and High Power Applications. In Proceedings of the 2024 36th International Symposium on Power Semiconductor Devices and ICs (ISPSD), Bremen, Germany, 2–6 June 2024; pp. 267–270. [Google Scholar]
- Li, X.; Van Hove, M.; Zhao, M.; Geens, K.; Lempinen, V.-P.; Sormunen, J. 200 V En-hancement-Mode p-GaN HEMTs Fabricated on 200 mm GaN-on-SOI With Trench Isolation for Monolithic Integration. IEEE Electron Device Lett. 2017, 38, 918–921. [Google Scholar] [CrossRef]
- Fan, Y.; Zhang, W.; Liu, Z.; Zhao, S.; Jiang, Y.; Mak, P.I. Wafer-Scale GaN-Si(100) Monolith-ic Heterogeneous Integration Inverters With Improved Output Voltage Swing and Fast Switching Capability by Transfer Printing and Self-Aligned Etching Technology. IEEE Trans. Electron Devices 2024, 71, 3570–3574. [Google Scholar] [CrossRef]
- Kong, Y.; Zhou, J.; Kong, C.; Zhang, Y.; Dong, X.; Lu, H. Monolithic Integration of E/D-Mode AlGaN/GaN MIS-HEMTs. IEEE Electron Device Lett. 2014, 35, 336–338. [Google Scholar] [CrossRef]
- Li, A.; Wang, W.; Li, F.; Zhu, Y.; Zhang, Y.; Liu, W.; Yu, G.; Zeng, Z.; Zhang, B. Monolithic Integration of D/E-Mode Tri-Gate AlGaN/GaN MIS-HEMTs for Power ICs. In Proceedings of the 2024 36th International Symposium on Power Semiconductor Devices and ICs (ISPSD), Bremen, Germany, 2–6 June 2024; pp. 1–3. [Google Scholar]
- Zheng, Z.; Song, W.; Zhang, L.; Yang, S.; Wei, J.; Chen, K.J. Monolithically Integrated GaN Ring Oscillator Based on High-Performance Complementary Logic Inverters. IEEE Electron Device Lett. 2021, 42, 26–29. [Google Scholar] [CrossRef]
- Wang, Y.; Lyu, G.; Wei, J.; Zheng, Z.; Zhong, K.; Chen, K.J. All-WBG Cascode Device with p-GaN Gate HEMT and SiC JFET for High-Frequency and High-Temperature Power Switching Applications. In Proceedings of the 2020 IEEE Workshop on Wide Bandgap Power Devices and Applications in Asia (WiPDA Asia), Suita, Japan, 25–27 May 2020; pp. 1–5. [Google Scholar]
- Zhu, T.; Zhuo, F.; Wang, F.; Wang, H.; He, X.; Shi, S. A Novel Cascode GaN Switch Integrating Paralleled GaN DHEMTs for High-Power Applications. In Proceedings of the 2018 1st Workshop on Wide Bandgap Power Devices and Applications in Asia (WiPDA Asia), Xi’an, China, 16–18 May 2018; pp. 332–336. [Google Scholar]
- Li, H.; Zhang, X.; Wen, L.; Brothers, J.A.; Yao, C.; Zhu, K.; Wang, J.; Liu, L.; Xu, J.; Puukko, J. Evaluation of high voltage cascode GaN HEMTs in parallel operation. In Proceedings of the 2016 IEEE Applied Power Electronics Conference and Exposition (APEC), Long Beach, CA, USA, 20–24 March 2016; pp. 990–995. [Google Scholar]
- Lyu, G.; Wang, Y.; Wei, J.; Zheng, Z.; Sun, J.; Chen, K.J. Dv/Dt-control of 1200-V Co-packaged SiC- JFET/GaN-HEMT Cascode Device. In Proceedings of the 2020 32nd International Symposium on Power Semiconductor Devices and ICs (ISPSD), Vienna, Austria, 13–18 September 2020; pp. 86–89. [Google Scholar]
- Song, Q.; Zhang, R.; Kozak, J.P.; Liu, J.; Li, Q.; Zhang, Y. Robustness of Cascode GaN HEMTs under Repetitive Over-voltage and Surge Energy Stresses. In Proceedings of the 2021 IEEE Applied Power Electronics Conference and Exposition (APEC), Phoenix, AZ, USA, 14–17 June 2021; pp. 363–369. [Google Scholar]
- Mook-Michael-Choi, H.; Loh, A.; Jia, Y. A New Development of Thermally Enhanced GaN-QFN with Heat Slug Attach Bonding Technology. In Proceedings of the 2019 IEEE 21st EPTC, Singapore, 4–6 December 2019; pp. 634–639. [Google Scholar]
- Chen, J.; Xie, Y.; Trombley, D.; Murugan, R. System Co-design of a 600V GaN FET Power Stage with Integrated Driver in a QFN System-in-Package (QFN-SiP). In Proceedings of the 2019 IEEE 69th ECTC, Las Vegas, NV, USA, 28–31 May 2019; pp. 1221–1226. [Google Scholar]
- Xu, H.; Tang, G.; Wei, J.; Chen, K.J. Integrated High-Speed Over-Current Protection Circuit for GaN Power Transistors. In Proceedings of the 2019 31st International Symposium on Power Semiconductor Devices and ICs (ISPSD), Shanghai, China, 19–23 May 2019; pp. 275–278. [Google Scholar]
- Then, H.W.; Radosavljevic, M.; Agababov, P.; Ban, I.; Bristol, R.; Chandhok, M. GaN and Si Transistors on 300mm Si(111) Enabled by 3D Monolithic Heterogeneous Integration. In Proceedings of the 2020 IEEE Symposium on VLSI Technology, Honolulu, HI, USA, 16–19 June 2020; pp. 1–2. [Google Scholar]
- Bäumler, C.; Franke, J.; Lutz, J. Reliability aspects of 3D integrated power devices. In Proceedings of the 2021 Third International Symposium on 3D Power Electronics Integration and Manufacturing (3D-PEIM), Osaka, Japan, 21–23 June 2021; pp. 1–6. [Google Scholar]
- Castellazzi, A. Opportunities and challenges of integrated WBG power electronics development. In Proceedings of the 2021 Third International Symposium on 3D Power Electronics Integration and Manufacturing (3D-PEIM), Osaka, Japan, 21–23 June 2021; pp. 1–6. [Google Scholar]
- Letowski, B.; Widiez, J.; Rabarot, M.; Vandendaele, W.; Imbert, B.; Rouger, N.; Crébier, J.C. Towards vertical power device 3D packaging on 8-inch wafer. In Proceedings of the 2016 28th International Symposium on Power Semiconductor Devices and ICs (ISPSD), Prague, Czech Republic, 12–16 June 2016; pp. 135–138. [Google Scholar]
- Lidow, A. Is it the end of the road for silicon in power conversion? In Proceedings of the 2010 6th International Conference on Integrated Power Electronics Systems, Nuremberg, Germany, 16–18 March 2010; pp. 1–8. [Google Scholar]
- Zhou, Q.; Jin, Y.; Mou, J.; Bao, X.; Shi, Y.; Liu, Z.; Li, J.; Chen, W.; Sun, C.; Zhang, B. Over 1.1 kV breakdown low turn-on voltage GaN-on-Si power diode with MIS-Gated hybrid anode. In Proceedings of the 2015 IEEE 27th International Symposium on Power Semiconductor Devices & IC’s (ISPSD), Hong Kong, China, 10–14 May 2015; pp. 369–372. [Google Scholar]
- Zhou, Q.; Jin, Y.; Shi, Y.; Mou, J.; Bao, X.; Chen, B.; Zhang, B. High Reverse Blocking and Low Onset Voltage AlGaN/GaN-on-Si Lateral Power Diode With MIS-Gated Hybrid Anode. IEEE Electron Device Lett. 2015, 36, 660–662. [Google Scholar] [CrossRef]
- Warnock, S.; Lemus, A.; Joh, J.; Krishnan, S.; Pendharkar, S.; del Alamo, J.A. Time-Dependent Dielectric Breakdown in High-Voltage GaN MIS-HEMTs: The Role of Temperature. IEEE Trans. Electron Devices 2017, 64, 3132–3138. [Google Scholar] [CrossRef]
- Shi, Y.; Chen, W.; Cui, X.; Li, M.; Liu, C.; Xia, Y.; Li, J.; Wang, F.; Xin, Y.; Zhou, Q.; et al. Investigation on the Long-Term Reliability of High-Voltage p-GaN HEMT by Repetitively Transient Overcurrent. IEEE Trans. Electron Devices 2018, 65, 5322–5328. [Google Scholar] [CrossRef]
- Górecki, K.; Górecki, P. SPICE-aided nonlinear electrothermal modeling of an IGBT module. Electronics 2023, 12, 4588. [Google Scholar] [CrossRef]










| Sample No. | Chip No. | Target Chip | Coupling Mode |
|---|---|---|---|
| #1 | 11 | The first-layer chip of Sample #1 | 2-to-1: The second-layer chip is in the conducting state, and its influence on the first-layer chip. |
| 12 | 3-to-1: The third-layer chip is in the conducting state, and its influence on the first-layer chip. | ||
| 13 | 2/3-to-1: Both the second- and third-layer chips are in the conducting state, and its influence on the first-layer chip. | ||
| #2 | 21 | The second-layer chip of Sample #2 | 1-to-2: The first-layer chip is in the conducting state, and its influence on the second-layer chip. |
| 22 | 3-to-2: The third-layer chip is in the conducting state, and its influence on the second-layer chip. | ||
| 23 | 1/3-to-2: Both the first- and third-layer chips are in the conducting state, and their influence on the second-layer chip. | ||
| #3 | 31 | The third-layer chip of Sample #3 | 1-to-3: The first-layer chip is in the conducting state, and its influence on the third-layer chip. |
| 32 | 2-to-3: The second-layer chip is in the conducting state, and its influence on the third-layer chip. | ||
| 33 | 1/2-to-3: Both the first- and second-layer chips are in the conducting state, and their influence on the third-layer chip. |
Disclaimer/Publisher’s Note: The statements, opinions and data contained in all publications are solely those of the individual author(s) and contributor(s) and not of MDPI and/or the editor(s). MDPI and/or the editor(s) disclaim responsibility for any injury to people or property resulting from any ideas, methods, instructions or products referred to in the content. |
© 2025 by the authors. Licensee MDPI, Basel, Switzerland. This article is an open access article distributed under the terms and conditions of the Creative Commons Attribution (CC BY) license (https://creativecommons.org/licenses/by/4.0/).
Share and Cite
Shi, Y.; Lv, M.; Lu, G.; Hui, C.; He, L.; Chen, X.; Chen, Y.; Lu, X. Characteristics of 3D-Integrated GaN Power Module Under Multi Heat Source Coupling. Materials 2025, 18, 1082. https://doi.org/10.3390/ma18051082
Shi Y, Lv M, Lu G, Hui C, He L, Chen X, Chen Y, Lu X. Characteristics of 3D-Integrated GaN Power Module Under Multi Heat Source Coupling. Materials. 2025; 18(5):1082. https://doi.org/10.3390/ma18051082
Chicago/Turabian StyleShi, Yijun, Mingen Lv, Guoguang Lu, Caixing Hui, Liang He, Xinghuan Chen, Yuan Chen, and Xiangjun Lu. 2025. "Characteristics of 3D-Integrated GaN Power Module Under Multi Heat Source Coupling" Materials 18, no. 5: 1082. https://doi.org/10.3390/ma18051082
APA StyleShi, Y., Lv, M., Lu, G., Hui, C., He, L., Chen, X., Chen, Y., & Lu, X. (2025). Characteristics of 3D-Integrated GaN Power Module Under Multi Heat Source Coupling. Materials, 18(5), 1082. https://doi.org/10.3390/ma18051082

