Optimizing Carbon Dot—TiO2 Nanohybrids for Enhanced Photocatalytic Hydrogen Evolution
Abstract
1. Introduction
2. Materials and Methods
2.1. Materials
2.2. Preparation of CDs and CDs/TiO2 Nanohybrids
2.3. Characterization Methods
2.4. Photocatalytic Setup for H2 Generation and Detection
3. Results and Discussion
3.1. Characterization of CDs
3.2. Characterization of CDs/TiO2 Nanohybrids
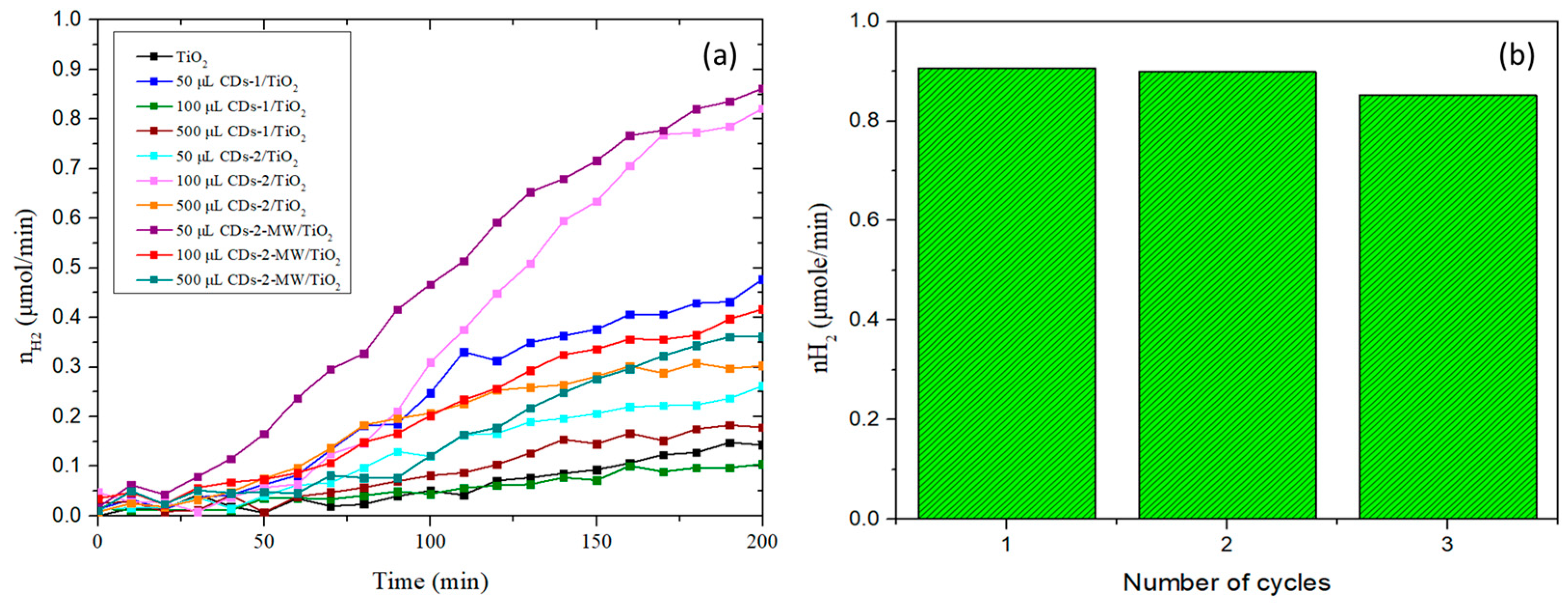
3.3. Photocatalytic H2 Production
4. Conclusions
Author Contributions
Funding
Institutional Review Board Statement
Informed Consent Statement
Data Availability Statement
Conflicts of Interest
References
- Jaiswal, K.K.; Chowdhury, C.R.; Yadav, D.; Verma, R.; Dutta, S.; Jaiswal, K.S.; Sangmesh, B.; Karuppasamy, K.S.K. Renewable and Sustainable Clean Energy Development and Impact on Social, Economic, and Environmental Health. Energy Nexus 2022, 7, 100118. [Google Scholar] [CrossRef]
- Li, Z.; Fang, S.; Sun, H.; Chung, R.J.; Fang, X.; He, J.H. Solar Hydrogen. Adv. Energy Mater. 2023, 13, 2203019. [Google Scholar] [CrossRef]
- Nikolaidis, P.; Poullikkas, A. A Comparative Overview of Hydrogen Production Processes. Renew. Sustain. Energy Rev. 2017, 67, 597–611. [Google Scholar] [CrossRef]
- Nnabuife, S.G.; Darko, C.K.; Obiako, P.C.; Kuang, B.; Sun, X.; Jenkins, K. A Comparative Analysis of Different Hydrogen Production Methods and Their Environmental Impact. Clean Technol. 2023, 5, 1344–1380. [Google Scholar] [CrossRef]
- Zhang, J.; Zhao, Y.; Qi, K.; Liu, S. yuan CuInS2 Quantum-Dot-Modified g-C3N4 S-Scheme Heterojunction Photocatalyst for Hydrogen Production and Tetracycline Degradation. J. Mater. Sci. Technol. 2024, 172, 145–155. [Google Scholar] [CrossRef]
- Rafique, M.; Hajra, S.; Irshad, M.; Usman, M.; Imran, M.; Assiri, M.A.; Ashraf, W.M. Hydrogen Production Using TiO2-Based Photocatalysts: A Comprehensive Review. ACS Omega 2023, 8, 25640–25648. [Google Scholar] [CrossRef] [PubMed]
- Zheng, D.; Xue, Y.; Wang, J.; Varbanov, P.S.; Klemeš, J.J.; Yin, C. Nanocatalysts in Photocatalytic Water Splitting for Green Hydrogen Generation: Challenges and Opportunities. J. Clean. Prod. 2023, 414, 137700. [Google Scholar] [CrossRef]
- Gao, Y.; Xu, B.; Cherif, M.; Yu, H.; Zhang, Q.; Vidal, F.; Wang, X.; Ding, F.; Sun, Y.; Ma, D.; et al. Atomic Insights for Ag Interstitial/Substitutional Doping into ZnIn2S4 Nanoplates and Intimate Coupling with Reduced Graphene Oxide for Enhanced Photocatalytic Hydrogen Production by Water Splitting. Appl. Catal. B Environ. 2020, 279, 119403. [Google Scholar] [CrossRef]
- Antoniadou, M.; Vaiano, V.; Sannino, D.; Lianos, P. Photocatalytic Oxidation of Ethanol Using Undoped and Ru-Doped Titania: Acetaldehyde, Hydrogen or Electricity Generation. Chem. Eng. J. 2013, 224, 144–148. [Google Scholar] [CrossRef]
- Chung, Y.H.; Han, K.; Lin, C.Y.; O’Neill, D.; Mul, G.; Mei, B.; Yang, C.M. Photocatalytic Hydrogen Production by Photo-Reforming of Methanol with One-Pot Synthesized Pt-Containing TiO2 Photocatalysts. Catal. Today 2020, 356, 95–100. [Google Scholar] [CrossRef]
- Muscetta, M.; Andreozzi, R.; Clarizia, L.; Di Somma, I.; Marotta, R. Hydrogen Production through Photoreforming Processes over Cu2O/TiO2 Composite Materials: A Mini-Review. Int. J. Hydrogen Energy 2020, 45, 28531–28552. [Google Scholar] [CrossRef]
- Sendão, R.M.S.; Esteves da Silva, J.C.G.; Pinto da Silva, L. Applications of Fluorescent Carbon Dots as Photocatalysts: A Review. Catalysts 2023, 13, 179. [Google Scholar] [CrossRef]
- Racovita, A.D. Titanium Dioxide: Structure, Impact, and Toxicity. Int. J. Environ. Res. Public Health 2022, 19, 5681. [Google Scholar] [CrossRef] [PubMed]
- Ibrahim, I.; Belessiotis, G.V.; Antoniadou, M.; Kaltzoglou, A.; Sakellis, E.; Katsaros, F.; Sygellou, L.; Arfanis, M.K.; Salama, T.M.; Falaras, P. Silver Decorated TiO2/g-C3N4 Bifunctional Nanocomposites for Photocatalytic Elimination of Water Pollutants under UV and Artificial Solar Light. Results Eng. 2022, 14, 100470. [Google Scholar] [CrossRef]
- Kunnath Parambil, N.S.; Raphael, S.J.; Joseph, P.; Dasan, A. Recent Advancements toward Visible-Light-Driven Titania-Based Nanocomposite Systems for Environmental Applications: An Overview. Appl. Surf. Sci. Adv. 2023, 18, 100487. [Google Scholar] [CrossRef]
- Kothandam, G.; Singh, G.; Guan, X.; Lee, J.M.; Ramadass, K.; Joseph, S.; Benzigar, M.; Karakoti, A.; Yi, J.; Kumar, P.; et al. Recent Advances in Carbon-Based Electrodes for Energy Storage and Conversion. Adv. Sci. 2023, 10, 2301045. [Google Scholar] [CrossRef]
- Rajeshkumar, L.; Ramesh, M.; Bhuvaneswari, V.; Balaji, D. Carbon Nano-Materials (CNMs) Derived from Biomass for Energy Storage Applications: A Review. Carbon Lett. 2023, 33, 661–690. [Google Scholar] [CrossRef]
- Zourou, A.; Ntziouni, A.; Roman, T.; Tampaxis, C.; Steriotis, T.; Gkouzia, G.; Alff, L.; Sanchez, D.E.; Terrones, M.; Kordatos, K.V. Synthesis and Characterization of Magnetic Carbon Dots (CDs)-Based Hybrid Material as an Adsorbent for the Removal of Organic Dye from Water. Carbon 2024, 230, 119612. [Google Scholar] [CrossRef]
- Deng, A.; Yin, Y.; Liu, Y.; Xu, Y.; He, H.; Yang, S.; Qin, Q.; Sun, D.; Li, S. Unlocking the Potential of MOF-Derived Carbon-Based Nanomaterials for Water Purification through Advanced Oxidation Processes: A Comprehensive Review on the Impact of Process Parameter Modulation. Sep. Purif. Technol. 2023, 318, 123998. [Google Scholar] [CrossRef]
- Fan, X.; Wei, G.; Quan, X. Carbon Nanomaterial-Based Membranes for Water and Wastewater Treatment under Electrochemical Assistance. Environ. Sci. Nano 2022, 10, 11–40. [Google Scholar] [CrossRef]
- Karagianni, A.; Tsierkezos, N.G.; Prato, M.; Terrones, M.; Kordatos, K.V. Application of Carbon-Based Quantum Dots in Photodynamic Therapy. Carbon 2023, 203, 273–310. [Google Scholar] [CrossRef]
- Jiang, H.; Xia, C.; Lin, J.; Garalleh, H.A.; Alalawi, A.; Pugazhendhi, A. Carbon Nanomaterials: A Growing Tool for the Diagnosis and Treatment of Diabetes Mellitus. Environ. Res. 2023, 221, 115250. [Google Scholar] [CrossRef]
- Falara, P.P.; Zourou, A.; Kordatos, K.V. Recent Advances in Carbon Dots/2-D Hybrid Materials. Carbon 2022, 195, 219–245. [Google Scholar] [CrossRef]
- Ozyurt, D.; Al Kobaisi, M.; Hocking, R.K.; Fox, B. Properties, Synthesis, and Applications of Carbon Dots: A Review. Carbon Trends 2023, 12, 100276. [Google Scholar] [CrossRef]
- Cringoli, M.C.; Perathoner, S.; Fornasiero, P.; Marchesan, S. Carbon Nanostructures Decorated with Titania: Morphological Control and Applications. Appl. Sci. 2021, 11, 6814. [Google Scholar] [CrossRef]
- Zhao, H.; Yu, X.; Li, C.F.; Yu, W.; Wang, A.; Hu, Z.Y.; Larter, S.; Li, Y.; Golam Kibria, M.; Hu, J. Carbon Quantum Dots Modified TiO2 Composites for Hydrogen Production and Selective Glucose Photoreforming. J. Energy Chem. 2022, 64, 201–208. [Google Scholar] [CrossRef]
- Camilli, E.; Foglia, M.L.; Bravo, J.P.; Copello, G.J.; Villanueva, M.E. Comparison among OH, N and P Functionalized Carbon Quantum Dots/TiO2 Nanocomposites for Food Industry Wastewater Remediation. Diam. Relat. Mater. 2024, 145, 111103. [Google Scholar] [CrossRef]
- Hareesh, K. A Review on Carbon Quantum Dot/Semiconductor-Based Nanocomposites as Hydrogen Production Photocatalysts. RSC Adv. 2024, 14, 23404–23422. [Google Scholar] [CrossRef]
- Mozdbar, A.; Nouralishahi, A.; Fatemi, S.; Talatori, F.S. The Impact of Carbon Quantum Dots (CQDs) on the Photocatalytic Activity of TiO2 under UV and Visible Light. J. Water Process Eng. 2023, 51, 103465. [Google Scholar] [CrossRef]
- Choi, N.; Tang, C.; Park, Y.; Du, A.; Ayoko, G.A.; Hwang, Y.; Chae, S. Visible-Light-Driven Photocatalytic Degradation of Tetracycline Using Citric Acid and Lemon Juice-Derived Carbon Quantum Dots Incorporated TiO2 Nanocomposites. Sep. Purif. Technol. 2024, 350, 127836. [Google Scholar] [CrossRef]
- Liu, G.; Wang, L.; Yang, H.G.; Cheng, H.M.; Lu, G.Q. Titania-Based Photocatalysts—Crystal Growth, Doping and Heterostructuring. J. Mater. Chem. 2010, 20, 831–843. [Google Scholar] [CrossRef]
- Molochas, C.; Tsiakaras, P. Carbon-Monoxide-Tolerant Pt-Based Electrocatalysts for H2-Pemfc Applications: Current Progress and Challenges. Catalysts 2021, 11, 1127. [Google Scholar] [CrossRef]
- Chen, B.B.; Liu, M.L.; Huang, C.Z. Carbon Dot-Based Composites for Catalytic Applications. Green Chem. 2020, 22, 4034–4054. [Google Scholar] [CrossRef]
- Yu, H.; Zhao, Y.; Zhou, C.; Shang, L.; Peng, Y.; Cao, Y.; Wu, L.Z.; Tung, C.H.; Zhang, T. Carbon Quantum Dots/TiO2 Composites for Efficient Photocatalytic Hydrogen Evolution. J. Mater. Chem. A 2014, 2, 3344–3351. [Google Scholar] [CrossRef]
- Pajares, A.; Wang, Y.; Kronenberg, M.J.; Ramírez de la Piscina, P.; Homs, N. Photocatalytic H2 Production from Ethanol Aqueous Solution Using TiO2 with Tungsten Carbide Nanoparticles as Co-Catalyst. Int. J. Hydrogen Energy 2020, 45, 20558–20567. [Google Scholar] [CrossRef]
- Strataki, N.; Antoniadou, M.; Dracopoulos, V.; Lianos, P. Visible-Light Photocatalytic Hydrogen Production from Ethanol-Water Mixtures Using a Pt-CdS-TiO2 Photocatalyst. Catal. Today 2010, 151, 53–57. [Google Scholar] [CrossRef]
- Falara, P.P.; Antoniadou, M.; Zourou, A.; Sakellis, E.; Kordatos, K.V. Carbon Dot-Titanium Dioxide (CD/TiO2) Nanocomposites: Reusable Photocatalyst for Sustainable H2 Production via Photoreforming of Green Organic Compounds. Coatings 2024, 14, 131. [Google Scholar] [CrossRef]
- Vercelli, B.; Donnini, R.; Ghezzi, F.; Sansonetti, A.; Giovanella, U.; La Ferla, B. Nitrogen-Doped Carbon Quantum Dots Obtained Hydrothermally from Citric Acid and Urea: The Role of the Specific Nitrogen Centers in Their Electrochemical and Optical Responses. Electrochim. Acta 2021, 387, 138557. [Google Scholar] [CrossRef]
- Choi, D.; Ham, S.; Jang, D.J. Visible-Light Photocatalytic Reduction of Cr(VI) via Carbon Quantum Dots-Decorated TiO2 Nanocomposites. J. Environ. Chem. Eng. 2018, 6, 1–8. [Google Scholar] [CrossRef]
- Falara, P.P.; Ibrahim, I.; Zourou, A.; Sygellou, L.; Sanchez, D.E.; Romanos, G.E.; Givalou, L.; Antoniadou, M.; Arfanis, M.K.; Han, C.; et al. Bi-Functional Photocatalytic Heterostructures Combining Titania Thin Films with Carbon Quantum Dots (C-QDs/TiO2) for Effective Elimination of Water Pollutants. Environ. Sci. Pollut. Res. 2023, 30, 124976–124991. [Google Scholar] [CrossRef]
- Yeh, T.F.; Huang, W.L.; Chung, C.J.; Chiang, I.T.; Chen, L.C.; Chang, H.Y.; Su, W.C.; Cheng, C.; Chen, S.J.; Teng, H. Elucidating Quantum Confinement in Graphene Oxide Dots Based on Excitation-Wavelength-Independent Photoluminescence. J. Phys. Chem. Lett. 2016, 7, 2087–2092. [Google Scholar] [CrossRef] [PubMed]
- Saputra, A.M.A.; Piliang, A.F.R.; Dellyansyah; Marpongahtun; Andriayani; Goei, R.; Risky, R.R.; Gea, S. Synthesis, Properties, and Utilization of Carbon Quantum Dots as Photocatalysts on Degradation of Organic Dyes: A Mini Review. Catal. Commun. 2024, 187, 106914. [Google Scholar] [CrossRef]
- Zhou, Y.; Zahran, E.M.; Quiroga, B.A.; Perez, J.; Mintz, K.J.; Peng, Z.; Liyanage, P.Y.; Pandey, R.R.; Chusuei, C.C.; Leblanc, R.M. Size-Dependent Photocatalytic Activity of Carbon Dots with Surface-State Determined Photoluminescence. Appl. Catal. B Environ. 2019, 248, 157–166. [Google Scholar] [CrossRef]
- Nguyen, K.G.; Baragau, I.A.; Gromicova, R.; Nicolaev, A.; Thomson, S.A.J.; Rennie, A.; Power, N.P.; Sajjad, M.T.; Kellici, S. Investigating the Effect of N-Doping on Carbon Quantum Dots Structure, Optical Properties and Metal Ion Screening. Sci. Rep. 2022, 12, 13806. [Google Scholar] [CrossRef] [PubMed]
- Tian, X.T.; Yin, X.B. Carbon Dots, Unconventional Preparation Strategies, and Applications Beyond Photoluminescence. Small 2019, 15, 1901803. [Google Scholar] [CrossRef] [PubMed]
- Ibrahim, I.; Belessiotis, G.V.; Elseman, A.M.; Mohamed, M.M.; Ren, Y.; Salama, T.M.; Mohamed, M.B.I. Magnetic TiO2/CoFe2O4 Photocatalysts for Degradation of Organic Dyes and Pharmaceuticals without Oxidants. Nanomaterials 2022, 12, 3290. [Google Scholar] [CrossRef]
- Mishra, V.; Warshi, M.K.; Sati, A.; Kumar, A.; Mishra, V.; Kumar, R.; Sagdeo, P.R. Investigation of Temperature-Dependent Optical Properties of TiO2 Using Diffuse Reflectance Spectroscopy. SN Appl. Sci. 2019, 1, 241. [Google Scholar] [CrossRef]
- Elsenety, M.M.; Antoniadou, M.; Kaltzoglou, A.; Kontos, A.G.; Philippopoulos, A.I.; Mitsopoulou, C.A.; Falaras, P. Synthesis, Characterization of ((CH3)3S)2SnI6-NCln and ((CH3)3S)2SnI6-NBrn (N = 1, 2) Perovskites and Use in Dye-Sensitized Solar Cells. Mater. Chem. Phys. 2020, 239, 122310. [Google Scholar] [CrossRef]
- Martins, N.C.T.; Ângelo, J.; Girão, A.V.; Trindade, T.; Andrade, L.; Mendes, A. N-Doped Carbon Quantum Dots/TiO2 Composite with Improved Photocatalytic Activity. Appl. Catal. B Environ. 2016, 193, 67–74. [Google Scholar] [CrossRef]
- Dager, A.; Uchida, T.; Maekawa, T.; Tachibana, M. Synthesis and Characterization of Mono-Disperse Carbon Quantum Dots from Fennel Seeds: Photoluminescence Analysis Using Machine Learning. Sci. Rep. 2019, 9, 14004. [Google Scholar] [CrossRef]
- Huang, X.; Sun, L.; Liu, X.; Ge, M.; Zhao, B.; Bai, Y.; Wang, Y.; Han, S.; Li, Y.; Han, Y.; et al. Increase and Enrichment of Active Electrons by Carbon Dots Induced to Improve TiO2 Photocatalytic Hydrogen Production Activity. Appl. Surf. Sci. 2023, 630, 157494. [Google Scholar] [CrossRef]
- Zeng, Y.; Chen, D.; Chen, T.; Cai, M.; Zhang, Q.; Xie, Z.; Li, R.; Xiao, Z.; Liu, G.; Lv, W. Study on Heterogeneous Photocatalytic Ozonation Degradation of Ciprofloxacin by TiO2/Carbon Dots: Kinetic, Mechanism and Pathway Investigation. Chemosphere 2019, 227, 198–206. [Google Scholar] [CrossRef] [PubMed]
- Tong, S.; Zhou, J.; Ding, L.; Zhou, C.; Liu, Y.; Li, S.; Meng, J.; Zhu, S.; Chatterjee, S.; Liang, F. Preparation of Carbon Quantum Dots/TiO2 Composite and Application for Enhanced Photodegradation of Rhodamine B. Colloids Surfaces A Physicochem. Eng. Asp. 2022, 648, 129342. [Google Scholar] [CrossRef]
- Rani, U.A.; Ng, L.Y.; Ng, C.Y.; Mahmoudi, E.; Ng, Y.S.; Mohammad, A.W. Sustainable Production of Nitrogen-Doped Carbon Quantum Dots for Photocatalytic Degradation of Methylene Blue and Malachite Green. J. Water Process Eng. 2021, 40, 101816. [Google Scholar] [CrossRef]
- Xu, C.; Xiao, X.; Cai, C.; Cheng, Q.; Zhu, L.; Zhang, J.; Wei, B.; Wang, H. Insight into the Differences in Carbon Dots Prepared from Fish Scales Using Conventional Hydrothermal and Microwave Methods. Environ. Sci. Pollut. Res. 2023, 30, 54616–54627. [Google Scholar] [CrossRef] [PubMed]
- Shi, R.; Li, Z.; Yu, H.; Shang, L.; Zhou, C.; Waterhouse, G.I.N.; Wu, L.Z.; Zhang, T. Effect of Nitrogen Doping Level on the Performance of N-Doped Carbon Quantum Dot/TiO2 Composites for Photocatalytic Hydrogen Evolution. ChemSusChem 2017, 10, 4650–4656. [Google Scholar] [CrossRef]
- Sargin, I.; Yanalak, G.; Arslan, G.; Patir, I.H. Green Synthesized Carbon Quantum Dots as TiO2 Sensitizers for Photocatalytic Hydrogen Evolution. Int. J. Hydrogen Energy 2019, 44, 21781–21789. [Google Scholar] [CrossRef]
- Hu, Z.; Shi, D.; Wang, G.; Gao, T.; Wang, J.; Lu, L.; Li, J. Carbon Dots Incorporated in Hierarchical Macro/Mesoporous g-C3N4/TiO2 as an All-Solid-State Z-Scheme Heterojunction for Enhancement of Photocatalytic H2 Evolution under Visible Light. Appl. Surf. Sci. 2022, 601, 154167. [Google Scholar] [CrossRef]
- Cheng, P.; Yang, Z.; Wang, H.; Cheng, W.; Chen, M.; Shangguan, W.; Ding, G. TiO2-Graphene Nanocomposites for Photocatalytic Hydrogen Production from Splitting Water. Int. J. Hydrogen Energy 2012, 37, 2224–2230. [Google Scholar] [CrossRef]
- Girish, Y.R.; Udayabhanu; Alnaggar, G.; Hezam, A.; Nayan, M.B.; Nagaraju, G.; Byrappa, K. Facile and Rapid Synthesis of Solar-Driven TiO2/g-C3N4 Heterostructure Photocatalysts for Enhanced Photocatalytic Activity. J. Sci. Adv. Mater. Devices 2022, 7, 100419. [Google Scholar] [CrossRef]
- Guan, R.; Wang, L.; Wang, D.; Li, K.; Tan, H.; Chen, Y.; Cheng, X.; Zhao, Z.; Shang, Q.; Sun, Z. Boosting Photocatalytic Hydrogen Production via Enhanced Exciton Dissociation in Black Phosphorus Quantum Dots/TiO2 Heterojunction. Chem. Eng. J. 2022, 435, 135138. [Google Scholar] [CrossRef]
- Huang, G.; Ye, W.; Lv, C.; Butenko, D.S.; Yang, C.; Zhang, G.; Lu, P.; Xu, Y.; Zhang, S.; Wang, H.; et al. Hierarchical Red Phosphorus Incorporated TiO2 Hollow Sphere Heterojunctions toward Superior Photocatalytic Hydrogen Production. J. Mater. Sci. Technol. 2022, 108, 18–25. [Google Scholar] [CrossRef]
- Kunthakudee, N.; Puangpetch, T.; Ramakul, P.; Serivalsatit, K.; Hunsom, M. Light-Assisted Synthesis of Au/TiO2 Nanoparticles for H2 Production by Photocatalytic Water Splitting. Int. J. Hydrogen Energy 2022, 47, 23570–23582. [Google Scholar] [CrossRef]
- Valero, J.M.; Obregón, S.; Colón, G. Active Site Considerations on the Photocatalytic H2 Evolution Performance of Cu-Doped TiO2 Obtained by Different Doping Methods. ACS Catal. 2014, 4, 3320–3329. [Google Scholar] [CrossRef]
- Obregón, S.; Muñoz-Batista, M.J.; Fernández-García, M.; Kubacka, A.; Colón, G. Cu-TiO2 Systems for the Photocatalytic H2 Production: Influence of Structural and Surface Support Features. Appl. Catal. B Environ. 2015, 179, 468–478. [Google Scholar] [CrossRef]
- Li, L.; Cheng, B.; Wang, Y.; Yu, J. Enhanced Photocatalytic H2-Production Activity of Bicomponent NiO/TiO2 Composite Nanofibers. J. Colloid Interface Sci. 2015, 449, 115–121. [Google Scholar] [CrossRef] [PubMed]








| Sample | Maximum H2 Production Rate (μmol/min) | Maximum H2 Production Rate (μmol/(h∙g)) |
|---|---|---|
| TiO2 | 0.150 | 90.0 |
| 50 μL CDs-1/TiO2 | 0.465 | 279.0 |
| 100 μL CDs-1/TiO2 | 0.110 | 66.0 |
| 500 μL CDs-1/TiO2 | 0.179 | 107.4 |
| 50 μL CDs-2/TiO2 | 0.262 | 157.2 |
| 100 μL CDs-2/TiO2 | 0.846 | 507.6 |
| 500 μL CDs-1/TiO2 | 0.315 | 189.0 |
| 50 μL CDs-2-MW/TiO2 | 0.906 | 543.6 |
| 100 μL CDs-2-MW/TiO2 | 0.417 | 250.2 |
| 500 μL CDs-2-MW/TiO2 | 0.378 | 226.8 |
| Photocatalyst | Co-Catalyst | Sacrificial Agent | Maximum H2 Production Rate | Ref. |
|---|---|---|---|---|
| CDs/TiO2 | - | 25% v/v ethanol | 0.906 μmol/min 54.36 μmol/h | This work |
| or | ||||
| 543.6 μmol/(h∙g) | ||||
| - | 15% v/v methanol | 603.92 μmol/(h∙g) | [51] | |
| - | 25% v/v methanol | 9.8 μmol/h | [56] | |
| - Pt | 0.3 M triethanolamine | 472 μmol/(h∙g) 1458 μmol/(h∙g) | [57] | |
| CDs/g-C3N4/TiO2 | Pt | 10% v/v triethanolamine | 580 μmol/(h∙g) | [58] |
| Graphene/TiO2 | Pt | 25% v/v methanol | 668 μmol/h | [59] |
| g-C3N4/TiO2 | - | 20% v/v methanol | 110 μmol/(h∙g) | [60] |
| Black phosphorus quantum dots/TiO2 | - | 20% v/v methanol | 112 μmol/(h∙g) | [61] |
| Red phosphorus/TiO2 | Pt | - | 215.5 μmol/(h∙g) | [62] |
| Au/TiO2 | - | 30% v/v ethanol | 360 μmol/(h∙g) | [63] |
| Cu/TiO2 | - | 10% v/v methanol | 18 mmol/(h∙g) | [64,65] |
| NiO/TiO2 | - | 25% v/v methanol | 337 μmol/(h∙g) | [66] |
Disclaimer/Publisher’s Note: The statements, opinions and data contained in all publications are solely those of the individual author(s) and contributor(s) and not of MDPI and/or the editor(s). MDPI and/or the editor(s) disclaim responsibility for any injury to people or property resulting from any ideas, methods, instructions or products referred to in the content. |
© 2025 by the authors. Licensee MDPI, Basel, Switzerland. This article is an open access article distributed under the terms and conditions of the Creative Commons Attribution (CC BY) license (https://creativecommons.org/licenses/by/4.0/).
Share and Cite
Falara, P.P.; Chatzikonstantinou, N.; Zourou, A.; Tsipas, P.; Sakellis, E.; Alexandratou, E.; Nasikas, N.K.; Kordatos, K.V.; Antoniadou, M. Optimizing Carbon Dot—TiO2 Nanohybrids for Enhanced Photocatalytic Hydrogen Evolution. Materials 2025, 18, 1023. https://doi.org/10.3390/ma18051023
Falara PP, Chatzikonstantinou N, Zourou A, Tsipas P, Sakellis E, Alexandratou E, Nasikas NK, Kordatos KV, Antoniadou M. Optimizing Carbon Dot—TiO2 Nanohybrids for Enhanced Photocatalytic Hydrogen Evolution. Materials. 2025; 18(5):1023. https://doi.org/10.3390/ma18051023
Chicago/Turabian StyleFalara, Pinelopi P., Nikolaos Chatzikonstantinou, Adamantia Zourou, Polychronis Tsipas, Elias Sakellis, Eleni Alexandratou, Nektarios K. Nasikas, Konstantinos V. Kordatos, and Maria Antoniadou. 2025. "Optimizing Carbon Dot—TiO2 Nanohybrids for Enhanced Photocatalytic Hydrogen Evolution" Materials 18, no. 5: 1023. https://doi.org/10.3390/ma18051023
APA StyleFalara, P. P., Chatzikonstantinou, N., Zourou, A., Tsipas, P., Sakellis, E., Alexandratou, E., Nasikas, N. K., Kordatos, K. V., & Antoniadou, M. (2025). Optimizing Carbon Dot—TiO2 Nanohybrids for Enhanced Photocatalytic Hydrogen Evolution. Materials, 18(5), 1023. https://doi.org/10.3390/ma18051023

