Contribution of Active Surface of NiFe-Layered Double Hydroxide on the Removal of Methyl Orange
Abstract
1. Introduction
2. Experimental Part
2.1. Materials
2.2. Synthesis of NiFe-LDH
2.2.1. NiFe-LDH Prepared by Co-Precipitation Method
2.2.2. Preparation of Single-Layer NiFe-LDH
2.3. Removal of MO by NiFe-LDH
2.3.1. Removal of MO by NiFe-LDH Prepared Based on Co-Precipitation Method
2.3.2. Removal of MO in the Preparation Process of NiFe-LDH (One-Step Method)
2.4. Strategy Study on the Removal Rate Improvement
2.5. Chemical Quenching Experiments
2.6. Characterization
3. Results and Discussion
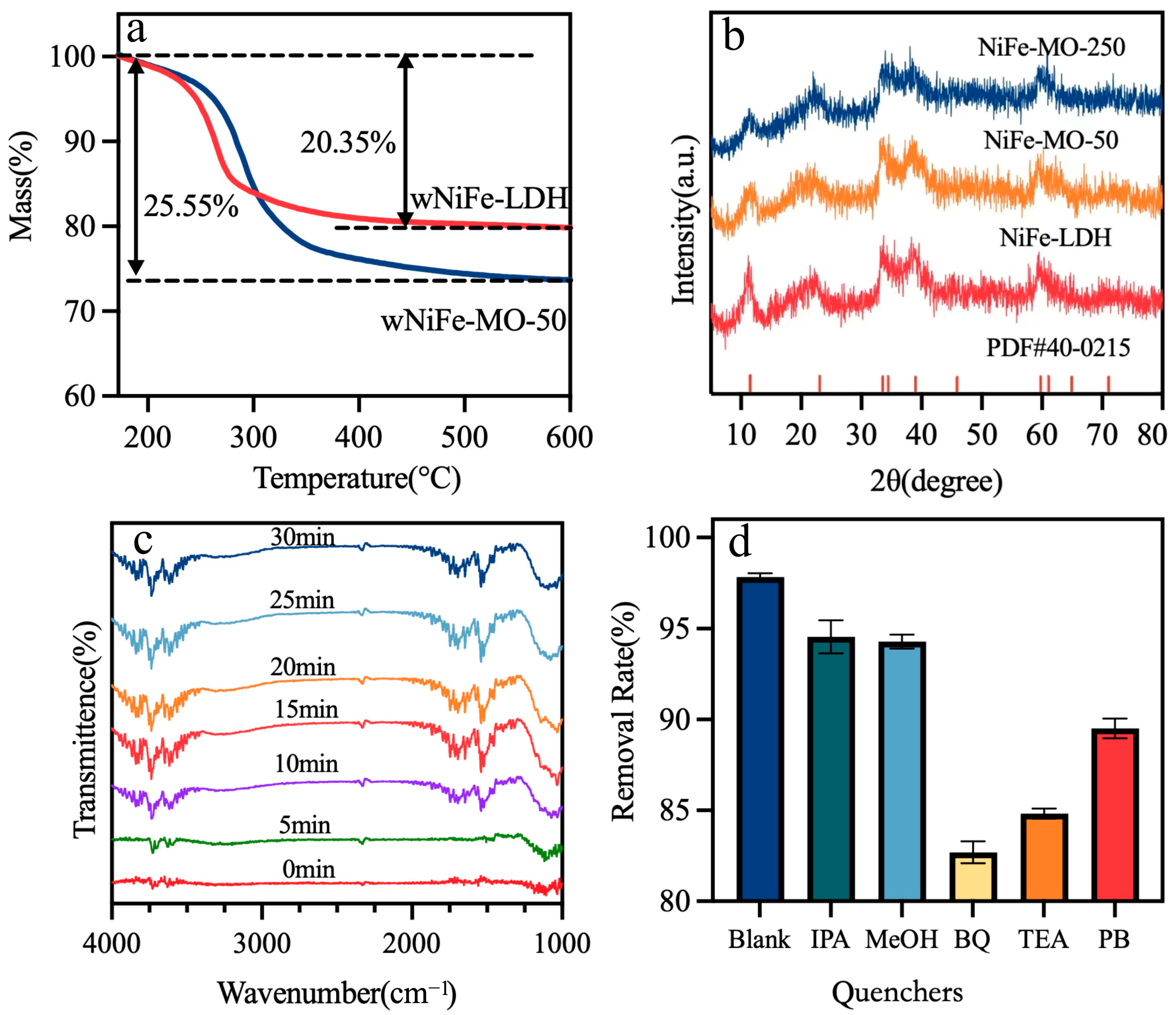
3.1. Preparation and Characterization of NiFe-LDHs
3.2. Removal Efficiency of MO by NiFe-LDH
3.2.1. Removal Efficiency of MO by NiFe-LDH with Different Content of Active Surface
3.2.2. Effect of Ni/Fe Ratio and Initial Concentration on Removal Rate of MO
3.3. Removal Mechanism of MO with wNiFe-LDH
3.3.1. Thermal Analysis and Reaction Species Identification
3.3.2. Insights into the Contribution of -OH Groups and Vacancy on the Active Surface
3.3.3. Removal Mechanism of MO with wNiFe-LDH
3.4. Further Improvement of MO Removal Rate
3.4.1. Strategy Study on the Removal Rate Improvement
3.4.2. Removal Mechanism with the Effect of K2S2O8
4. Conclusions
Supplementary Materials
Author Contributions
Funding
Institutional Review Board Statement
Informed Consent Statement
Data Availability Statement
Conflicts of Interest
References
- Sandhya, S.; Padmavathy, S.; Swaminathan, K.; Subrahmanyam, Y.V.; Kaul, S.N. Microaerophilic–Aerobic Sequential Batch Reactor for Treatment of Azo Dyes Containing Simulated Wastewater. Process Biochem. 2005, 40, 885–890. [Google Scholar] [CrossRef]
- Rubeena, K.K.; Hari Prasad Reddy, P.; Laiju, A.R.; Nidheesh, P.V. Iron Impregnated Biochars as Heterogeneous Fenton Catalyst for the Degradation of Acid Red 1 Dye. J. Environ. Manag. 2018, 226, 320–328. [Google Scholar] [CrossRef]
- Singh, K.; Arora, S. Removal of Synthetic Textile Dyes From Wastewaters: A Critical Review on Present Treatment Technologies. Crit. Rev. Environ. Sci. Technol. 2011, 41, 807–878. [Google Scholar] [CrossRef]
- Khatri, A.; Peerzada, M.H.; Mohsin, M.; White, M. A Review on Developments in Dyeing Cotton Fabrics with Reactive Dyes for Reducing Effluent Pollution. J. Clean. Prod. 2015, 87, 50–57. [Google Scholar] [CrossRef]
- Liu, L.; Gao, Z.Y.; Su, X.P.; Chen, X.; Jiang, L.; Yao, J.M. Absorption Removal of Dyes from Single and Binary Solutions Using a Cellulose-Based Bioadsorbent. ACS Sustain. Chem. Eng. 2015, 3, 432–442. [Google Scholar] [CrossRef]
- Nayak, S.; Parida, K. Superactive NiFe-LDH/Graphene Nanocomposites as Competent Catalysts for Water Splitting Reactions. Inorg. Chem. Front. 2020, 7, 3805–3836. [Google Scholar] [CrossRef]
- Kang, N.; Zhou, W.; Qi, Z.; Li, Y.; Wang, Z.; Li, Q.; Lv, K. Recent Progress of Natural Mineral Materials in Environmental Remediation. Catalysts 2022, 12, 996. [Google Scholar] [CrossRef]
- Chen, N.; Fang, G.; Zhou, D.; Gao, J. Effects of clay minerals on diethyl phthalate degradation in Fenton reactions. Chemosphere 2016, 165, 52–58. [Google Scholar] [CrossRef] [PubMed]
- Zhang, X.; Chen, S.; Rehman, A.U.; Zhang, S.; Zhang, Q.; Liu, Y.; Li, S. Emerging Catalytic Strategies Driven by External Field for Heavy Metal Remediation. Catalysts 2024, 14, 602. [Google Scholar] [CrossRef]
- Fan, G.; Li, F.; Evans, D.G.; Duan, X. Catalytic Applications of Layered Double Hydroxides: Recent Advances and Perspectives. Chem. Soc. Rev. 2014, 43, 7040–7066. [Google Scholar] [CrossRef] [PubMed]
- Boumeriame, H.; Da Silva, E.S.; Cherevan, A.S.; Chafik, T.; Faria, J.L.; Eder, D. Layered Double Hydroxide (LDH)-Based Materials: A Mini-Review on Strategies to Improve the Performance for Photocatalytic Water Splitting. J. Energy Chem. 2022, 64, 406–431. [Google Scholar] [CrossRef]
- Alejandre, A.; Medina, F.; Rodriguez, X.; Salagre, P.; Cesteros, Y.; Sueiras, J.E. Cu/Ni/Al Layered Double Hydroxides as Precursors of Catalysts for the Wet Air Oxidation of Phenol Aqueous Solutions. Appl. Catal. B Environ. 2001, 30, 195–207. [Google Scholar] [CrossRef]
- Chen, H.; Hu, L.; Chen, M.; Yan, Y.; Wu, L. Nickel–Cobalt Layered Double Hydroxide Nanosheets for High-performance Supercapacitor Electrode Materials. Adv. Funct. Mater. 2014, 24, 934–942. [Google Scholar] [CrossRef]
- Li, X.; Xin, M.; Guo, S.; Cai, T.; Du, D.; Xing, W.; Zhao, L.; Guo, W.; Xue, Q.; Yan, Z. Insight of Synergistic Effect of Different Active Metal Ions in Layered Double Hydroxides on Their Electrochemical Behaviors. Electrochim. Acta 2017, 253, 302–310. [Google Scholar] [CrossRef]
- Asif, M.B.; Kang, H.; Zhang, Z. Assembling CoAl-layered metal oxide into the gravity-driven catalytic membrane for Fenton-like catalytic degradation of pharmaceuticals and personal care products. Chem. Eng. J. 2023, 463, 142340. [Google Scholar] [CrossRef]
- Zhang, J.; Liu, Y.; Zhang, Z. Nanoconfined Catalytic Water Purification within CoFeCu LDH-Assembled Membrane Nanochannels. Appl. Catal. B: Environ. Energy 2024, 357, 124290. [Google Scholar] [CrossRef]
- Jiang, D.B.; Jing, C.; Yuan, Y.; Feng, L.; Liu, X.; Dong, F.; Dong, B.; Zhang, Y.X. 2D-2D Growth of NiFe LDH Nanoflakes on Montmorillonite for Cationic and Anionic Dye absorption Performance. J. Colloid Interface Sci. 2019, 540, 398–409. [Google Scholar] [CrossRef]
- Zaghloul, A.; Benhiti, R.; Ichou, A.A.; Carja, G.; Soudani, A.; Zerbet, M.; Sinan, F.; Chiban, M. Characterization and application of MgAl layered double hydroxide for methyl orange removal from aqueous solution. Mater. Today 2021, 37, 3793–3797. [Google Scholar] [CrossRef]
- El Mersly, L.; El Mouchtari, E.M.; Moujahid, E.M.; Forano, C.; El Haddad, M.; Briche, S.; Alaoui Tahiri, A.; Rafqah, S. ZnCr-LDHs with Dual Adsorption and Photocatalysis Capability for the Removal of Acid Orange 7 Dye in Aqueous Solution. J. Sci. Adv. Mater. Devices 2021, 6, 118–126. [Google Scholar] [CrossRef]
- Saeed, M.; Ibrahim, M.; Muneer, M.; Akram, N.; Usman, M.; Maqbool, I.; Adeel, M.; Nisar, A. ZnO–TiO2: Synthesis, Characterization and Evaluation of Photo Catalytic Activity towards Degradation of Methyl Orange. Z. Phys. Chem. 2021, 235, 225–237. [Google Scholar] [CrossRef]
- Lin, C.; Su, J.; Chen, Z.; Zhang, S.; Gong, Q.; Qu, Y.; Fei, J.; Ye, X.; Zhang, J. Photocatalytic Oxidative Degradation of Methyl Orange by a Novel G-C3N4@ZnO Based on Graphene Oxide Composites with Ternary Heterojunction Construction. React. Kinet. Mech. Catal. 2022, 135, 1651–1664. [Google Scholar] [CrossRef]
- Bellifa, A.; Makhlouf, M.; Hechemi Boumila, Z. Comparative Study of the Adsorption of Methyl Orange by Bentonite and Activated Carbon. Acta Phys. Pol. A 2017, 132, 466–468. [Google Scholar] [CrossRef]
- Pavithran, P.; John, R.M.; George, S.C.; Raju, N.M. Highly Efficient Removal of Chromium, Methylene Blue and Methyl Orange Using Electrospun Polyurethane as a Support in Heterogeneous Fenton Reaction. Environ. Process. 2024, 11, 17. [Google Scholar] [CrossRef]
- Mian, M.M.; Liu, G. Activation of Peroxymonosulfate by Chemically Modified Sludge Biochar for the Removal of Organic Pollutants: Understanding the Role of Active Sites and Mechanism. Chem. Eng. J. 2020, 392, 123681. [Google Scholar] [CrossRef]
- Vayssilov, G.N.; Lykhach, Y.; Migani, A.; Staudt, T.; Petrova, G.P.; Tsud, N.; Skála, T.; Bruix, A.; Illas, F.; Prince, K.C.; et al. Support Nanostructure Boosts Oxygen Transfer to Catalytically Active Platinum Nanoparticles. Nat. Mater. 2011, 10, 310–315. [Google Scholar] [CrossRef] [PubMed]
- Gong, M.; Li, Y.; Wang, H.; Liang, Y.; Wu, J.Z.; Zhou, J.; Wang, J.; Regier, T.; Wei, F.; Dai, H. An Advanced Ni–Fe Layered Double Hydroxide Electrocatalyst for Water Oxidation. J. Am. Chem. Soc. 2013, 135, 8452–8455. [Google Scholar] [CrossRef] [PubMed]
- Wang, Y.; Xie, C.; Zhang, Z.; Liu, D.; Chen, R.; Wang, S. In Situ Exfoliated, N-Doped, and Edge-Rich Ultrathin Layered Double Hydroxides Nanosheets for Oxygen Evolution Reaction. Adv. Funct. Mater. 2018, 28, 1703363. [Google Scholar] [CrossRef]
- Feng, X.; Jiao, Q.; Chen, W.; Dang, Y.; Dai, Z.; Suib, S.L.; Zhang, J.; Zhao, Y.; Li, H.; Feng, C. Cactus-like NiCo2S4@NiFe LDH Hollow Spheres as an Effective Oxygen Bifunctional Electrocatalyst in Alkaline Solution. Appl. Catal. B Environ. 2021, 286, 119869. [Google Scholar] [CrossRef]
- Bodhankar, P.M.; Sarawade, P.B.; Singh, G.; Vinu, A.; Dhawale, D.S. Recent Advances in Highly Active Nanostructured NiFe LDH Catalyst for Electrochemical Water Splitting. J. Mater. Chem. A 2021, 9, 3180–3208. [Google Scholar] [CrossRef]
- Li, F.; Wang, Y.; Yang, Q.; Evans, D.G.; Forano, C.; Duan, X. Study on absorption of Glyphosate (N-Phosphonomethyl Glycine) Pesticide on MgAl-Layered Double Hydroxides in Aqueous Solution. J. Hazard. Mater. 2005, 125, 89–95. [Google Scholar] [CrossRef]
- Chaara, D.; Bruna, F.; Ulibarri, M.A.; Draoui, K.; Barriga, C.; Pavlovic, I. Organo/Layered Double Hydroxide Nanohybrids Used to Remove Non Ionic Pesticides. J. Hazard. Mater. 2011, 196, 350–359. [Google Scholar] [CrossRef]
- Wang, B.; Han, X.; Guo, C.; Jing, J.; Yang, C.; Li, Y.; Han, A.; Wang, D.; Liu, J. Structure Inheritance Strategy from MOF to Edge-Enriched NiFe-LDH Array for Enhanced Oxygen Evolution Reaction. Appl. Catal. B Environ. 2021, 298, 120580. [Google Scholar] [CrossRef]
- Yang, X.; Wan, Z.; Lin, S.; Zhou, L. Recycling Strategy for Spent Lithium-Ion Batteries as an Ultra-Efficiency Peroxymonosulfate Activator. Ind. Eng. Chem. Res. 2023, 62, 9104–9113. [Google Scholar] [CrossRef]
- Vennapoosa, C.S.; Karmakar, A.; Prabhu, Y.T.; Abraham, B.M.; Kundu, S.; Pal, U. Rh-Doped Ultrathin NiFeLDH Nanosheets Drive Efficient Photocatalytic Water Splitting. Int. J. Hydrog. Energy 2024, 52, 371–384. [Google Scholar] [CrossRef]
- Najafi, M.; Bastami, T.R.; Binesh, N.; Ayati, A.; Emamverdi, S. Sono-Sorption versus absorption for the Removal of Congo Red from Aqueous Solution Using NiFeLDH/Au Nanocomposite: Kinetics, Thermodynamics, Isotherm Studies, and Optimization of Process Parameters. J. Ind. Eng. Chem. 2022, 116, 489–503. [Google Scholar] [CrossRef]
- Song, J.; Chen, S.; Lyu, R.; Zhang, D.; Hong, J. Facile Synthesis of Hyperbranched Magnetic Nanospheres for Highly Efficient Removal of Methyl Orange. New J. Chem. 2024, 48, 9945–9953. [Google Scholar] [CrossRef]
- Zubair, M.; Jarrah, N.; Ihsanullah; Khalid, A.; Manzar, M.S.; Kazeem, T.S.; Al-Harthi, M.A. Starch-NiFe-Layered Double Hydroxide Composites: Efficient Removal of Methyl Orange from Aqueous Phase. J. Mol. Liq. 2018, 249, 254–264. [Google Scholar] [CrossRef]
- Wu, L.; Sun, Z.; Zhen, Y.; Zhu, S.; Yang, C.; Lu, J.; Tian, Y.; Zhong, D.; Ma, J. Oxygen Vacancy-Induced Nonradical Degradation of Organics: Critical Trigger of Oxygen (O2) in the Fe–Co LDH/Peroxymonosulfate System. Environ. Sci. Technol. 2021, 55, 15400–15411. [Google Scholar] [CrossRef]
- Ma, S.; Chen, D.; Zhong, Y.; Feng, Y.; He, Z.; Zhang, W.; Zhang, Y.; Ding, H.; Wu, X. Oxygen Vacancy Simultaneously Inducing Peroxymonosulfate Activation and Photocatalytic Reaction for Highly Efficient Ciprofloxacin Degradation. Chem. Eng. J. 2023, 467, 143385. [Google Scholar] [CrossRef]
- Delmo, E.P.; Wang, Y.; Song, Y.; Zhu, S.; Zhang, H.; Xu, H.; Li, T.; Jang, J.; Kwon, Y.; Wang, Y.; et al. In Situ Infrared Spectroscopic Evidence of Enhanced Electrochemical CO2 Reduction and C–C Coupling on Oxide-Derived Copper. J. Am. Chem. Soc. 2024, 146, 1935–1945. [Google Scholar] [CrossRef] [PubMed]
- Lin, Y.; Wang, H.; Peng, C.; Bu, L.; Chiang, C.; Tian, K.; Zhao, Y.; Zhao, J.; Lin, Y.; Lee, J.; et al. Co-Induced Electronic Optimization of Hierarchical NiFe LDH for Oxygen Evolution. Small 2020, 16, 2002426. [Google Scholar] [CrossRef] [PubMed]
- Liao, Y.; He, R.; Pan, W.; Li, Y.; Wang, Y.; Li, J.; Li, Y. Lattice Distortion Induced Ce-Doped NiFe-LDH for Efficient Oxygen Evolution. Chem. Eng. J. 2023, 464, 142669. [Google Scholar] [CrossRef]
- Duan, X.; Getaye Sendeku, M.; Zhang, D.; Zhou, D.; Xu, L.; Gao, X.; Chen, A.; Kuang, Y.; Sun, X. Tungsten-Doped NiFe-Layered Double Hydroxides as Efficient Oxygen Evolution Catalysts. Acta Phys. Chim. Sin. 2023, 40, 2303055. [Google Scholar] [CrossRef]
- Hunter, B.M.; Hieringer, W.; Winkler, J.R.; Gray, H.B.; Müller, A.M. Effect of Interlayer Anions on [NiFe]-LDH Nanosheet Water Oxidation Activity. Energy Environ. Sci. 2016, 9, 1734–1743. [Google Scholar] [CrossRef]
- Zheng, Y.; Cheng, B.; You, W.; Yu, J.; Ho, W. 3D Hierarchical Graphene Oxide-NiFe LDH Composite with Enhanced absorption Affinity to Congo Red, Methyl Orange and Cr(VI) Ions. J. Hazard. Mater. 2019, 369, 214–225. [Google Scholar] [CrossRef]
- Du, Z.; Wang, D.; Zhang, X.; Yi, Z.; Tang, J.; Yang, P.; Cai, R.; Yi, S.; Rao, J.; Zhang, Y. Core-Shell Structured SiO2@NiFe LDH Composite for Broadband Electromagnetic Wave Absorption. Int. J. Mol. Sci. 2022, 24, 504. [Google Scholar] [CrossRef]
- Lu, H.; Sui, M.; Yuan, B.; Wang, J.; Lv, Y. Efficient Degradation of Nitrobenzene by Cu-Co-Fe-LDH Catalyzed Peroxymonosulfate to Produce Hydroxyl Radicals. Chem. Eng. J. 2019, 357, 140–149. [Google Scholar] [CrossRef]
- Ren, W.; Xiong, L.; Nie, G.; Zhang, H.; Duan, X.; Wang, S. Insights into the Electron-Transfer Regime of Peroxydisulfate Activation on Carbon Nanotubes: The Role of Oxygen Functional Groups. Environ. Sci. Technol. 2020, 54, 1267–1275. [Google Scholar] [CrossRef] [PubMed]
- Peng, X.; Wang, Z.; Huang, J.; Pittendrigh, B.R.; Liu, S.; Jia, X.; Wong, P.K. Efficient Degradation of Tetrabromobisphenol A by Synergistic Integration of Fe/Ni Bimetallic Catalysis and Microbial Acclimation. Water Res. 2017, 122, 471–480. [Google Scholar] [CrossRef]
- Yan, J.; Chen, Y.; Qian, L.; Gao, W.; Ouyang, D.; Chen, M. Heterogeneously Catalyzed Persulfate with a CuMgFe Layered Double Hydroxide for the Degradation of Ethylbenzene. J. Hazard. Mater. 2017, 338, 372–380. [Google Scholar] [CrossRef]
- Lu, H.; Zhu, Z.; Zhang, H.; Zhu, J.; Qiu, Y.; Zhu, L.; Küppers, S. Fenton-Like Catalysis and Oxidation/absorption Performances of Acetaminophen and Arsenic Pollutants in Water on a Multimetal Cu–Zn–Fe-LDH. ACS Appl. Mater. Interfaces 2016, 8, 25343–25352. [Google Scholar] [CrossRef] [PubMed]
- Zeng, H.; Zhang, W.; Deng, L.; Luo, J.; Zhou, S.; Liu, X.; Pei, Y.; Shi, Z.; Crittenden, J. Degradation of Dyes by Peroxymonosulfate Activated by Ternary CoFeNi-Layered Double Hydroxide: Catalytic Performance, Mechanism and Kinetic Modeling. J. Colloid Interface Sci. 2018, 515, 92–100. [Google Scholar] [CrossRef] [PubMed]
- Li, H.; Shang, J.; Yang, Z.; Shen, W.; Ai, Z.; Zhang, L. Oxygen Vacancy Associated Surface Fenton Chemistry: Surface Structure Dependent Hydroxyl Radicals Generation and Substrate Dependent Reactivity. Environ. Sci. Technol. 2017, 51, 5685–5694. [Google Scholar] [CrossRef] [PubMed]






| Samples | C After Reaction (mg/L) | Removal Rate (%) |
|---|---|---|
| S-MO | 202.15 | 19.14 |
| wNiFe-MO | 98.33 | 60.67 |
| S-wNiFe-MO | 99.28 | 60.29 |
| S-MO-wNiFe | / | 100 |
| wNiFe-MO-S | / | 100 |
Disclaimer/Publisher’s Note: The statements, opinions and data contained in all publications are solely those of the individual author(s) and contributor(s) and not of MDPI and/or the editor(s). MDPI and/or the editor(s) disclaim responsibility for any injury to people or property resulting from any ideas, methods, instructions or products referred to in the content. |
© 2025 by the authors. Licensee MDPI, Basel, Switzerland. This article is an open access article distributed under the terms and conditions of the Creative Commons Attribution (CC BY) license (https://creativecommons.org/licenses/by/4.0/).
Share and Cite
Zhao, Y.; Lv, F.; Ou, Y.; Lv, G.; Zhao, S. Contribution of Active Surface of NiFe-Layered Double Hydroxide on the Removal of Methyl Orange. Materials 2025, 18, 911. https://doi.org/10.3390/ma18040911
Zhao Y, Lv F, Ou Y, Lv G, Zhao S. Contribution of Active Surface of NiFe-Layered Double Hydroxide on the Removal of Methyl Orange. Materials. 2025; 18(4):911. https://doi.org/10.3390/ma18040911
Chicago/Turabian StyleZhao, Yanping, Fengzhu Lv, Yanwen Ou, Guocheng Lv, and Shifeng Zhao. 2025. "Contribution of Active Surface of NiFe-Layered Double Hydroxide on the Removal of Methyl Orange" Materials 18, no. 4: 911. https://doi.org/10.3390/ma18040911
APA StyleZhao, Y., Lv, F., Ou, Y., Lv, G., & Zhao, S. (2025). Contribution of Active Surface of NiFe-Layered Double Hydroxide on the Removal of Methyl Orange. Materials, 18(4), 911. https://doi.org/10.3390/ma18040911
