Effect of Grain Size on Thermophysical Properties in Twinning-Induced Plasticity Steel
Abstract
1. Introduction
2. Experimental Procedures
2.1. Materials Preparation
2.2. Measurement of Microstructure and Mechanical Properties
2.3. Measurement of Thermophysical Properties
3. Results and Discussion
3.1. Microstructure and Mechanical Properties
3.2. Thermal Expansion Coefficient, Density, and Specific Heat Capacity
3.3. Thermal Diffusivity and Conductivity
4. Conclusions
- The β and density in TWIP steel showed minimal variation with grain size, suggesting that the grain size does not significantly affect these properties within the tested range. The average β from 25 to 900 °C in this TWIP steel was approximately 22.4 × 10−6 °C−1. Meanwhile, the β of the TWIP steels was higher compared with that of plain carbon steels (13–15 × 10−6 °C−1), such as interstitial free (IF) steel and low-carbon steel, and slightly higher compared with that of stainless steels (18–21 × 10−6 °C−1), such as X10NiCrMoTiB1515 steel and 18Cr-9Ni-2.95Cu-0.58Nb-0.1C steel, both possessing an FCC structure.
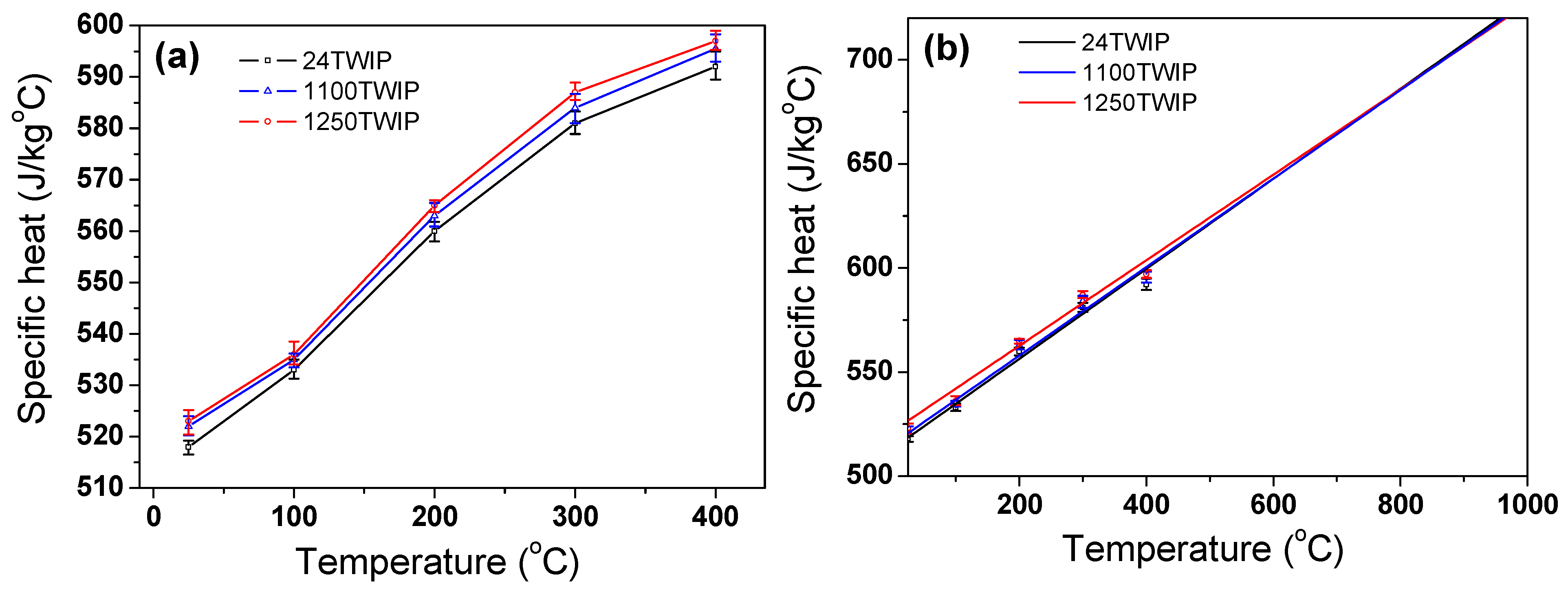
- The cp of TWIP steel increased with temperature because the major factor affecting cp is the lattice vibrations. As the temperature increases, atomic vibrations become more active, allowing the material to store more thermal energy, resulting in an increase in cp. Meanwhile, cp slightly increased with increasing grain size. Grain boundaries contain atoms with irregular arrangements, which can suppress lattice vibrations and reduce the material’s ability to store thermal energy, resulting in a decrease in cp.
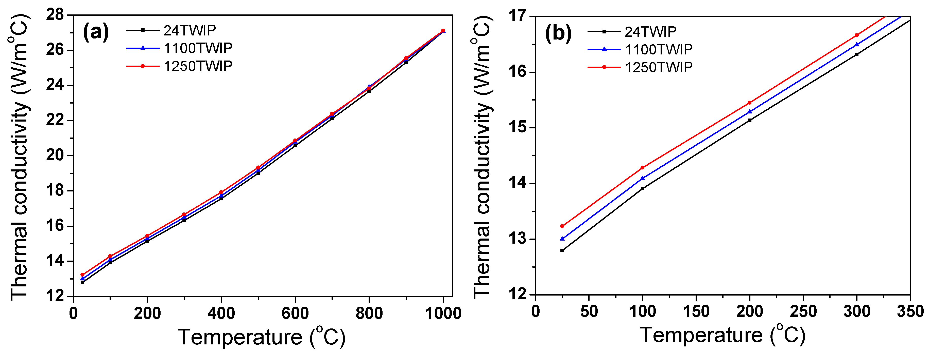
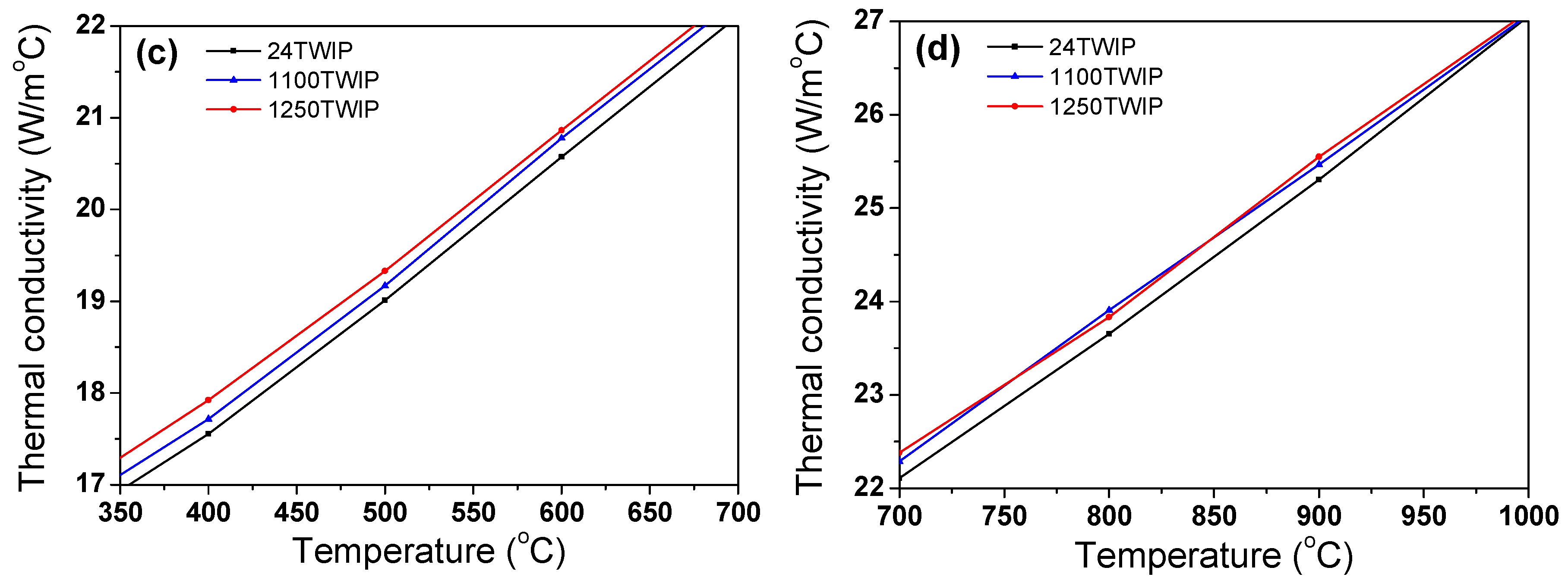
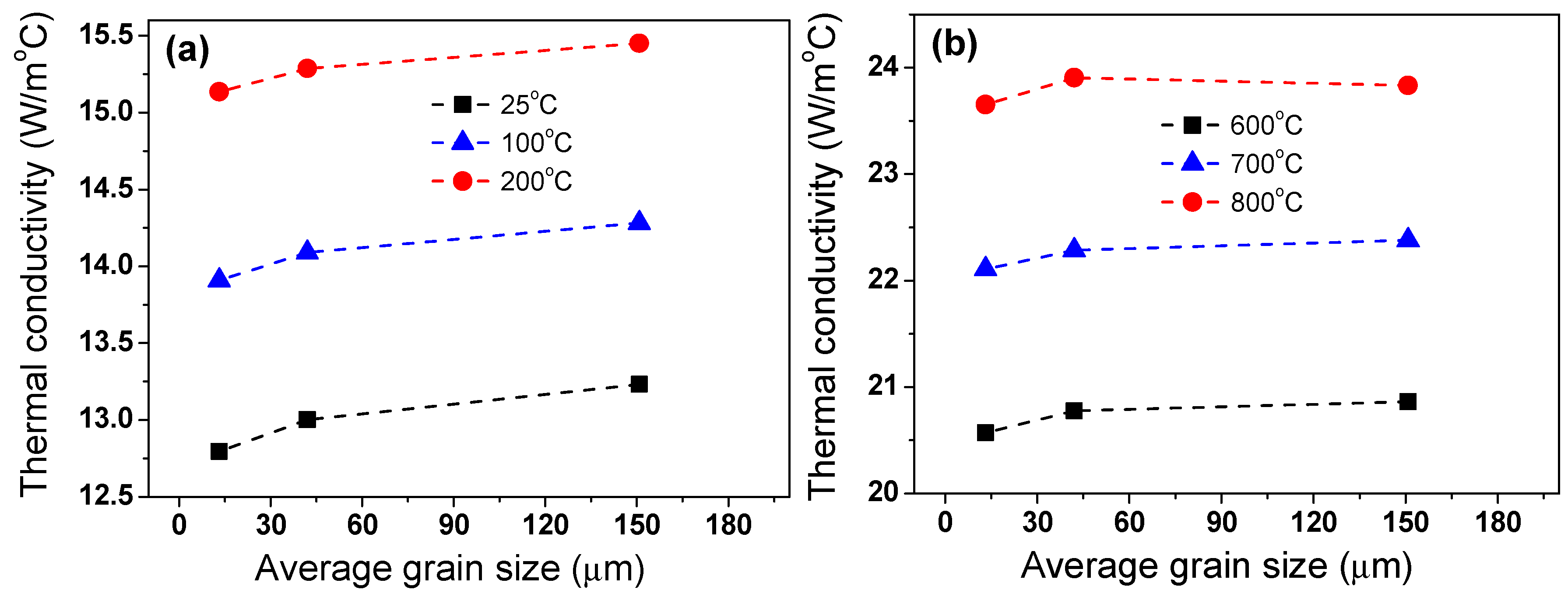
- The k of TWIP steel increased as temperature increased, consistent with the behavior observed in other high-alloy metals. In addition, k slightly increased with grain size, especially at lower temperatures, due to the increased grain boundary scattering of free electrons and phonons. This trend aligns with the Kapitza resistance model, which emphasizes grain boundaries as critical scattering centers for heat transfer in materials. However, in the high-temperature region, changes in grain size have little effect on k in TWIP steel, indicating that the impact of grain size on k was more pronounced at lower temperatures.
- While TWIP steel with refined grains exhibited higher yield and tensile strengths, this came with a decrease in total elongation and k. Thus, optimizing grain size to enhance both mechanical and thermal properties presents a challenge.
- The k in TWIP steel was substantially lower compared with that of carbon steels, such as AISI 4340 steel and 26NiCrMoV10 steel, especially at low temperatures, due to its higher alloy content. At room temperature, the k of TWIP steels and plain carbon steels were approximately 13 W/m°C and 45 W/m°C, respectively. In contrast, in higher temperature ranges where FCC structures are predominant, the difference in k between TWIP steels and plain carbon steels diminished, primarily due to reduced electron mobility from enhanced phonon scattering. At 800 °C, for example, TWIP and plain carbon steels exhibited k values of approximately 24 W/m°C and 29 W/m°C, respectively.
Funding
Institutional Review Board Statement
Informed Consent Statement
Data Availability Statement
Acknowledgments
Conflicts of Interest
References
- Kuziak, R.; Kawalla, R.; Waengler, S. Advanced high strength steels for automotive industry. Arch. Civ. Mech. Eng. 2008, 8, 103–117. [Google Scholar] [CrossRef]
- Grassel, O.; Kruger, L.; Frommeyer, G.; Meyer, L.W. High strength Fe-Mn-(Al, Si) TRIP/TWIP steels development-properties-application. Int. J. Plast. 2000, 16, 1391–1409. [Google Scholar] [CrossRef]
- Chun, Y.S.; Lee, J.; Bae, C.M.; Prak, K.T.; Lee, C.S. Caliber-rolled TWIP steel for high-strength wire rods with enhanced hydrogen-delayed fracture resistance. Scr. Mater. 2012, 67, 681–684. [Google Scholar] [CrossRef]
- So, K.H.; Kim, J.S.; Chun, Y.S.; Park, K.T.; Lee, Y.K.; Lee, C.S. Hydrogen delayed fracture properties and internal hydrogen behavior of a Fe-18Mn-1.5Al-0.6C TWIP steel. ISIJ Int. 2009, 49, 1952–1959. [Google Scholar] [CrossRef]
- Renard, K.; Jacques, P.J. On the relationship between work hardening and twinning rate in TWIP steels. Mater. Sci. Eng. A 2012, 542, 8–14. [Google Scholar] [CrossRef]
- Zambrano, O.A. A general perspective of Fe–Mn–Al–C steels. J. Mater. Sci. 2018, 53, 14003–14062. [Google Scholar] [CrossRef]
- Dastur, Y.N.; Leslie, W.C. Mechanism of work hardening in Hadfield manganese steel. Metall. Trans. A 1981, 12, 749–759. [Google Scholar] [CrossRef]
- De Cooman, B.C.; Estrin, Y.; Kim, S.K. Twinning-induced plasticity (TWIP) steels. Acta Mater. 2018, 142, 283–362. [Google Scholar] [CrossRef]
- Lee, Y.K. Microstructural evolution during plastic deformation of twinning-induced plasticity steels. Scr. Mater. 2012, 66, 1002–1006. [Google Scholar] [CrossRef]
- Luo, Z.C.; Huang, M.X. The role of interstitial carbon atoms on the strain-hardening rate of twinning-induced plasticity steels. Scr. Mater. 2020, 178, 264–268. [Google Scholar] [CrossRef]
- Cui, E.X.; Chen, T.J.; Shen, Y.F.; Jia, N.; Wang, Z.D.; Fan, Z.J. Superior combination of strength and ductility in Fe-20Mn-0.6 C steel processed by asymmetrical rolling. Mater. Today Commun. 2024, 40, 110064. [Google Scholar] [CrossRef]
- Hwang, J.K. Effect of stress states on the twinning behavior in twinning-induced plasticity steel. J. Mater. Eng. Perform. 2019, 28, 4811–4825. [Google Scholar] [CrossRef]
- Shen, Y.F.; Wang, Y.D.; Liu, X.P.; Sun, X.; Peng, R.L.; Zhang, S.Y.; Zuo, L.; Liaw, P.K. Deformation mechanisms of a 20Mn TWIP steel investigated by in situ neutron diffraction and TEM. Acta Mater. 2013, 61, 6093–6106. [Google Scholar] [CrossRef]
- Peet, M.J.; Hasan, H.S.; Bhadeshia, H. Prediction of thermal conductivity of steel. Int. J. Heat Mass Transf. 2011, 54, 2602–2608. [Google Scholar] [CrossRef]
- Fakir, R.; Barka, N.; Brousseau, J. Case study of laser hardening process applied to 4340 steel cylindrical specimens using simulation and experimental validation. Case Stud. Therm. Eng. 2018, 11, 15–25. [Google Scholar]
- Mayrhofer, M.; Koller, M.; Seemann, P.; Prieler, R.; Hochenauer, C. CFD investigation of a vertical annealing furnace for stainless steel and non-ferrous alloys strips–A comparative study on air-staged & MILD combustion. Therm. Sci. Eng. Prog. 2022, 28, 101056. [Google Scholar]
- Xu, G.; Deng, P.; Wang, G.X.; Cao, L.F.; Liu, F. Measurement of expansion coefficients of four steel types. Ironmak. Steelmak. 2013, 40, 613–618. [Google Scholar] [CrossRef]
- Rudtsch, S.; Ebert, H.P.; Hemberger, F.; Barth, G.; Brandt, R.; Groß, U.; Hohenauer, W.; Jaenicke-Roessler, K.; Kaschnitz, E.; Pfaff, E.; et al. Intercomparison of thermophysical property measurements on an austenitic stainless steel. Int. J. Thermophys. 2005, 26, 855–867. [Google Scholar] [CrossRef]
- Tripathy, H.; Rai, A.K.; Hajra, R.N.; Shanthi, N.V.; Subramanian, R.; Saibaba, S. High-temperature thermophysical properties of 18Cr–9Ni–2.95 Cu–0.58 Nb–0.1 C (mass%) austenitic stainless steel. J. Therm. Anal. Calorim. 2018, 131, 2749–2761. [Google Scholar] [CrossRef]
- Ebert, H.P.; Braxmeier, S.; Neubert, D. Intercomparison of thermophysical property measurements on iron and steels. Int. J. Thermophys. 2019, 40, 96. [Google Scholar] [CrossRef]
- Kim, S.J.; Lee, T.; Hwang, J.K. High-strength bolt manufactured by an extrusion-based forming process using twinning-induced plasticity steel. J. Manuf. Process 2020, 59, 33–42. [Google Scholar] [CrossRef]
- Bouaziz, O.; Allain, S.; Scott, C.P.; Cugy, P.; Barbier, D. High manganese austenitic twinning induced plasticity steels: A review of the microstructure properties relationships. Curr. Opin. Solid State Mater. Sci. 2011, 15, 141–168. [Google Scholar] [CrossRef]
- Yang, H.K.; Zhang, Z.J.; Zhang, Z.F. Comparison of work hardening and deformation twinning evolution in Fe-22Mn-0.6C-(1.5Al) twinning-induced plasticity steels. Scr. Mater. 2013, 68, 992–995. [Google Scholar] [CrossRef]
- Hwang, J.K. Effect of grain size on tensile and wire drawing behaviors in twinning-induced plasticity steel. Mater. Sci. Eng. A 2020, 772, 138709. [Google Scholar] [CrossRef]
- Gutierrez-Urrutia, I.; Zaefferer, S.; Raabe, D. The effect of grain size and grain orientation on deformation twinning in a Fe-22Mn-0.6C TWIP steel. Mater. Sci. Eng. A 2010, 527, 3552–3560. [Google Scholar] [CrossRef]
- Lee, S.I.; Lee, S.Y.; Han, J.; Hwang, B. Deformation behavior and tensile properties of an austenitic Fe-24Mn-4Cr-0.5C high-manganese steel: Effect of grain size. Mater. Sci. Eng. A 2019, 742, 334–343. [Google Scholar] [CrossRef]
- Kang, S.; Jung, J.G.; Kang, M.; Woo, W.; Lee, Y.K. The effect of grain size on yielding, strain hardening, and mechanical twinning in Fe-18Mn-0.6C-1.5Al twinning-induced plasticity steel. Mater. Sci. Eng. A 2016, 652, 212–220. [Google Scholar] [CrossRef]
- Ueji, R.; Tsuchida, N.; Terada, D.; Tsuji, N.; Tanaka, Y.; Takemura, A.; Kunishige, K. Tensile properties and twinning behavior of high manganese austenitic steel with fine-grained structure. Scr. Mater. 2008, 59, 963–966. [Google Scholar] [CrossRef]
- Dini, G.; Najafizadeh, A.; Ueji, R.; Monir-Vaghefi, S.M. Tensile deformation behavior of high manganese austenitic steel: The role of grain size. Mater. Des. 2010, 31, 3395–3402. [Google Scholar] [CrossRef]
- Lee, S.M.; Lee, S.J.; Lee, S.; Nam, J.H.; Lee, Y.K. Tensile properties and deformation mode of Si-added Fe-18Mn-0.6C steels. Acta Mater. 2018, 144, 738–747. [Google Scholar] [CrossRef]
- Shen, Y.F.; Jia, N.; Misra, R.D.K.; Zuo, L. Softening behavior by excessive twinning and adiabatic heating at high strain rate in a Fe-20Mn-0.6C TWIP steel. Acta Mater. 2016, 103, 229–242. [Google Scholar] [CrossRef]
- Rahman, K.M.; Vorontsov, V.A.; Dye, D. The effect of grain size on the twin initiation stress in a TWIP steel. Acta Mater. 2015, 89, 247–257. [Google Scholar] [CrossRef]
- Tritt, T.M. Thermal Conductivity: Theory, Properties, and Applications; Springer Science & Business Media: Boston, MA, USA, 2005; pp. 21–91. [Google Scholar]
- Klam, H.J.; Hahn, H.; Gleiter, H. The thermal expansion of grain boundaries. Acta Metall. 1987, 35, 2101–2104. [Google Scholar] [CrossRef]
- Denis, S.; Sjöström, S.; Simon, A. Coupled temperature, stress, phase transformation calculation. Metall. Mater. Trans. A 1987, 18, 1203–1212. [Google Scholar] [CrossRef]
- Wang, K.Y.; Jin, Y.J.; Xu, M.J.; Chen, J.S.; Lu, H. Estimation of heat transfer coefficient and phase transformation latent heat by modified pattern search method. Int. Commun. Heat Mass Transf. 2015, 68, 14–19. [Google Scholar] [CrossRef]
- Steau, E.; Mahendran, M.; Poologanathan, K. Elevated temperature thermal properties of carbon steels used in cold-formed light gauge steel frame systems. J. Build. Eng. 2020, 28, 101074. [Google Scholar] [CrossRef]
- Hwang, J.K. Effect of Plastic Deformation on Thermal Properties in Twinning-Induced Plasticity Steel. Materials 2024, 17, 5263. [Google Scholar] [CrossRef]
- Lin, C.L.; Lee, J.L.; Kuo, S.M.; Li, M.Y.; Gan, L.; Murakami, H.; Mitani, S.; Gorsse, S.; Yeh, A.C. Investigation on the thermal expansion behavior of FeCoNi and Fe30Co30Ni30Cr10-xMnx high entropy alloys. Mater. Chem. Phys. 2021, 271, 124907. [Google Scholar] [CrossRef]
- Kuepferle, J.; Wilzer, J.; Weber, S.; Theisen, W. Thermo-physical properties of heat-treatable steels in the temperature range relevant for hot-stamping applications. J. Mater. Sci. 2015, 50, 2594–2604. [Google Scholar] [CrossRef]
- Incropera, F.P.; Dewitt, D.P.; Bergman, T.L.; Lavine, A.S. Fundamentals of Heat and Mass Transfer, 7th ed.; John Wiley and Sons Ltd.: Chichester, UK, 2012. [Google Scholar]
- Saeed-Akbari, A.; Imlau, J.; Prahl, U.; Bleck, W. Derivation and variation in composition-dependent stacking fault energy maps based on subregular solution model in high-manganese steels. Metall. Mater. Trans. A 2009, 40, 3076–3090. [Google Scholar] [CrossRef]
- Dumay, A.; Chateau, J.P.; Allain, S.; Migot, S.; Bouaziz, O. Influence of addition elements on the stacking-fault energy and mechanical properties of an austenite Fe-Mn-C steel. Mater. Sci. Eng. A 2008, 483–484, 184–187. [Google Scholar] [CrossRef]
- Wu, M.; Chen, J.; Yan, H.; Xia, W.; Su, B.; Deng, Y.; Shen, Y. Effect of Ca addition on the mechanical properties and thermal conductivity of Mg-2Ga alloy. Mater. Sci. Eng. A 2022, 861, 144322. [Google Scholar] [CrossRef]
- Zhang, Y.; Zhang, Z.; Kang, H.; Nagaumi, H.; Yang, X. Development of an extremely dilute Mg-Mn-Ce alloy with high strength-thermal conductivity synergy by low-temperature extrusion. Mater. Lett. 2022, 326, 132965. [Google Scholar] [CrossRef]
- Jin, J.E.; Lee, Y.K. Effect of Al on microstructure and tensile properties of C-bearing high Mn TWIP steel. Acta Mater. 2012, 60, 1680–1688. [Google Scholar] [CrossRef]
- Gu, Y.; Stiles, C.D.; El-Awady, J.A. A statistical perspective for predicting the strength of metals: Revisiting the Hall–Petch relationship using machine learning. Acta Mater. 2024, 266, 119631. [Google Scholar] [CrossRef]
- Liu, Y.; Liu, L.; Wu, Z.; Li, J.; Shen, B.; Hu, W. Grain growth and grain size effects on the thermal expansion properties of an electrodeposited Fe–Ni invar alloy. Scr. Mater. 2010, 63, 359–362. [Google Scholar] [CrossRef]
- Lu, K.; Sui, M.L. Thermal expansion behaviors in nanocrystalline materials with a wide grain size range. Acta Metall. 1995, 43, 3325–3332. [Google Scholar] [CrossRef]
- Van Bohemen, S.M.C. The nonlinear lattice expansion of iron alloys in the range 100–1600 K. Scr. Mater. 2013, 69, 315–318. [Google Scholar] [CrossRef]
- Huiping, L.; Guoqun, Z.; Shanting, N.; Chuanzhen, H. FEM simulation of quenching process and experimental verification of simulation results. Mater. Sci. Eng. A 2007, 452–453, 705–714. [Google Scholar] [CrossRef]
- Zhang, T.; Yan, L.; Li, L.; Huo, M.; Wu, H.; Zha, X.; Wang, N.; Wu, X.; Jiang, F.; Jiang, Z.; et al. Grain size dependence of modified material constitutive model for OFHC copper. J. Mater. Res. Technol. 2022, 20, 2705–2718. [Google Scholar] [CrossRef]
- Roy, A.K.; Das, S.; Shahriar, M.F.; Biswas, G.K.; Das, S. Relation between the thermal conductivity and grain size in a polycrystalline silicene sheet. AIP Conf. Proc. 2018, 1980, 050018. [Google Scholar]
- Chen, S.; Rana, R.; Haldar, A.; Ray, R.K. Current state of Fe-Mn-Al-C low density steels. Prog. Mater. Sci. 2017, 89, 345–391. [Google Scholar] [CrossRef]
- Ahsan, F.; Razmi, J.; Ladani, L. Experimental measurement of thermal diffusivity, conductivity and specific heat capacity of metallic powders at room and high temperatures. Powder Technol. 2020, 374, 648–657. [Google Scholar] [CrossRef]
- Hafenstein, S.; Werner, E.; Wilzer, J.; Theisen, W.; Weber, S.; Sunderkötter, C.; Bachmann, M. Influence of temperature and tempering conditions on thermal conductivity of hot work tool steels for hot stamping applications. Steel Res. Int. 2015, 86, 1628–1635. [Google Scholar] [CrossRef]
- Miura, A.; Osada, T.; Kawagishi, K.; Uchida, K. Thermal transport properties of Ni–Co-based superalloy. AIP Adv. 2020, 10, 125118. [Google Scholar] [CrossRef]
- Chou, H.P.; Chang, Y.S.; Chen, S.K.; Yeh, J.W. Microstructure, thermophysical and electrical properties in AlxCoCrFeNi (0≤ x≤ 2) high-entropy alloys. Mater. Sci. Eng. B 2009, 163, 184–189. [Google Scholar] [CrossRef]
- Fu, J.; Wang, J. Effect of Al Content on the Thermal Conductivity and Corrosion Resistance of Die Steel. J. Mater. Eng. Perform. 2022, 31, 2112–2120. [Google Scholar] [CrossRef]
- Wang, G.; Li, Y. Effects of alloying elements and temperature on thermal conductivity of ferrite. J. Appl. Phys. 2019, 126, 125118. [Google Scholar] [CrossRef]
- Wilzer, J.; Küpferle, J.; Weber, S.; Theisen, W. Influence of alloying elements, heat treatment, and temperature on the thermal conductivity of heat treatable steels. Steel Res. Int. 2015, 86, 1234–1241. [Google Scholar] [CrossRef]
- Oh, G.Y.; Kim, Y.K.; Kim, S.K.; Lim, H.K.; Kim, Y.J. Effects of grain size and texture on thermal conductivity of AZ31 during static recrystallization. Mater. Trans. 2017, 58, 1241–1243. [Google Scholar] [CrossRef]
- Liu, Y.; Bian, Y.; Chernatynskiy, A.; Han, Z. Effect of grain boundary angle on the thermal conductivity of nanostructured bicrystal ZnO based on the molecular dynamics simulation method. Int. J. Heat Mass Transf. 2019, 145, 118791. [Google Scholar] [CrossRef]
- Tong, X.; You, G.; Ding, Y.; Xue, H.; Wang, Y.; Guo, W. Effect of grain size on low-temperature electrical resistivity and thermal conductivity of pure magnesium. Mater. Lett. 2018, 229, 261–264. [Google Scholar] [CrossRef]
- Wang, H.; Du, X.; Shi, Y.; Deng, M.; Wang, J.; Qi, J.; Huang, Z. Grain-size dependent thermal conductivity of Gd2Zr2O7 ceramics. Ceram. Int. 2022, 48, 16444–16448. [Google Scholar] [CrossRef]
- Limarga, A.M.; Clarke, D.R. The grain size and temperature dependence of the thermal conductivity of polycrystalline, tetragonal yttria-stabilized zirconia. Appl. Phys. Lett. 2011, 98, 211906. [Google Scholar] [CrossRef]
- Chernatynskiy, A.; Bai, X.M.; Gan, J. Systematic investigation of the misorientation-and temperature-dependent Kapitza resistance in CeO2. Int. J. Heat Mass Transf. 2016, 99, 461–469. [Google Scholar] [CrossRef]
- Fleig, J.; Maier, J. A finite element study on the grain boundary impedance of different microstructures. J. Electrochem. Soc. 1998, 145, 2081–2089. [Google Scholar] [CrossRef]
- Smith, D.S.; Puech, F.; Nait-Ali, B.; Alzina, A.; Honda, S. Grain boundary thermal resistance and finite grain size effects for heat conduction through porous polycrystalline alumina. Int. J. Heat Mass Transf. 2018, 121, 1273–1280. [Google Scholar] [CrossRef]
- Xing, Y.; Wang, W.; Al-azzani, H. Assessment of thermal properties of various types of high-strength steels at elevated temperatures. Fire Saf. J. 2021, 122, 103348. [Google Scholar] [CrossRef]
















| Compositions (wt.%) | |||||
|---|---|---|---|---|---|
| C | Mn | Al | P | S | Fe |
| 0.66 | 17.10 | 1.75 | <0.01 | <0.01 | Balance |
Disclaimer/Publisher’s Note: The statements, opinions and data contained in all publications are solely those of the individual author(s) and contributor(s) and not of MDPI and/or the editor(s). MDPI and/or the editor(s) disclaim responsibility for any injury to people or property resulting from any ideas, methods, instructions or products referred to in the content. |
© 2025 by the author. Licensee MDPI, Basel, Switzerland. This article is an open access article distributed under the terms and conditions of the Creative Commons Attribution (CC BY) license (https://creativecommons.org/licenses/by/4.0/).
Share and Cite
Hwang, J.-K. Effect of Grain Size on Thermophysical Properties in Twinning-Induced Plasticity Steel. Materials 2025, 18, 890. https://doi.org/10.3390/ma18040890
Hwang J-K. Effect of Grain Size on Thermophysical Properties in Twinning-Induced Plasticity Steel. Materials. 2025; 18(4):890. https://doi.org/10.3390/ma18040890
Chicago/Turabian StyleHwang, Joong-Ki. 2025. "Effect of Grain Size on Thermophysical Properties in Twinning-Induced Plasticity Steel" Materials 18, no. 4: 890. https://doi.org/10.3390/ma18040890
APA StyleHwang, J.-K. (2025). Effect of Grain Size on Thermophysical Properties in Twinning-Induced Plasticity Steel. Materials, 18(4), 890. https://doi.org/10.3390/ma18040890

