Optimization of Dissolution Parameters for GH4738 Scrap via Response Surface Methodology
Abstract
1. Introduction
2. Experimental
2.1. Composition of GH4738 Scrap Material
2.2. Performance Testing Method
- (a)
- Sample Preparation: The sample was polished with abrasive papers of sequentially finer grit sizes: 400#, 600#, 1000#, 1500#, and 2000#. This was performed to ensure a consistent surface finish for each sample. (The samples utilized in this study were derived from GH4738 scrap material. To ensure uniformity and ease of handling, the samples were machined into a parallelepiped form, with each face having a surface area of 1 cm2. This geometric configuration was selected to facilitate consistent processing and subsequent analysis. Following machining, the samples were embedded in epoxy resin to protect the edges and provide a stable base for further testing and characterization.)
- (b)
- Electrochemical Setup: In the three-electrode setup, the sample acted as the working electrode, with a titanium electrode functioning as the auxiliary electrode in a loop configuration. A saturated calomel electrode served as the reference electrode, providing the potential for the working electrode and establishing the potential standard for the system [9].
- (c)
- Electrolysis and Measurement: Post-electrolysis, the anode residual material was dried and weighed to calculate the dissolution rate using the formula outlined below [10]:
- (d)
- Energy Consumption Calculation: The calculation formula for the energy consumption of GH4738 scrap dissolution is as follows [11]:
2.3. Response Surface Methodology
2.3.1. Plackett–Burman Design
2.3.2. Path of the Steepest Ascent Method
2.3.3. Box–Behnken Design
3. Results
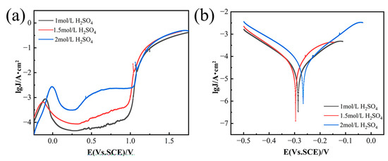
3.1. Corrosion Reaction
3.2. Result of Plackett–Burman Design
3.3. Path of the Steepest Ascent Method
3.4. Analysis and Results of Central Composite Design
3.5. Influences of Laboratory Parameters on Responses
3.5.1. Influence of NiCl2 Concentration
3.5.2. Influence of H2SO4 Concentration
3.5.3. Influence of Current Density and Electrolysis Time
3.6. Optimization and Confirmation
4. Conclusions
Author Contributions
Funding
Institutional Review Board Statement
Informed Consent Statement
Data Availability Statement
Conflicts of Interest
References
- Xu, T.; Zhou, Y. Research progress of hydrometallurgical recovery and utilization of valuable metals from secondary resources. Chin. J. Nonferrous Met. 2024, 34, 855–876. [Google Scholar]
- Jie, X.; Zhang, B. Experimental Study on Recovery of Platinum Group Metals from Oxidation Furnace Ash in Nitric Acid Industry. China Resour. Compr. Util. 2017, 2, 13–15. [Google Scholar]
- Li, Z.; Quan, D. Research Progress on Rhodium Recovery Technology from Waste Precious Metal Catalysts. Petrochem. Ind. Technol. 2020, 27, 270–271. [Google Scholar]
- Mao, J.K.; Li, J. Coupling reactions and collapsing model in the roasting process metals from LiCoO2 batteries. J. Clean. Prod. 2018, 205, 923–929. [Google Scholar] [CrossRef]
- Guan, C.P.; Yan, C.H. Study on the Dissolving Ratio of Coal Gangue Treated with Acids. Sichuan Nonferrous Met. 2011, 4, 35–39. [Google Scholar]
- Yang, Q.; Zhang, F. Extraction of alumina from alumina rich coal gangue by a hydro-chemical process. R. Soc. Open Sci. 2020, 7, 192132. [Google Scholar] [CrossRef]
- Ding, W.; Bao, S. Mechanism and kinetics study on ultrasound assisted leaching of gallium and zinc from corundum flue dust. Miner. Eng. 2022, 183, 107624. [Google Scholar] [CrossRef]
- Hang, Z.Q. Study on Electrochemical Dissolution Behavior of Electrolytic Nickel and Dissolution Control Technology; Nanchang Hangkong University: Nanchang, China, 2020. [Google Scholar]
- Zeng, Y.; Chen, J. Study of residual chlorine sensor based on tri-electrode system. Electron. Meas. Technol. 2016, 38, 110–114. [Google Scholar]
- Guo, R.; Zhang, X.C. Study on Electrochemical Dissolution Process of Tungsten-rhenium Alloy. Guangzhou Chem. Ind. 2019, 47, 63–65. [Google Scholar]
- Chen, K.K.; Cao, Q.G. Study on Electrochemical Dissolution an Precipitation Separation of W-Re Alloy. Rare Met. Mater. Eng. 2021, 50, 279–285. [Google Scholar]
- Xin, D.; Huang, H.; Yang, Y.; Wang, G.; Qu, J.; Chen, Y.; Wu, C.; Zhao, J.; Wang, Y.; Ma, W. Cyclic hot corrosion behavior and mechanism of GH4738 superalloy in mixed molten salt. J. Mater. Res. Technol. 2024, 32, 3456–3464. [Google Scholar] [CrossRef]
- Wang, H.; Dong, H.; Cai, Z.; Liu, Y.; Wang, W. Fatigue behaviors of a nickel-based superalloy after hot-corrosion: Experiments and peridynamic simulations. Int. J. Fatigue 2024, 180, 108070. [Google Scholar] [CrossRef]
- Wang, L.S.; Jiang, J.H. Optimization of the Experimental Parameters Affecting the Corrosion Behavior for Mg–Y–Zn–Mn Alloy via Response Surface Methodology. Met. Mater. Int. 2021, 27, 5095–5107. [Google Scholar] [CrossRef]
- Muhammad, N.M.; Suhaidi, S. Optimization of power conversion efficiency of polyvinyl-alcohol/titanium dioxide compact layer using response surface methodology/central composite design. Sol. Energy 2019, 183, 689–696. [Google Scholar]
- Khalid, H.R.; Anees, A.K. Optimization of inhibitive action of sodium molybdate (VI) for corrosion of carbon steel in saline water using response surface methodology. Korean J. Chem. Eng. 2019, 36, 1350–1359. [Google Scholar]
- Shi, Z.; Jia, J.X. Galvanostatic anodic polarization curves and galvanic corrosion of high purity Mg in 3.5% NaCl saturated with Mg (OH)2. Corros. Sci. 2012, 60, 296–308. [Google Scholar] [CrossRef]
- Leng, Z.; Zhang, J. Influence of biocorrosion on microstructure and mechanical properties of deformed Mg–Y–Er–Zn biomaterial containing 18R-LPSO phase. J. Mech. Behav. Biomed. Mater. 2013, 28, 332–339. [Google Scholar] [CrossRef] [PubMed]
- Birbilis, N.; Easton, M.A. On the corrosion of binary magnesium-rare earth alloys. Corros. Sci. 2009, 51, 683–689. [Google Scholar] [CrossRef]
- Zhang, B.; Wang, J. Unmasking chloride attack on the passive film of metals. Nat. Commun. 2018, 9, 2559. [Google Scholar] [CrossRef]
- Jaleh, B.; Nasri, A.; Eslamipanah, M.; Nasrollahzadeh, M.; Daneshnazar, M.; Advani, J.H.; Fornasiero, P.; Zbořil, R.; Antonietti, M.; Gawande, M.B. State-of-the-art and perspectives of nickel-based single-atom catalysts. Appl. Catal. B Environ. Energy 2024, 361, 124590. [Google Scholar] [CrossRef]
- Fan, M.; Huang, J.E. Cationic-group-functionalized electrocatalysts enable stable acidic CO2 electrolysis. Nat. Catal. 2023, 6, 763–772. [Google Scholar] [CrossRef]
- Song, X.; Li, X.; Wang, J.; Dong, H.; Lyu, Z. The Effects of Magnetic Field on Corrosion Rate and Anodic Processes of Axel Steel in Sodium Chloride Solution. Corros. Prot. 2024, 45, 1–7. [Google Scholar]
- Li, H.; Luan, D. Electrochemical Reaction Kinetics at Constant Interfacial Potential. ACS Catal. 2024, 14, 12814–12823. [Google Scholar] [CrossRef]
- Gichan, O.I.; Pototskaya, V.V. Mass transport and dynamical instabilities in a model electrocatalytic process with a preceding chemical reaction. Electrochim. Acta 2020, 363, 137228. [Google Scholar] [CrossRef]






| Element | Mo | Cu | Al | Ti | Fe | Co | Zr | Ni | Cr |
|---|---|---|---|---|---|---|---|---|---|
| Wt.% | 4.25 | 0.1 | 1.4 | 3 | 2 | 13.5 | 0.05 | 58 | 19.5 |
| Factor | Level | |
|---|---|---|
| −1 | 1 | |
| A Current density [A/cm2] | 0.25 | 0.50 |
| B H2SO4 concentration [mol/L] | 0.5 | 1.0 |
| C NiSO4 [g/L] | 38.2 | 76.4 |
| D NiCl2 [g/L] | 6.7 | 10.0 |
| E Na2S2O3 [g/L] | 0.0158 | 0.0237 |
| F Electrolysis time [h] | 0.25 | 0.50 |
| G Soaking time [s] | 300 | 600 |
| H H3BO4 [g/L] | 5.50 | 10.91 |
| Factor | Level | ||
|---|---|---|---|
| −1 | 0 | 1 | |
| A Current density [A/cm2] | 0.45 | 0.65 | 0.85 |
| B H2SO4 concentration [mol/L] | 1.0 | 1.5 | 2.0 |
| C NiCl2 [g/L] | 40 | 50 | 60 |
| D Electrolysis time [h] | 0.5 | 0.75 | 1.0 |
| Run | A Current Density [A/cm2] | B H2SO4 Concentration [mol/L] | C NiSO4 [g/L] | D NiCl2 [g/L] | E Na2S2O3 [g/L] | F Electrolysis Time [h] | G Soaking Time [s] | H H3BO4 [g/L] | η [%] | E [kW·h·g−1] |
|---|---|---|---|---|---|---|---|---|---|---|
| 1 | −1 | 1 | −1 | 1 | 1 | −1 | 1 | 1 | 6.4 | 1.950 |
| 2 | 1 | 1 | −1 | −1 | −1 | 1 | −1 | 1 | 20.9 | 3.116 |
| 3 | 1 | 1 | 1 | −1 | −1 | −1 | 1 | −1 | 14.6 | 2.410 |
| 4 | 1 | 1 | −1 | 1 | 1 | 1 | −1 | −1 | 29.7 | 3.110 |
| 5 | −1 | −1 | −1 | −1 | −1 | −1 | −1 | −1 | 8.4 | 2.039 |
| 6 | 1 | −1 | 1 | 1 | −1 | 1 | 1 | 1 | 25.1 | 3.782 |
| 7 | −1 | −1 | 1 | −1 | 1 | 1 | −1 | 1 | 15.4 | 2.171 |
| 8 | 1 | −1 | 1 | 1 | 1 | −1 | −1 | −1 | 10.9 | 3.517 |
| 9 | −1 | 1 | 1 | −1 | 1 | 1 | 1 | −1 | 12.2 | 2.040 |
| 10 | 1 | −1 | −1 | −1 | 1 | −1 | 1 | 1 | 14.6 | 3.085 |
| 11 | −1 | 1 | 1 | 1 | −1 | −1 | −1 | 1 | 9.0 | 1.766 |
| 12 | −1 | −1 | −1 | 1 | −1 | 1 | 1 | −1 | 17.2 | 1.617 |
| Factor | SS | MS | F | Significance |
|---|---|---|---|---|
| model | 473.47 | 94.69 | 9.27 | |
| A Current density [A/cm2] | 185.65 | 185.65 | 18.17 | 2 |
| B sulfuric H2SO4 concentration [mol/L] | 0.12 | 0.12 | 0.012 | 3 |
| C NiSO4 [g/L] | 8.33 | 8.33 | 0.820 | 5 |
| D NiCl2 [g/L] | 124.00 | 124.0 | 12.100 | 4 |
| E Na2S2O3 [g/L] | 3.00 | 3.00 | 0.160 | 8 |
| F Electrolysis time [h] | 266.96 | 266.96 | 26.12 | 1 |
| G Soaking time [s] | 1.47 | 1.47 | 0.078 | 7 |
| Run | A Current Density [A/cm2] | B H2SO4 Concentration [mol/L] | C NiCl2 [g/L] | D Electro-Lysis Time [h] | η [%] | E [kW·h·g−1] | Z |
|---|---|---|---|---|---|---|---|
| 1 | 0.25 | 0.5 | 6.7 | 0.25 | 8.3 | 1.845 | 0.470 |
| 2 | 0.45 | 1.0 | 40 | 0.50 | 28.8 | 2.155 | 0.478 |
| 3 | 0.65 | 1.5 | 50 | 0.75 | 60.5 | 2.456 | 0.555 |
| 4 | 0.85 | 2.0 | 60 | 1.00 | 97.0 | 3.460 | 0.530 |
| Run | Parameters | Responses | ||||
|---|---|---|---|---|---|---|
| A Current Density [A/cm2] | B H2SO4 Concentration [mol/L] | C NiCl2 [g/L] | D Electrolysis Time [h] | η [%] | E [kW·h·g−1] | |
| 1 | 0 | 0 | −1 | −1 | 35.1 | 3.245 |
| 2 | 0 | −1 | 0 | −1 | 36.3 | 3.132 |
| 3 | 1 | 0 | −1 | 0 | 60.8 | 3.913 |
| 4 | 1 | 0 | 0 | −1 | 46.3 | 3.635 |
| 5 | 0 | 0 | 1 | −1 | 35.4 | 3.168 |
| 6 | −1 | 0 | 0 | 1 | 47.9 | 2.525 |
| 7 | 1 | 0 | 0 | 1 | 92.0 | 3.760 |
| 8 | −1 | 0 | 0 | −1 | 24.9 | 2.486 |
| 9 | 0 | 1 | 1 | 0 | 52.7 | 3.122 |
| 10 | 0 | 0 | 0 | 0 | 51.0 | 3.164 |
| 11 | −1 | 0 | −1 | 0 | 38.3 | 2.547 |
| Source | df | F-Value | p-Value | |
|---|---|---|---|---|
| Model | 14 | 71.62 | <0.0001 | significant |
| A-current density | 1 | 402.85 | <0.0001 | |
| B-H2SO4 concentration | 1 | 2.95 | 0.1077 | |
| C- NiCl2 | 1 | 1.11 | 0.3108 | |
| D- Electrolysis time | 1 | 566.03 | <0.0001 | |
| AB | 1 | 0.0035 | 0.9540 | |
| AC | 1 | 1.25 | 0.2831 | |
| AD | 1 | 19.77 | 0.0006 | |
| BC | 1 | 0.3686 | 0.5535 | |
| BD | 1 | 0.2209 | 0.6456 | |
| CD | 1 | 0.2796 | 0.6052 | |
| A2 | 1 | 3.05 | 0.1027 | |
| B2 | 1 | 1.35 | 0.2655 | |
| C2 | 1 | 5.61 | 0.0327 | |
| D2 | 1 | 1.40 | 0.2559 |
| Source | df | F-Value | p-Value | |
|---|---|---|---|---|
| Model | 14 | 38.44 | <0.0001 | significant |
| A-current density | 1 | 433.54 | <0.0001 | |
| B-H2SO4 concentration | 1 | 12.51 | 0.0033 | |
| C- NiCl2 | 1 | 0.0063 | 0.9380 | |
| D- Electrolysis time | 1 | 1.85 | 0.1958 | |
| AB | 1 | 29.93 | <0.0001 | |
| AC | 1 | 1.29 | 0.2749 | |
| AD | 1 | 0.18 | 0.6814 | |
| BC | 1 | 7.31 | 0.0171 | |
| BD | 1 | 23.80 | 0.0002 | |
| CD | 1 | 0.3228 | 0.5789 | |
| A2 | 1 | 16.77 | 0.0011 | |
| B2 | 1 | 1.33 | 0.2689 | |
| C2 | 1 | 0.0452 | 0.8346 | |
| D2 | 1 | 7.78 | 0.0145 |
| NO. | Parameters | Responses | ||||||||
|---|---|---|---|---|---|---|---|---|---|---|
| A | B | C | D | η (%) | E (kW·h·g−1) | |||||
| EXP | Regress-Ion | Error% | EXP | Regress-Ion | Error% | |||||
| 1 | 0.85 | 2 | 60 | 1 | 86.9 | 88.7 | 2.07 | 3.202 | 3.035 | 5.22 |
| 2 | 0.85 | 2 | 60 | 1 | 87.0 | 88.7 | 1.96 | 3.278 | 3.035 | 7.41 |
| 3 | 0.85 | 2 | 60 | 1 | 85.9 | 88.7 | 3.22 | 3.358 | 3.035 | 9.62 |
Disclaimer/Publisher’s Note: The statements, opinions and data contained in all publications are solely those of the individual author(s) and contributor(s) and not of MDPI and/or the editor(s). MDPI and/or the editor(s) disclaim responsibility for any injury to people or property resulting from any ideas, methods, instructions or products referred to in the content. |
© 2025 by the authors. Licensee MDPI, Basel, Switzerland. This article is an open access article distributed under the terms and conditions of the Creative Commons Attribution (CC BY) license (https://creativecommons.org/licenses/by/4.0/).
Share and Cite
Liu, G.; Fang, X.; Zhang, X.; Lv, G. Optimization of Dissolution Parameters for GH4738 Scrap via Response Surface Methodology. Materials 2025, 18, 793. https://doi.org/10.3390/ma18040793
Liu G, Fang X, Zhang X, Lv G. Optimization of Dissolution Parameters for GH4738 Scrap via Response Surface Methodology. Materials. 2025; 18(4):793. https://doi.org/10.3390/ma18040793
Chicago/Turabian StyleLiu, Guiqun, Xinyu Fang, Xiaoli Zhang, and Guanglei Lv. 2025. "Optimization of Dissolution Parameters for GH4738 Scrap via Response Surface Methodology" Materials 18, no. 4: 793. https://doi.org/10.3390/ma18040793
APA StyleLiu, G., Fang, X., Zhang, X., & Lv, G. (2025). Optimization of Dissolution Parameters for GH4738 Scrap via Response Surface Methodology. Materials, 18(4), 793. https://doi.org/10.3390/ma18040793

