Improved Corrosive Resistance of Micro-Arc-Oxidation Coating on 6063 Aluminum Alloy by Co-Doping with Graphite and Sodium Tungstate
Abstract
1. Introduction
2. Experimental
2.1. Experimental Material
2.2. Preparation of MAO Paint
2.3. Coating Characterisation
2.4. Film Corrosion Resistance Testing
3. Results
3.1. Coating Microstructure
3.2. Coating Morphology
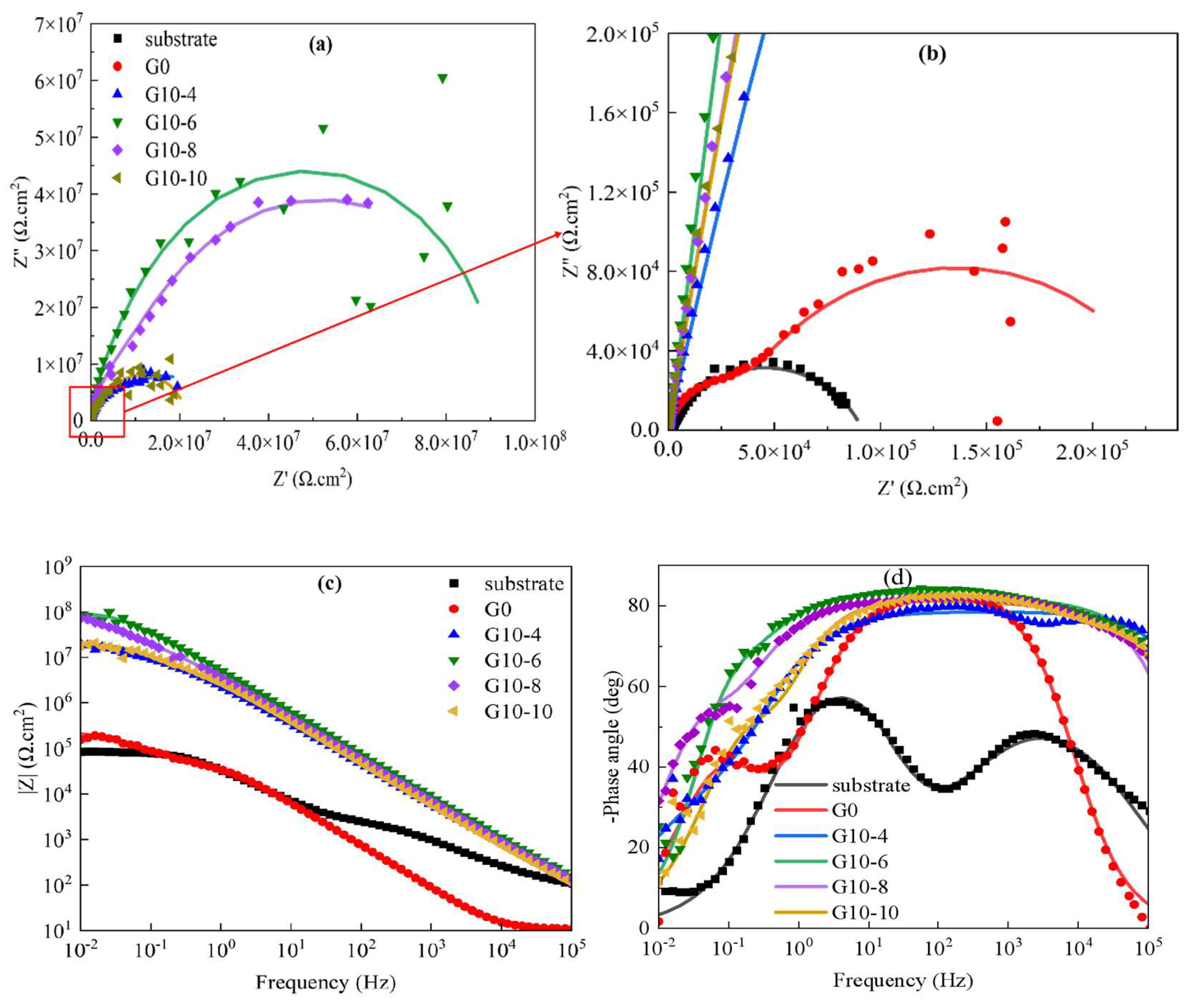
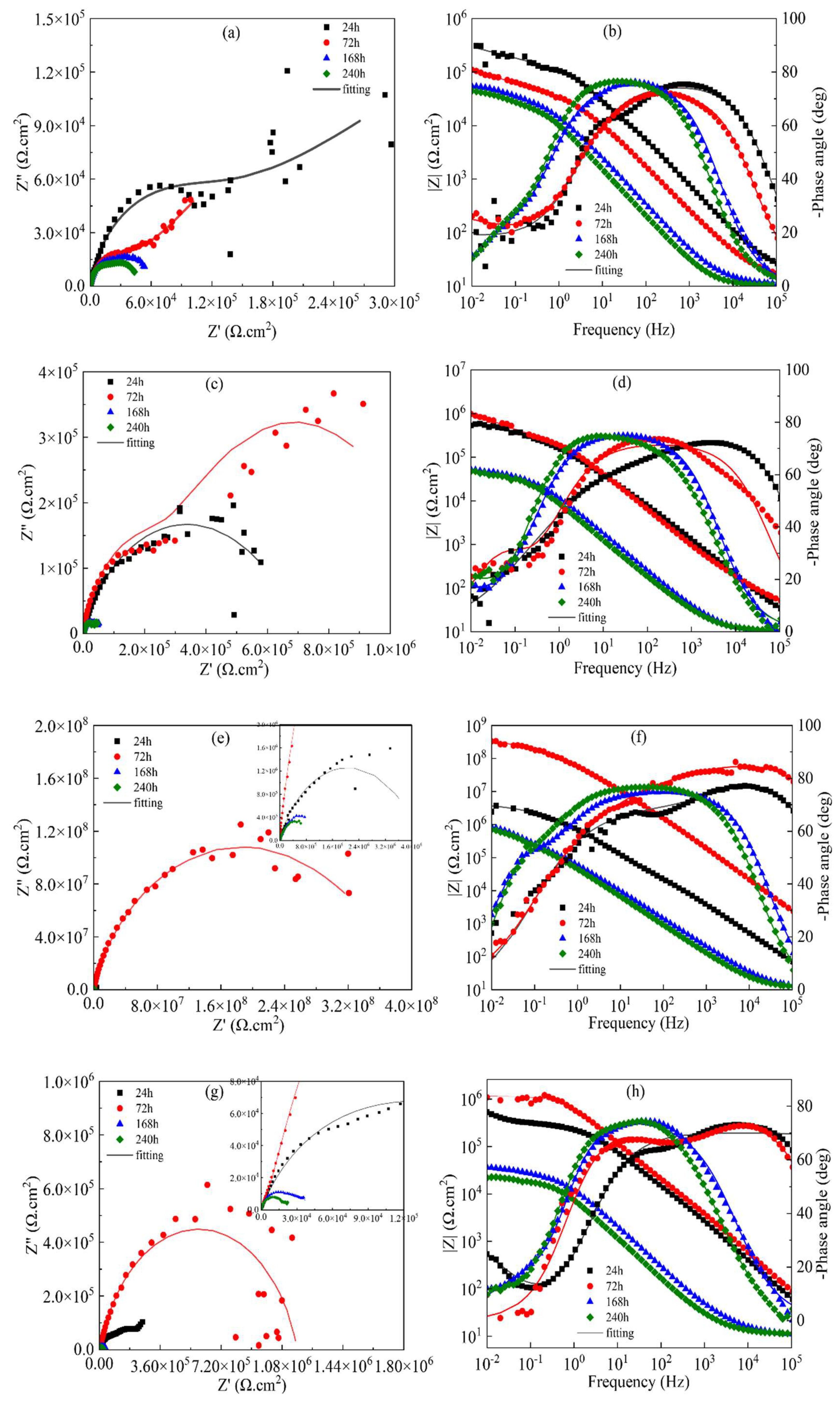
3.3. Corrosion Resistance of Composite Coatings
3.4. Mechanism Analysis
4. Conclusions
- (1)
- The results of energy spectrum analysis showed that both carbon (C) and tungsten (W) elements in the co-diffusion MAO coating were involved in the reaction of the coating. C is involved in the reaction of the outer layer of the coating and W is also involved in the reaction of the inner layer of the coating, and there is a mutual relationship between W and C.
- (2)
- The corrosion resistance assessment showed that the impedance film value |Z| of the coating with the addition of G10-6 reached an impressive 1.14 × 108 Ω·cm2, while the impedance film value of the black MAO coating was only 8.4 × 106 Ω·cm2, thus indicating an increase of two orders of magnitude in the value of the impedance film due to the composite addition. After immersion in 3.5 wt.% (mass fraction) brine for 240 h, the corrosive resistance of the G10-6 coating was close to 106 Ω·cm2. In addition, no corrosion spots were observed on the G10-6 coating, indicating excellent long-term corrosion resistance.
Author Contributions
Funding
Informed Consent Statement
Data Availability Statement
Conflicts of Interest
References
- Zhou, B.; Liu, B.; Zhang, S. The Advancement of 7XXX Series Aluminum Alloys for Aircraft Structures. A Review. Metals 2021, 11, 718. [Google Scholar] [CrossRef]
- Zhang, Y.; Chen, Y.; Yu, D.; Zhang, T. Influence of micro-arc oxidation on mechanical properties of magnesium alloy AZ91D. J. Chin. Soc. Corros. Prot. 2010, 30, 222–226. [Google Scholar]
- Allachi, H.; Chaouket, F.; Draou, K. Corrosion inhibition of AA6060 aluminum alloy by lanthanide salts in chloride solution. J. Alloys Compd. 2009, 475, 300–303. [Google Scholar] [CrossRef]
- Przemysław, K.; Andrzej, O.; Barbara, K.; Reging, B.; Tomasz, T.; Krzysztof, K.; Andrzej, G.; Wojciech, N.; Marek, W.; Maciej, M.; et al. Wear resistance of hard anodic coatings fabricated on 5005 and 6061 aluminum alloys. Arch. Civ. Mech. Eng. 2024, 24, 51. [Google Scholar]
- Barylyak, A.; Nowak, W.R.; Liśkiewicz, K.M.; Krzeminski, P.; Ploch, D.; Cieniek, B.; Bobitski, Y.; Kisala, J. Photocatalytic and antibacterial activity properties of Ti surface treated by femtosecond laser a prospective solution to peri-implant disease. Sci. Rep. 2024, 14, 20926. [Google Scholar] [CrossRef]
- Liang, X.T.; Zhu, Y.P.; Hafeez, A.M.; Yasir, M.; Zhang, C.; Liu, L. Nacre-inspired robust antifouling amorphous coating via in-situ constructing 3D interconnected diffusion channels. J. Mater. Sci. Technol. 2025, 213, 135–145. [Google Scholar] [CrossRef]
- Zhao, X.; Zhang, Z.; Liu, X.; Liu, Q.Y.; Jiang, S.M.; Zhang, Q.F. Enhanced corrosion protection of steel strip through advanced Zn-Mg alloy coatings manufactured by Continuous Physical Vapor Deposition: A review. Mater. Chem. Phys. 2024, 328, 129884. [Google Scholar] [CrossRef]
- Sun, S.; Cheng, B.; Liu, A.; Liu, z.; Xu, G.; Liu, P.; Lu, H. Research on micro-arc oxidation method based on passivation layer on non-valve metal low-carbon steel surface. Tribol. Int. 2024, 200, 110114. [Google Scholar] [CrossRef]
- Yang, W.; Xu, D.; Guo, Q.; Chen, T.; Chen, J. Influence of electrolyte composition on microstructure and properties of coatings formed on pure Ti substrate by micro arc oxidation. Surf. Coat. Technol. 2018, 349, 522–528. [Google Scholar] [CrossRef]
- Guanglong, L.; Huiliang, C.; Wenjie, Z.; Xun, D.; Guangzheng, Y.; Yuqin, Q.; Xuanyong, L.; Xinquan, J. Enhanced Osseointegration of Hierarchical Micro/Nanotopographic Titanium Fabricated by Microarc Oxidation and Electrochemical Treatment. ACS Appl. Mater. Interfaces 2016, 8, 3840–3852. [Google Scholar]
- Friedemann, A.; Thiel, K.; Haßlinger, U.; Ritter, M.; Gesing, T.M.; Plagemann, P. Investigations into the structure of PEO-layers for understanding of layer formation. Appl. Surf. Sci. 2018, 443, 467–474. [Google Scholar] [CrossRef]
- Kaseem, M.; Fatimah, S.; Nashrah, N.; Ko, Y.G. Recent progress in surface modification of metals coated by plasma electrolytic oxidation: Principle, structure, and performance. Prog. Mater. Sci. 2020, 117, 100735. [Google Scholar] [CrossRef]
- Lu, X.; Blawert, C.; Kainer, U.K.; Zhang, T.; Wang, H.F.; Zheludkevich, L.M. Influence of particle additions on corrosion and wear resistance of plasma electrolytic oxidation coatings on Mg alloy. Surf. Coat. Technol. 2018, 352, 1–14. [Google Scholar] [CrossRef]
- Wang, Z.; Wu, L.; Cai, W.; Shan, A.; Jiang, Z. Effect of formula on the structure and properties of micro-arc oxidation coating on aluminium alloy. J. Alloys Compd. 2010, 505, 188–193. [Google Scholar] [CrossRef]
- Li, H.; Sun, Y.; Zhang, J. Effect of ZrO2 particle on the performance of micro-arc oxidation coatings on Ti6Al4V. Appl. Surf. Sci. 2015, 342, 183–190. [Google Scholar] [CrossRef]
- Di, S.; Guo, Y.; Lv, H.; Yu, J.; Li, Z. Microstructure and properties of rare earth CeO2-doped TiO2 nanostructured composite coatings through micro-arc oxidation. Ceram. Int. 2015, 41, 6178–6186. [Google Scholar] [CrossRef]
- Sun, S.; Shang, J. Improved wear and corrosion resistance of MoS2/MgO/MgAl2O4 composite layer in-situ prepared by one-step micro-arc oxidation. Mater. Today Commun. 2024, 40, 110151. [Google Scholar] [CrossRef]
- Qin, L.; Huang, J.; Hao, L.; Su, J.; Ma, N.; Yin, L. Effects of CeO2 on Microstructure and Corrosion Performance of the Coatings Prepared by Pulse Micro Arc Oxidation on AZ31B Mg Alloy. J. Nanosci. Nanotechnol. 2020, 20, 4778–4786. [Google Scholar] [CrossRef]
- Zhang, R.; Lv, K.; Du, Z.; Chen, W.; Ji, P.; Wang, M. Effects of Graphene on the Wear and Corrosion Resistance of Micro-Arc Oxidation Coating on a Titanium Alloy. Metals 2021, 12, 70. [Google Scholar] [CrossRef]
- Ke, X.; Hao, W.; Chilou, Z.; Ziyang, Q.; Kailong, Y.; Ricky, k.y.f.; Shu, X.; Guosong, W.; Kejian, D.; Guohua, C. Improved corrosion and wear resistance of micro-arc oxidation coatings on the 2024 aluminum alloy by incorporation of quasi-two-dimensional sericite microplates. Appl. Surf. Sci. 2022, 585, 152693. [Google Scholar]
- Polunin, A.V.; Cheretaeva, A.O.; Borgardt, E.D.; Rastegaev, I.A.; Krishtal, M.M.; Katsman, A.V.; Yasnikov, I.S. Improvement of Oxide Layers Formed by Plasma Electrolytic Oxidation on Cast Al-Si Alloy by Incorporating TiC Nanoparticles. Surf. Coat. Technol. 2021, 423, 127603. [Google Scholar] [CrossRef]
- 22. Tseng, C.-C.; Lee, J.-L.; Kuo, T.-H.; Kuo, S.-N.; Tseng, K.-H. The influence of sodium tungstate concentration and anodizing conditions on microarc oxidation (MAO) coatings for aluminum alloy. Surf. Coat. Technol. 2012, 206, 3437–3443. [Google Scholar] [CrossRef]
- Liu, Y.; Xu, J.; Gao, Y.; Yuan, Y.; Gao, C. Influences of Additive on the Formation and Corrosion Resistance of Micro-arc Oxidation Ceramic Coatings on Aluminum Alloy. Phys. Procedia 2012, 32, 107–112. [Google Scholar] [CrossRef][Green Version]
- Li, Z.M.; Chen, Z.G.; Feng, S.S.; Zhao, T.Y.; Wang, W.Z. Effects of Na2WO4 on the MAO coating on AZ80. Surf. Eng. 2020, 36, 817–826. [Google Scholar] [CrossRef]
- Zuo, Y.; Li, T.; Yu, P.; Zhao, Z.; Chen, X.; Zhang, Y.; Chen, F. Effect of graphene oxide additive on tribocorrosion behavior of MAO coatings prepared on Ti6Al4V alloy. Appl. Surf. Sci. 2019, 480, 26–34. [Google Scholar] [CrossRef]
- Askarnia, A.R.; Fardi, S.R.; Sobhani, M.; Staji, H.; Aghamohammadi, H. Effeect of graphene oxide on properties of AZ91 magnesium alloys coating developed by micro-arc oxidation process. J. Alloys Compd. 2022, 892, 162106. [Google Scholar] [CrossRef]
- Chen, X.; Tang, S.; Zhang, D.; Yan, J.; Xie, W.; Ran, Q. Influence of graphene on corrosion properties of micro arc oxidation coatings on 7075 aluminum alloy. Int. J. Appl. Ceram. Technol. 2024, 21, 3516–3525. [Google Scholar] [CrossRef]
- Feng, C.; Hu, S.; Jiang, Y.; Zhou, Y. Effects of Micro-Arc Oxidation of Ti6Al4V Alloy on Adhesion Property to Electroless Ni-P-ZrO2 Composite Platings and Their Wear Resistance. Rare Met. Mater. Eng. 2013, 42, 2427–2432. [Google Scholar]
- Yanning, C.; Liang, W.; Wenhui, Y.; Jiahao, W.; Jianpeng, X.; Xiaowei, D.; Tao, W.; Yuan, Y.; Jingfeng, W.; Bin, J. Development of metal-organic framework (MOF) decorated graphene oxide/MgAl-layered double hydroxide coating via microstructural optimization for anti-corrosion micro-arc oxidation coatings of magnesium alloy. J. Mater. Sci. Technol. 2022, 130, 12–26. [Google Scholar]
- Li, H.; Yu, H.; Chen, C.; Zhong, W. Effect of graphene oxide on corrosion resistance and biological activity of micro arc oxidation ceramic layer on titanium alloy. Mater. Lett. 2022, 327, 133056. [Google Scholar] [CrossRef]
- Wang, Y.; Wei, D.; Yu, J.; Di, S.C. Effects of Al2O3 Nano-additive on Performance of Micro-arc Oxidation Coatings Formed on AZ91D Mg Alloy. J. Mater. Sci. Technol. 2014, 30, 984–990. [Google Scholar] [CrossRef]
- Sutter, E.; Albrecht, P.; Camino, F.E.; Sutter, P. Monolayer Graphene as Ultimate Chemical Passivation Layer for Arbitrarily Shaped Metal Surfaces. Carbon 2010, 48, 4414–4420. [Google Scholar] [CrossRef]
- Kirkland, N.T.; Schiller, T.; Medhekar, N.; Birbilis, N. Exploring Graphene as a Corrosion Protection Barrier. Corros. Sci. 2012, 56, 1–4. [Google Scholar] [CrossRef]
- Holt, J.K.; Park, H.G.; Wang, Y.; Stadermann, M.; Artyukhin, A.B.; Grigoropoulos, C.P.; Noy, A.; Bakajin, O. Fast Mass Transport Through Sub-2-Nanometer Carbon Nanotubes. Science 2006, 312, 1034–1037. [Google Scholar] [CrossRef]
- Singh, V.; Pal, K.; Watts, S.S.; Asthana, N.; Khan, A.A.; Fatima, S.; Jelen, A.; Kralj, S. Graphene oxide dispersed rose-petals based green chemistry synthesis of hybrid composite for novel spectroscopic applications. J. Mol. Liq. 2024, 414, 126166. [Google Scholar] [CrossRef]
- Prabakar SJ, R.; Hwang, Y.H.; Bae, E.G.; Lee, D.K.; Pyo, M. Graphene Oxide as a Corrosion Inhibitor for the Aluminum Current Collector of Lithium Ion Batteries. Carbon 2013, 52, 128–136. [Google Scholar] [CrossRef]
- Blawert, C.; Heitmann, V.; Dietzel, W.; Nykyforchyn, H.M.; Klapkiv, M.D. Influence of electrolyte on corrosion propertics of plasma electrolytic conversion coated magnesium alloys. Surf. Coat. Technol. 2007, 201, 8709–8714. [Google Scholar] [CrossRef]
- Zhang, R.F.; Liao, A.D.; Zhang, S.F.; Li, M.J.; Liu, L.W. Influence of environmentally friendly electrolytes on solution conductivity. Chin. J. Nonferr. Met. 2011, 21, 927–931. [Google Scholar]
















| Si | Fe | Cu | Mn | Mg | Cr | Zn | Ti | Al |
|---|---|---|---|---|---|---|---|---|
| 0.39 | 0.25 | 0.01 | 0.02 | 0.76 | 0.02 | 0.001 | 0.03 | 98.519 |
| Point | Al (wt.%) | O (wt.%) | Si (wt.%) | C (wt.%) | W (wt.%) |
|---|---|---|---|---|---|
| 1 | 63.60 | 34.17 | 2.24 | — | — |
| 2 | 53.74 | 41.71 | 3.13 | — | 3.12 |
| 3 | 36.73 | 48.01 | 5.59 | 9.68 | — |
| 4 | 37.68 | 57.10 | 2.62 | 4.74 | — |
| 5 | 52.56 | 41.95 | 3.89 | — | 4.58 |
| 6 | 44.54 | 49.94 | 3.36 | — | 7.37 |
| 7 | 36.78 | 57.86 | 3.44 | 9.84 | — |
| 8 | 51.05 | 42.23 | 4.35 | 6.30 | |
| 9 | 39.24 | 56.46 | 3.61 | 5.47 |
| Samples | ba (mV·dec−1) | −bc (mV·dec−1) | Ecorr (V) | Icorr (A·cm−2) | CR (mm·a−1) |
|---|---|---|---|---|---|
| substrate | 727.33 | 445.2 | −1.2927 | 8.57 × 10−5 | 1.6814 |
| G0 | 496.24 | 515.27 | −1.2137 | 2.15 × 10−5 | 0.42243 |
| G10-4 | 594.92 | 498.37 | −1.2969 | 1.77 × 10−5 | 0.34759 |
| G10-6 | 465.49 | 560.88 | −1.1941 | 3.01 × 10−6 | 0.059164 |
| G10-8 | 535.28 | 519.15 | −1.2433 | 1.10 × 10−5 | 0.21612 |
| G10-10 | 509.63 | 683.75 | −1.3249 | 1.17 × 10−5 | 0.23006 |
| Samples | Rs | R1 | CPE1 | R2 | CPE2 | Rt | Chi-Squared | ||
|---|---|---|---|---|---|---|---|---|---|
| Ω·cm2 | Ω·cm2 | Y1 Ω−1∙sn∙cm−2 | n1 | Ω·cm2 | Y2 Ω−1∙sn∙cm−2 | n2 | Ω·cm2 | ||
| substrate | 10.79 | 49,970 | 3.25 × 10−6 | 0.93 | 1.89 × 105 | 2.02 × 10−5 | 0.84 | 2.4 × 105 | 7 × 10−3 |
| G0 | 12.78 | 25,207 | 1.46 × 10−7 | 0.86 | 8.4 × 106 | 2.43 × 10−7 | 0.48 | 8.4 × 106 | 9 × 10−3 |
| G10-4 | 13.32 | 9 × 105 | 7.94 × 10−8 | 0.87 | 2.27 × 107 | 2.20 × 10−7 | 0.60 | 2.37 × 107 | 3 × 10−3 |
| G10-6 | 40.31 | 1 × 106 | 1.88 × 10−7 | 1.12 | 1.13 × 108 | 3.99 × 10−8 | 0.90 | 1.14 × 108 | 9 × 10−3 |
| G10-8 | 10.2 | 2027 | 0.39 × 10−7 | 0.86 | 3.57 × 106 | 1.91 × 10−6 | 0.93 | 3.6 × 106 | 4 × 10−3 |
| G10-10 | 9.8 | 2 × 106 | 6.61 × 10−8 | 0.91 | 1.40 × 107 | 1.97 × 10−7 | 0.67 | 1.7 × 107 | 3 × 10−3 |
Disclaimer/Publisher’s Note: The statements, opinions and data contained in all publications are solely those of the individual author(s) and contributor(s) and not of MDPI and/or the editor(s). MDPI and/or the editor(s) disclaim responsibility for any injury to people or property resulting from any ideas, methods, instructions or products referred to in the content. |
© 2025 by the authors. Licensee MDPI, Basel, Switzerland. This article is an open access article distributed under the terms and conditions of the Creative Commons Attribution (CC BY) license (https://creativecommons.org/licenses/by/4.0/).
Share and Cite
Jia, N.; Yang, E.; Zhu, J.; Liang, F.; Li, W.; Zhang, X.; Yang, R. Improved Corrosive Resistance of Micro-Arc-Oxidation Coating on 6063 Aluminum Alloy by Co-Doping with Graphite and Sodium Tungstate. Materials 2025, 18, 767. https://doi.org/10.3390/ma18040767
Jia N, Yang E, Zhu J, Liang F, Li W, Zhang X, Yang R. Improved Corrosive Resistance of Micro-Arc-Oxidation Coating on 6063 Aluminum Alloy by Co-Doping with Graphite and Sodium Tungstate. Materials. 2025; 18(4):767. https://doi.org/10.3390/ma18040767
Chicago/Turabian StyleJia, Na, Erhui Yang, Jianyang Zhu, Feiyan Liang, Weizhou Li, Xiuhai Zhang, and Ruixia Yang. 2025. "Improved Corrosive Resistance of Micro-Arc-Oxidation Coating on 6063 Aluminum Alloy by Co-Doping with Graphite and Sodium Tungstate" Materials 18, no. 4: 767. https://doi.org/10.3390/ma18040767
APA StyleJia, N., Yang, E., Zhu, J., Liang, F., Li, W., Zhang, X., & Yang, R. (2025). Improved Corrosive Resistance of Micro-Arc-Oxidation Coating on 6063 Aluminum Alloy by Co-Doping with Graphite and Sodium Tungstate. Materials, 18(4), 767. https://doi.org/10.3390/ma18040767

