Effect of Initial Rolling Temperature on the Microstructure Evolution of Liquified Nature Gas Low-Temperature-Resistant Steel Bars
Abstract
1. Introduction
2. Materials and Methods
3. Experimental Conclusions and Analysis
3.1. Theoretical Calculation of the Static CCT Curve
3.2. Determination of Dynamic CCT Curves
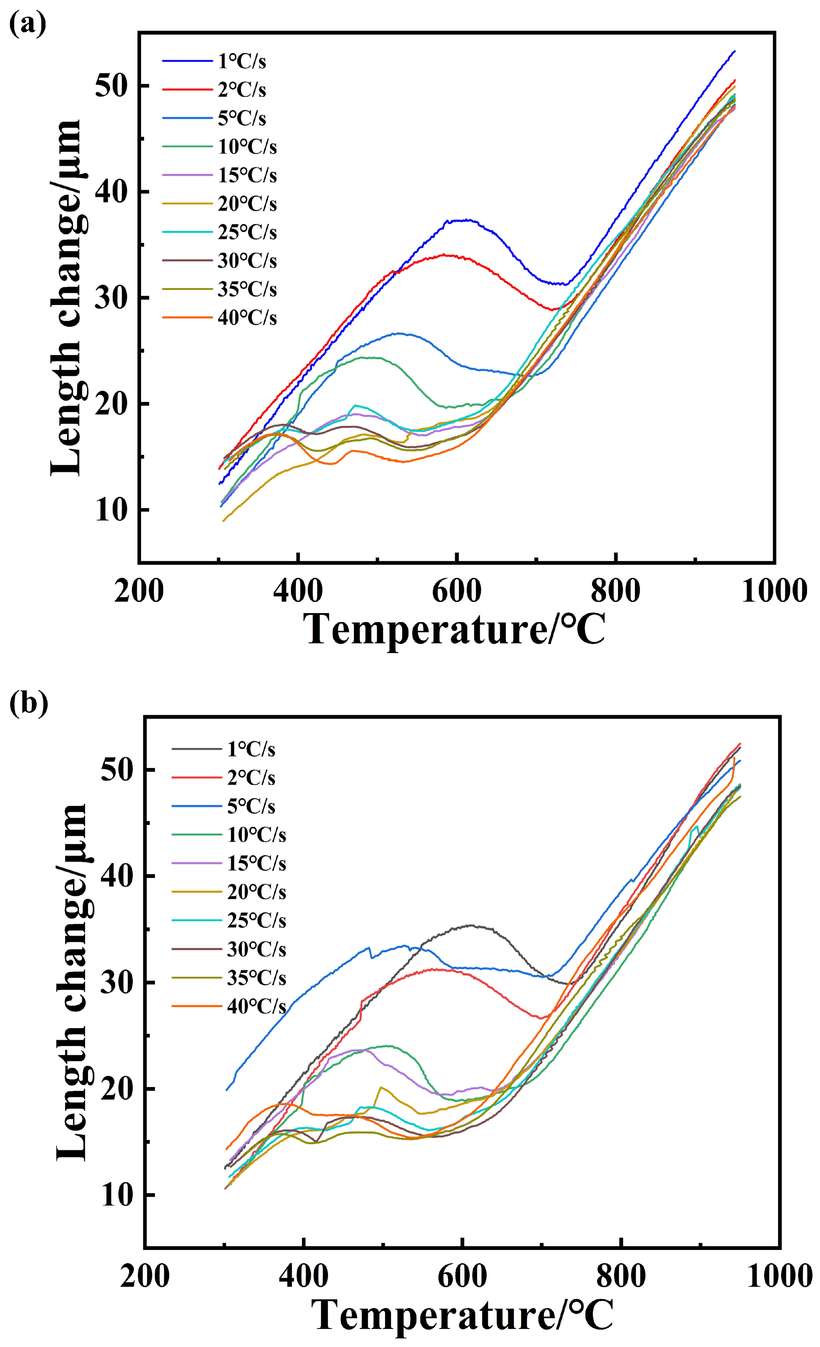
3.2.1. Thermal Expansion Curve
3.2.2. Microstructure
3.2.3. Hardness Analysis
3.2.4. Dynamic CCT Curve
3.3. Mechanical Testing
4. Conclusions
- When the cooling rate was below 2 °C/s, the microstructure consisted of ferrite and pearlite. As the cooling rate increased to 5 °C/s, a small amount of bainite began to form at the locations of rolling deformation. At cooling rates above 30 °C/s, it was primarily martensite. The higher the cooling rate, the smaller the grain size of the martensite. When the cooling rate reached 40 °C/s, a continuous network of proeutectoid ferrite appeared at the martensite grain boundaries.
- DW5 began to form martensite at a cooling rate of 15 °C/s, while DW6 started to form martensite at a cooling rate of 10 °C/s. The initial rolling temperature of 1000 °C expanded the martensite phase transformation zone.
- With the increase in cooling rate, the hardness of the matrix structure also increased, and the grain size decreased. Lowering the initial rolling temperature increased the hardness of the matrix structure. At the same cooling rate, the hardness value of the matrix structure rolled at 1000 °C was higher than that rolled at 1050 °C.
- By analyzing the room-temperature structure of 500 MPa steel-grade low-temperature-resistant steel bars, it was found that under an initial rolling temperature of 1050 °C, the matrix structure was slightly larger than that under an initial rolling temperature of 1000 °C, and the average hardness of the matrix structure decreased by 5%, along with a reduction in matrix dislocations and internal stress. From the perspective of structural strength alone, the initial rolling temperature of 1000 °C increased the strength of the matrix structure, but the increase in strength was limited. In practical terms, to achieve these strength increases, the corresponding cost is an increase in rolling difficulty, a decrease in rolling temperature, a reduction in the material’s plastic deformation capability, an increase in deformation resistance, and a heightened risk of cracking on the surface of the rebar, posing a challenge for production equipment and power consumption. Therefore, it is not cost-effective to significantly increase production costs for a limited increase in strength. The experimental conclusion is that the initial rolling temperature of 1050 °C for the DW6 group is a better choice for production.
Author Contributions
Funding
Institutional Review Board Statement
Informed Consent Statement
Data Availability Statement
Conflicts of Interest
References
- Zou, C.; He, D.; Jia, C.; Xiong, B.; Zhao, Q.; Pan, S. Connotation and pathway of world energy transition and its significance for carbon neutral. Acta Pet. Sin. 2021, 42, 233. [Google Scholar]
- Jia, A. Progress and prospects of natural gas development technologies in China. Nat. Gas Ind. B 2018, 5, 547–557. [Google Scholar] [CrossRef]
- Foss, M.M. Introduction to LNG; Energy Economics Research; Center for Energy Economics, The University of Texas at Austin: Austin, TX, USA, 2007; pp. 1–40. [Google Scholar]
- Kanbur, B.B.; Xiang, L.; Dubey, S.; Choo, F.H.; Duan, F. Cold utilization systems of LNG: A review. Renew. Sustain. Energy Rev. 2017, 79, 1171–1188. [Google Scholar] [CrossRef]
- Singh, R.; Lou, H.H. Safety and Efficiency Enhancement in LNG Terminals. In Natural Resources Management: Concepts, Methodologies, Tools, and Applications; IGI Global: Hershey, PA, USA, 2017; pp. 1584–1596. [Google Scholar]
- Zou, D.; Sun, J.; Wu, H.; Hao, Y.; Wang, Z.; Cui, L. Experimental and numerical studies on the impact resistance of large-scale liquefied natural gas (LNG) storage outer tank against the accidental missile. Thin-Walled Struct. 2021, 158, 107189. [Google Scholar] [CrossRef]
- Fu, Y.; Chen, C.; Liu, X.; Huang, S.; Mao, J.; Yi, Y. Research on the ultra-low temperature tensile deformation mechanism of Al-Mg-Si alloys in different heat treatment states. J. Alloys Compd. 2025, 1010, 177150. [Google Scholar] [CrossRef]
- Ni, Z.; Zhao, J.; Wang, X.; Shang, C.; Zhou, W. New insights from crystallography into the effect of Ni content on ductile-brittle transition temperature of 1000 MPa grade high-strength low-alloy steel. J. Mater. Res. Technol. 2024, 33, 589–599. [Google Scholar] [CrossRef]
- Wu, D.Y.; Han, X.L.; Tian, H.T.; Liao, B.; Xiao, F.R. Microstructural characterization and mechanical properties analysis of weld metals with two Ni contents during post-weld heat treatments. Metall. Mater. Trans. A 2015, 46, 1973–1984. [Google Scholar] [CrossRef]
- Launey, M.E.; Ritchie, R.O. On the fracture toughness of advanced materials. Adv. Mater. 2009, 21, 2103–2110. [Google Scholar] [CrossRef]
- Bao, H.; Na, X.; Libo, H. Development Status and Production Technology of Special Reinforcement in China; Shanghai Metals: Shanghai, China, 2016; Volume 38. [Google Scholar]
- Nair, S.A.; Pillai, R.G. Microstructural and corrosion characteristics of quenched and self-tempered (QST) steel reinforcing bars. Constr. Build. Mater. 2020, 231, 117109. [Google Scholar] [CrossRef]
- Kim, Y.W.; Kim, J.H.; Hong, S.-G.; Lee, C.S. Effects of rolling temperature on the microstructure and mechanical properties of Ti–Mo microalloyed hot-rolled high strength steel. Mater. Sci. Eng. A 2014, 605, 244–252. [Google Scholar] [CrossRef]
- Li, C.; Chen, J.; Tu, X.; Han, Y. Effect of finish rolling temperature on microstructures and mechanical properties of 1000 MPa grade tempered steel plate for hydropower station. J. Manuf. Process. 2021, 67, 1–11. [Google Scholar] [CrossRef]
- Sun, R.; Mi, G. Influence of Alloying Elements Content on High Temperature Properties of Ti-V-Cr and Ti-Al-V Series Titanium Alloys: A JMatPro Program Calculation Study. J. Phys. Conf. Ser. 2023, 2639, 012019. [Google Scholar] [CrossRef]
- Varanasi, R.S.; Gault, B.; Ponge, D. Effect of Nb micro-alloying on austenite nucleation and growth in a medium manganese steel during intercritical annealing. Acta Mater. 2022, 229, 117786. [Google Scholar] [CrossRef]
- Papa Rao, M.; Subramanya Sarma, V.; Sankaran, S. Microstructure and mechanical properties of V-Nb microalloyed ultrafine-grained dual-phase steels processed through severe cold rolling and intercritical annealing. Metall. Mater. Trans. A 2017, 48, 1176–1188. [Google Scholar] [CrossRef]
- Chu, J.; Zhang, L.; Yang, J.; Bao, Y.; Ali, N.; Zhang, C. Characterization of precipitation, evolution, and growth of MnS inclusions in medium/high manganese steel during solidification process. Mater. Charact. 2022, 194, 112367. [Google Scholar] [CrossRef]
- Liu, X.-G.; Wang, C.; Gui, J.-T.; Xiao, Q.-Q.; Guo, B.-F. Effect of MnS inclusions on deformation behavior of matrix based on in-situ experiment. Mater. Sci. Eng. A 2019, 746, 239–247. [Google Scholar] [CrossRef]
- Tervo, H.; Kaijalainen, A.; Pikkarainen, T.; Mehtonen, S.; Porter, D. Effect of impurity level and inclusions on the ductility and toughness of an ultra-high-strength steel. Mater. Sci. Eng. A 2017, 697, 184–193. [Google Scholar] [CrossRef]
- Dai, P.; Li, Z.; Hong, C.; Chang, F.; Zhao, X.; Chen, L.; Tian, J.; Chen, H.; Huang, J.; Tang, Q. Enhancing room and cryogenic temperatures mechanical properties of FeCoCrNiMn high entropy alloys with high content of inexpensive element P. Mater. Sci. Eng. A 2024, 920, 147543. [Google Scholar] [CrossRef]
- Chen, X.-M.; Song, S.-H.; Weng, L.-Q.; Liu, S.-J.; Wang, K. Relation of ductile-to-brittle transition temperature to phosphorus grain boundary segregation for a Ti-stabilized interstitial free steel. Mater. Sci. Eng. A 2011, 528, 8299–8304. [Google Scholar] [CrossRef]
- Zhao, J. Effects of Finish Rolling Start Temperature on Mechanical Properties at the Center of Ultra High Strength Heavy Plate. Wide Heavy Plate 2019, 25, 5. [Google Scholar]
- Song, W. Influence of High Speed Wire Rolling Temperature and Spinning Temperature on 82B Performance; Iron Steel Xinjiang: Urumqi, China, 2020; Volume 153. [Google Scholar]
- Gao, X.; Zhang, Y.; Li, Q.; Li, X.; Zhang, M. Dynamic continuous cooling transformation of Nb, V and N microalloyed hot-rolled TRIP steel. Heat Treat. Met. 2018, 43, 1–6. [Google Scholar]
- Cheng, Z.; He, J.; Pang, Q.; Chen, X.; Yin, L.; Xu, D. Continuous cooling phase transformation behavior of extra large replacement ring steel HG80. Trans. Mater. Heat Treat. 2024, 45, 184–191. [Google Scholar]
- YB/T 4641-2018; Cryogenic ribbed bars for the reinforced concrete tanks of LNG. Ministry of Industry and Information Technology of the People’s Republic of China: Beijing, China, 2018.


















| Steel | C | Si | Mn | Ni | V | Al | P | S | N | Fe |
| HRB500DW | 0.07 | 0.30 | 1.51 | 1.03 | 0.08 | 0.027 | 0.007 | 0.002 | 0.0081 | Bal. |
| Steel | Temperature (°C) | Expansion (μm/°C) |
|---|---|---|
| HRB500DW | 300 | 1.63 × 10−2 |
| HRB500DW | 400 | 1.63 × 10−2 |
| HRB500DW | 500 | 1.63 × 10−2 |
| HRB500DW | 600 | 1.63 × 10−2 |
| HRB500DW | 702 | 1.63 × 10−2 |
| HRB500DW | 750 | −2.21 × 10−2 |
| HRB500DW | 800 | −2.21 × 10−2 |
| HRB500DW | 860 | 1.86 × 10−2 |
| HRB500DW | 900 | 1.86 × 10−2 |
| HRB500DW | 950 | 1.86 × 10−2 |
| Initial Rolling Temperature | Cooling Rate (°C/s) | Fs/°C | Ps/°C | Bs/°C | Ms/°C |
|---|---|---|---|---|---|
| DW5 (1050 °C) | 1 | 747 | 627 | ||
| 2 | 744 | 600 | |||
| 5 | 720 | 585 | 580 | ||
| 10 | 693 | 573 | 570 | ||
| 15 | 670 | 564 | 564 | 397 | |
| 20 | 654 | 555 | 436 | ||
| 25 | 646 | 550 | 471 | ||
| 30 | 636 | 547 | 500 | ||
| 35 | 627 | 541 | 523 | ||
| 40 | 610 | 547 | |||
| DW6 (1000 °C) | 1 | 751 | 605 | ||
| 2 | 732 | 586 | |||
| 5 | 704 | 572 | 568 | ||
| 10 | 680 | 561 | 556 | 397 | |
| 15 | 663 | 548 | 548 | 435 | |
| 20 | 643 | 537 | 459 | ||
| 25 | 632 | 512 | 475 | ||
| 30 | 615 | 497 | 492 | ||
| 35 | 605 | 487 | 512 | ||
| 40 | 589 | 530 |
| Initial Rolling Temperature | Cooling Rate (°C/s) | HV | Initial Rolling Temperature | Cooling Rate (°C/s) | HV |
|---|---|---|---|---|---|
| DW5 (1050 °C) | 1 | 200 | DW6 (1000 °C) | 1 | 207 |
| 2 | 203 | 2 | 217 | ||
| 5 | 224 | 5 | 227 | ||
| 10 | 243 | 10 | 237 | ||
| 15 | 246 | 15 | 255 | ||
| 20 | 245 | 20 | 260 | ||
| 25 | 250 | 25 | 261 | ||
| 30 | 258 | 30 | 279 | ||
| 35 | 275 | 35 | 281 | ||
| 40 | 289 | 40 | 291 |
| Initial Rolling Temperature | Cooling Rate (°C/s) | Metal Organization | Initial Rolling Temperature | Cooling Rate (°C/s) | Metal Organization |
|---|---|---|---|---|---|
| DW5 (1050 °C) | 1 | F + P | DW6 (1000 °C) | 1 | F + P |
| 2 | F + P | 2 | F + P | ||
| 5 | F + P + B | 5 | F + P + B | ||
| 10 | F + P + B | 10 | F + P + M | ||
| 15 | F + B + M | 15 | F + B + M | ||
| 20 | F + B + M | 20 | F + B + M | ||
| 25 | F + B + M | 25 | F + B + M | ||
| 30 | F + B + M | 30 | F + B + M | ||
| 35 | F + B + M | 35 | F + B + M | ||
| 40 | F + M | 40 | F + M |
| Steel | φ | Rm/MPa | RP0.2/MPa | Rm/RP0.2 | A% | Agt% | Tensile Temperature | Notch |
|---|---|---|---|---|---|---|---|---|
| HRB500DW | 20 mm | 883 | 796 | 1.11 | 16 | 8.64 | −163 °C | no |
| HRB500DW | 16 mm | 838 | 751 | 1.12 | 14 | 6.21 | −163 °C | no |
Disclaimer/Publisher’s Note: The statements, opinions and data contained in all publications are solely those of the individual author(s) and contributor(s) and not of MDPI and/or the editor(s). MDPI and/or the editor(s) disclaim responsibility for any injury to people or property resulting from any ideas, methods, instructions or products referred to in the content. |
© 2025 by the authors. Licensee MDPI, Basel, Switzerland. This article is an open access article distributed under the terms and conditions of the Creative Commons Attribution (CC BY) license (https://creativecommons.org/licenses/by/4.0/).
Share and Cite
Ma, Z.; Cao, J.; Zhang, Z.; Zhang, H.; Yin, S.; Liu, B.; Zhang, X. Effect of Initial Rolling Temperature on the Microstructure Evolution of Liquified Nature Gas Low-Temperature-Resistant Steel Bars. Materials 2025, 18, 716. https://doi.org/10.3390/ma18030716
Ma Z, Cao J, Zhang Z, Zhang H, Yin S, Liu B, Zhang X. Effect of Initial Rolling Temperature on the Microstructure Evolution of Liquified Nature Gas Low-Temperature-Resistant Steel Bars. Materials. 2025; 18(3):716. https://doi.org/10.3390/ma18030716
Chicago/Turabian StyleMa, Zhenghong, Jun Cao, Zhibo Zhang, Huanhuan Zhang, Shubiao Yin, Bingguo Liu, and Xiaosong Zhang. 2025. "Effect of Initial Rolling Temperature on the Microstructure Evolution of Liquified Nature Gas Low-Temperature-Resistant Steel Bars" Materials 18, no. 3: 716. https://doi.org/10.3390/ma18030716
APA StyleMa, Z., Cao, J., Zhang, Z., Zhang, H., Yin, S., Liu, B., & Zhang, X. (2025). Effect of Initial Rolling Temperature on the Microstructure Evolution of Liquified Nature Gas Low-Temperature-Resistant Steel Bars. Materials, 18(3), 716. https://doi.org/10.3390/ma18030716

