Modeling the Carbothermal Chlorination Mechanism of Titanium Dioxide in Molten Salt Using a Deep Neural Network Potential
Abstract
1. Introduction
2. Method
2.1. AIMD Method and Parameters
2.2. DeePMD Method Training and Validation
2.3. DeePMD Model Construction and Parameters
2.4. Experimental Details
3. Results
3.1. AIMD
3.2. DeePMD
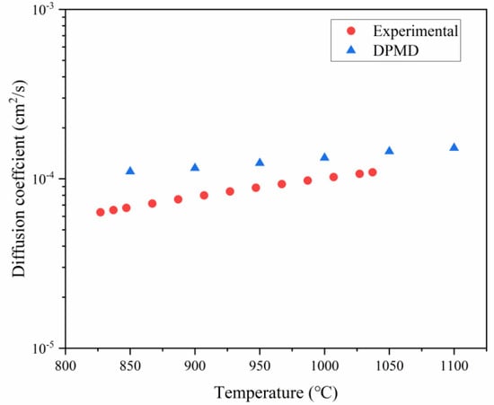
3.3. Experimentation and Validation
4. Conclusions and Discussion
Supplementary Materials
Author Contributions
Funding
Institutional Review Board Statement
Informed Consent Statement
Data Availability Statement
Conflicts of Interest
References
- Ezugwu, E.O.; Wang, Z.M. Titanium Alloys and Their Machinability—A Review. J. Mater. Process. Technol. 1997, 68, 262–274. [Google Scholar] [CrossRef]
- Fang, Z.Z.; Middlemas, S.; Guo, J.; Fan, P. A New, Energy-Efficient Chemical Pathway for Extracting Ti Metal from Ti Minerals. J. Am. Chem. Soc. 2013, 135, 18248–18251. [Google Scholar] [CrossRef] [PubMed]
- Ober, J.A. Mineral Commodity Summaries 2016; U.S. Geological Survey: Reston, VA, USA, 2016. [CrossRef]
- Jones, G. Mineral sands: An overview of the industry. J. Capel Iluka Resour. Ltd. 2009, Unpublished. [Google Scholar]
- Earlam, M.R. Chapter 6—The Kroll Process and Production of Titanium Sponge. In Extractive Metallurgy of Titanium; Fang, Z.Z., Froes, F.H., Zhang, Y., Eds.; Elsevier: Amsterdam, The Netherlands, 2020; pp. 97–112. [Google Scholar] [CrossRef]
- Zhang, Q.-H.; Gao, L.; Guo, J.-K. Preparation and Characterization of Nanosized TiO2 Powders from Aqueous TiCl4 Solution. Nanostruct. Mater. 1999, 11, 1293–1300. [Google Scholar] [CrossRef]
- Bordbar, H.; Yousefi, A.A.; Abedini, H. Production of Titanium Tetrachloride (TiCl4) from Titanium Ores: A Review. Polyolefins J. 2017, 4, 149–173. [Google Scholar] [CrossRef]
- DING, J.; ZHANG, Y.; LI, L.; LI, H. Metallogenic Geological Characteristics and Titanium Resources Potential in China. Geol. China 2020, 47, 627–644. [Google Scholar] [CrossRef]
- Zhu, F.; Ma, S.; Ma, Z.; Qi, L.; Peng, W.; Li, K.; Qiu, K. Preparation of TiCl4 from Panzhihua Ilmenite Concentrate by Boiling Chlorination. J. Mater. Res. Technol. 2023, 23, 2703–2718. [Google Scholar] [CrossRef]
- Chen, F.; Liu, C.; Wen, Y.; Zhu, F.; Yao, H.; Guo, Y.; Wang, S.; Yang, L. The Conversion of Calcium-Containing Phases and Their Separation with NaCl in Molten Salt Chlrinated Slags at High Temperature. Sustainability 2022, 14, 293. [Google Scholar] [CrossRef]
- Andrade Gamboa, J.; Bohé, A.E.; Pasquevich, D.M. Carbochlorination of TiO2. Thermochim. Acta 1999, 334, 131–139. [Google Scholar] [CrossRef]
- Niu, L.; Zhang, T.; Ni, P.; Lü, G.; Ouyang, K. Fluidized-Bed Chlorination Thermodynamics and Kinetics of Kenya Natural Rutile Ore. Trans. Nonferrous Met. Soc. China 2013, 23, 3448–3455. [Google Scholar] [CrossRef]
- He, S.; Ling, L.; Wu, Y.; Yang, S.; Hua, Z.; Tang, K.; Wang, M.; Zhu, M.; Fang, J. Roles of Activated Carbon in UV/Chlorine/Activated Carbon–TiO2 Process for Micropollutant Abatement and DBP Control. Environ. Sci. Technol. 2023, 57, 9055–9063. [Google Scholar] [CrossRef] [PubMed]
- Jing, J.; Guo, Y.; Chen, F.; Wang, S.; Yang, L. A Novel Sequential Leaching Process for Titanium Slag to Increase TiO2 Grade to Prepare Boiling Chlorinated Charges. Hydrometallurgy 2023, 217, 106023. [Google Scholar] [CrossRef]
- Sampath, A.H.J.; Wickramasinghe, N.D.; de Silva, K.M.N.; de Silva, R.M. Methods of Extracting TiO2 and Other Related Compounds from Ilmenite. Minerals 2023, 13, 662. [Google Scholar] [CrossRef]
- Taninouchi, Y.; Hamanaka, Y.; Okabe, T.H. Chlorination-Volatilization Behavior of Titanium Metal Scraps during Recycling Using Reaction-Mediating Molten Salt. Mater. Trans. 2016, 57, 1309–1318. [Google Scholar] [CrossRef]
- Van Artsdalen, E.R.; Yaffe, I.S. Electrical Conductance and Density of Molten Salt Systems: KCl–LiCl, KCl–NaCl and KCl–KI. J. Phys. Chem. 1955, 59, 118–127. [Google Scholar] [CrossRef]
- Janz, G.J.; Bansal, N.P. Molten Salts Data: Diffusion Coefficients in Single and Multi-Component Salt Systems. J. Phys. Chem. Ref. Data 1982, 11, 505–693. [Google Scholar] [CrossRef]
- Yang, F.; Wen, L.; Peng, Q.; Zhao, Y.; Xu, J.; Hu, M.; Zhang, S.; Yang, Z. Prediction of Structural and Electronic Properties of Cl2 Adsorbed on TiO2(100) Surface with C or CO in Fluidized Chlorination Process: A First-Principles Study. J. Cent. South Univ. 2021, 28, 29–38. [Google Scholar] [CrossRef]
- Deng, P.; Li, L.; Jia, Y.; Jiang, W.; Liu, D.; Chen, X.; Kong, L. First-Principles Molecular Dynamics Study on Ionic Structure and Transport Properties of NaCl-MgCl2-CaCl2 Ternary Molten Salt System. Adv. Theory Simul. 2023, 6, 2200833. [Google Scholar] [CrossRef]
- Fiolhais, C.; Nogueira, F.; Marques, M.A.L. A Primer in Density Functional Theory; Springer Science & Business Media: Berlin/Heidelberg, Germany, 2003. [Google Scholar]
- Parr, R.G. Density Functional Theory. Annu. Rev. Phys. Chem. 1983, 34, 631–656. [Google Scholar] [CrossRef]
- Jones, R.O. Density Functional Theory: Its Origins, Rise to Prominence, and Future. Rev. Mod. Phys. 2015, 87, 897–923. [Google Scholar] [CrossRef]
- Hafner, J. Ab-Initio Simulations of Materials Using VASP: Density-Functional Theory and Beyond. J. Comput. Chem. 2008, 29, 2044–2078. [Google Scholar] [CrossRef]
- Smith, J.S.; Isayev, O.; Roitberg, A.E. ANI-1: An Extensible Neural Network Potential with DFT Accuracy at Force Field Computational Cost. Chem. Sci. 2017, 8, 3192–3203. [Google Scholar] [CrossRef] [PubMed]
- Morawietz, T.; Singraber, A.; Dellago, C.; Behler, J. How van Der Waals Interactions Determine the Unique Properties of Water. Proc. Natl. Acad. Sci. USA 2016, 113, 8368–8373. [Google Scholar] [CrossRef] [PubMed]
- Schütt, K.T.; Arbabzadah, F.; Chmiela, S.; Müller, K.R.; Tkatchenko, A. Quantum-Chemical Insights from Deep Tensor Neural Networks. Nat. Commun. 2017, 8, 13890. [Google Scholar] [CrossRef] [PubMed]
- Rupp, M.; Tkatchenko, A.; Müller, K.-R.; Von Lilienfeld, O.A. Fast and Accurate Modeling of Molecular Atomization Energies with Machine Learning. Phys. Rev. Lett. 2012, 108, 058301. [Google Scholar] [CrossRef]
- Zeng, J.; Cao, L.; Xu, M.; Zhu, T.; Zhang, J.Z.H. Complex Reaction Processes in Combustion Unraveled by Neural Network-Based Molecular Dynamics Simulation. Nat. Commun. 2020, 11, 5713. [Google Scholar] [CrossRef] [PubMed]
- Zheng, S.; Qin, W.; Ji, H.; Guo, W.; Fang, J. Predicting Rate Constants of Reactive Chlorine Species toward Organic Compounds by Combining Machine Learning and Quantum Chemical Calculation. Environ. Sci. Technol. Lett. 2023, 10, 804–809. [Google Scholar] [CrossRef]
- Wu, Z.; Yin, W.-J.; Wen, B.; Ma, D.; Liu, L.-M. Oxygen Vacancy Diffusion in Rutile TiO2: Insight from Deep Neural Network Potential Simulations. J. Phys. Chem. Lett. 2023, 14, 2208–2214. [Google Scholar] [CrossRef]
- Wang, H.; Zhang, L.; Han, J.; E, W. DeePMD-Kit: A Deep Learning Package for Many-Body Potential Energy Representation and Molecular Dynamics. Comput. Phys. Commun. 2018, 228, 178–184. [Google Scholar] [CrossRef]
- Akkermans, R.L.C.; Spenley, N.A.; Robertson, S.H. Monte Carlo Methods in Materials Studio. Mol. Simul. 2013, 39, 1153–1164. [Google Scholar] [CrossRef]
- Evans, D.J.; Holian, B.L. The Nose–Hoover Thermostat. J. Chem. Phys. 1985, 83, 4069–4074. [Google Scholar] [CrossRef]
- Clark, S.J.; Segall, M.D.; Pickard, C.J.; Hasnip, P.J.; Probert, M.I.J.; Refson, K.; Payne, M.C. First Principles Methods Using CASTEP. Z. Krist.-Cryst. Mater. 2005, 220, 567–570. [Google Scholar] [CrossRef]
- Perdew, J.P.; Burke, K.; Wang, Y. Generalized Gradient Approximation for the Exchange-Correlation Hole of a Many-Electron System. Phys. Rev. B 1996, 54, 16533–16539. [Google Scholar] [CrossRef] [PubMed]
- Evarestov, R.A.; Smirnov, V.P. Modification of the Monkhorst-Pack Special Points Meshes in the Brillouin Zone for Density Functional Theory and Hartree-Fock Calculations. Phys. Rev. B 2004, 70, 233101. [Google Scholar] [CrossRef]
- Zeng, J.; Zhang, D.; Lu, D.; Mo, P.; Li, Z.; Chen, Y.; Rynik, M.; Huang, L.; Li, Z.; Shi, S.; et al. DeePMD-Kit v2: A Software Package for Deep Potential Models. J. Chem. Phys. 2023, 159, 054801. [Google Scholar] [CrossRef]
- Thompson, A.P.; Aktulga, H.M.; Berger, R.; Bolintineanu, D.S.; Brown, W.M.; Crozier, P.S.; in ’t Veld, P.J.; Kohlmeyer, A.; Moore, S.G.; Nguyen, T.D.; et al. LAMMPS—a Flexible Simulation Tool for Particle-Based Materials Modeling at the Atomic, Meso, and Continuum Scales. Comput. Phys. Commun. 2022, 271, 108171. [Google Scholar] [CrossRef]
- Visualization and Analysis of Atomistic Simulation Data with OVITO—The Open Visualization Tool—IOPscience. Available online: https://iopscience.iop.org/article/10.1088/0965-0393/18/1/015012/meta (accessed on 22 May 2024).
- Matteoli, E.; Mansoori, G.A. A simple expression for radial distribution functions of pure fluids and mixtures. J. Chem. Phys. 1995, 103, 4672–4677. [Google Scholar] [CrossRef]










| Bond | After OPT | 300 fs | 450 fs | 690 fs | 2375 fs | 5000 fs | ||||||
|---|---|---|---|---|---|---|---|---|---|---|---|---|
| Population | Length (Å) | Population | Length (Å) | Population | Length (Å) | Population | Length (Å) | Population | Length (Å) | Population | Length (Å) | |
| C1-O2 | — | 3.68690 | 0.80 | 1.35759 | 0.59 | 1.38324 | 0.74 | 1.27884 | — | 2.86763 | — | — |
| Ti2-O1 | 0.41 | 1.88325 | 0.48 | 1.97810 | 0.48 | 2.03756 | 0.39 | 1.91971 | 0.40 | 2.01386 | 0.43 | 1.92439 |
| Ti2-O2 | 0.45 | 1.84217 | — | 3.04041 | — | — | — | — | — | — | — | — |
| Ti3-O2 | 0.50 | 1.83314 | — | 2.87562 | — | — | — | — | — | — | — | — |
| Ti1-O1 | 0.31 | 2.03791 | 0.02 | 2.95439 | — | — | — | — | — | — | — | — |
| Ti1-O3 | 0.30 | 2.11359 | 0.36 | 1.98639 | — | 3.44442 | — | — | — | — | — | — |
| Ti1-O4 | 0.20 | 2.17955 | 0.54 | 1.85613 | 0.43 | 1.87039 | 0.45 | 1.87781 | 0.11 | 2.49343 | — | 4.19313 |
| Ti1-Cl1 | — | — | — | — | — | — | 0.54 | 2.34211 | 0.55 | 2.37071 | 0.51 | 2.29606 |
| Ti1-Cl2 | — | — | — | — | — | — | — | — | 0.40 | 2.32773 | 0.43 | 2.26223 |
| Ti1-Cl3 | — | — | — | — | — | — | — | — | — | — | 0.65 | 2.21200 |
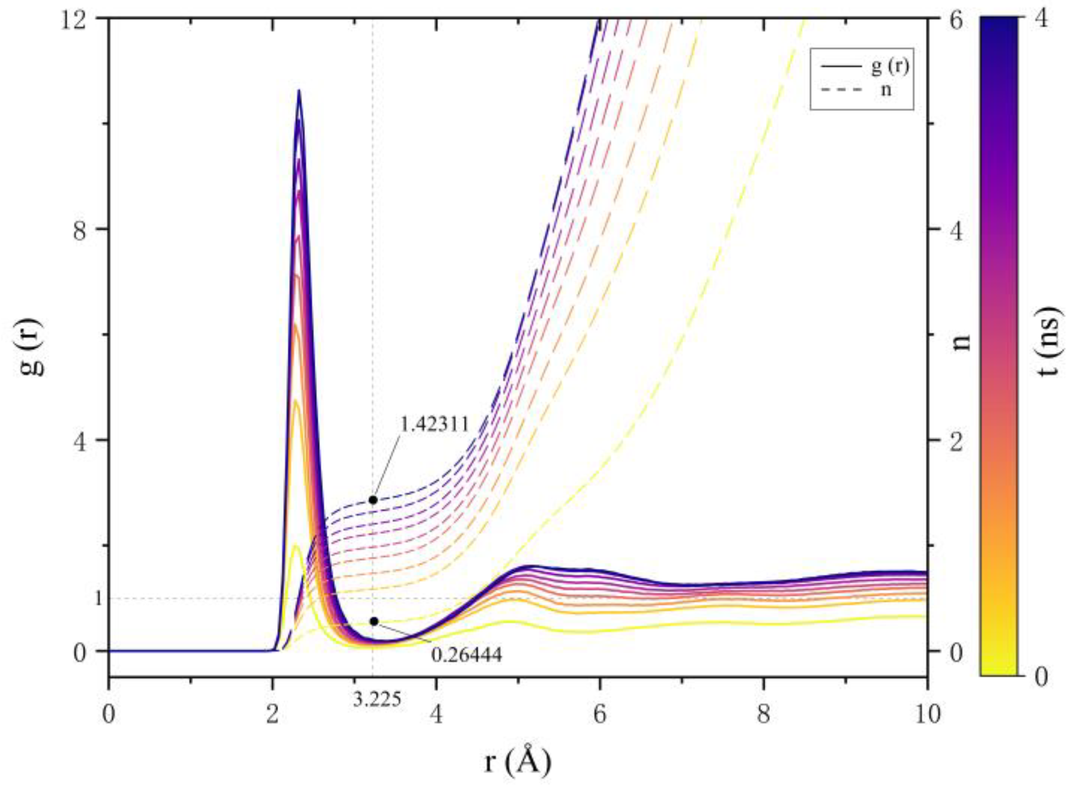
| Time Period (ns) | CN | Time Period (ns) | CN |
|---|---|---|---|
| 0~0.2 | 0.26444 | 1.2~1.5 | 1.11075 |
| 0.2~0.5 | 0.58524 | 1.5~2 | 1.20147 |
| 0.5~0.7 | 0.73463 | 2.5~3 | 1.31607 |
| 0.7~1 | 0.87946 | 3.9~4 | 1.42311 |
| 1~1.2 | 0.98397 |
Disclaimer/Publisher’s Note: The statements, opinions and data contained in all publications are solely those of the individual author(s) and contributor(s) and not of MDPI and/or the editor(s). MDPI and/or the editor(s) disclaim responsibility for any injury to people or property resulting from any ideas, methods, instructions or products referred to in the content. |
© 2025 by the authors. Licensee MDPI, Basel, Switzerland. This article is an open access article distributed under the terms and conditions of the Creative Commons Attribution (CC BY) license (https://creativecommons.org/licenses/by/4.0/).
Share and Cite
Zhang, E.; Chen, X.; Zhou, J.; Wu, H.; Chen, Y.; Huang, H.; Li, J.; Yang, Q. Modeling the Carbothermal Chlorination Mechanism of Titanium Dioxide in Molten Salt Using a Deep Neural Network Potential. Materials 2025, 18, 659. https://doi.org/10.3390/ma18030659
Zhang E, Chen X, Zhou J, Wu H, Chen Y, Huang H, Li J, Yang Q. Modeling the Carbothermal Chlorination Mechanism of Titanium Dioxide in Molten Salt Using a Deep Neural Network Potential. Materials. 2025; 18(3):659. https://doi.org/10.3390/ma18030659
Chicago/Turabian StyleZhang, Enhao, Xiumin Chen, Jie Zhou, Huapeng Wu, Yunmin Chen, Haiguang Huang, Jianjun Li, and Qian Yang. 2025. "Modeling the Carbothermal Chlorination Mechanism of Titanium Dioxide in Molten Salt Using a Deep Neural Network Potential" Materials 18, no. 3: 659. https://doi.org/10.3390/ma18030659
APA StyleZhang, E., Chen, X., Zhou, J., Wu, H., Chen, Y., Huang, H., Li, J., & Yang, Q. (2025). Modeling the Carbothermal Chlorination Mechanism of Titanium Dioxide in Molten Salt Using a Deep Neural Network Potential. Materials, 18(3), 659. https://doi.org/10.3390/ma18030659
