Experimental Study on Mechanical Properties of Thermally Conductive High-Strength Concrete
Abstract
1. Introduction
2. Materials and Methods
2.1. Raw Materials
2.1.1. Binders
2.1.2. Fine Aggregates
2.1.3. Steel Fibers
2.2. Mix Design
2.3. Specimen Preparation
2.4. Test Methods
2.4.1. Fluidity Test
2.4.2. Mechanical Test
2.4.3. Water Absorption Test
2.4.4. Thermal Performance Test
2.4.5. High-Temperature Mechanical Properties
2.4.6. Industrial Computerized Tomography (ICT) Scan
3. Results and Discussion
3.1. Mixture with Different Ratios
3.1.1. Fluidity
3.1.2. Mechanical Properties
3.1.3. Water Absorption
3.2. Measurement of Thermal Performance of Specimen
3.2.1. Thermal Conductivity
3.2.2. Specific Heat Capacity Test
3.3. Fire Resistance Performance Test
3.3.1. High Temperature Heating
3.3.2. Mass Loss Rate
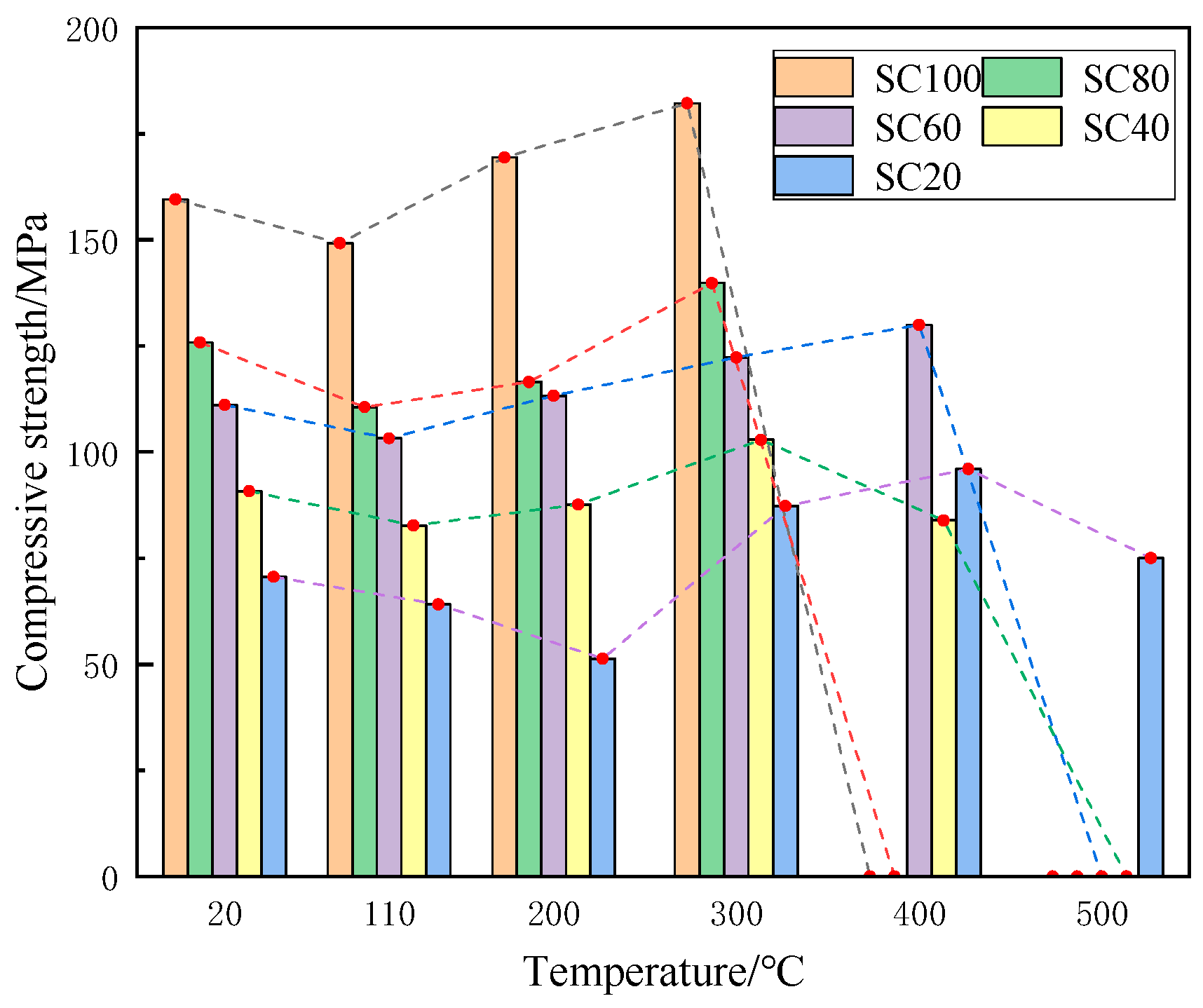
3.3.3. Compressive Properties After Heating
3.4. Microstructure Analysis
4. Conclusions
- The mix ratio was optimized with the w/b and fluidity; the fluidity of the five chosen mix ratios was set between 180 and 200 mm, and the fluidity and water absorption increased with the increase in the CGS substitution ratio.
- CGS and SiC has the potential for application in UHPC as quartz sand. With increasing SiC substitution ratios, the splitting and compressive strength of specimens increased on days 7, 14, and 28. Compared with ordinary concrete, it still shows better compressive and splitting strength.
- The test results of thermal conductivity and specific heat capacity shows that the addition of SiC can improve the thermal conductivity and the thermal stability of concrete. Based on the testing results of specific heat capacity, the peak and valley occurs at T = 60–100 °C and T = 300–350 °C, which correspond with the high temperature spalling phenomenon of the specimen at 300 °C.
- With the increase in temperature, the spalling phenomenon is more severe, and the high-temperature resistance of the specimens with lower substitution of SiC is better than that of the specimens with higher substitution. Through ICT scanning, the specimen of SC20 has smaller pores, which are much smaller than those in SC100. Both the substitution of SiC and pore distribution can influence the fire resistance performance of concrete. The inner structure change at temperatures of 300–350 °C is critical to the fire resistance of the designed concrete samples. More research will be continued to explain those experimental phenomena in future study.
Author Contributions
Funding
Institutional Review Board Statement
Informed Consent Statement
Data Availability Statement
Conflicts of Interest
References
- Liang, X.; Wu, C.; Su, Y.; Chen, Z.; Li, Z. Development of ultra-high performance concrete with high fire resistance. Constr. Build. Mater. 2018, 179, 400–412. [Google Scholar] [CrossRef]
- Bolina, F.L.; Poleto, G.; Carvalho, H. Proposition of parametric data for UHPC at high temperatures. J. Build. Eng. 2023, 76, 107222. [Google Scholar] [CrossRef]
- Chen, S. Review of heat resistant concrete. In Proceedings of the Journal of Physics: Conference Series; IOP Publishing: Bristol, UK, 2023. [Google Scholar]
- Du, Y.; Qi, H.H.; Huang, S.S.; Liew, J.R. Experimental study on the spalling behaviour of ultra-high strength concrete in fire. Constr. Build. Mater. 2020, 258, 120334. [Google Scholar] [CrossRef]
- Banerji, S.; Kodur, V. Effect of temperature on mechanical properties of ultra-high performance concrete. Fire Mater. 2022, 46, 287–301. [Google Scholar] [CrossRef]
- Xu, R.; Xiao, Q. Study on strength and structure damage rules of lightweight aggregate concrete under fire temperatures. Fire Sci. Technol. 2019, 38, 760–763. [Google Scholar]
- Liang, X.; Wu, C.; Yang, Y.; Li, Z. Experimental study on ultra-high performance concrete with high fire resistance under simultaneous effect of elevated temperature and impact loading. Cem. Concr. Compos. 2019, 98, 29–38. [Google Scholar] [CrossRef]
- Hernández-Figueirido, D.; Reig, L.; Melchor-Eixea, A.; Roig-Flores, M.; Albero, V.; Piquer, A.; Pitarch, A.M. Spalling phenomenon and fire resistance of ultrahigh-performance concrete. Constr. Build. Mater. 2024, 443, 137695. [Google Scholar] [CrossRef]
- Qin, H.; Yang, J.; Yan, K.; Doh, J.H.; Wang, K.; Zhang, X. Experimental research on the spalling behaviour of ultra-high performance concrete under fire conditions. Constr. Build. Mater. 2021, 303, 124464. [Google Scholar] [CrossRef]
- Yang, I.-H.; Park, J. Mechanical and Thermal Properties of UHPC Exposed to High-Temperature Thermal Cycling. Adv. Mater. Sci. Eng. 2019, 2019, 9723693. [Google Scholar] [CrossRef]
- Zhou, T.; Sheng, X. Experimental study of flexural performance of UHPC–NC laminated beams exposed to fire. Materials 2022, 15, 2605. [Google Scholar] [CrossRef] [PubMed]
- Zheng, W.; Luo, B.; Wang, Y. Microstructure and mechanical properties of RPC containing PP fibres at elevated temperatures. Mag. Concr. Res. 2014, 66, 397–408. [Google Scholar] [CrossRef]
- Wu, M.; Shen, J.; Qin, Y.; Yang, L.; Song, X.; Zhu, S.; Li, J. Mineralogy and geochemistry of the M9 high-sulfur coal from the Renjiazhuang Mining District, China. ACS Omega 2022, 7, 29794–29803. [Google Scholar] [CrossRef] [PubMed]
- Wang, X.; Tang, Y.; Wang, S.; Schobert, H.H. Clean coal geology in China: Research advance and its future. Int. J. Coal Sci. Technol. 2020, 7, 299–310. [Google Scholar] [CrossRef]
- Minchener, A.J. Coal gasification for advanced power generation. Fuel 2005, 84, 2222–2235. [Google Scholar] [CrossRef]
- Liu, Y.; Wei, Y. Effect of calcined bauxite powder or aggregate on the shrinkage properties of UHPC. Cem. Concr. Compos. 2021, 118, 103967. [Google Scholar] [CrossRef]
- Zhu, Z.; Lian, X.; Zhai, X.; Li, X.; Guan, M.; Wang, X. Mechanical properties of ultra-high performance concrete with coal gasification coarse slag as river sand replacement. Materials 2022, 15, 7552. [Google Scholar] [CrossRef] [PubMed]
- Li, H.; Hu, Y.; Li, S.; Li, Q.; Zhu, G.; Zhang, J.; Wang, X. Recycling and product chain of coal-based solid waste. Resour. Sci. 2021, 43, 456–464. [Google Scholar] [CrossRef]
- Ishikawa, Y. Utilization of coal gasification slag collected from IGCC as fine aggregate for concrete. In Proceedings of the EUROCOALASH 2012 Conference, Thessaloniki, Greece, 25–27 September 2012. [Google Scholar]
- Fang, K.; Zhang, D.; Wang, D.; Liu, Z.; Zhang, M.; Zhang, S. The impact of coal gasification slag powder on fluidity, rheology and viscoelasticity properties of fresh cement paste. J. Build. Eng. 2023, 69, 106237. [Google Scholar] [CrossRef]
- Luo, F.; Jiang, Y.; Wei, C. Potential of decarbonized coal gasification residues as the mineral admixture of cement-based material. Constr. Build. Mater. 2021, 269, 121259. [Google Scholar] [CrossRef]
- Blaisi, N.I.; Roessler, J.G.; Watts, B.E.; Paris, J.; Ferraro, C.C.; Townsend, T.G. Construction material properties of high temperature arc gasification slag as a portland cement replacement. J. Clean. Prod. 2018, 196, 1266–1272. [Google Scholar] [CrossRef]
- Jiao, Y.; Zhang, Y.; Guo, M.; Zhang, L.; Ning, H.; Liu, S. Mechanical and fracture properties of ultra-high performance concrete (UHPC) containing waste glass sand as partial replacement material. J. Clean. Prod. 2020, 277, 123501. [Google Scholar] [CrossRef]
- Wei, C.; Li, Y.; Liu, X.; Zhang, Z.; Wu, P.; Gu, J. Large-scale application of coal gasification slag in nonburnt bricks: Hydration characteristics and mechanism analysis. Constr. Build. Mater. 2024, 421, 135674. [Google Scholar] [CrossRef]
- GB/T8239-2014; Normal Concrete Small Block. Chinese Standard: Beijing, China, 2014.
- Zhang, Z.; Zhang, Z.; Yin, S.; Yu, L. Utilization of iron tailings sand as an environmentally friendly alternative to natural river sand in high-strength concrete: Shrinkage characterization and mitigation strategies. Materials 2020, 13, 5614. [Google Scholar] [CrossRef] [PubMed]
- Luo, W.; Wang, H.; Li, X.; Wang, X.; Wu, Z.; Zhang, Y.; Lian, X.; Li, X. Mechanical properties of reactive powder concrete with coal gangue as sand replacement. Materials 2022, 15, 1807. [Google Scholar] [CrossRef]
- ASTMC230/C230M-2014; Standard Specification for Flow Table for Use in Test of Hydraulic Cement. American Society for Testing Materials Standard: New York, NY, USA, 2014.
- ASTM C1585-2013; Standard Test Method for Measurement of Rate of Absorption of Water by Hvdraulic Cement Concretes. American society for Testing Materials Standard: New York, NY, USA, 2013.
- Wyżga, P.; Veremchuk, I.; Bobnar, M.; Koželj, P.; Klenner, S.; Pöttgen, R.; Leithe-Jasper, A.; Gumeniuk, R. Structural peculiarities and thermoelectric study of iron indium thiospinel. Chem.–Eur. J. 2020, 26, 5245–5256. [Google Scholar] [CrossRef]
- Sohail, M.G.; Wang, B.; Jain, A.; Kahraman, R.; Ozerkan, N.G.; Gencturk, B.; Dawood, M.; Belarbi, A. Advancements in concrete mix designs: High-performance and ultrahigh-performance concretes from 1970 to 2016. J. Mater. Civ. Eng. 2018, 30, 04017310. [Google Scholar] [CrossRef]
- Balsamo, M.; Di Natale, F.; Erto, A.; Lancia, A.; Montagnaro, F.; Santoro, L. Gasification of coal combustion ash for its reuse as adsorbent. Fuel 2013, 106, 147–151. [Google Scholar] [CrossRef]
- Jelčić Rukavina, M.; Gabrijel, I.; Netinger Grubeša, I.; Mladenovič, A. Residual Compressive Behavior of Self-Compacting Concrete after High Temperature Exposure—Influence of Binder Materials. Materials 2022, 15, 2222. [Google Scholar] [CrossRef]












| Material | SiO2 | Al2O3 | Fe2O3 | CaO | MgO | Na2O | K2O |
|---|---|---|---|---|---|---|---|
| P.O 52.5 | 20.96 | 5.70 | 3.72 | 57.81 | 1.11 | 0.29 | 0.17 |
| FA | 42.43 | 21.83 | 12.81 | 15.12 | 2.12 | 2.04 | 1.02 |
| SF | 95.19 | - | 0.13 | - | 0.80 | - | - |
| LF | 3.45 | 1.47 | 0.24 | 52.12 | 0.77 | - | - |
| Material | SiO2 | SiC | Fe2O3 | F.C | Granularity (D50)/μm |
|---|---|---|---|---|---|
| SiC | 0.45 | 98.41 | 0.17 | 0.13 | 10 |
| Material | SiO2 | Al2O3 | Fe2O3 | CaO | MgO | Na2O | K2O |
|---|---|---|---|---|---|---|---|
| CGS | 41.19 | 15.46 | 17.70 | 12.61 | 1.68 | 1.71 | 1.36 |
| Mixture | SiC | CGS | P.O 52.5 | FA | SF | LS | STF | SP | Water | W/B | Fluidity (mm) |
|---|---|---|---|---|---|---|---|---|---|---|---|
| SC100 | 1200 | 0 | 600 | 400 | 200 | 100 | 100 | 50 | 256 | 0.24 | 240 |
| SC100 | 1200 | 0 | 600 | 400 | 200 | 100 | 100 | 50 | 234 | 0.22 | 200 |
| SC100 | 1200 | 0 | 600 | 400 | 200 | 100 | 100 | 13 | 228 | 0.19 | 170 |
| SC100 | 1200 | 0 | 600 | 400 | 200 | 100 | 100 | 13 | 234 | 0.19 | 198 |
| SC80 | 960 | 240 | 600 | 400 | 200 | 100 | 100 | 50 | 249 | 0.23 | 169 |
| SC80 | 960 | 240 | 600 | 400 | 200 | 100 | 100 | 50 | 255 | 0.23 | 174 |
| SC80 | 960 | 240 | 600 | 400 | 200 | 100 | 100 | 50 | 270 | 0.25 | 190 |
| SC60 | 720 | 480 | 600 | 400 | 200 | 100 | 100 | 50 | 276 | 0.25 | 173 |
| SC60 | 720 | 480 | 600 | 400 | 200 | 100 | 100 | 50 | 288 | 0.26 | 177 |
| SC60 | 720 | 480 | 600 | 400 | 200 | 100 | 100 | 50 | 294 | 0.26 | 189 |
| SC40 | 480 | 720 | 600 | 400 | 200 | 100 | 100 | 50 | 390 | 0.34 | 173 |
| SC40 | 480 | 720 | 600 | 400 | 200 | 100 | 100 | 50 | 420 | 0.36 | 221 |
| SC40 | 480 | 720 | 600 | 400 | 200 | 100 | 100 | 50 | 390 | 0.34 | 192 |
| SC20 | 240 | 960 | 600 | 400 | 200 | 100 | 100 | 50 | 420 | 0.36 | 170 |
| SC20 | 240 | 960 | 600 | 400 | 200 | 100 | 100 | 50 | 460 | 0.37 | 178 |
| SC20 | 240 | 960 | 600 | 400 | 200 | 100 | 100 | 50 | 465 | 0.40 | 201 |
| Mixture | SiC | CGS | P.O 52.5 | FA | SF | LS | STF | SP | Water | W/B | Fluidity (mm) |
|---|---|---|---|---|---|---|---|---|---|---|---|
| SC100 | 1200 | 0 | 600 | 400 | 200 | 100 | 100 | 50 | 234 | 0.22 | 200 |
| SC80 | 960 | 240 | 600 | 400 | 200 | 100 | 100 | 50 | 270 | 0.25 | 190 |
| SC60 | 720 | 480 | 600 | 400 | 200 | 100 | 100 | 50 | 294 | 0.26 | 189 |
| SC40 | 480 | 720 | 600 | 400 | 200 | 100 | 100 | 50 | 390 | 0.34 | 192 |
| SC20 | 240 | 960 | 600 | 400 | 200 | 100 | 100 | 50 | 465 | 0.40 | 201 |
| T/°C | Mixture | mb (g) | ma (g) | mb − ma (g) | Mass Loss Rate (%) |
|---|---|---|---|---|---|
| 110 | SC100 | 21.03 | 20.63 | 0.4 | 1.90 |
| SC80 | 19.49 | 18.82 | 0.67 | 3.44 | |
| SC60 | 18.93 | 18.54 | 0.39 | 2.06 | |
| SC40 | 17.27 | 16.61 | 0.66 | 3.82 | |
| SC20 | 16.19 | 15.61 | 0.58 | 3.58 | |
| 200 | SC100 | 20.44 | 19.97 | 0.47 | 2.30 |
| SC80 | 19.08 | 18.48 | 0.6 | 4.19 | |
| SC60 | 18.16 | 17.66 | 0.5 | 2.75 | |
| SC40 | 15.87 | 15.23 | 0.64 | 4.03 | |
| SC20 | 15.51 | 14.86 | 0.65 | 4.19 | |
| 300 | SC100 | 20.63 | 19.18 | 1.45 | 7.03 |
| SC80 | 18.82 | 17.59 | 1.23 | 6.54 | |
| SC60 | 18.54 | 17.06 | 1.48 | 7.98 | |
| SC40 | 16.61 | 15.34 | 1.27 | 7.65 | |
| SC20 | 15.61 | 14.47 | 1.14 | 7.30 | |
| 400 | SC100 | 20.50 | 0 | — | — |
| SC80 | 18.82 | 0 | — | — | |
| SC60 | 18.32 | 16.44 | 1.88 | 10.26 | |
| SC40 | 16.08 | 14.39 | 1.69 | 10.51 | |
| SC20 | 15.56 | 13.94 | 1.62 | 10.41 | |
| 500 | SC100 | 20.50 | 0 | — | — |
| SC80 | 18.82 | 0 | — | — | |
| SC60 | 18.32 | 0 | — | — | |
| SC40 | 16.08 | 0 | — | — | |
| SC20 | 15.58 | 13.84 | 1.74 | 11.17 |
Disclaimer/Publisher’s Note: The statements, opinions and data contained in all publications are solely those of the individual author(s) and contributor(s) and not of MDPI and/or the editor(s). MDPI and/or the editor(s) disclaim responsibility for any injury to people or property resulting from any ideas, methods, instructions or products referred to in the content. |
© 2025 by the authors. Licensee MDPI, Basel, Switzerland. This article is an open access article distributed under the terms and conditions of the Creative Commons Attribution (CC BY) license (https://creativecommons.org/licenses/by/4.0/).
Share and Cite
Li, X.; Jia, S.; Chen, L.; Shen, R.; Liu, Y.; Mou, R. Experimental Study on Mechanical Properties of Thermally Conductive High-Strength Concrete. Materials 2025, 18, 642. https://doi.org/10.3390/ma18030642
Li X, Jia S, Chen L, Shen R, Liu Y, Mou R. Experimental Study on Mechanical Properties of Thermally Conductive High-Strength Concrete. Materials. 2025; 18(3):642. https://doi.org/10.3390/ma18030642
Chicago/Turabian StyleLi, Xiaojun, Shenglei Jia, Longgang Chen, Rongjian Shen, Yang Liu, and Ruifeng Mou. 2025. "Experimental Study on Mechanical Properties of Thermally Conductive High-Strength Concrete" Materials 18, no. 3: 642. https://doi.org/10.3390/ma18030642
APA StyleLi, X., Jia, S., Chen, L., Shen, R., Liu, Y., & Mou, R. (2025). Experimental Study on Mechanical Properties of Thermally Conductive High-Strength Concrete. Materials, 18(3), 642. https://doi.org/10.3390/ma18030642

