Development and Performance Evaluation of Solid–Liquid Two-Component Coatings for Airport Cement Pavement Focused on Texture Reconstruction
Abstract
1. Introduction
2. Materials and Methods
2.1. Coating Material Composition and Preparation
2.1.1. Material Composition
2.1.2. Preparation Method
2.2. Coating Performance Evaluation Methods
2.2.1. Laser Texture Scanning Test
2.2.2. British Pendulum Test
2.2.3. Pull-Out Test
2.2.4. Bonding Flexural Test
2.2.5. Freeze–Thaw Cycle Test
3. Results and Discussion
3.1. Identification and Evaluation of Surface Texture Characteristics of Coatings
3.1.1. Mean Profile Depth
3.1.2. Slope Spectral Density
3.2. Evaluation of Skid Resistance Based on BPN
3.3. Evaluation Coating–Concrete Interface Performance
3.3.1. Interface Pull-Out Strength
3.3.2. Flexural Bond Strength
3.4. Evaluation of Freeze Resistance
4. Conclusions
- (1)
- The textural characterization analysis reveals that, in comparison to the uncoated specimens, the mean profile depth (MPD) of the P, E, and W coatings increased by 43.4%, 34.7%, and 21.6%, respectively. Additionally, the peak band of the Slope Spectral Density (SSD) on the concrete surface shifted from a value greater than 1 mm to approximately 0.5 mm before and after the application of the coatings.
- (2)
- Laboratory test results reveal that, in comparison to the uncoated sample, the British Pendulum Number (BPN) of the P, E, and W coatings increased by approximately 25%, 20%, and 15%, respectively. The analysis identified a significant correlation between the mean profile depth (MPD) and BPN (R2 = 0.95). This demonstrates that the coating surface texture exhibits superior performance, thereby elucidating the mechanism of enhanced slip resistance from a textural perspective.
- (3)
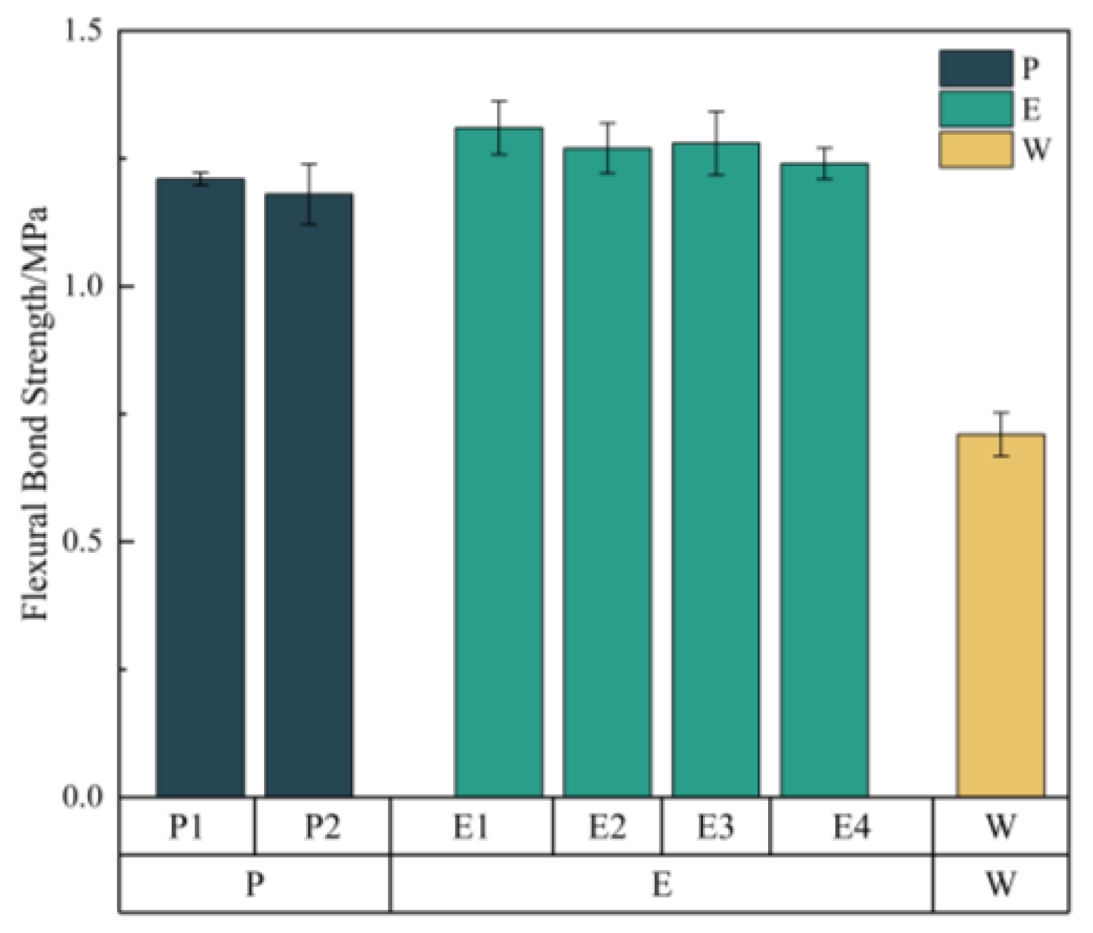
- The results of the pull-out test indicate that, when the coating thickness is 3 mm and the curing time is either 6 h or 24 h, the E coating exhibits the maximum pull-out strength. As the coating thickness increases, the pull-out strength follows a pattern of initial increase followed by a decrease. It is recommended that the coating thickness be maintained within the range of 2–4 mm. The results of the flexural strength test show that the E coating exhibited the highest bond flexural strength, followed by the P coating, while the W coating showed the lowest performance.
- (4)
- The results of the freeze–thaw test indicate that after freezing and thawing, the W coating exhibited the highest loss rate, while the E coating demonstrated the lowest loss rate. From the perspective of freezer protection, the E coating is the preferred choice. However, for cost control purposes, the P coating may also be considered.
- (5)
- The findings of this study underscore the potential of the newly developed coating technology in significantly improving the skid resistance and frost resistance of cement pavement, particularly in the context of airport runways. Beyond its immediate benefits, this innovation offers a promising approach for rapid pavement maintenance, minimizing operational disruptions. While the laboratory-based results provide a strong foundation for future applications, additional research is needed to evaluate the coating’s performance under real-world conditions. A key direction for future work will involve field validation and long-term durability testing. These efforts will be crucial in bridging the gap between laboratory-scale innovations and their full-scale engineering implementation, ensuring the coating’s effectiveness and viability in actual pavement maintenance scenarios.
Author Contributions
Funding
Data Availability Statement
Conflicts of Interest
References
- Feng, X.; Guo, L.; Ren, G.; Liu, S. Research on the causes and prevention of airport pavement diseases. In IOP Conference Series: Earth and Environmental Science; IOP Publishing: Bristol, UK, 2019. [Google Scholar]
- Wesołowski, M.; Blacha, K.; Włodarski, P. Technology of Making Airfield Pavements in Relation to the Existing Requirements in Terms of Texture. J. KONBiN 2022, 52, 75–87. [Google Scholar] [CrossRef]
- Li, T.; Wu, Y.; Wu, H. A Study on Impact of Different Surface Treatment Agents on the Durability of Airport Pavement Concrete. Coatings 2022, 12, 162. [Google Scholar] [CrossRef]
- Liu, Y.; Shi, J. Design of a Smart Protective Coating with Molybdate-Loaded Halloysite Nanotubes Towards Corrosion Protection in Reinforced Concrete. Cem. Concr. Compos. 2024, 147, 105419. [Google Scholar] [CrossRef]
- Elnaggar, E.M.; Elsokkary, T.M.; Shohide, M.A.; El-Sabbagh, B.A.; Abdel-Gawwad, H.A. Surface Protection of Concrete by New Protective Coating. Constr. Build. Mater. 2019, 220, 245–252. [Google Scholar] [CrossRef]
- Guo, T.; Weng, X. Evaluation of the Freeze-Thaw Durability of Surface-Treated Airport Pavement Concrete under Adverse Conditions. Constr. Build. Mater. 2019, 206, 519–530. [Google Scholar] [CrossRef]
- Zhang, J.; Weng, X.; Jiang, L.; Yang, B.; Liu, J.; Qu, B. Durability of Airport Concrete Pavement Improved by Four Novel Coatings. Adv. Cem. Res. 2019, 31, 214–224. [Google Scholar] [CrossRef]
- Zhao, Z.; Qi, S.; Suo, Z.; Hu, T.; Hu, J.; Liu, T.; Gong, M. Development of a Superhydrophobic Protection Mechanism and Coating Materials for Cement Concrete Surfaces. Materials 2024, 17, 4390. [Google Scholar] [CrossRef]
- Huang, K.; Sun, R.; Wang, J.; Shi, X.; Lei, H. Anti-Condensation Performance of a New Superhydrophobic Coating for Pavements. Materials 2023, 16, 5793. [Google Scholar] [CrossRef]
- Zhang, J.; Weng, X.-Z.; Liu, J.-Z.; Yang, B.-H.; Wen, X.-P.; Wang, T. Anti-Slip and Wear Resistance Performance of Three Novel Coatings as Surface Course of Airstrip. Int. J. Pavement Eng. 2018, 19, 370–378. [Google Scholar] [CrossRef]
- Bawono, A.A.; Tan, Z.H.; Hamdany, A.H.; NguyenDinh, N.; Qian, S.; Lechner, B.; Yang, E.-H. Bright and Slip-Proof Engineered Cementitious Composites with Visible Light Activated Photo-Catalysis Property for Pavement in Tunnels. Cem. Concr. Compos. 2020, 114, 103788. [Google Scholar] [CrossRef]
- Yu, J.; Zhang, B.; Long, P.; Chen, B.; Guo, F. Optimizing the Texturing Parameters of Concrete Pavement by Balancing Skid-Resistance Performance and Driving Stability. Materials 2021, 14, 6137. [Google Scholar] [CrossRef]
- Huang, X.; Sun, Y.; Xu, H.; Zhu, L.; Luo, H. Analysis on Texture Characteristics of Positive Texture Skid-Resistance Friction Course Based on Discrete Element. J. Southeast Univ. (Nat. Sci. Ed.) 2024, 54, 1520–1529. [Google Scholar]
- Xiao, S.; Sun, Z.; Tan, Y.; Li, J.; Lv, H. Hysteresis Friction Modelling of Bpt Considering Rubber Penetration Depth into Road Surface. Int. J. Pavement Eng. 2023, 24, 2027415. [Google Scholar] [CrossRef]
- Luo, H.; Chen, S.; Zhu, L.; Liu, X.; Zheng, Y.; Zhao, R.; Huang, X. Investigation of Surface Textures Deterioration on Pavement Skid-Resistance Using Hysteresis Friction Models and Numerical Simulation Method. Friction 2024, 12, 745–779. [Google Scholar] [CrossRef]
- Chen, W.; Zhang, J.; Qi, X.; Tian, P.; Feng, Z.; Qin, W.; Wu, D.; Liu, L.; Wang, Y. Recent progress on anti-slip and highly wear-resistant elastic coatings: An overview. Coatings 2023, 14, 47. [Google Scholar] [CrossRef]
- Zong, H.; Wang, Y.; Wang, G.; Li, Q.; Li, F.; Li, Q.; Hou, P. The role of ultra-fine supplementary cementitious materials in the durability and microstructure of airport pavement concrete. Constr. Build. Mater. 2023, 392, 131954. [Google Scholar] [CrossRef]
- Li, M.; Zhang, W.; Wang, F.; Li, Y.; Liu, Z.; Meng, Q.; Huo, F.; Zhao, D.; Jiang, J.; Zhang, J. A state-of-the-art assessment in developing advanced concrete materials for airport pavements with improved performance and durability. Case Stud. Constr. Mater. 2024, 21, e03774. [Google Scholar] [CrossRef]
- Xu, L.; Lai, Y.; Ma, D.; Wang, J.; Li, M.; Li, L.; Gao, Z.; Liu, Y.; He, P.; Zhang, Y. Effects of fiber and surface treatment on airport pavement concrete against freeze–thawing and salt freezing. Materials 2022, 15, 7528. [Google Scholar] [CrossRef]
- Xiao, X.; Xie, Y.; Hao, T.; Jiang, C.; Yuan, J.; Xiao, F. Salt-frost resistance mechanisms and improvement of surface concrete with mineral admixtures in two-lift airport pavement. Constr. Build. Mater. 2025, 484, 141882. [Google Scholar] [CrossRef]
- Yang, J.; Zheng, Z.; Ye, X.; Guo, J.; Fu, Y.; Wang, K.; Liu, Q.; Wu, B.; Ma, X.; Deng, H.; et al. Damage mechanism of airport pavement concrete undergoing freeze-thaw: The coupling effects of low-concentration deicers and carbonation. Constr. Build. Mater. 2025, 467, 140365. [Google Scholar] [CrossRef]
- Shen, B.; Sheng, Y.; Duan, S.; Xu, D.; Huan, X.; Rukundo, P. Durability and skid resistance of high friction surface treatments with modified epoxy resin: Experimental characterization. Constr. Build. Mater. 2025, 462, 139935. [Google Scholar] [CrossRef]
- Wang, C.; Lan, X.; Cong, Y.; Peng, S.; Huang, S.; Chen, Q. Evaluation of skid resistance of pavement maintenance energy-absorbing seal based on surface texture characteristics. Measurement 2025, 245, 116588. [Google Scholar] [CrossRef]
- Du, X.; Liu, Z.; Hui, B.; Wang, H.; Yan, J. Preparation and performance of light-coloured epoxy skid-resistant materials for pavement. Int. J. Pavement Eng. 2025, 26, 2553734. [Google Scholar] [CrossRef]
- Segundo, I.R.; Silva, L.; Palha, C.; Freitas, E.; Silva, H. Surface rehabilitation of Portland cement concrete (PCC) pavements using single or double surface dressings with soft bitumen, conventional or modified emulsions. Constr. Build. Mater. 2021, 281, 122611. [Google Scholar] [CrossRef]
- Pang, B.; Jin, Z.; Zhang, Y.; Xu, L.; Li, M.; Wang, C.; Zhang, Y.; Yang, Y.; Zhao, P.; Bi, J.; et al. Ultraductile waterborne epoxy-concrete composite repair material: Epoxy-fiber synergistic effect on flexural and tensile performance. Cem. Concr. Compos. 2022, 129, 104463. [Google Scholar] [CrossRef]
- JC/T 985-2017; Cementitious Self-Levelling Compound for Floor. Ministry of Industry and Information Technology of the People’s Republic of China: Beijing, China, 2017.
- Lin, J.; Wang, H.; Fan, L.; Li, Y.; Zhuang, C. Ssd Distribution Law and Characteristic Parameters of Texture Construction Wavelength on Aggregate Surface. J. Build. Mater. 2023, 26, 1310–1318. [Google Scholar]
- JTG 3450-2019; Field Test Methods of Highway Subgrade and Pavement. Research Institute of Highway Ministry of Transport: Beijing, China, 2019.
- El-Ashwah, A.S.; Broaddus, K.; Abdelrahman, M. Predicting the Friction Coefficient of High-Friction Surface Treatment Application Aggregates Using the Aggregates’ Characteristics. J. Mater. Civ. Eng. 2023, 35, 04023089. [Google Scholar] [CrossRef]
- MH/T 5084-2025; Technical Specifications for Maintenance of Cementconcrete Pavement in Civil Aerodrome. Civil Aviation Administration of China: Beijing, China, 2024.
- JTG 3420-2020; Testing Methods of Cement and Concrete for Highway Engineering. Ministry of Transport of the People’s Republic of China: Beijing, China, 2020.
- Xu, L.; Guo, R.; Peng, H.; Shi, P. Three-Dimensional Laser Profilometer Survey System of Pavement Slip Characteristics. J. Tsinghua Univ. (Sci. Technol.) 2021, 61, 1202–1211. [Google Scholar]
- Luo, H. Research on the Friction Mechanism of Positive Textural Surfaces and Their Application in Friction Courses of Asphalt Pavement. Ph.D. Thesis, Science Southeast University, Nanjing, China, 2023. [Google Scholar]
- Ong, G.P.; Fwa, T.F. Mechanistic Interpretation of Braking Distance Specifications and Pavement Friction Requirements. Transp. Res. Rec. 2010, 2155, 145–157. [Google Scholar] [CrossRef]
- Arabzadeh, A.; Ceylan, H.; Kim, S.; Gopalakrishnan, K.; Sassani, A.; Sundararajan, S.; Taylor, P.C. Superhydrophobic coatings on Portland cement concrete surfaces. Constr. Build. Mater. 2017, 141, 393–401. [Google Scholar] [CrossRef]
- Zhang, Y.; Chen, L.; Li, Y.; Sang, S.; Xiao, S.; Tang, J. Research on Curing Mechanism of Waterborne Epoxy Resin Coatings. Paint Coat. Ind. 2020, 50, 42–46. [Google Scholar]
- Yi, X. Study on the Bond Performance of New Type Quick Pass Repair Material and Pavement Concrete Base Material. China Meas. Test 2020, 46, 154–160. [Google Scholar]
- Lv, J.; Niu, S.; Zhang, W.; Sun, Y. Study on Self-Healing Effect of Concrete Based on Epoxy Resin Adhesive. Materials 2025, 18, 2679. [Google Scholar] [CrossRef]
- Cong, L.; Wang, Y.; Gao, X. Enhancing the Salt Frost Durability of Concrete with Modified Epoxy Composite Coating. Materials 2025, 18, 737. [Google Scholar] [CrossRef]











| Type | Code | Solid–Liquid Ratio | Liquid Component Ratio | Fluidity/mm |
|---|---|---|---|---|
| Self-prepared emulsions (P) | P1 | 2:1 | Water: Emulsion = 1:1 | 110 |
| P2 | 10:4.5 | Water: Emulsion = 1:1 | 90 | |
| Waterborne epoxy (E) | E1 | 2:1 | Water: Epoxy = 1.5:1 | 120 |
| E2 | 5:2 | Water: Epoxy = 2:1 | 116 | |
| E3 | 3:1 | Water: Epoxy = 3:1 | 100 | |
| E4 | 3:1 | Water: Epoxy = 2:1 | 92 | |
| Water(W) | W | 3:1 | water | 130 |
| Temperature | 0 | 5 | 10 | 15 | 20 | 25 | 30 | 35 | 40 |
|---|---|---|---|---|---|---|---|---|---|
| ΔBPN | −6 | −4 | −3 | −2 | 0 | 2 | 3 | 5 | 7 |
Disclaimer/Publisher’s Note: The statements, opinions and data contained in all publications are solely those of the individual author(s) and contributor(s) and not of MDPI and/or the editor(s). MDPI and/or the editor(s) disclaim responsibility for any injury to people or property resulting from any ideas, methods, instructions or products referred to in the content. |
© 2025 by the authors. Licensee MDPI, Basel, Switzerland. This article is an open access article distributed under the terms and conditions of the Creative Commons Attribution (CC BY) license (https://creativecommons.org/licenses/by/4.0/).
Share and Cite
Wang, M.; Tian, S.; Zou, L.; Li, M.; Huang, J.; Zhi, J. Development and Performance Evaluation of Solid–Liquid Two-Component Coatings for Airport Cement Pavement Focused on Texture Reconstruction. Materials 2025, 18, 5171. https://doi.org/10.3390/ma18225171
Wang M, Tian S, Zou L, Li M, Huang J, Zhi J. Development and Performance Evaluation of Solid–Liquid Two-Component Coatings for Airport Cement Pavement Focused on Texture Reconstruction. Materials. 2025; 18(22):5171. https://doi.org/10.3390/ma18225171
Chicago/Turabian StyleWang, Ming, Shuaituan Tian, Lingyun Zou, Mingchen Li, Jinlin Huang, and Junyan Zhi. 2025. "Development and Performance Evaluation of Solid–Liquid Two-Component Coatings for Airport Cement Pavement Focused on Texture Reconstruction" Materials 18, no. 22: 5171. https://doi.org/10.3390/ma18225171
APA StyleWang, M., Tian, S., Zou, L., Li, M., Huang, J., & Zhi, J. (2025). Development and Performance Evaluation of Solid–Liquid Two-Component Coatings for Airport Cement Pavement Focused on Texture Reconstruction. Materials, 18(22), 5171. https://doi.org/10.3390/ma18225171

