Study on the Structural, Optical, and Magneto-Optical Properties of Bi2O3-Pb3(BO3)2-Ga2O3-PbO Glasses for Temperature-Insensitive Magneto-Optical Isolator Applications
Abstract
1. Introduction
2. Materials and Method
2.1. Preparation of Bismuthate Glasses
2.2. Characterization of the Bismuthate Glasses
3. Results and Discussion
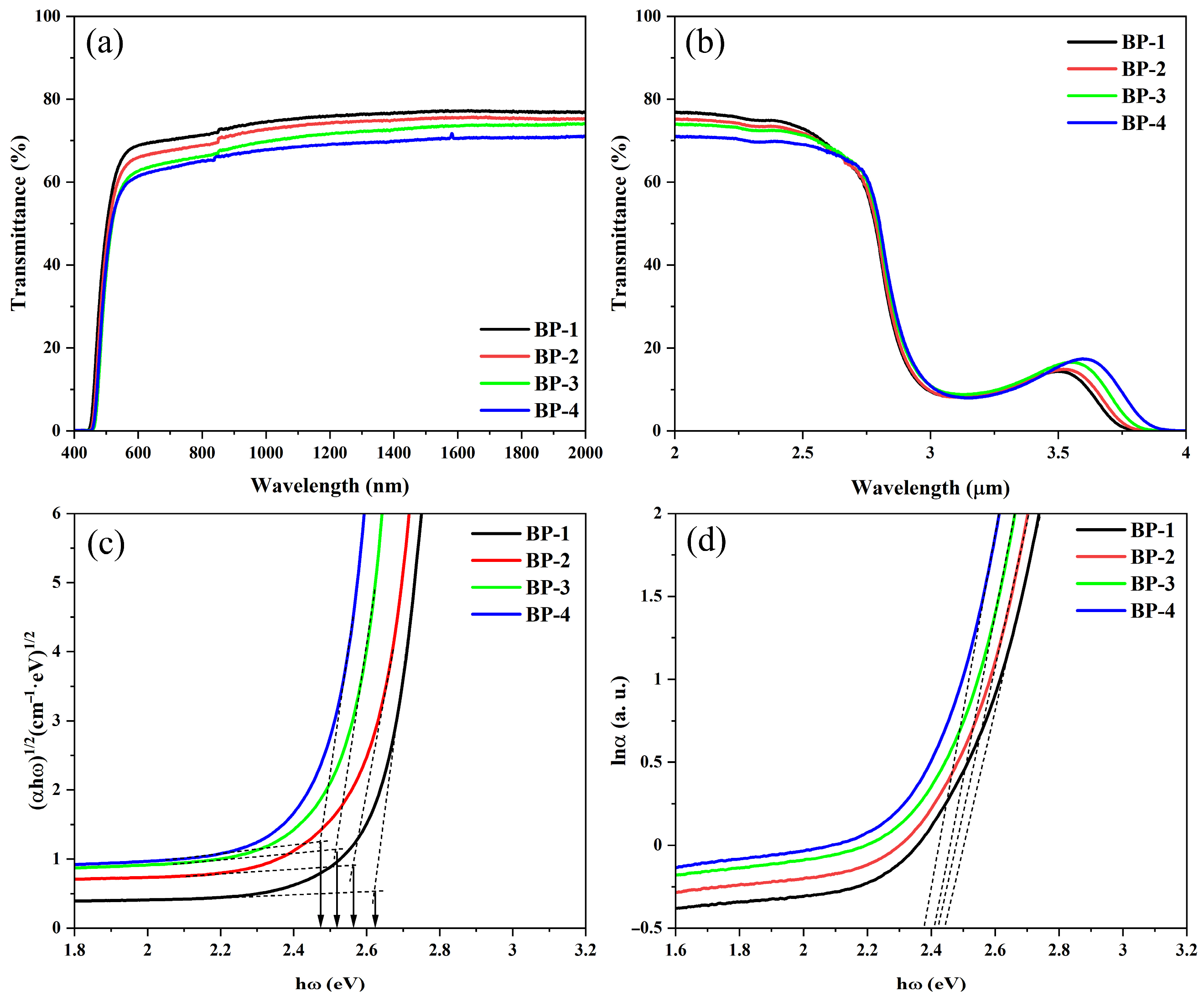
3.1. Physical Properties and Laser-Induced Damage Threshold
3.2. Structural Properties
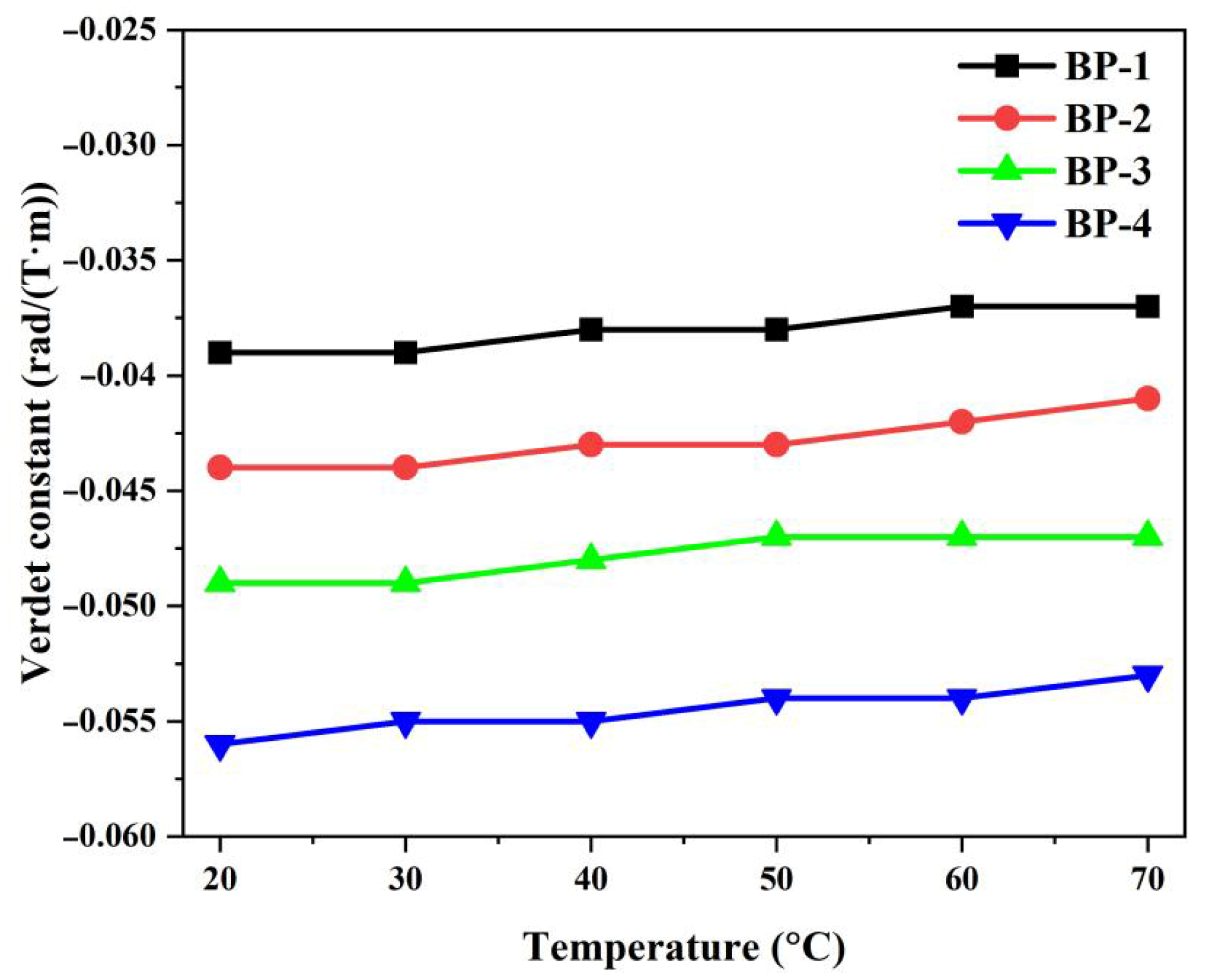
3.3. Magnetic Properties and Verdet Constant
4. Conclusions
Author Contributions
Funding
Data Availability Statement
Conflicts of Interest
References
- Maiman, T.H. Stimulated Optical Radiation in Ruby. Nature 1960, 187, 493–494. [Google Scholar] [CrossRef]
- Phillips, K.C.; Gandhi, H.H.; Mazur, E.; Sundaram, S.K. Ultrafast Laser Processing of Materials: A Review. Adv. Optics Photon. 2015, 7, 684–712. [Google Scholar] [CrossRef]
- Zeng, F.; Gao, S.J.; San, X.G.; Zhang, X. Development Status and Trend of Airborne Laser Communication Terminals. Chin. Opt. 2016, 9, 65–73. [Google Scholar] [CrossRef]
- Arjmand, B.; Khodadost, M.; Sherafat, S.J.; Tavirani, M.R.; Ahmadi, N.; Moghadam, M.H. Low-Level Laser Therapy: Potential and Complications. J. Lasers Med. Sci. 2021, 12, e42. [Google Scholar] [CrossRef]
- Jiang, Y.; Yang, J.; Li, P.; Si, H.; Fu, X.; Liu, Q. High Energy LiDAR Sources for Long Distance, High Resolution Range Imaging. Microw. Opt. Technol. Lett. 2020, 62, 3655–3661. [Google Scholar] [CrossRef]
- Sun, L.; Jiang, S.; Marciante, J.R. Compact All-Fiber Optical Faraday Components Using 65-wt%-Terbium-Doped Fiber with a Record Verdet Constant of -32 Rad/(Tm). Opt. Express 2010, 18, 12191–12196. [Google Scholar] [CrossRef] [PubMed]
- Shalaby, M.; Peccianti, M.; Ozturk, Y.; Morandotti, R. A Magnetic Non-Reciprocal Isolator for Broadband Terahertz Operation. Nat. Commun. 2013, 4, 1558. [Google Scholar] [CrossRef]
- Daybell, M.; Overton, W.C.; Laquer, H.L. The Faraday Effect at Low Temperatures in Terbium Alumina Silicate Glass. Appl. Phys. Lett. 1967, 11, 79–81. [Google Scholar] [CrossRef]
- Zhao, G.; Xu, M.; Zhao, C.C.; Li, S.M.; Gong, Q.R.; Hang, Y. Improved performance of Faraday effect based on Pr3+, Ce3+ co-doped terbium gallium garnet crystal. Opt. Commun. 2022, 506, 127587. [Google Scholar] [CrossRef]
- Fan, L.; Wan, R.; Guo, C.; Zhang, F.; Wang, P. Radiation Resistance, Photoluminescence and Scintillation Properties of CeO2 Doped Fluorophosphate Glass. Ceram. Int. 2025, 51, 47868–47877. [Google Scholar] [CrossRef]
- Qiu, J. The Faraday Effect in Diamagnetic Glasses. J. Mater. Res. 1998, 5, 1358–1362. [Google Scholar] [CrossRef]
- Mizumoto, T.; Shoji, Y.; Takei, R. Direct Wafer Bonding and its Application to Waveguide Optical Isolators. Materials 2012, 5, 985–1004. [Google Scholar] [CrossRef]
- Schmidt, M.A.; Wondraczek, L.; Lee, H.W.; Granzow, N.; Da, N.; Russell, P.S.J. Complex Faraday Rotation in Microstructured Magneto-Optical Fiber Waveguides. Adv. Mater. 2011, 23, 2681–2688. [Google Scholar] [CrossRef]
- Borrelli, N.F. Faraday Rotation in Glasses. J. Chem. Phys. 1964, 41, 3289–3293. [Google Scholar] [CrossRef]
- Ovcharenko, N.V.; Smirnova, T.V. High Refractive Index and Magneto-Optical Glasses in the Systems TeO2-WO3-Bi2O3 and TeO2-WO3-PbO. J. Non-Cryst. Solids 2001, 291, 121–126. [Google Scholar] [CrossRef]
- Xu, Y.; Xiao, X.; Cui, X.; Gao, F.; Cui, J.; Liu, X.; Guo, H.; She, J.; Chen, G.; Lu, M.; et al. Improvement of the Faraday Effect in Ge-S Based Chalcogenide Glasses via Gallium and Lead Compositional Modifications. Opt. Mater. Express 2018, 8, 1754. [Google Scholar] [CrossRef]
- TAN, C.Z.; Jarndt, T. Faraday Effect in TiO2-SiO2 Glasses. J. Non-Cryst. Solids 1997, 222, 391–395. [Google Scholar] [CrossRef]
- Williams, P.A.; Rose, A.H.; Day, G.W.; Milner, T.E.; Deeter, M.N. Temperature Dependence of the Verdet Constant in Several Diamagnetic Glasses. Appl. Optics 1991, 30, 1176–1178. [Google Scholar] [CrossRef]
- Salem, S.M.; Mohamed, E.A. Electrical Conductivity and Dielectric Properties of Bi2O3-GeO2-PbO-MoO3 Glasses. J. Non-Cryst. Solids 2011, 357, 1153–1159. [Google Scholar] [CrossRef]
- ISO 11254; Lasers and Laser-Related Equipment–Determination of Laser-Induced Damage Threshold of Optical Surfaces. International Organization for Standardization (ISO): Geneva, Switzerland, 2000.
- Yu, J.; Yang, Q.; Zhang, D.; Jiang, Y.; Zhang, Y.; Li, H.; Syvorotka, I.I.; Zhang, H. Study on Laser-Induced Damage of TbBiIG Crystal at 1064 nm. Opt. Express 2022, 30, 29991. [Google Scholar] [CrossRef]
- Rao, A.S.; Ahammed, Y.N.; Reddy, R.R.; Rao, T.V.R. Spectroscopic Studies of Nd3+-Doped Alkali Fluoroborophosphate Glasses. Opt. Mater. 1998, 10, 245–252. [Google Scholar] [CrossRef]
- Dimitrov, V.; Sakka, S. Linear and Nonlinear Optical Properties of Simple Oxides. II. J. Appl. Phys. 1996, 79, 1741–1745. [Google Scholar] [CrossRef]
- Dimitrov, V.; Komatsu, T. Electronic Polarizability, Optical Basicity and Non-Linear Optical Properties of Oxide Glasses. J. Chem. Technol. Metall. 2013, 6, 549–554. [Google Scholar] [CrossRef]
- Samanta, B.; Duttab, D.; Ghosh, S. Synthesis and Different Optical Properties of Gd2O3 Doped Sodium Zinc Tellurite Glasses. Phys. B 2017, 515, 82–88. [Google Scholar] [CrossRef]
- Yusoff, N.M.; Sahar, M.R. Effect of Silver Nanoparticles Incorporated with Samarium-Doped Magnesium Tellurite Glasses. Phys. B 2015, 456, 191–196. [Google Scholar] [CrossRef]
- Wan, R.; Li, X.; Ma, Y.; Guo, C.; Li, S.; Wang, P. Study on the Laser-Induced Damage Characteristics and Structure Changes of Fluorotellurite Glass under Femtosecond Pulsed Laser Irradiation. J. Non-Cryst. Solids 2023, 622, 122657. [Google Scholar] [CrossRef]
- Wan, R.; Wang, P.; Li, S.; Ma, Y.; Zhang, G. Spectroscopic Properties of ErF3 Doped Tellurite–Gallium Oxyfluoride Glass for ∼3 μm Laser Materials. J. Appl. Phys. 2021, 129, 153105. [Google Scholar] [CrossRef]
- Jubu, P.R.; Yam, F.K.; Igba, V.M.; Beh, K.P. Tauc-plot scale and extrapolation effect on bandgap estimation fromUV-vis-NIR data—A case study of β-Ga2O3. J. Solid State Chem. 2020, 290, 121576. [Google Scholar] [CrossRef]
- Tauc, J. Optical Properties and Electronic Structure of Amorphous Semiconductors; William, L., Wolfe, S.S., Nudelman, S., Mitra, S.S., Eds.; Springer: Boston, MA, USA, 1969; pp. 123–136. [Google Scholar] [CrossRef]
- Upender, G.; Ramesh, S.; Prasad, M.; Sathe, V.G.; Mouli, V.C. Optical Band Gap, Glass Transition Temperature and Structural Studies of (100-2X)TeO2-XAg2O-XWO3 Glass System. J. Alloys Compd. 2010, 504, 468–474. [Google Scholar] [CrossRef]
- Chen, Q.; Ma, Q. Mixed Samarium Valences Effect in Faraday Rotation Glasses: Structure, Optical, Magnetic and Magneto-Optical Properties. J. Non-Cryst. Solids 2020, 530, 119803. [Google Scholar] [CrossRef]
- Oprea, B.; Radu, T.; Simon, S. XPS Investigation of Atomic Environment Changes on Surface of B2O3-Bi2O3 Glasses. J. Non-Cryst. Solids 2013, 379, 35–39. [Google Scholar] [CrossRef]
- Chowdari, B.V.R.; Rong, Z. The Influence of Bi2O3 On YLi2O · (1-Y){XBi2O3(1-X)B2O3} Glass System. Solid State Ion. 1996, 86–88, 527–533. [Google Scholar] [CrossRef]
- Fan, H.; Wang, G.; Hu, L. Infrared, Raman and XPS Spectroscopic Studies of Bi2O3-B2O3-Ga2O3 Glasses. Solid State Sci. 2009, 11, 2065–2070. [Google Scholar] [CrossRef]
- Chen, Q.; Wang, Q.; Ma, Q.; Wang, H. Structure, Spectra and Faraday Rotation in TiO2 Doped Diamagnetic PbO-Bi2O3-B2O3 Glasses. J. Non-Cryst. Solids 2017, 464, 14–22. [Google Scholar] [CrossRef]
- Taylor, J.A.; Perry, D.L. An X-Ray Photoelectron and Electron Energy Loss Study of the Oxidation of Lead. J. Vac. Sci. Technol. A 1984, 2, 771–774. [Google Scholar] [CrossRef]
- Fan, H.; Hu, L.; Yang, K.; Fang, Y. Structure and Physical Properties of Bi2O3-B2O3-Ga2O3 Glasses. J. Non-Cryst. Solids 2010, 356, 1814–1818. [Google Scholar] [CrossRef]
- Vinti, J.P. A Relation Between the Electric and Diamagnetic Susceptibilities of Monatomic Gases. Phys. Rev. 1932, 41, 813–817. [Google Scholar] [CrossRef]
- Chen, Q. Nanobismuth Enhanced Plasmonic, Emission and Faraday Rotation Properties of Diamagnetic Tellurite Glasses. J. Alloys Compd. 2020, 828, 154448. [Google Scholar] [CrossRef]
- Ruan, Y.; Jarvis, R.A.; Rode, A.V.; Madden, S.; Luther-Davies, B. Wavelength Dispersion of Verdet Constants in Chalcogenide Glasses for Magneto-optical Waveguide Devices. Opt. Commum. 2005, 252, 39–45. [Google Scholar] [CrossRef]
- Chen, Q.; Miao, B.; Ma, Q. Sb2O3 Functionalized Plasmon, Photoluminescence and Faraday Rotation in Glass. J. Non-Cryst. Solids 2020, 545, 120251. [Google Scholar] [CrossRef]
- Pedroso, C.B.; Munin, E.; Balbin Villaverde, A.; Aranha, N.; Solano Reynoso, V.C.; Barbosa, L.C. Magneto-Optical Rotation of Heavy-Metal Oxide Glasses. J. Non-Cryst. Solids 1998, 231, 134–142. [Google Scholar] [CrossRef]
- Hrabovsky, J.; Strizik, L.; Desevedavy, F.; Tazlaru, S.; Kucera, M.; Nowak, L. Optical, Magneto-optical Properties and Fiber-drawing Ability of Tellurite Glasses in the TeO2-ZnO-BaO ternary system. arXiv 2023, arXiv:2308.01186. [Google Scholar] [CrossRef]
- Golis, E.; Reben, M.; Burtan-Gwizdala, B.; Filipecki, J.; Cisowski, J.; Pawlik, P. Influence of Lanthanum on Structural and Magneto-optic Properties of Diamagnetic Glasses of the TeO2-WO3-PbO System. RSC Adv. 2015, 5, 102530–102534. [Google Scholar] [CrossRef]
- Westenberger, G.; Hoffmann, H.; Jochs, W.; Przybilla, G. The Verdet Constant and its Dispersion in Optical Glasses. In Proceedings of the SPIE 1535, Passive Materials for Optical Elements, San Diego, CA, USA, 1 November 1991. [Google Scholar] [CrossRef]










| Chemical Formula | Purity | Manufacturer | Country |
|---|---|---|---|
| Bi2O3 | 99.99% | Alfa Aesar (Shanghai) | China |
| Pb3(BO3)2 | 99.00% | DaXiao Chemical (Guangdong) | China |
| Ga2O3 | 99.99% | Alfa Aesar (Shanghai) | China |
| PbO | 99.99% | Alfa Aesar (Shanghai) | China |
| ρ (g/cm3) | nd | ε | Λth | αO2− | Rm | Vm (cm3) | OPD | |
|---|---|---|---|---|---|---|---|---|
| BP-1 | 7.787 | 2.150 | 4.623 | 0.96 | 2.35 | 20.51 | 37.49 | 57.62 |
| BP-2 | 7.898 | 2.192 | 4.805 | 0.98 | 2.41 | 21.49 | 38.44 | 57.44 |
| BP-3 | 8.057 | 2.242 | 5.027 | 1.00 | 2.49 | 22.60 | 39.44 | 57.45 |
| BP-4 | 8.250 | 2.304 | 5.308 | 1.03 | 2.59 | 23.97 | 40.65 | 57.52 |
| O 1s (1) | O 1s (2) | (1)/(2) | |||
| BE (eV) | Area | BE (eV) | Area | ||
| BP-1 | 529.4 | 20.93 | 530.6 | 36.59 | 0.26 |
| BP-2 | 529.4 | 22.42 | 530.6 | 77.58 | 0.29 |
| BP-3 | 529.3 | 23.20 | 530.5 | 73.29 | 0.30 |
| BP-4 | 529.3 | 24.83 | 530.5 | 46.33 | 0.33 |
| Bi 4f 7/2 (1) | Bi 4f 7/2 (2) | (1)/(2) | |||
| BE (eV) | Area | BE (eV) | Area | ||
| BP-1 | 158.7 | 48.78 | 159.1 | 8.36 | 5.83 |
| BP-2 | 158.7 | 48.26 | 158.9 | 8.89 | 5.43 |
| BP-3 | 158.7 | 45.97 | 158.9 | 11.17 | 4.12 |
| BP-4 | 158.7 | 44.63 | 159.3 | 12.51 | 3.57 |
| Pb 4f 7/2 (1) | Pb 4f 7/2 (2) | (1)/(2) | |||
| BE (eV) | Area | BE (eV) | Area | ||
| BP-1 | 138.0 | 22.70 | 138.2 | 34.44 | 0.66 |
| BP-2 | 138.0 | 23.69 | 138.2 | 33.45 | 0.71 |
| BP-3 | 138.0 | 25.24 | 138.2 | 31.90 | 0.79 |
| BP-4 | 138.0 | 28.61 | 138.5 | 29.53 | 0.97 |
| Ga 2p 3/2 (1) | Ga 2p 1/2 (2) | (1)/(2) | |||
| BE (eV) | Area | BE (eV) | Area | ||
| BP-1 | 1117.7 | 60.01 | 1144.6 | 39.99 | 1.50 |
| BP-2 | 1117.7 | 59.96 | 1144.6 | 40.04 | 1.50 |
| BP-3 | 1117.6 | 60.31 | 1144.5 | 39.69 | 1.52 |
| BP-4 | 1117.7 | 60.12 | 1144.6 | 39.88 | 1.51 |
| χ (×10−6 emu/g) | V (min·G−1·cm−1) | ||||
|---|---|---|---|---|---|
| 532 nm | 633 nm | 808 nm | 1064 nm | ||
| BP-1 | −11.55 | −0.307 | −0.166 | −0.078 | −0.039 |
| BP-2 | −12.21 | −0.324 | −0.172 | −0.090 | −0.044 |
| BP-3 | −12.49 | −0.343 | −0.180 | −0.097 | −0.049 |
| BP-4 | −13.32 | −0.376 | −0.191 | −0.106 | −0.056 |
| Glass | Wavelength (nm) | V (min·G−1·cm−1) | Ref. |
|---|---|---|---|
| TeO2-WO3-PbO | 633 | −0.11 | [15] |
| Bi2O3-B2O3-Ga2O3-TiO2 | 633 | −0.163 | [36] |
| Bi2O3-PbO-B2O3-ZnO-Sb2O3 | 633 | −0.121 | [42] |
| Bi2O3-PbO-GeO2-B2O3 | 633 | −0.162 | [43] |
| Fused SiO2 | 635 | −0.013 | [41] |
| TeO2-ZnO-BaO | 633 | −0.113 | [44] |
| TeO2-WO3-PbO-La2O3 | 600 | −0.065 | [45] |
| SF57 | 633 | −0.077 | [46] |
| BP-4 | 633 | −0.191 | This work |
| Temperature (°C) | V (min·G−1·cm−1) | |||
|---|---|---|---|---|
| BP-1 | BP-2 | BP-3 | BP-4 | |
| 20 | −0.039 | −0.044 | −0.049 | −0.056 |
| 30 | −0.039 | −0.044 | −0.049 | −0.055 |
| 40 | −0.038 | −0.043 | −0.048 | −0.055 |
| 50 | −0.038 | −0.043 | −0.047 | −0.054 |
| 60 | −0.037 | −0.042 | −0.047 | −0.054 |
| 70 | −0.037 | −0.041 | −0.047 | −0.053 |
Disclaimer/Publisher’s Note: The statements, opinions and data contained in all publications are solely those of the individual author(s) and contributor(s) and not of MDPI and/or the editor(s). MDPI and/or the editor(s) disclaim responsibility for any injury to people or property resulting from any ideas, methods, instructions or products referred to in the content. |
© 2025 by the authors. Licensee MDPI, Basel, Switzerland. This article is an open access article distributed under the terms and conditions of the Creative Commons Attribution (CC BY) license (https://creativecommons.org/licenses/by/4.0/).
Share and Cite
Wan, R.; Guo, C.; Jiang, H.; Jiang, Y.; Li, X.; Guan, Y.; Wang, P. Study on the Structural, Optical, and Magneto-Optical Properties of Bi2O3-Pb3(BO3)2-Ga2O3-PbO Glasses for Temperature-Insensitive Magneto-Optical Isolator Applications. Materials 2025, 18, 4750. https://doi.org/10.3390/ma18204750
Wan R, Guo C, Jiang H, Jiang Y, Li X, Guan Y, Wang P. Study on the Structural, Optical, and Magneto-Optical Properties of Bi2O3-Pb3(BO3)2-Ga2O3-PbO Glasses for Temperature-Insensitive Magneto-Optical Isolator Applications. Materials. 2025; 18(20):4750. https://doi.org/10.3390/ma18204750
Chicago/Turabian StyleWan, Rui, Chen Guo, Hang Jiang, Yong Jiang, Xianda Li, Yongmao Guan, and Pengfei Wang. 2025. "Study on the Structural, Optical, and Magneto-Optical Properties of Bi2O3-Pb3(BO3)2-Ga2O3-PbO Glasses for Temperature-Insensitive Magneto-Optical Isolator Applications" Materials 18, no. 20: 4750. https://doi.org/10.3390/ma18204750
APA StyleWan, R., Guo, C., Jiang, H., Jiang, Y., Li, X., Guan, Y., & Wang, P. (2025). Study on the Structural, Optical, and Magneto-Optical Properties of Bi2O3-Pb3(BO3)2-Ga2O3-PbO Glasses for Temperature-Insensitive Magneto-Optical Isolator Applications. Materials, 18(20), 4750. https://doi.org/10.3390/ma18204750

