Topological Phase Transition in Two-Dimensional Magnetic Material CrI3 Bilayer Intercalated with Mo
Abstract
1. Introduction
2. Materials and Method
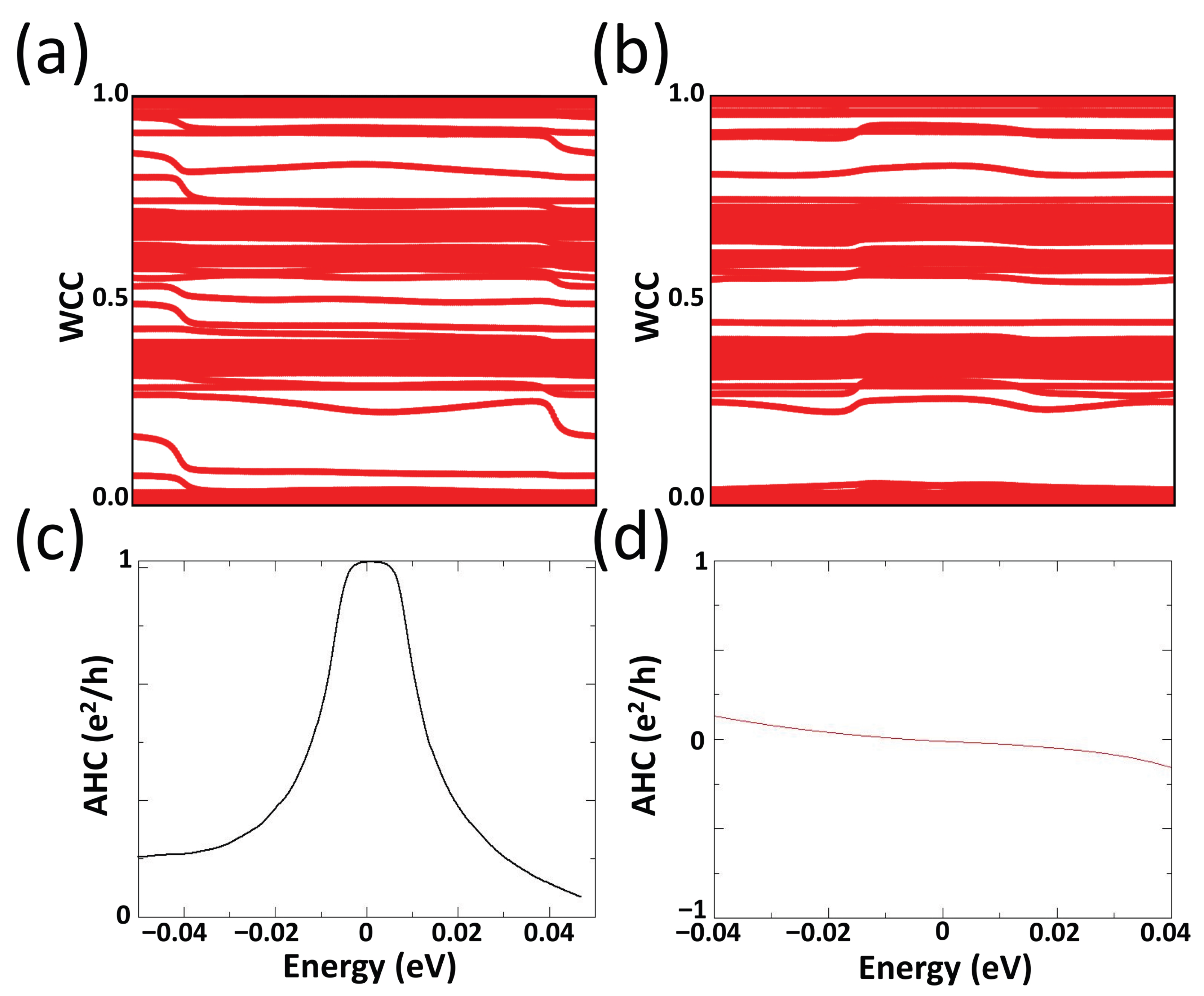
3. Results and Discussion
4. Conclusions
Author Contributions
Funding
Data Availability Statement
Conflicts of Interest
References
- Khan, K.; Tareen, A.K.; Aslam, M.; Wang, R.; Zhang, Y.; Mahmood, A.; Ouyang, Z.; Zhang, H.; Guo, Z. Recent developments in emerging two-dimensional materials and their applications. J. Mater. Chem. C 2020, 8, 387–440. [Google Scholar]
- Li, J.X.; Li, W.Q.; Hung, S.H.; Chen, P.L.; Yang, Y.C.; Chang, T.Y.; Chiu, P.W.; Jeng, H.T.; Liu, C.H. Electric control of valley polarization in monolayer WSe2 using a van der Waals magnet. Nat. Nanotechnol. 2022, 17, 721–728. [Google Scholar] [CrossRef]
- Mogera, U.; Kulkarni, G.U. A new twist in graphene research: Twisted graphene. Carbon 2020, 156, 470–487. [Google Scholar] [CrossRef]
- Li, C.; Cao, Q.; Wang, F.; Xiao, Y.; Li, Y.; Delaunay, J.J.; Zhu, H. Engineering graphene and TMDs based van der Waals heterostructures for photovoltaic and photoelectrochemical solar energy conversion. Chem. Soc. Rev. 2018, 47, 4981–5037. [Google Scholar] [CrossRef]
- Susarla, S.; Kutana, A.; Hachtel, J.A.; Kochat, V.; Apte, A.; Vajtai, R.; Idrobo, J.C.; Yakobson, B.I.; Tiwary, C.S.; Ajayan, P.M. Quaternary 2D transition metal dichalcogenides (TMDs) with tunable bandgap. Adv. Mater. 2017, 29, 1702457. [Google Scholar] [CrossRef]
- Yang, M.; Liu, W.M. Ultra-high mechanical stretchability and controllable topological phase transitions in two-dimensional arsenic. arXiv 2015, arXiv:1501.04350. [Google Scholar]
- Zhang, Y.; Tan, Y.W.; Stormer, H.L.; Kim, P. Experimental observation of the quantum Hall effect and Berry’s phase in graphene. Nature 2005, 438, 201–204. [Google Scholar] [CrossRef]
- Novoselov, K.S.; Geim, A.K.; Morozov, S.V.; Jiang, D.; Katsnelson, M.I.; Grigorieva, I.V.; Dubonos, S.V.; Firsov, A.A. Two-dimensional gas of massless Dirac fermions in graphene. Nature 2005, 438, 197–200. [Google Scholar] [CrossRef]
- Kong, X.; Li, L.; Leenaerts, O.; Wang, W.; Liu, X.J.; Peeters, F.M. Quantum anomalous Hall effect in a stable 1T-YN2 monolayer with a large nontrivial bandgap and a high Chern number. Nanoscale 2018, 10, 8153–8161. [Google Scholar] [CrossRef]
- Qi, W.; Fei, F.; Zhang, Z.; Chen, B.; Xie, H.; Wei, B.; Zhang, S.; Song, F. Exchange bias in heterostructures combining magnetic topological insulator MnBi2Te4 and metallic ferromagnet Fe3GeTe2. Appl. Phys. Lett. 2024, 125, 023101. [Google Scholar]
- Yao, X.; Cui, Q.; Huang, Z.; Yuan, X.; Yi, H.T.; Jain, D.; Kisslinger, K.; Han, M.G.; Wu, W.; Yang, H.; et al. Atomic-Layer-Controlled Magnetic Orders in MnBi2Te4–Bi2Te3 Topological Heterostructures. Nano Lett. 2024, 24, 9923–9930. [Google Scholar] [CrossRef]
- Liu, Y.; Zeng, C.; Zhong, J.; Ding, J.; Wang, Z.M.; Liu, Z. Spintronics in two-dimensional materials. Nano-Micro Lett. 2020, 12, 93. [Google Scholar] [CrossRef]
- Gong, C.; Zhang, X. Two-dimensional magnetic crystals and emergent heterostructure devices. Science 2019, 363, eaav4450. [Google Scholar] [CrossRef]
- Yue, Z.; Li, Z.; Sang, L.; Wang, X. Spin-Gapless Semiconductors. Small 2020, 16, 1905155. [Google Scholar] [CrossRef]
- Wei, L.; Zhang, X.; Zhao, M. Spin-polarized Dirac cones and topological nontriviality in a metal–organic framework Ni2C24S6H12. Phys. Chem. Chem. Phys. 2016, 18, 8059–8064. [Google Scholar] [CrossRef]
- Wang, A.; Zhang, X.; Feng, Y.; Zhao, M. Chern insulator and Chern half-metal states in the two-dimensional spin-gapless semiconductor Mn2C6S12. J. Phys. Chem. Lett. 2017, 8, 3770–3775. [Google Scholar] [CrossRef]
- He, J.; Ma, S.; Lyu, P.; Nachtigall, P. Unusual Dirac half-metallicity with intrinsic ferromagnetism in vanadium trihalide monolayers. J. Mater. Chem. C 2016, 4, 2518–2526. [Google Scholar] [CrossRef]
- Zhang, X.; Wang, A.; Zhao, M. Spin-gapless semiconducting graphitic carbon nitrides: A theoretical design from first principles. Carbon 2015, 84, 1–8. [Google Scholar] [CrossRef]
- Wu, F.; Huang, C.; Wu, H.; Lee, C.; Deng, K.; Kan, E.; Jena, P. Atomically thin transition-metal dinitrides: High-temperature ferromagnetism and half-metallicity. Nano Lett. 2015, 15, 8277–8281. [Google Scholar] [CrossRef]
- Ji, W.X.; Zhang, B.M.; Zhang, S.F.; Zhang, C.W.; Ding, M.; Wang, P.J.; Zhang, R. Na2C monolayer: A novel 2p Dirac half-metal with multiple symmetry-protected Dirac cones. Nanoscale 2018, 10, 13645–13651. [Google Scholar] [CrossRef]
- Jiao, Y.; Ma, F.; Zhang, C.; Bell, J.; Sanvito, S.; Du, A. First-principles prediction of spin-polarized multiple Dirac rings in manganese fluoride. Phys. Rev. Lett. 2017, 119, 016403. [Google Scholar] [CrossRef]
- Sun, Q.; Kioussis, N. Prediction of manganese trihalides as two-dimensional Dirac half-metals. Phys. Rev. B 2018, 97, 094408. [Google Scholar] [CrossRef]
- Hall, E.H. On a New Action of the Magnet on Electric Currents. Am. J. Math. 1879, 2, 287–292. [Google Scholar] [CrossRef]
- Jungwirth, T.; Niu, Q.; MacDonald, A. Anomalous Hall effect in ferromagnetic semiconductors. Phys. Rev. Lett. 2002, 88, 207208. [Google Scholar] [CrossRef]
- Hall, E.H. On the "Rotational Coefficient" in Nickel and Cobalt. Proc. Phys. Soc. Lond. 1880, 4, 325. [Google Scholar] [CrossRef]
- Fang, Z.; Nagaosa, N.; Takahashi, K.S.; Asamitsu, A.; Mathieu, R.; Ogasawara, T.; Yamada, H.; Kawasaki, M.; Tokura, Y.; Terakura, K. The Anomalous Hall Effect and Magnetic Monopoles in Momentum Space. Science 2003, 302, 92–95. [Google Scholar] [CrossRef]
- Onoda, M.; Nagaosa, N. Quantized Anomalous Hall Effect in Two-Dimensional Ferromagnets: Quantum Hall Effect in Metals. Phys. Rev. Lett. 2003, 90, 206601. [Google Scholar] [CrossRef]
- Onoda, M.; Nagaosa, N. Topological Nature of Anomalous Hall Effect in Ferromagnets. J. Phys. Soc. Jpn. 2002, 71, 19–22. [Google Scholar] [CrossRef]
- Chang, C.Z.; Zhang, J.; Feng, X.; Shen, J.; Zhang, Z.; Guo, M.; Li, K.; Ou, Y.; Wei, P.; Wang, L.L.; et al. Experimental Observation of the Quantum Anomalous Hall Effect in a Magnetic Topological Insulator. Science 2013, 340, 167–170. [Google Scholar] [CrossRef]
- Chang, C.Z.; Li, M. Quantum anomalous Hall effect in time-reversal-symmetry breaking topological insulators. J. Phys. Condens. Matter 2016, 28, 123002. [Google Scholar]
- Zhang, F.; Kane, C.L.; Mele, E.J. Surface state magnetization and chiral edge states on topological insulators. Phys. Rev. Lett. 2013, 110, 046404. [Google Scholar] [CrossRef]
- Buhmann, H. The quantum spin Hall effect. J. Appl. Phys. 2011, 109, 10. [Google Scholar] [CrossRef]
- Kane, C.L.; Mele, E.J. Quantum spin Hall effect in graphene. Phys. Rev. Lett. 2005, 95, 226801. [Google Scholar] [CrossRef]
- Bernevig, B.A.; Zhang, S.C. Quantum spin Hall effect. Phys. Rev. Lett. 2006, 96, 106802. [Google Scholar] [CrossRef]
- Bernevig, B.A.; Hughes, T.L.; Zhang, S.C. Quantum Spin Hall Effect and Topological Phase Transition in HgTe Quantum Wells. Science 2006, 314, 1757–1761. [Google Scholar] [CrossRef]
- Konig, M.; Wiedmann, S.; Brune, C.; Roth, A.; Buhmann, H.; Molenkamp, L.W.; Qi, X.L.; Zhang, S.C. Quantum spin Hall insulator state in HgTe quantum wells. Science 2007, 318, 766–770. [Google Scholar] [CrossRef]
- Kuo, C.S.; Chang, T.R.; Xu, S.Y.; Jeng, H.T. Unconventional topological phase transition in non-symmorphic material KHgX (X= As, Sb, Bi). npj Comput. Mater. 2019, 5, 65. [Google Scholar] [CrossRef]
- Zhou, T.; Zhang, J.; Jiang, H.; Žutić, I.; Yang, Z. Giant spin-valley polarization and multiple Hall effect in functionalized bismuth monolayers. npj Quantum Mater. 2018, 3, 39. [Google Scholar] [CrossRef]
- Zhao, W.; Kang, K.; Zhang, Y.; Knüppel, P.; Tao, Z.; Li, L.; Tschirhart, C.L.; Redekop, E.; Watanabe, K.; Taniguchi, T.; et al. Realization of the Haldane Chern insulator in a moiré lattice. Nat. Phys. 2024, 1–6. [Google Scholar] [CrossRef]
- Xu, G.; Weng, H.; Wang, Z.; Dai, X.; Fang, Z. Chern semimetal and the quantized anomalous Hall effect in HgCr2Se4. Phys. Rev. Lett. 2011, 107, 186806. [Google Scholar] [CrossRef]
- Shapiro, M.C.; Riggs, S.C.; Stone, M.B.; de la Cruz, C.R.; Chi, S.; Podlesnyak, A.A.; Fisher, I.R. Structure and magnetic properties of the pyrochlore iridate Y2Ir2O7. Phys. Rev. B—Condensed Matter Mater. Phys. 2012, 85, 214434. [Google Scholar] [CrossRef]
- Wang, Z.; Vergniory, M.; Kushwaha, S.; Hirschberger, M.; Chulkov, E.; Ernst, A.; Ong, N.P.; Cava, R.J.; Bernevig, B.A. Time-reversal-breaking Weyl fermions in magnetic Heusler alloys. Phys. Rev. Lett. 2016, 117, 236401. [Google Scholar] [CrossRef]
- Kübler, J.; Felser, C. Weyl points in the ferromagnetic Heusler compound CO2MnAl. Europhys. Lett. 2016, 114, 47005. [Google Scholar] [CrossRef]
- Pan, J.; Yu, J.; Zhang, Y.F.; Du, S.; Janotti, A.; Liu, C.X.; Yan, Q. Quantum anomalous Hall effect in two-dimensional magnetic insulator heterojunctions. npj Comput. Mater. 2020, 6, 152. [Google Scholar] [CrossRef]
- Claassen, M.; Jia, C.; Moritz, B.; Devereaux, T.P. All-optical materials design of chiral edge modes in transition-metal dichalcogenides. Nat. Commun. 2016, 7, 13074. [Google Scholar] [CrossRef]
- Skirlo, S.A.; Lu, L.; Igarashi, Y.; Yan, Q.; Joannopoulos, J.; Soljačić, M. Experimental observation of large Chern numbers in photonic crystals. Phys. Rev. Lett. 2015, 115, 253901. [Google Scholar] [CrossRef]
- Muechler, L.; Liu, E.; Gayles, J.; Xu, Q.; Felser, C.; Sun, Y. Emerging chiral edge states from the confinement of a magnetic Weyl semimetal in Co3Sn2S2. Phys. Rev. B 2020, 101, 115106. [Google Scholar] [CrossRef]
- Iurov, A.; Gumbs, G.; Huang, D. Peculiar electronic states, symmetries, and Berry phases in irradiated α-T 3 materials. Phys. Rev. B 2019, 99, 205135. [Google Scholar] [CrossRef]
- Iurov, A.; Mattis, M.; Zhemchuzhna, L.; Gumbs, G.; Huang, D. Floquet modification of the bandgaps and energy spectrum in flat-band pseudospin-1 Dirac materials. Appl. Sci. 2024, 14, 6027. [Google Scholar] [CrossRef]
- Iurov, A.; Zhemchuzhna, L.; Gumbs, G.; Huang, D.; Tse, W.K.; Blaise, K.; Ejiogu, C. Floquet engineering of tilted and gapped Dirac bandstructure in 1T’-MoS 2. Sci. Rep. 2022, 12, 21348. [Google Scholar] [CrossRef]
- Zhu, D.; Zhang, J.; Li, P.; Li, Z.; Li, H.; Liu, X.; Ma, T.; Ji, L.; Zhou, H.; Chen, J. Robust macroscale superlubricity in humid air via designing amorphous DLC/crystalline TMDs friction pair. Adv. Funct. Mater. 2024, 34, 2316036. [Google Scholar] [CrossRef]
- Huo, S.; Qu, H.; Meng, F.; Zhang, Z.; Yang, Z.; Zhang, S.; Hu, X.; Wu, E. Negative differential resistance with ultralow peak-to-valley voltage difference in Td-WTe2/2H-MoS2 heterostructure. Nano Lett. 2024, 24, 11937–11943. [Google Scholar] [CrossRef]
- Fan, S.; Han, C.; He, K.; Bai, L.; Chen, L.Q.; Shi, H.; Shen, C.; Yang, T. Acoustic Moiré Flat Bands in Twisted Heterobilayer Metasurface. Adv. Mater. 2025, 2418839. [Google Scholar] [CrossRef]
- Li, C.; Chen, X.; Zhang, Z.; Wu, X.; Yu, T.; Bie, R.; Yang, D.; Yao, Y.; Wang, Z.; Sun, L. Charge-selective 2D heterointerface-driven multifunctional floating gate memory for in situ sensing-memory-computing. Nano Lett. 2024, 24, 15025–15034. [Google Scholar] [CrossRef] [PubMed]
- Xu, H.; Wang, Y.; Liu, M.; Zhai, Y. Alternating Multilayered Ti3C2T x/Co Sandwich with Co Frosting for Superior Electromagnetic Wave Absorption Performance and Infrared Stealth Ability. ACS Appl. Mater. Interfaces 2025, 17, 47679–47695. [Google Scholar] [CrossRef] [PubMed]
- Deng, C.S.; Peng, Z.X.; Li, B.X. Ultrahigh Extinction Ratio Topological Polarization Beam Splitter Based on Dual-Polarization Second-Order Topological Photonic Crystals. Adv. Quantum Technol. 2025, 8, 2400637. [Google Scholar] [CrossRef]
- Kawaguchi, Y.; Smirnova, D.; Komissarenko, F.; Kiriushechkina, S.; Vakulenko, A.; Li, M.; Alù, A.; Khanikaev, A.B. Pseudo-spin switches and Aharonov-Bohm effect for topological boundary modes. Sci. Adv. 2024, 10, eadn6095. [Google Scholar] [CrossRef]
- Zhao, Z.; Xu, X.; Liu, W.; Wang, L. Modeling and suppression of magnetic noise in nanocrystalline magnetic shielding system considering residual loss magnetic noise and interlayer effects. Measurement 2025, 250, 117216. [Google Scholar] [CrossRef]
- Xu, X.; Wang, L.; Liu, W.; Zhao, Z. Theoretical modeling and characterization of equivalent magnetic properties in laminated composite magnetic shielding. Measurement 2025, 251, 117237. [Google Scholar] [CrossRef]
- Song, T.; Fei, Z.; Yankowitz, M.; Lin, Z.; Jiang, Q.; Hwangbo, K.; Zhang, Q.; Sun, B.; Taniguchi, T.; Watanabe, K.; et al. Switching 2D magnetic states via pressure tuning of layer stacking. Nat. Mater. 2019, 18, 1298–1302. [Google Scholar] [CrossRef]
- Ghosh, A.; Singh, D.; Aramaki, T.; Mu, Q.; Borisov, V.; Kvashnin, Y.; Haider, G.; Jonak, M.; Chareev, D.; Medvedev, S.; et al. Exotic magnetic and electronic properties of layered CrI3 single crystals under high pressure. Phys. Rev. B 2022, 105, L081104. [Google Scholar] [CrossRef]
- Ghader, D.; Jabakhanji, B.; Stroppa, A. Whirling interlayer fields as a source of stable topological order in moiré CrI3. Commun. Phys. 2022, 5, 192. [Google Scholar] [CrossRef]
- Huang, B.; Clark, G.; Navarro-Moratalla, E.; Klein, D.R.; Cheng, R.; Seyler, K.L.; Zhong, D.; Schmidgall, E.; McGuire, M.A.; Cobden, D.H.; et al. Layer-dependent ferromagnetism in a van der Waals crystal down to the monolayer limit. Nature 2017, 546, 270–273. [Google Scholar] [CrossRef]
- Jin, W.; Ye, Z.; Luo, X.; Yang, B.; Ye, G.; Yin, F.; Kim, H.H.; Rojas, L.; Tian, S.; Fu, Y.; et al. Tunable layered-magnetism–assisted magneto-Raman effect in a two-dimensional magnet CrI3. Proc. Natl. Acad. Sci. USA 2020, 117, 24664–24669. [Google Scholar]
- Liu, Y.; Wu, L.; Tong, X.; Li, J.; Tao, J.; Zhu, Y.; Petrovic, C. Thickness-dependent magnetic order in CrI3 single crystals. Sci. Rep. 2019, 9, 13599. [Google Scholar] [CrossRef]
- Webster, L.; Yan, J.A. Strain-tunable magnetic anisotropy in monolayer CrCl3, CrBr3, and CrI3. Phys. Rev. B 2018, 98, 144411. [Google Scholar] [CrossRef]
- Guo, Y.; Liu, N.; Zhao, Y.; Jiang, X.; Zhou, S.; Zhao, J. Enhanced ferromagnetism of CrI3 bilayer by self-intercalation. Chin. Phys. Lett. 2020, 37, 107506. [Google Scholar] [CrossRef]
- Wu, D.; Zhao, Y.; Yang, Y.; Huang, L.; Xiao, Y.; Chen, S.; Zhao, Y. Atomic intercalation induced spin-flip transition in bilayer CrI3. Nanomaterials 2022, 12, 1420. [Google Scholar] [CrossRef] [PubMed]
- Qian, Z.; Wang, Y.; Lu, J.; Wang, Z.; Rui, X.; Zhu, T.; Hua, B.; Gu, G.; Peng, Q.; Guo, N. Coexistence of Ferromagnetism and Ferroelectricity in Cu-Intercalated Bilayer CrI3. ACS Omega 2024, 9, 11478–11483. [Google Scholar] [CrossRef]
- Lyu, H.Y.; Zhang, Z.; You, J.Y.; Yan, Q.B.; Su, G. Two-dimensional intercalating multiferroics with strong magnetoelectric coupling. J. Phys. Chem. Lett. 2022, 13, 11405–11412. [Google Scholar] [CrossRef]
- Mishra, S.; Park, I.K.; Javaid, S.; Shin, S.H.; Lee, G. Enhancement of interlayer exchange coupling via intercalation in 2D magnetic bilayers: Towards high Curie temperature. Mater. Horizons 2024, 11, 4482–4492. [Google Scholar] [CrossRef]
- Lawrence, E.A.; Huai, X.; Kim, D.; Avdeev, M.; Chen, Y.; Skorupskii, G.; Miura, A.; Ferrenti, A.; Waibel, M.; Kawaguchi, S.; et al. Fe site order and magnetic properties of Fe1/4NbS2. Inorg. Chem. 2023, 62, 18179–18188. [Google Scholar] [CrossRef] [PubMed]
- Gao, L.; Li, M.; Wang, L.; Chen, G.Z.; Yang, H.; Hu, B.; Huang, Q. Chemical scissor medicated intercalation of NbS2 by transition metal for electromagnetic properties tuning. Adv. Funct. Mater. 2024, 34, 2313243. [Google Scholar] [CrossRef]
- Mankovsky, S.; Polesya, S.; Ebert, H.; Bensch, W. Electronic and magnetic properties of 2 H-NbS 2 intercalated by 3 d transition metals. Phys. Rev. B 2016, 94, 184430. [Google Scholar] [CrossRef]
- Hawkhead, Z.; Hicken, T.; Bentley, N.; Huddart, B.; Clark, S.; Lancaster, T. Band-filling-controlled magnetism from transition metal intercalation in N 1/3 NbS 2 revealed with first-principles calculations. Phys. Rev. Mater. 2023, 7, 114002. [Google Scholar] [CrossRef]
- Wang, L.; Shi, Y.; Liu, M.; Zhang, A.; Hong, Y.L.; Li, R.; Gao, Q.; Chen, M.; Ren, W.; Cheng, H.M.; et al. Intercalated architecture of MA2Z4 family layered van der Waals materials with emerging topological, magnetic and superconducting properties. Nat. Commun. 2021, 12, 2361. [Google Scholar] [CrossRef]
- Kim, M.; Wang, C.Z.; Tringides, M.C.; Hupalo, M.; Ho, K.M. Topological band gap in intercalated epitaxial graphene. Solid State Commun. 2023, 373, 115337. [Google Scholar] [CrossRef]
- Inoshita, T.; Hirayama, M.; Hamada, N.; Hosono, H.; Murakami, S. Topological semimetal phases manifested in transition metal dichalcogenides intercalated with 3 d metals. Phys. Rev. B 2019, 100, 121112. [Google Scholar] [CrossRef]
- Yang, W.; Zhang, Y.; Wang, F.; Peng, J.; Zhang, H.; Xu, X. Exploration of intrinsic magnetic topological insulators in multiple-MnTe-intercalated topological insulator Bi2Te3. Appl. Phys. Lett. 2024, 124, 22. [Google Scholar] [CrossRef]
- Zhou, J.; Jena, P. Two-dimensional topological crystalline quantum spin Hall effect in transition metal intercalated compounds. Phys. Rev. B 2017, 95, 081102. [Google Scholar] [CrossRef]
- Zhang, Z.; You, J.Y.; Gu, B.; Su, G. Emergent topological superconductivity in Bi-intercalated van der Waals layered SiTe 2. Phys. Rev. B 2022, 106, 174519. [Google Scholar] [CrossRef]
- Takagi, H.; Takagi, R.; Minami, S.; Nomoto, T.; Ohishi, K.; Suzuki, M.T.; Yanagi, Y.; Hirayama, M.; Khanh, N.; Karube, K.; et al. Spontaneous topological Hall effect induced by non-coplanar antiferromagnetic order in intercalated van der Waals materials. Nat. Phys. 2023, 19, 961–968. [Google Scholar] [CrossRef]
- Zhang, C.; Liu, C.; Zhang, J.; Yuan, Y.; Wen, Y.; Li, Y.; Zheng, D.; Zhang, Q.; Hou, Z.; Yin, G.; et al. Room-Temperature Magnetic Skyrmions and Large Topological Hall Effect in Chromium Telluride Engineered by Self-Intercalation. Adv. Mater. 2023, 35, 2205967. [Google Scholar] [CrossRef]
- PC, S.; Huang, Z.Q.; Villaos, R.A.B.; Chuang, F.C. Higher-order topological fermion phase and Weyl phonon phase in Li-intercalated graphene layers. Appl. Phys. Lett. 2025, 126. [Google Scholar]
- Li, Y.; Tang, P.; Chen, P.; Wu, J.; Gu, B.L.; Fang, Y.; Zhang, S.; Duan, W. Topological insulators in transition-metal intercalated graphene: The role of d electrons in significantly increasing the spin-orbit gap. Phys. Rev. B—Condensed Matter Mater. Phys. 2013, 87, 245127. [Google Scholar] [CrossRef]
- Xiong, R.; Chen, X.; Zhang, Y.; Cui, Z.; Wen, J.; Wen, C.; Wang, J.; Wu, B.; Sa, B. Unraveling the emerging photocatalytic, thermoelectric, and topological properties of intercalated architecture MZX (M= Ga and In; Z= Si, Ge and Sn; X= S, Se, and Te) monolayers. Langmuir 2023, 39, 15837–15847. [Google Scholar] [CrossRef]
- Qin, C.; Gao, Y.; Qiao, Z.; Xiao, L.; Jia, S. Atomic-layered MoS2 as a tunable optical platform. Adv. Opt. Mater. 2016, 4, 1429–1456. [Google Scholar] [CrossRef]
- Lee, J.; Wang, Z.; He, K.; Yang, R.; Shan, J.; Feng, P.X.L. Electrically tunable single-and few-layer MoS2 nanoelectromechanical systems with broad dynamic range. Sci. Adv. 2018, 4, eaao6653. [Google Scholar] [CrossRef] [PubMed]
- Chu, T.; Ilatikhameneh, H.; Klimeck, G.; Rahman, R.; Chen, Z. Electrically tunable bandgaps in bilayer MoS2. Nano Lett. 2015, 15, 8000–8007. [Google Scholar] [CrossRef] [PubMed]
- Feng, S.; Campbell, A.J.; Brotons-Gisbert, M.; Andres-Penares, D.; Baek, H.; Taniguchi, T.; Watanabe, K.; Urbaszek, B.; Gerber, I.C.; Gerardot, B.D. Highly tunable ground and excited state excitonic dipoles in multilayer 2H-MoSe2. Nat. Commun. 2024, 15, 4377. [Google Scholar] [CrossRef] [PubMed]
- Xie, H.; Jiang, S.; Rhodes, D.A.; Hone, J.C.; Shan, J.; Mak, K.F. Tunable exciton-optomechanical coupling in suspended monolayer MoSe2. Nano Lett. 2021, 21, 2538–2543. [Google Scholar] [CrossRef]
- Tian, Y.; Sun, A.; Ge, Z.; Zhang, Y.; Huang, S.; Lv, S.; Li, H. Strain tunable electronic states of MoSe2 monolayer. Chem. Phys. Lett. 2021, 765, 138286. [Google Scholar] [CrossRef]
- Empante, T.A.; Zhou, Y.; Klee, V.; Nguyen, A.E.; Lu, I.H.; Valentin, M.D.; Naghibi Alvillar, S.A.; Preciado, E.; Berges, A.J.; Merida, C.S.; et al. Chemical vapor deposition growth of few-layer MoTe2 in the 2H, 1T’, and 1T phases: Tunable properties of MoTe2 films. ACS Nano 2017, 11, 900–905. [Google Scholar] [CrossRef] [PubMed]
- Wang, F.; Yin, L.; Wang, Z.X.; Xu, K.; Wang, F.M.; Shifa, T.A.; Huang, Y.; Jiang, C.; He, J. Configuration-dependent electrically tunable van der Waals heterostructures based on MoTe2/MoS2. Adv. Funct. Mater. 2016, 26, 5499–5506. [Google Scholar] [CrossRef]
- Paul, A.K.; Kuiri, M.; Saha, D.; Chakraborty, B.; Mahapatra, S.; Sood, A.; Das, A. Photo-tunable transfer characteristics in MoTe2–MoS2 vertical heterostructure. npj 2D Mater. Appl. 2017, 1, 17. [Google Scholar] [CrossRef]
- Kargar, F.; Barani, Z.; Sesing, N.R.; Mai, T.T.; Debnath, T.; Zhang, H.; Liu, Y.; Zhu, Y.; Ghosh, S.; Biacchi, A.J.; et al. Elemental excitations in MoI3 one-dimensional van der Waals nanowires. Appl. Phys. Lett. 2022, 121. [Google Scholar] [CrossRef]
- Ouettar, C.; Yahi, H.; Chibani, H. Tuning the magnetic and electronic properties of MoI3 monolayer by 3d transition metal doping: A first-principles study. J. Magn. Magn. Mater. 2022, 551, 169163. [Google Scholar] [CrossRef]
- Kresse, G.; Hafner, J. Ab initio molecular dynamics for liquid metals. Phys. Rev. B 1993, 47, 558. [Google Scholar] [CrossRef]
- Kresse, G.; Hafner, J. Ab initio molecular-dynamics simulation of the liquid-metal–amorphous-semiconductor transition in germanium. Phys. Rev. B 1994, 49, 14251. [Google Scholar] [CrossRef] [PubMed]
- Kresse, G.; Furthmüller, J. Efficient iterative schemes for ab initio total-energy calculations using a plane-wave basis set. Phys. Rev. B 1996, 54, 11169. [Google Scholar] [CrossRef]
- Kresse, G.; Furthmüller, J. Efficiency of ab-initio total energy calculations for metals and semiconductors using a plane-wave basis set. Comput. Mater. Sci. 1996, 6, 15–50. [Google Scholar] [CrossRef]
- Kohn, W.; Becke, A.D.; Parr, R.G. Density Functional Theory of Electronic Structure. J. Phys. Chem. 1996, 100, 12974–12980. [Google Scholar] [CrossRef]
- Kresse, G.; Joubert, D. From ultrasoft pseudopotentials to the projector augmented-wave method. Phys. Rev. B 1999, 59, 1758. [Google Scholar] [CrossRef]
- Monkhorst, H.J.; Pack, J.D. Special points for Brillouin-zone integrations. Phys. Rev. B 1976, 13, 5188. [Google Scholar] [CrossRef]
- Perdew, J.P.; Burke, K.; Ernzerhof, M. Generalized gradient approximation made simple. Phys. Rev. Lett. 1996, 77, 3865. [Google Scholar] [CrossRef]
- Liechtenstein, A.; Anisimov, V.I.; Zaanen, J. Density-functional theory and strong interactions: Orbital ordering in Mott-Hubbard insulators. Phys. Rev. B 1995, 52, R5467. [Google Scholar] [CrossRef]
- Pizzi, G.; Vitale, V.; Arita, R.; Blügel, S.; Freimuth, F.; Géranton, G.; Gibertini, M.; Gresch, D.; Johnson, C.; Koretsune, T.; et al. Wannier90 as a community code: New features and applications. J. Phys. Condens. Matter 2020, 32, 165902. [Google Scholar] [CrossRef]
- Mostofi, A.A.; Yates, J.R.; Pizzi, G.; Lee, Y.S.; Souza, I.; Vanderbilt, D.; Marzari, N. An updated version of wannier90: A tool for obtaining maximally-localised Wannier functions. Comput. Phys. Commun. 2014, 185, 2309–2310. [Google Scholar] [CrossRef]
- Marzari, N.; Vanderbilt, D. Maximally localized generalized Wannier functions for composite energy bands. Phys. Rev. B 1997, 56, 12847. [Google Scholar] [CrossRef]
- Souza, I.; Marzari, N.; Vanderbilt, D. Maximally localized Wannier functions for entangled energy bands. Phys. Rev. B 2001, 65, 035109. [Google Scholar] [CrossRef]
- Wu, Q.; Zhang, S.; Song, H.F.; Troyer, M.; Soluyanov, A.A. WannierTools: An open-source software package for novel topological materials. Comput. Phys. Commun. 2018, 224, 405–416. [Google Scholar] [CrossRef]
- Soluyanov, A.A.; Gresch, D.; Wang, Z.; Wu, Q.; Troyer, M.; Dai, X.; Bernevig, B.A. Type-ii weyl semimetals. Nature 2015, 527, 495–498. [Google Scholar] [CrossRef]
- Jiang, P.; Li, L.; Liao, Z.; Zhao, Y.; Zhong, Z. Spin direction-controlled electronic band structure in two-dimensional ferromagnetic CrI3. Nano Lett. 2018, 18, 3844–3849. [Google Scholar] [CrossRef]
- Baidya, S.; Yu, J.; Kim, C.H. Tunable magnetic topological insulating phases in monolayer CrI 3. Phys. Rev. B 2018, 98, 155148. [Google Scholar] [CrossRef]
- Naselli, G.; Moghaddam, A.G.; Di Napoli, S.; Vildosola, V.; Fulga, I.C.; van den Brink, J.; Facio, J.I. Magnetic warping in topological insulators. Phys. Rev. Res. 2022, 4, 033198. [Google Scholar] [CrossRef]
- Li, Z.; Han, Y.; Qiao, Z. Chern number tunable quantum anomalous Hall effect in monolayer transitional metal oxides via manipulating magnetization orientation. Phys. Rev. Lett. 2022, 129, 036801. [Google Scholar] [CrossRef] [PubMed]
- Zhou, X.; Feng, W.; Li, Y.; Yao, Y. Spin-Chirality-Driven Quantum Anomalous and Quantum Topological Hall Effects in Chiral Magnets. Nano Lett. 2023, 23, 5680–5687. [Google Scholar] [CrossRef] [PubMed]
- Li, S.; Li, X.; Ji, W.; Li, P.; Yan, S.; Zhang, C. Quantum anomalous Hall effect with a high and tunable Chern number in monolayer NdN_2. Phys. Chem. Chem. Phys. 2023, 25, 18275–18283. [Google Scholar] [CrossRef]
- Zhao, Y.F.; Zhang, R.; Mei, R.; Zhou, L.J.; Yi, H.; Zhang, Y.Q.; Yu, J.; Xiao, R.; Wang, K.; Samarth, N.; et al. Tuning the Chern number in quantum anomalous Hall insulators. Nature 2020, 588, 419–423. [Google Scholar] [CrossRef]
- Zhang, C.; Zhu, T.; Soejima, T.; Kahn, S.; Watanabe, K.; Taniguchi, T.; Zettl, A.; Wang, F.; Zaletel, M.P.; Crommie, M.F. Local spectroscopy of a gate-switchable moiré quantum anomalous Hall insulator. Nat. Commun. 2023, 14, 3595. [Google Scholar] [CrossRef]
- Li, S.; Zhao, S.; Hartmann, D.M.; Yang, W.; Lin, X.; Zhao, W.; Lavrijsen, R. Modulation of the Dzyaloshinskii–Moriya interaction in Pt/Co/Pt with electric field induced strain. Appl. Phys. Lett. 2025, 126. [Google Scholar] [CrossRef]
- Thonhauser, T.; Vanderbilt, D. Insulator/Chern-insulator transition in the Haldane model. Phys. Rev. B 2006, 74, 235111. [Google Scholar] [CrossRef]
- Zhang, W.; Zhang, A.; Han, Y.; Luo, X.; Gong, F.; Wang, Z.; Luo, Y.; Li, D.; Zeng, Z.; Quan, Z.; et al. Reversible manipulation of field-free perpendicular magnetization switching via electric field. Appl. Phys. Lett. 2025, 126. [Google Scholar] [CrossRef]




| a(Å) | d(Å) | MAE(meV/Cr(Mo)) | |||
|---|---|---|---|---|---|
| 7.24 | 6.67 | 59.2 | 55.9 | 97.4 | 0.618 |
Disclaimer/Publisher’s Note: The statements, opinions and data contained in all publications are solely those of the individual author(s) and contributor(s) and not of MDPI and/or the editor(s). MDPI and/or the editor(s) disclaim responsibility for any injury to people or property resulting from any ideas, methods, instructions or products referred to in the content. |
© 2025 by the authors. Licensee MDPI, Basel, Switzerland. This article is an open access article distributed under the terms and conditions of the Creative Commons Attribution (CC BY) license (https://creativecommons.org/licenses/by/4.0/).
Share and Cite
Yin, C.-E.; Huang, A.; Jeng, H.-T. Topological Phase Transition in Two-Dimensional Magnetic Material CrI3 Bilayer Intercalated with Mo. Materials 2025, 18, 4751. https://doi.org/10.3390/ma18204751
Yin C-E, Huang A, Jeng H-T. Topological Phase Transition in Two-Dimensional Magnetic Material CrI3 Bilayer Intercalated with Mo. Materials. 2025; 18(20):4751. https://doi.org/10.3390/ma18204751
Chicago/Turabian StyleYin, Chen-En, Angus Huang, and Horng-Tay Jeng. 2025. "Topological Phase Transition in Two-Dimensional Magnetic Material CrI3 Bilayer Intercalated with Mo" Materials 18, no. 20: 4751. https://doi.org/10.3390/ma18204751
APA StyleYin, C.-E., Huang, A., & Jeng, H.-T. (2025). Topological Phase Transition in Two-Dimensional Magnetic Material CrI3 Bilayer Intercalated with Mo. Materials, 18(20), 4751. https://doi.org/10.3390/ma18204751

