Evaluation of Silver Recovery from High-Sulphur Mining Waste Using Thiourea–Oxalate System
Highlights
- A thorough characterization of mine tailings, including particle size, elemental composition, mineralogy, neutralization potential (NP), and acid potential (AP), was carried out to optimize silver recovery.
- This study systematically analyzed the effects of reagent concentration, pH, and temperature.
- Thiourea and potassium oxalate were used to enhance the leaching of argentite and polybasite, achieving a maximum silver recovery rate of 90.75% under optimum conditions: 0.2 M thiourea, 0.2 M potassium oxalate, pH 2, and 35 °C.
Abstract
1. Introduction
2. Materials and Methods
2.1. Chemical and Mineralogical Characterization
2.2. Leaching Tests
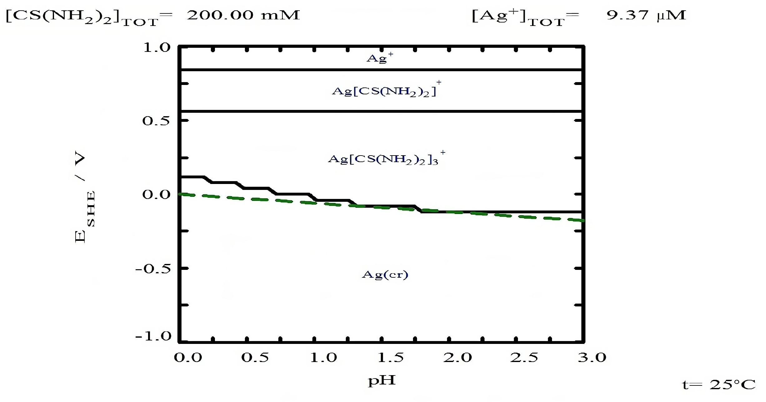
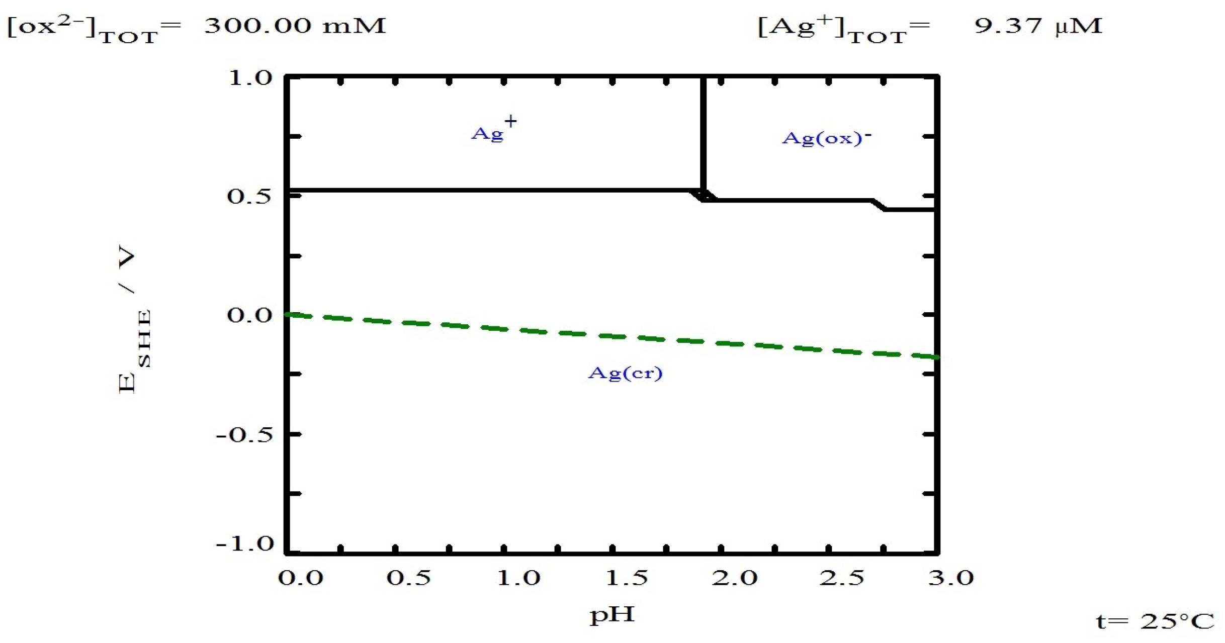
3. Results and Discussion
3.1. Granulometric Analysis and Metal Content
3.2. Neutralization Potential (NP) and Acid Potential (AP)
3.3. X-Ray Diffraction Analysis (XRD) and Scanning Electron Microscopy Analysis (SEM)
3.4. Thiourea Concentration
3.5. Oxalate Concentration
3.6. pH Effect
3.7. Temperature Effect
4. Conclusions
- The TU-Ox system represents a suitable option for recovering precious metals present in tailings. This approach adds value to these residues, which are rich in sulfides and may potentially generate acid drainage in the future.
- The most important variables that help to optimize this process are the temperature and concentration of thiourea and oxalate. The optimum conditions were 0.2 M thiourea, 0.2 M potassium oxalate, pH=2 and 35 °C, and a maximum silver recovery of 90.75% was achieved.
- The TU-Ox system demonstrated improvements in the leaching process, particularly in the presence of arsenopyrite, a mineral phase that catalyzes the decomposition of thiourea.
- Oxalate helps stabilize thiourea, ensuring its availability to form complexes with silver. However, increasing oxalate concentration can lead to the formation of solid copper oxalate, which creates resistance to the transport of reagents and products.
- Higher temperatures enhance silver leaching, suggesting that the process is chemically controlled. However, elevated temperatures also accelerate thiourea decomposition.
Author Contributions
Funding
Institutional Review Board Statement
Informed Consent Statement
Data Availability Statement
Acknowledgments
Conflicts of Interest
Appendix A
References
- Hancock, G.; Coulthard, T. Tailings dams: Assessing the long-term erosional stability of valley fill designs. Sci. Total Environ. 2022, 849, 157692. [Google Scholar] [CrossRef]
- Lorenzo-Tallafigo, J.; Iglesias-González, N.; Romero-García, A.; Mazuelos, A.; del Amo, P.R.; Romero, R.; Carranza, F. The reprocessing of hydrometallurgical sulphidic tailings by bioleaching: The extraction of metals and the use of biogenic liquors. Miner. Eng. 2022, 176, 107343. [Google Scholar] [CrossRef]
- Hu, X.; Yang, H.; Tan, K.; Hou, S.; Cai, J.; Yuan, X.; Lan, Q.; Cao, J.; Yan, S. Treatment and recovery of iron from acid mine drainage: A pilot-scale study. J. Environ. Chem. Eng. 2022, 10, 106974. [Google Scholar] [CrossRef]
- Berberich, J.; Li, T.; Sahle-Demessie, E. Biosensors for Monitoring Water Pollutants: A Case Study with Arsenic in Groundwater. Sep. Sci. Technol. 2019, 11, 285–328. [Google Scholar]
- Ruiz-Sánchez, A.; Tapia, J.C.J.; Lapidus, G. Evaluation of acid mine drainage (AMD) from tailings and their valorization by copper recovery. Miner. Eng. 2022, 191, 107979. [Google Scholar] [CrossRef]
- Nwaila, G.T.; Ghorbani, Y.; Zhang, S.E.; Frimmel, H.E.; Tolmay, L.C.; Rose, D.H.; Nwaila, P.C.; Bourdeau, J.E. Valorisation of mine waste—Part I: Characteristics of, and sampling methodology for, consolidated mineralised tailings by using Witwatersrand gold mines (South Africa) as an example. J. Environ. Manag. 2021, 295, 113013. [Google Scholar] [CrossRef] [PubMed]
- Nwaila, G.T.; Ghorbani, Y.; Zhang, S.E.; Tolmay, L.C.; Rose, D.H.; Nwaila, P.C.; Bourdeau, J.E.; Frimmel, H.E. Valorisation of mine waste—Part II: Resource evaluation for consolidated and mineralised mine waste using the Central African Copperbelt as an example. J. Environ. Manag. 2021, 299, 113553. [Google Scholar] [CrossRef]
- Canıeren, Ö.; Karagüzel, C. Silver Metal Extraction from Refractory Silver Ore Using Chloride-Hypochlorite and Hydrochloric Acid Media Under High Pressure. Mining Met. Explor. 2021, 38, 1215–1223. [Google Scholar] [CrossRef]
- Tapia, J.C.J.; Cardona, F.P.; Vallmajor, A.R.; Ruiz, A.M.T.; Domínguez, I.A.R.; Pérez, M.R.; Labra, M.P.; Guerrero, M.U.F. Determination of Dissolution Rates of Ag Contained in Metallurgical and Mining Residues in the S2O32−-O2-Cu2+ System: Kinetic Analysis. Minerals 2018, 8, 309. [Google Scholar] [CrossRef]
- Merkulova, M.; Mathon, O.; Glatzel, P.; Rovezzi, M.; Batanova, V.; Marion, P.; Boiron, M.-C.; Manceau, A. Revealing the Chemical Form of “Invisible” Gold in Natural Arsenian Pyrite and Arsenopyrite with High Energy-Resolution X-ray Absorption Spectroscopy. ACS Earth Space Chem. 2019, 3, 1905–1914. [Google Scholar] [CrossRef]
- Rogozhnikov, D.; Karimov, K.; Shoppert, A.; Dizer, O.; Naboichenko, S. Kinetics and mechanism of arsenopyrite leaching in nitric acid solutions in the presence of pyrite and Fe(III) ions. Hydrometallurgy 2021, 199, 105525. [Google Scholar] [CrossRef]
- Celep, O.; Alp, I.; Deveci, H.; Vicil, M. Characterization of refractory behaviour of complex gold/silver ore by diagnostic leaching. Trans. Nonferrous Met. Soc. China 2009, 19, 707–713. [Google Scholar] [CrossRef]
- Piervandi, Z. Pretreatment of refractory gold minerals by ozonation before the cyanidation process: A review. J. Environ. Chem. Eng. 2023, 11, 109013. [Google Scholar] [CrossRef]
- Larrabure, G.; Rodríguez-Reyes, J.C.F. A review on the negative impact of different elements during cyanidation of gold and silver from refractory ores and strategies to optimize the leaching process. Miner. Eng. 2021, 173, 107194. [Google Scholar] [CrossRef]
- Lei, C.; Yan, B.; Chen, T.; Wang, X.-L.; Xiao, X.-M. Silver leaching and recovery of valuable metals from magnetic tailings using chloride leaching. J. Clean. Prod. 2018, 181, 408–415. [Google Scholar] [CrossRef]
- Salinas-Rodríguez, E.; Hernández-Ávila, J.; Rivera-Landero, I.; Cerecedo-Sáenz, E.; Reyes-Valderrama, M.I.; Correa-Cruz, M.; Rubio-Mihi, D. Leaching of silver contained in mining tailings, using sodium thiosulfate: A kinetic study. Hydrometallurgy 2016, 160, 6–11. [Google Scholar] [CrossRef]
- Olson, G.J.; Brierley, C.L.; Briggs, A.P.; Calmet, E. Biooxidation of thiocyanate-containing refractory gold tailings from Minacalpa, Peru. Hydrometallurgy 2006, 81, 159–166. [Google Scholar] [CrossRef]
- Muñoz-Hernandez, E.J.; Teja-Ruíz, A.M.; Reyes-Pérez, M.; Cobos-Murcia, J.; Reyes-Cruz, V.E.; Juárez-Tapia, J.C. Estudio preliminar de lixiviación de Polibasita: Efecto de la temperatura. Pädi Boletín Científico De Cienc. Básicas E Ing. Del ICBI 2023, 10, 122–125. [Google Scholar] [CrossRef]
- Calla-Choque, D.; Nava-Alonso, F.; Fuentes-Aceituno, J. Acid decomposition and thiourea leaching of silver from hazardous jarosite residues: Effect of some cations on the stability of the thiourea system. J. Hazard. Mater. 2016, 317, 440–448. [Google Scholar] [CrossRef] [PubMed]
- Jing-Ying, L.; Xiu-Li, X.; Wen-Quan, L. Thiourea leaching gold and silver from the printed circuit boards of waste mobile phones. Waste Manag. 2012, 32, 1209–1212. [Google Scholar] [CrossRef]
- Sparrow, G.J.; Woodcock, J.T. Cyanide and Other Lixiviant Leaching Systems for Gold with Some Practical Applications. Miner. Process. Extr. Met. Rev. 1995, 14, 193–247. [Google Scholar] [CrossRef]
- Li, J.; Miller, J.D. A review of gold leaching in acid thiourea solutions. Miner. Process. Extr. Met. Rev. 2006, 27, 177–214. [Google Scholar] [CrossRef]
- Prasad, M.; Mensah-Biney, R.; Pizarro, R. Modern trends in gold processing—Overview. Miner. Eng. 1991, 4, 1257–1277. [Google Scholar] [CrossRef]
- Masoud, B.; Amir, A.; Bahram, R. Investigate of Effective Factors on Extraction of Silver from Tailings of Lead Flotation Plant Using Thiourea Leaching. World J. Eng. Technol. 2016, 4, 305–312. [Google Scholar] [CrossRef]
- Ashiq, A.; Kulkarni, J.; Vithanage, M. Electronic Waste Management and Treatment Technology. In Chapter 10—Hydrometallurgical Recovery of Metals from E-Waste; Prasad, M.N.V., Vithanage, M., Eds.; Butterworth-Heinemann: Oxford, UK, 2019. [Google Scholar] [CrossRef]
- Preisler, P.W.; Berger, L. Oxidation-Reduction Potentials of Thiol-Dithio Systems: Thiourea-Formamidine Disulfide1. J. Am. Chem. Soc. 1947, 69, 322–325. [Google Scholar] [CrossRef] [PubMed]
- Li, J.; Miller, J. Reaction kinetics for gold dissolution in acid thiourea solution using formamidine disulfide as oxidant. Hydrometallurgy 2002, 63, 215–223. [Google Scholar] [CrossRef]
- Aylmore, M.G. Alternative Lixiviants to Cyanide for Leaching Gold Ores. In Gold Ore Processing; Elsevier: Amsterdam, The Netherlands, 2016; pp. 447–484. [Google Scholar] [CrossRef]
- Poisot-Díaz, M.E.; González, I.; Lapidus, G.T. Electrodeposition of a Silver-Gold Alloy (DORÉ) from Thiourea Solutions in the Presence of Other Metallic Ion Impurities. Hydrometallurgy 2008, 93, 23–29. [Google Scholar] [CrossRef]
- Marsden, J.O.; House, C.I. The Chemistry of Gold Extraction; SME: Littleton, CO, USA, 2006; ISBN 978-0-87335-240-6. [Google Scholar]
- Calla-Choque, D.; Metropolitana-Iztapalapa, U.A.; Nava-Alonso, F. Thiourea determination for the precious metals leaching process by iodate titration. Rev. Mex. de Ing. Quimica 2020, 19, 275–284. [Google Scholar] [CrossRef]
- Chandra, I.; Jeffrey, M. A fundamental study of ferric oxalate for dissolving gold in thiosulfate solutions. Hydrometallurgy 2005, 77, 191–201. [Google Scholar] [CrossRef]
- Calla-Choque, D.; Lapidus, G. Acid decomposition and silver leaching with thiourea and oxalate from an industrial jarosite sample. Hydrometallurgy 2020, 192, 105289. [Google Scholar] [CrossRef]
- Calla-Choque, D.; Lapidus, G. Jarosite dissolution kinetics in the presence of acidic thiourea and oxalate media. Hydrometallurgy 2021, 200, 105565. [Google Scholar] [CrossRef]
- SGM. Panorama Minero del Estado de Hidalgo. Mexicano, Servicio Geológico. Available online: https://www.gob.mx/sgm/es/articulos/consulta-los-panoramas-mineros-estatales (accessed on 29 July 2021).
- Ruiz-Sánchez, Á.; Lapidus, G.T. Study of chalcopyrite leaching from a copper concentrate with hydrogen peroxide in aqueous ethylene glycol media. Hydrometallurgy 2017, 169, 192–200. [Google Scholar] [CrossRef]
- NOM-141-SEMARNAT-2003, Norma Oficial Mexicana. Norma Oficial Mexicana NOM-141-SEMARNAT-2003, Que Establece el Procedimiento Para Caracterizar los Jales, así Como las Especificaciones y Criterios Para la Caracterización y Preparación del Sitio, Proyecto, Construcción, Operación y Postoperación de Presa. Diario Oficial de la Federación. Available online: https://www.dof.gob.mx/nota_detalle.php?codigo=661988&fecha=13/09/2004#gsc.tab=0 (accessed on 1 January 2025).
- Petersen, L. Chemical Determination of Pyrite in Soils. Acta Agric. Scand. 1969, 19, 40–44. [Google Scholar] [CrossRef]
- Edwards, J.T. Determination of Pyrite and Siderite Content of Formation Deposits. Patent No. 4,334,882, June 1982. [Google Scholar]
- NMX-B-021-1982, Norma Mexicana. Determinación de las Formas de Azufre en el Carbón. Dirección General de Normas. Secretaría de Comercio y Fomento Industrial, Gobierno de México. Available online: https://platiica.economia.gob.mx/normalizacion/nmx-b-021-1982/ (accessed on 1 January 2025).
- Hernández, E.J.M.; Ruiz, A.M.T.; Pérez, M.R.; Flores, G.C.; Labra, M.P.; Hernández, F.R.B.; Tapia, J.C.J. Leaching of Arsenopyrite Contained in Tailings Using the TU-OX System; Springer: Berlin/Heidelberg, Germany, 2023. [Google Scholar] [CrossRef]
- Guo, X.-Y.; Zhang, L.; Tian, Q.-H.; Qin, H. Stepwise extraction of gold and silver from refractory gold concentrate calcine by thiourea. Hydrometallurgy 2020, 194, 105330. [Google Scholar] [CrossRef]
- Muñoz-Hernandez, E.J.; Teja-Ruíz, A.M.; Reyes-Pérez, M.; Reyes-Domínguez, I.A.; Urbano-Reyes, G.; Juárez-Tapia, J.C. Lixiviación de Pb y Zn empleando el sistema Tiourea-EDTA. Pädi Boletín Científico de Cienc. Básicas E Ing. del ICBI 2022, 10, 60–65. [Google Scholar] [CrossRef]
- Li, K.; Li, Q.; Yang, Y.; Xu, B.; Jiang, T.; Xu, R. The Role of Oxalate on Thiourea Leaching of Gold in the Presence of Jarosite; SSRN: Rochester, NY, USA, 2022. [Google Scholar] [CrossRef]
- Prasetyo, E.; Anderson, C.; Nurjaman, F.; Al Muttaqii, M.; Handoko, A.S.; Bahfie, F.; Mufakhir, F.R. Monosodium Glutamate as Selective Lixiviant for Alkaline Leaching of Zinc and Copper from Electric Arc Furnace Dust. Metals 2020, 10, 644. [Google Scholar] [CrossRef]
- Huang, Y.; Wang, D.; Liu, H.; Fan, G.; Peng, W.; Cao, Y. Selective complexation leaching of copper from copper smelting slag with the alkaline glycine solution: An effective recovery method of copper from secondary resource. Sep. Purif. Technol. 2023, 326, 124619. [Google Scholar] [CrossRef]
- Churg, A.; Muller, N.L. Update on Silicosis. Surg. Pathol. Clin. 2023, 17, 193–202. [Google Scholar] [CrossRef] [PubMed]
- Park, I.; Tabelin, C.B.; Jeon, S.; Li, X.; Seno, K.; Ito, M.; Hiroyoshi, N. A review of recent strategies for acid mine drainage prevention and mine tailings recycling. Chemosphere 2019, 219, 588–606. [Google Scholar] [CrossRef] [PubMed]
- Swinkels, L.J.; Burisch, M.; Rossberg, C.M.; Oelze, M.; Gutzmer, J.; Frenzel, M. Gold and silver deportment in sulfide ores—A case study of the Freiberg epithermal Ag-Pb-Zn district, Germany. Miner. Eng. 2021, 174, 107235. [Google Scholar] [CrossRef]
- Moreno-Tovar, R.; Barbanson, L.; Coreño-Alonso, O. Neoformación mineralógica en residuos mineros (jales) del distrito minero Zimapán, estado de Hidalgo, México. Minería Y Geol. 2009, 25, 31. [Google Scholar]
- Moreno Tovar, R.; Téllez Hernández, J.; Monroy Fernández, M.G. Influencia de Los Minerales de Los Jales En La Bioaccesibilidad De Arsénico, Plomo, Zinc Y Cadmio En El Distrito Minero Zimapán, México. Revista Internacional De Contaminación Ambiental, 2012. ISSN 0188-4999. Available online: http://www.scielo.org.mx/scielo.php?script=sci_arttext&pid=S0188-49992012000300003&lng=es&tlng=es (accessed on 1 January 2020).
- Corkhill, C.; Vaughan, D. Arsenopyrite oxidation—A review. Appl. Geochem. 2009, 24, 2342–2361. [Google Scholar] [CrossRef]
- Blowes, D.; Ptacek, C.; Jambor, J.; Weisener, C.; Paktunc, D.; Gould, W.; Johnson, D. 11.5—The Geochemistry of Acid Mine Drainage. Treatise Geochem. 2014, 9, 149. [Google Scholar]
- Belzile, N.; Maki, S.; Chen, Y.-W.; Goldsack, D. Inhibition of pyrite oxidation by surface treatment. Sci. Total Environ. 1997, 196, 177–186. [Google Scholar] [CrossRef]
- Karppinen, A.; Seisko, S.; Lundström, M. Atmospheric leaching of Ni, Co, Cu, and Zn from sulfide tailings using various oxidants. Miner. Eng. 2024, 207, 108576. [Google Scholar] [CrossRef]
- Buckley, A.; Wouterlood, H.; Woods, R. The surface composition of natural sphalerites under oxidative leaching conditions. Hydrometallurgy 1989, 22, 39–56. [Google Scholar] [CrossRef]
- Haldar, S.; Tišljar, J. Chapter 1—Rocks and Minerals. In Introduction to Mineralogy and Petrology; Elsevier: Amsterdam, The Netherlands, 2014. [Google Scholar] [CrossRef]
- Kissin, S.A.; Mango, H. 13.16—Silver Vein Deposits. In Treatise on Geochemistry; Elsevier: Amsterdam, The Netherlands, 2014; Volume 13. [Google Scholar]
- Puigdomenech, I. MEDUSA: Make Equilibrium Diagrams Using Sophisticated Algorithms; Royal Institute of Technology: Stockholm, Sweden, 2004; Available online: https://www.kth.se/che/medusa/downloads-1.386254 (accessed on 1 January 2025).
- Martell, A.E.; Smith, R.M. Critical Stability Constants; Volume 6: Second Supplement; Plenum Press: New York, NY, USA, 1974. [Google Scholar]
- Smith, R.M.; Martell, A.E. Critical Stability Constants: Volume 2: Amines; Springer Science & Business Media: Berlin/Heidelberg, Germany, 1975. [Google Scholar]
- Li, K.; Li, Q.; Zhang, Y.; Liu, X.; Yang, Y.; Jiang, T. Thiourea leaching of gold: Elucidating the mechanism of arsenopyrite catalyzed thiourea oxidation by Fe3+ and the beneficial role of oxalate through experimental and density functional theory (DFT) investigations. Miner. Eng. 2024, 207, 108550. [Google Scholar] [CrossRef]
- Yang, X.; Moats, M.S.; Miller, J.D.; Wang, X.; Shi, X.; Xu, H. Thiourea–thiocyanate leaching system for gold. Hydrometallurgy 2011, 106, 58–63. [Google Scholar] [CrossRef]
- Ruiz-Sánchez, A.; Lázaro, I.; Lapidus, G. Improvement effect of organic ligands on chalcopyrite leaching in the aqueous medium of sulfuric acid-hydrogen peroxide-ethylene glycol. Hydrometallurgy 2020, 193, 105293. [Google Scholar] [CrossRef]


















| Effervescence Degree (Carbonate Neutralization) | HCl 1 N Volume (mL) | |
|---|---|---|
| 0 h | 24 h | |
| None | 1 | 1 |
| Low | 2 | 1 |
| Moderate | 2 | 2 |
| Strong | 3 | 2 |
| Particle Size (μm) | Elemental Composition (Kg/t) | |||
|---|---|---|---|---|
| Ag * | Cu | Fe | As | |
| >150 | 30 | 1.13 | 65.69 | 2.52 |
| −150 + 105 | 20 | 1.01 | 78.60 | 4.39 |
| −105 + 74 | 20 | 0.82 | 78.51 | 4.81 |
| −74 + 53 | 70 | 0.45 | 68.37 | 8.60 |
| −53 + 37 | 120 | 2.65 | 152.38 | 13.05 |
| <37 | 180 | 2.68 | 73.75 | 7.33 |
| Particle Size (μm) | (%) | |||
|---|---|---|---|---|
| Ag | Cu | Fe | As | |
| >150 | 17.06 | 28.18 | 25.07 | 14.10 |
| −150 + 105 | 10.91 | 21.99 | 26.20 | 21.49 |
| −105 + 74 | 6.03 | 10.98 | 15.95 | 14.34 |
| −74 + 53 | 20.54 | 5.32 | 12.20 | 22.55 |
| −53 + 37 | 15.39 | 14.18 | 12.43 | 15.63 |
| <37 | 30.08 | 19.36 | 8.14 | 11.88 |
| Element | Concentration (Kg/t) | Element | Concentration (g/t) |
|---|---|---|---|
| Fe | 303.3 ± 0.6 | Ti | 475 ± 2 |
| S | 292.4 ± 0.4 | Cd | 360 ± 51 |
| Ca | 135.2 ± 0.2 | Co | 241 ± 87 |
| Mg | 52.9 ± 0.7 | Sb | 178 ± 6 |
| Zn | 50.6 ± 0.2 | Zr | 94 ± 5 |
| Si | 46.9 ± 0.4 | Sr | 73 ± 4 |
| Al | 14.9 ± 0.6 | Ag | 52 ± 3 |
| Pb | 12.9 ± 0.1 | Hg | 32 ± 11 |
| As | 10.5 ± 0.1 | ||
| K | 3.85 ± 0.5 | ||
| Mn | 2.86 ± 0.8 | ||
| Cu | 1.36 ± 0.6 |
| Iron Content% | |||
|---|---|---|---|
| Aqua regia | HCL | Pyritic iron | Pyrite content (%) |
| 4.3 | 0.6 | 3.8 | 8.1 |
| HNO3 | HCL | Pyritic iron | Pyrite content (%) |
| 3.9 | 0.6 | 3.3 | 7.1 |
| Parameter | Value |
|---|---|
| NP (g CaCO3/kg) | 116.5 |
| AP (g CaCO3/kg) * | 140 |
| Relación NP/AP | 0.83 |
Disclaimer/Publisher’s Note: The statements, opinions and data contained in all publications are solely those of the individual author(s) and contributor(s) and not of MDPI and/or the editor(s). MDPI and/or the editor(s) disclaim responsibility for any injury to people or property resulting from any ideas, methods, instructions or products referred to in the content. |
© 2025 by the authors. Licensee MDPI, Basel, Switzerland. This article is an open access article distributed under the terms and conditions of the Creative Commons Attribution (CC BY) license (https://creativecommons.org/licenses/by/4.0/).
Share and Cite
Muñoz Hernández, E.J.; Toro, N.; Reyes Pérez, M.; Reyes Domínguez, I.A.; Teja Ruiz, A.M.; Flores Guerrero, M.U.; Martínez Soto, J.I.; Flores, G.C.; Juárez Tapia, J.C. Evaluation of Silver Recovery from High-Sulphur Mining Waste Using Thiourea–Oxalate System. Materials 2025, 18, 347. https://doi.org/10.3390/ma18020347
Muñoz Hernández EJ, Toro N, Reyes Pérez M, Reyes Domínguez IA, Teja Ruiz AM, Flores Guerrero MU, Martínez Soto JI, Flores GC, Juárez Tapia JC. Evaluation of Silver Recovery from High-Sulphur Mining Waste Using Thiourea–Oxalate System. Materials. 2025; 18(2):347. https://doi.org/10.3390/ma18020347
Chicago/Turabian StyleMuñoz Hernández, Erick Jesús, Norman Toro, Martín Reyes Pérez, Iván Alejandro Reyes Domínguez, Aislinn Michelle Teja Ruiz, Mizraim Uriel Flores Guerrero, Jesús Iván Martínez Soto, Gabriel Cisneros Flores, and Julio Cesar Juárez Tapia. 2025. "Evaluation of Silver Recovery from High-Sulphur Mining Waste Using Thiourea–Oxalate System" Materials 18, no. 2: 347. https://doi.org/10.3390/ma18020347
APA StyleMuñoz Hernández, E. J., Toro, N., Reyes Pérez, M., Reyes Domínguez, I. A., Teja Ruiz, A. M., Flores Guerrero, M. U., Martínez Soto, J. I., Flores, G. C., & Juárez Tapia, J. C. (2025). Evaluation of Silver Recovery from High-Sulphur Mining Waste Using Thiourea–Oxalate System. Materials, 18(2), 347. https://doi.org/10.3390/ma18020347

