Early Strength Enhancement Mechanism of CaO-Modified Electrolytic Manganese Residue-Based Supersulfate Cement
Abstract
1. Introduction
2. Materials and Methods
2.1. Raw Materials
2.2. Sample Preparation
2.2.1. Preparations of CaO + EMR Powders
2.2.2. Preparations of SSC
2.3. Test Methods
2.3.1. Physico-Mechanical Testing
2.3.2. Instrumental Methods
3. Results and Discussion
3.1. XRD of C Series
3.2. pH of C Series
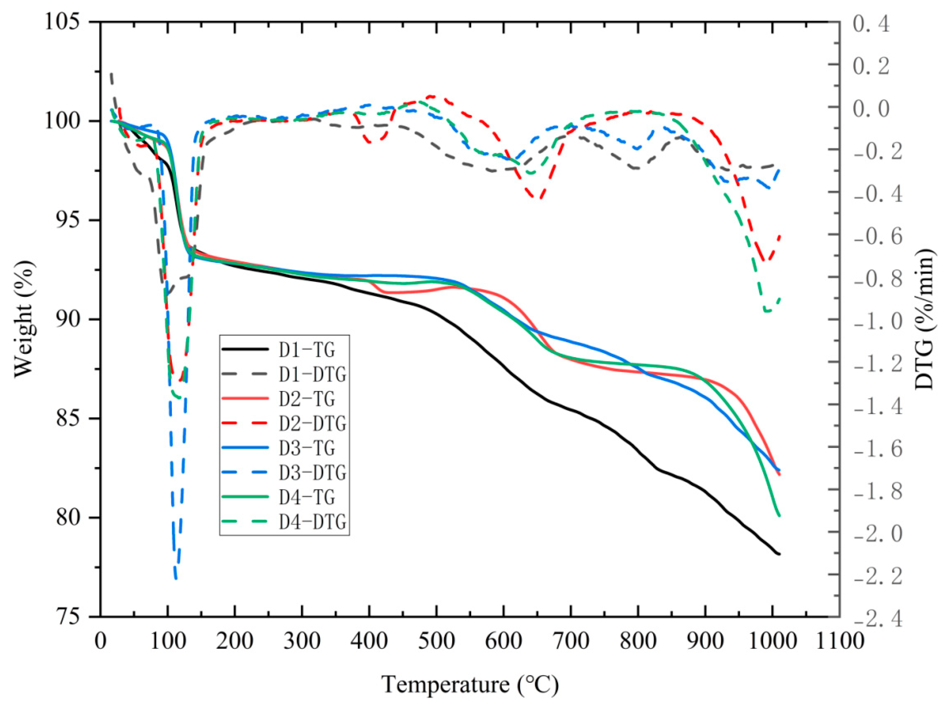
3.3. TG-DTG of C Series
3.4. Setting Time of D Series
3.5. Compressive Strength of D Series
3.6. MIP of D Series
3.7. SEM of D Series
3.8. Hydration Mechanism of D Series
4. Conclusions
- (1)
- When the mass ratio of the EMR–GGBS–cement was fixed as 35:60:5 and the dosage of external dopant CaO was 8%, the compressive strength of the cementitious system was maximized at 3 days, reaching 18.2 MPa. At 4% CaO doping, the compressive strengths at 7, 14, and 28 days reached 27.5 MPa, 30.9 MPa, and 33.8 MPa, respectively.
- (2)
- The addition of CaO promoted the formation of more gypsum dihydrate, which provided an increased amount of SO42−. The effect was most pronounced at a CaO dosage of 8%, improving the acid-base environment and thereby accelerating the hydration reaction.
- (3)
- As the CaO doping increased, the setting time of SSC was progressively shortened. The setting times of the 8% and 12% CaO-doped systems were very similar. The increased CaO content accelerated the hydration rate, which facilitated the earlier formation of strength.
- (4)
- The porosity of the hardened slurry gradually decreased with moderate increases in CaO doping. The pore size was refined, with a higher proportion of harmless and less harmful pores, leading to a densified slurry structure. The optimal pore size distribution was observed at 8% CaO doping after 3 days. Flaky Ca(OH)2 crystals were found in the specimen with 12% CaO doping.
- (5)
- The main hydration products of SSC were C-S-H gel and AFt. The alkaline environment provided by CaO and trace amounts of cement activated the SO42− in EMR, enhancing the reactivity of GGBS. This accelerated the hydration process and contributed to the strength development of the system.
Author Contributions
Funding
Institutional Review Board Statement
Informed Consent Statement
Data Availability Statement
Acknowledgments
Conflicts of Interest
References
- Wang, D.Q.; Fang, J.R.; Wang, Q.; Liu, Y.J. Utilizing desulphurized electrolytic-manganese residue as a mineral admixture: A feasibility study. Cem. Concr. Compos. 2022, 134, 104822. [Google Scholar] [CrossRef]
- Wang, D.Q.; Wang, Q.; Xue, J.F. Reuse of hazardous electrolytic manganese residue: Detailed leaching characterization and novel application as a cementitious material. Resour. Conserv. Recycl. 2020, 154, 104645. [Google Scholar] [CrossRef]
- Fu, T.; Pang, B.; Li, H.X.; Liang, J.L.; Bao, H.M. Electrolytic Manganese Residue-Modified Asphalt Performance Test and Micromechanism Analysis. Adv. Mater. Sci. Eng. 2020, 2020, 9014649. [Google Scholar] [CrossRef]
- Su, H.L.; Zhou, W.T.; Lv, X.J.; Liu, X.; Gao, W.H.; Li, C.M.; Li, S.H. Remediation treatment and resource utilization trends of electrolytic manganese residue. Miner. Eng. 2023, 36, 108264. [Google Scholar] [CrossRef]
- Wang, F.; Long, G.C.; Ma, K.L.; Zeng, X.H.; Tang, Z.; Dong, R.Z.; He, J.H.; Shangguan, M.H.; Hu, Q.C.; Liew, R.K.; et al. Recyling manganese-rich electrolytic residues review. Environ. Chem. Lett. 2023, 21, 2251–2284. [Google Scholar] [CrossRef]
- Shu, J.C.; Wu, H.P.; Chen, M.J.; Wei, L.; Wang, B.; Li, B.; Liu, R.L.; Liu, Z.H. Simultaneous optimizing removal of manganese and ammonia nitrogen from electrolytic metal manganese residue leachate using chemical equilibrium model. Ecotoxicol. Environ. Saf. 2019, 172, 273–280. [Google Scholar] [CrossRef]
- Lv, Y.; Li, J.; Ye, H.P.; Du, D.Y.; Li, J.X.; Sun, P.; Ma, M.Y.; Wen, J.X. Bioleaching behaviors of silicon and metals in electrolytic manganese residue using silicate bacteria. J. Clean. Prod. 2019, 228, 901–909. [Google Scholar] [CrossRef]
- Fu, X.X.; Xiao, X.; Tan, D.Y.; Xu, Z.H.; Yu, W.B. Heavy metal pollution of soils around an electrolytic manganese waste residue storage: Characteristics and evaluation. Environ. Sci. Technol. 2024, 47, 179–191. [Google Scholar]
- Cai, Y.X.; Long, G.C.; Xiao, Q.Y.; Ma, K.L.; Zeng, X.H.; Tang, Z.; Wang, J.L. Effect of low temperature calcined electrolytic manganese residue on the early-age hydration of cement paste. Constr. Build. Mater. 2023, 387, 131608. [Google Scholar] [CrossRef]
- Wang, J.; Peng, B.; Chai, L.; Zhang, Q.; Liu, Q. Preparation of electrolytic manganese residueground granulated blastfurnace slag cement. Powder Technol. 2013, 241, 12–18. [Google Scholar] [CrossRef]
- Wang, Z.; Gao, C.C.; Wang, Q.Z. Preparation of electrolytic manganese residue composite cementing material. Non-Met. Mines 2013, 36, 51–53. [Google Scholar]
- Xue, F.; Wang, T.; Zhou, M. Self-solidification/stabilisation of electrolytic manganese residue: Mechanistic insights. Constr. Build. Mater. 2020, 255, 118971. [Google Scholar] [CrossRef]
- Wang, Z.W.; Chen, P.; Zhou, H.Y. Study on the heat of hydration of steel slag manganese slag red mud composite cementitious material. Non-Met. Mines 2019, 42, 88–90. [Google Scholar]
- Li, C.; Xu, Y.; Zhu, W.Y.; Li, Z.L.; Peng, B.; Li, Y.B.; He, G.X. Preparation and Hydration Mechanism of Modified Electrolytic Manganese Slag-GGBS Composite Cementitious Materials. Nonferrous Met. (Extr. Metall.) 2024, 5, 136–143. [Google Scholar]
- He, W.L.; Li, R.; Nie, D.P.; Zhang, J.; Wang, Y.; Zhang, Y.; Chen, Q.L. Belite-calcium sulphoaluminate cement prepared by EMR and BS: Hydration characteristics and microstructure evolution behavior. Construct. Build. Mater. 2022, 333, 127415. [Google Scholar] [CrossRef]
- Wang, F.; Long, G.C.; Bai, M.; Shi, Y.Y.; Zhou, J.L. A new perspective on Belite-ye’elimite-ferrite cement manufactured from electrolytic manganese residue: Production, properties, and environmental analysis. Cem. Concr. Res. 2023, 163, 107019. [Google Scholar] [CrossRef]
- Wu, Z.H.; Zhang, H.; Pu, S.Y.; Cai, G.J.; Duan, W.; Song, H.L.; Zeng, C.; Yang, Y.H. Synergistic preparation of geopolymer using electrolytic manganese residue, coal slag and granulated blast furnace slag. J. Build. Eng. 2024, 91, 109609. [Google Scholar] [CrossRef]
- Wang, F.; Long, G.C.; Bai, M.; Shi, Y.Y.; Zhou, J.L. Feasibility of low-carbon electrolytic manganese residue-based supplementary cementitious materials. Sci. Total Environ. 2023, 883, 163672. [Google Scholar] [CrossRef] [PubMed]
- Erdem, E.; Olmez, H. The mechanical-properties of supersulphated cement containing phosphogypsum. Cem. Concr. Res. 1993, 23, 115–121. [Google Scholar] [CrossRef]
- Xiao, Q.Y.; Cai, Y.X.; Yu, X.; Wang, J.L.; Ma, K.L.; Zeng, X.H.; Tang, Z.; Long, G.C. Regulating the early age hydration of cement-solidified electrolytic manganese residues paste by alternating current. Constr. Build. Mater. 2023, 404, 133336. [Google Scholar] [CrossRef]
- GB/T17671-2021; Method of Testing Cements-Determination of Strength. China Standard Press: Beijing, China, 2021.
- GB/T 50123-2019; Standard for Geotechnical Testing Method. China Planning Press: Beijing, China, 2019.
- Kolani, B.; Buffo-Lacarrière, L.; Sellier, A.; Escadeillas, G.; Boutillon, L.; Linger, L. Hydration of slag-blended cements. Cem. Concr. Compos. 2012, 34, 1009–1018. [Google Scholar] [CrossRef]
- Han, F.H.; Zhang, Z.Q. Solid Waste-Based Supplementary Cementitious Materials; China Building Materials Industry Press: Beijing, China, 2024. [Google Scholar]
- Wu, M.; Zhang, Y.S.; Jia, Y.T.; She, W.; Liu, G.J.; Yang, Z.Q.; Zhang, Y.; Zhang, W.T.; Sun, W. Effects of sodium sulfate on the hydration and properties of lime-based low carbon cementitious materials. J. Clean. Prod. 2019, 220, 677–687. [Google Scholar] [CrossRef]
- Long, L.; Zhao, Y.M.; Lv, G.J.; Duan, Y.; Liu, X.B.; Jiang, X.G. Improving stabilization/solidification of MSWI fly ash with coal gangue based geopolymer via increasing active calcium content. Sci. Total Environ. 2023, 854, 158594. [Google Scholar] [CrossRef] [PubMed]
- Wang, F.; Long, G.; Zhou, J.L. Deep insight into green remediation and hazard-free disposal of electrolytic manganese residue-based cementitious material. Sci. Total Environ. 2023, 894, 165049. [Google Scholar] [CrossRef]
- Wu, Z.W.; Lian, H.Z. High Performance Concrete; China Railway Publishing House: Beijing, China, 1999. [Google Scholar]
- Chen, R.F.; Chen, C.L.; Yang, H.S.; Zhao, Z.H.; Liu, X.Y. Effect of phosphorus slag powder replacing fly ash on performance of MgO-admixed RCC. Adv. Sci. Technol. Water Resour. 2022, 42, 102–107. [Google Scholar]
- Luo, W.J.; Li, B.; Yang, G.; Xu, M.X.; Pang, C.H.; Kou, K.W.; Wu, T. Utilisation of electrolytic manganese residue as a sulphate activator in producing concrete blocks with high-volume fly ash. J. Clean. Prod. 2024, 434, 139813. [Google Scholar] [CrossRef]
- Peng, Q.H.; Cao, D.W.; Wan, T.L.; Leng, Z.; Tang, L. Mechanical and Microscopic Properties of Cementitious Material with NaOH-Electrolytic Manganese Residue-Slag. J. Highw. Transp. Res. Dev. 2023, 40, 33–39. [Google Scholar]
- Shi, M.G.; Ke, G.J.; Zou, P.Y.; Song, B.X.; Tang, X.L.; Jin, D. Research progress of hydration, mechanical and dry shrinkage properties of alkali-activated slag cement. Bull. Chin. Ceram. Soc. 2022, 41, 162–173. [Google Scholar]
- Gracioli, B.; Luz, C.; Beutler, C.S.; Filho, J.I.P.; Hooton, R.D. Influence of the calcination temperature of phosphogypsum on the performance of supersulfated cements. Constr. Build. Mater. 2020, 262, 119961. [Google Scholar] [CrossRef]
- Angulski, D.L.; Hooton, R.D. Influence of curing temperature on the process of hydration of supersulfated cements at early age. Cem. Concr. Res. 2015, 77, 69–75. [Google Scholar] [CrossRef]
- Bonnet, J.; Mosser-Ruck, R.; Sterpenich, J.; Bourdelle, F.; Verron, H.; Michau, N.; Bourbon, X.; Linard, Y. Chemical and mineralogical characterizations of a low-pH cementitious material designed for the disposal cell of the high-level radioactive waste (HLW). Cem. Concr. Res. 2022, 162, 107013. [Google Scholar] [CrossRef]
- Ren, P.C.; Zheng, H.P.; Jin, Z.Q.; Li, M.Y.; Li, J.X.; Pang, B. Transformation mechanism of AFt and AFm in geothermal environment. Bull. Chin. Ceram. Soc. 2023, 42, 1551–1560. [Google Scholar]
- Zhou, J.W.; Yu, B.U.; Kong, Y.N.; Yang, W.; Cheng, B.J.; Wu, J. Effect of calcium hydroxide on the microstructure and performance of super sulfated cement. Ceram.-Silikáty 2022, 66, 85–94. [Google Scholar] [CrossRef]
- Yu, B.Y.; Gao, Y.X.; Wang, J. Hydration behavior of super sulphated cement with different types of gypsum. J. Build. Mater. 2014, 17, 965–971. [Google Scholar]










| Chemical Compositions | SiO2 | SO3 | Al2O3 | CaO | Fe2O3 | K2O | MnO | MgO | Na2O | P2O5 | TiO2 |
|---|---|---|---|---|---|---|---|---|---|---|---|
| EMR | 39.77 | 20.48 | 13.88 | 9.19 | 6.24 | 3.47 | 2.92 | 1.59 | 1.05 | 0.74 | 0.51 |
| GGBS | 26.37 | 3.16 | 14.27 | 40.26 | 0.80 | 0.88 | 1.78 | 9.07 | 0.81 | 0.03 | 2.11 |
| cement | 19.72 | 2.77 | 5.76 | 58.01 | 4.01 | 1.26 | 0.43 | 2.03 | 0.42 | 0.15 | 0.24 |
| No. | EMR Dosage | Water Dosage % | CaO Dosage % |
|---|---|---|---|
| C1 | 1 | 45 | 0 |
| C2 | 1 | 45 | 4 |
| C3 | 1 | 45 | 8 |
| C4 | 1 | 45 | 12 |
| No. | EMR Dosage | GGBS Dosage | OPC Dosage | Water-Binder Ratio | Dosage of CaO | Water-Reducing Agent |
|---|---|---|---|---|---|---|
| D1 | 35 | 60 | 5 | 0.4 | 0 | 0 |
| D2 | 35 | 60 | 5 | 0.4 | 4 | 0 |
| D3 | 35 | 60 | 5 | 0.4 | 8 | 0.1 |
| D4 | 35 | 60 | 5 | 0.4 | 12 | 0.17 |
| No. | EMR Dosage/% | GGBS Dosage/% | OPC Dosage/% | CaO Dosage/% | Initial Setting Time/h | Final Setting Time/h |
|---|---|---|---|---|---|---|
| D1 | 35 | 60 | 5 | 0 | 34 | 42 |
| D2 | 35 | 60 | 5 | 4 | 23.5 | 32 |
| D3 | 35 | 60 | 5 | 8 | 15 | 24.5 |
| D4 | 35 | 60 | 5 | 12 | 14 | 22.5 |
Disclaimer/Publisher’s Note: The statements, opinions and data contained in all publications are solely those of the individual author(s) and contributor(s) and not of MDPI and/or the editor(s). MDPI and/or the editor(s) disclaim responsibility for any injury to people or property resulting from any ideas, methods, instructions or products referred to in the content. |
© 2025 by the authors. Licensee MDPI, Basel, Switzerland. This article is an open access article distributed under the terms and conditions of the Creative Commons Attribution (CC BY) license (https://creativecommons.org/licenses/by/4.0/).
Share and Cite
Du, Y.; Chen, Q.; Wu, F.; Li, W.; Meng, L.; Liu, Y. Early Strength Enhancement Mechanism of CaO-Modified Electrolytic Manganese Residue-Based Supersulfate Cement. Materials 2025, 18, 270. https://doi.org/10.3390/ma18020270
Du Y, Chen Q, Wu F, Li W, Meng L, Liu Y. Early Strength Enhancement Mechanism of CaO-Modified Electrolytic Manganese Residue-Based Supersulfate Cement. Materials. 2025; 18(2):270. https://doi.org/10.3390/ma18020270
Chicago/Turabian StyleDu, Yundan, Qing Chen, Fufei Wu, Weiwei Li, Luxian Meng, and Yang Liu. 2025. "Early Strength Enhancement Mechanism of CaO-Modified Electrolytic Manganese Residue-Based Supersulfate Cement" Materials 18, no. 2: 270. https://doi.org/10.3390/ma18020270
APA StyleDu, Y., Chen, Q., Wu, F., Li, W., Meng, L., & Liu, Y. (2025). Early Strength Enhancement Mechanism of CaO-Modified Electrolytic Manganese Residue-Based Supersulfate Cement. Materials, 18(2), 270. https://doi.org/10.3390/ma18020270

