Next Article in Journal
Geopolymer Foams Loaded with Diatomite/Paraffin Granules for Enhanced Thermal Energy Storage
Previous Article in Journal
The Effect of ZrO2 Addition and Thermal Treatment on the Microstructure and Mechanical Properties of Aluminum Metal Matrix Composites (AMMCs)
 
 
Font Type:
Arial Georgia Verdana
Font Size:
Aa Aa Aa
Line Spacing:
Column Width:
Background:
Article

The Effect of the Variation in Al2O3 and SrO Content on the Structure, Sintering Behavior, and Properties of SrO, BaO, ZnO, MgO-B2O3-Al2O3-SiO2 Glass-Ceramics for Use in Al2O3 Ceramic LTCC Applications

1
School of Materials Science and Engineering, Beijing University of Technology, Beijing 100124, China
2
Department of Functional Material, Central Iron and Steel Research Institute Co., Ltd., Beijing 100081, China
*
Author to whom correspondence should be addressed.
Materials 2025, 18(19), 4510; https://doi.org/10.3390/ma18194510
Submission received: 21 August 2025 / Revised: 24 September 2025 / Accepted: 25 September 2025 / Published: 28 September 2025
(This article belongs to the Special Issue Applications of Advanced Glass in Information, Energy and Engineering)

Highlights

  1. RO (SrO, BaO, ZnO, MgO)-B2O3-Al2O3-SiO2 (RBAS) glass-ceramics designed for Al2O3 ceramic LTCC sealing overcome thermal expansion mismatch.
  2. A 17.50 mol% Al2O3 composition achieves matched CTE (7.45 × 10−6 K−1), high strength (130.58 MPa), Vickers hardness (661.67 HV), and low mass loss (0.73 wt%).
  3. Excellent co-sintering compatibility with Al2O3 ceramic substrates is demonstrated at 800 °C.

Abstract

A systematic investigation was conducted into the effects of varying Al2O3 and SrO contents on the structure, sintering kinetics, crystallization patterns, and properties of the SrO-BaO-ZnO-MgO (RO)-B2O3-Al2O3-SiO2 (RBAS) system. This glass-ceramic demonstrates effective applicability for low-temperature co-firing of alumina ceramics. Increasing Al2O3 content densified the glass network and reduced crystallinity, thereby promoting sintering densification. It led to improved acid resistance and a lower coefficient of thermal expansion (CTE). The composition with 17.50 mol% Al2O3 sintered at 800 °C exhibited optimal properties: a well-matched CTE of 7.45 × 10−6 K−1, a high flexural strength of 130.58 MPa, and excellent chemical stability. Furthermore, it demonstrated excellent compatibility when co-sintered with an Al2O3 substrate.

1. Introduction

Since the dawn of the 21st century, the rapid advancement of the modern electronics industry has placed increasingly stringent demands upon the preparation of electronic materials [1,2,3,4,5]. Low-temperature co-fired ceramic (LTCC) technology is characterized by low-temperature sintering, a high degree of miniaturization, and the highest level of reliability, enabling high-density encapsulation of complex circuits and passive components, which helps to achieve miniaturization and high integration of electronic devices [6,7]. LTCC materials refer to a complete material system, which consists mainly of a ceramic substrate, a conductive phase, and a sealing material. The sealing materials are glass and glass-ceramics with a sintering temperature below 1000 °C. Mechanically supported, high-density encapsulated glass or glass-ceramics with excellent electrical insulation, hermetic sealing, and environmental protection properties play a vital role in the LTCC process [8,9,10,11,12]. The components and proportions of glass directly affect the performance of LTCCs, including electrical properties, quality, bending strength, sintering shrinkage, and other key indicators [13,14].
Al2O3 ceramics have high mechanical properties, excellent chemical stability, excellent dielectric properties, and moderate CTE (7.5–8.0 × 10−6 K−1) [15]. They are widely used as substrate materials in the field of microelectronics and integrated circuits, such as multilayer ceramic capacitors [16,17] and semiconductor substrates [18,19,20]. For example, in preparing multilayer ceramic capacitors using LTCC technology, it is necessary to uniformly sinter the conductive phase on an Al2O3 ceramic substrate through a sealing glass. However, if the CTE of the glass exhibits a significant mismatch with that of the Al2O3 ceramic substrate, peeling or cracking may occur at the bonding interface, resulting in device failure. Therefore, it is particularly important to develop a sealing glass that is compatible with the CTE of the Al2O3 ceramic.
Commercial LTCC materials are primarily categorized into two types: glass/ceramic systems and glass-ceramic/ceramic systems. A variety of basic glasses have been researched in response to the diverse application scenarios of LTCC. The basic glass systems that have been investigated mainly include CaO-B2O3-SiO2 (CBS) glass [6], MgO-B2O3-SiO2 (MBS) glass [7], ZnO-B2O3-SiO2 (ZBS) glass [21], Li2O-B2O3-Al2O3 (LBA) glass [22], and Li2O-Al2O3-SiO2(LAS) glass [23], RO-TiO2-B2O3-SiO2 (RTBS) glass [24]. Each basic glass has its own characteristics corresponding to its sintered base materials. Based on the fundamental properties of Al2O3 ceramics, RBAS base glass systems were designed in this work to achieve greater compatibility between the expansion coefficients and compositions of the sealing glass and Al2O3 ceramics, whilst enabling both materials to be sintered at 800 °C. In the basic glass component, Al2O3 is intentionally added to increase the adaptability and compatibility of the two materials in terms of composition.
The research on the RBAS glass system is mainly reflected in solid oxide fuel cell (SOFC) systems, and there is not much research on the application of the RBAS glass system in LTCC. Zhigachev et al. [18] studied BaO-CaO-SiO2-Al2O3-B2O3 sealed glasses for SOFC systems. By adjusting the SiO2 and B2O3 contents, sealing glasses with CETs in the range of 10.0–11.0 × 10−6 K−1 were prepared. Li et al. [25] investigated the structure and properties of BaO-Al2O3-B2O3-SiO2 sealing glass-ceramics. By varying the content of SiO2, the CTE range of the glass-ceramics was tuned from 9.77 × 10−6 K−1 to 13.37 × 10−6 K−1. BaO-ZnO-SiO2-B2O3 sealing glass-ceramics for SOFC with a CTE of 5.5 × 10−6 K−1 were reported by Kingnoi et al. [26]. From the above works, it can be seen that researchers are very concerned about the CTE matching between materials for device sealing. However, there are few reports on sealing glass for Al2O3 ceramic substrate sealing, and RBAS glass-ceramic is a very promising sealing material for Al2O3 ceramic substrate sealing. It is necessary to study its structure and properties to prepare RBAS glass-ceramics that are compatible with Al2O3 ceramic substrates.
For aluminosilicate glasses, the content of Al2O3 plays a crucial role in regulating their structure [27,28], glass transition temperature [29], crystalline behavior [29], CTE [30], and chemical resistance [31,32]. Herein, the unique contribution of this study lies in the systematic investigation of the structure, sintering behavior, crystallographic characteristics, and properties of a series of RBAS glass-ceramics with varying compositions, achieved by substituting SrO with Al2O3. The glass-ceramics matching the Al2O3 ceramic CTE were obtained.

2. Materials and Methods

2.1. Component Design and Sample Preparation

The chemical compositions of the RBAS glass with different Al2O3 and SrO content are summarized in Table 1. The raw materials employed comprised SiO2 (Sinopharm, Shanghai, China, 99%), H3BO3 (Sinopharm, 99.1%), Al2O3 (Sinopharm, 98.5%), BaCO3 (Sinopharm, 98.5%), SrCO3 (SCR, Beijing, China, 99.1%), ZnO (Sinopharm, 99.3%), TiO2 (Rhawn, Shanghai, China, 99.3%), MgO (SCR, 99.5%), and Na2CO3 (Sinopharm, 99.5%). After weighing and mixing, place approximately 300 g of thoroughly blended sample into a platinum–rhodium crucible. Melt in a muffle furnace at 1450 °C for 2 h to form a uniform melt. After removing the molten glass, it is immediately poured into deionized water, producing glass particles measuring 1–3 mm in diameter. The glass cullet was dried in an oven at 80 °C for 24 h, then ground in a ball mill at 150 r/min for 8 h. The resulting glass powder was sieved through a 200-mesh screen. The glass powder and 5 wt% polyvinyl alcohol solution were mixed and ground evenly, and the sintered billet was obtained by holding the pressure for 2 min under the pressure of 20 MPa. The obtained product is dried at 100 °C for 6 h, then degreased in a muffle furnace at 350 °C under air conditions for 3 h. The degreased product continues to be heated from 350 °C to 800 or 850 °C at a rate of 30 °C/min within the muffle furnace, kept at this temperature for 10 min, then cooled at a rate of 3 °C/min to ambient temperature. The resulting RBAS glass-ceramics were used for structural and various performance tests of RBAS glasses.
Mix glass powder with a solution of rosin and polyvinyl alcohol to create a slurry, then print the slurry on the surface of Al2O3 ceramic. The obtained samples are dried at 100 °C for 6 h, and then debound in a muffle furnace at 300 °C for 3 h under air conditions. After the debinding process is complete, the temperature is heated to 800 °C at a rate of 30 °C/min and maintained for 10 min to obtain LTCC samples. After cooling, the samples were cut using wire cutting to obtain cross-sections for SEM-EDS testing.
As the water quenching method was employed to prepare glass sample pieces, constituents within the glasses may have been dissolved by the deionized water. Consequently, Inductively Coupled Plasma Mass Spectrometry (ICP-MS) was utilized to analyze the composition of the RBAS glasses, thereby investigating alterations in their constituent elements. Table 2 presents the ICP-MS test results. It can be observed that the glasses compositions underwent slight changes following water quenching. The results indicate that measured chemical compositions exhibit both increases and decreases relative to the design compositions. Indeed, the measured alkali metal oxide content in RBAS glasses samples is consistently lower than the design value, potentially attributable to the dissolution of Na+ into water during quenching. For the prepared samples, the same quenching method may result in all actual glass samples having Na2O content below the design value. The measured Al2O3 content in the glasses generally exceeded its design value. The phenomenon is likely closely related to the use of Al2O3 balls for grinding the glasses, where trace amounts of Al2O3 balls were ground into the glasses’ compositions.

2.2. Structure and Performance Testing

Glass samples were ground and sieved through a 200-mesh sieve. Precise weights of 0.2 g were taken and subjected to microwave digestion in a polytetrafluoroethylene (PTFE) vessel using grade-reagent (GR) hydrofluoric acid (HF). The chemical composition of the digested solution was analyzed by ICP-MS using a PerkinElmer NexION 300X (PerkinElmer, Waltham, MA, USA). The characteristic temperatures of the base glass were determined using differential scanning calorimetry (DSC). The instrument utilized was a Netzsch STA449F3 (Nerz Instruments Manufacturing GmbH, Selb, Germany), with the test atmosphere being air. The temperature range spanned from room temperature to 1100 °C, ramping up at a heating rate of 10 °C/min. The vibrational modes within the glass were analyzed using Fourier Transform Infrared Spectroscopy (FTIR) with a Thermo Fisher Scientific Nicolet 6700 instrument (Thermo Fisher Scientific Instruments Limited, Waltham, MA, USA). Prior to testing, the powdered sample was uniformly ground to a particle size of <75 μm. Glass powder and KBr were weighed separately and mixed in a 1:100 ratio. The mixture was then pressed into a thin pellet and inserted into the instrument. The test wavenumber range was 400 cm−1 to 1600 cm−1, with 64 scans recorded. The crystalline phases precipitated in the glass specimens were determined using X-ray diffraction (XRD). The testing apparatus employed was a Bruker D8 Advance (Bruker AXS GmbH, Billerica, MA, USA). Measurements were carried out at ambient temperature (25 °C) with a step size of 0.02°, 2θ angle range of 10° to 70°, and Cu Kα radiation (λ = 0.154 nm) at 40 kV and 30 mA. The XRD pattern acquired through testing was analyzed using Jade software (MDI Jade 9), and thus the crystal type became determinable. XRD data analysis utilizes the powder diffraction file (PDF-2004). The vibrational modes of glass exhibit Raman scattering effects. Spectral analysis employed the LABHRev-UV instrument (Horiba, Japan), with the sample positioned on a microscope slide under the objective lens. Following focusing, photon information was collected. The testing range spanned from 200 cm−1 to 2000 cm−1. An 1800 gr/mm diffraction grating and a 100-times objective lens were employed, with a laser power of 30 mW. An argon ion laser (excitation wavelength 532 nm) served as the pump source. Spectral resolution was approximately 1–2 cm−1. Origin software (Origin 2024) was employed to fit the Raman shifts of each vibration mode using Gaussian functions, thereby determining the positions of overlapping spectra and ultimately yielding the deconvoluted results. Field emission scanning electron microscopy (FE-SEM), specifically the Zeiss Ultra Plus instrument from Oberkochen, Germany, was employed to investigate the micro-morphological characteristics of the materials. Bulk samples underwent surface polishing followed by etching in a 5 v% hydrofluoric acid solution at room temperature for 40 s, after which they were rinsed in distilled water within an ultrasonic cleaner for 5 min. The etched samples obtained required coating with a platinum film prior to FE-SEM analysis.
The sintering shrinkage curves were characterized utilizing a high-temperature microscope (HM867, TA Instruments, New Castle, DE, USA). In the course of the experiment, the base glass powder was thoroughly blended with a specific volume of deionized water, then compressed into a cylinder of uniform shape. The resulting specimen was heated from ambient temperature to 900 °C at a heating rate of 10 °C/min, allowing for the capture of side-view images of the sample throughout the heating process as well as the generation of the sintering shrinkage curve. This experiment employs the displacement method, utilizing Archimedes’ principle of buoyancy to calculate the bulk density of sintered microcrystalline glass. This parameter represents the mass of material per unit volume. The calculation formula is illustrated in Equation (1):
ρ   =   m 1 m 1 m 2 ρ w a t e r
where ρ is the bulk density (g/cm3) of the test sample, m1 is the mass of the microcrystalline glass in air (g), m2 is the mass of the test sample in water (g), and ρwater is the density of water (g/cm3).
The CTE values of the materials were determined using a thermal expansion coefficient tester (Netzsch DIL402SE, Selb, Germany). Specimen dimensions were 25 mm × 4 mm × 4 mm, and the measurement was carried out in an air atmosphere. The heating process was controlled at a rate of 10 °C/min, with the temperature ranging from ambient temperature to 750 °C. The three-point bending method was employed to assess the flexural strength of specimens using a universal testing machine (Shimadzu, Kyoto, Japan; AGIC50 kN). The specimens prepared for this test were sized at 50 mm × 4 mm × 4 mm, with a test span of 25 mm and a loading rate maintained at 9.8 ± 0.1 N/s. The sintered samples cut into 12 mm × 12 mm × 12 mm were cleaned, dried, and weighed, then soaked in 10% by weight HCl solution for 0.5 h at room temperature, washed again, dried, and weighed, and the acid resistance was calculated by calculating the rate of mass loss as shown in Equation (2).
μ = m 1 m 2 m 1 × 100 % ,
where μ denotes the rate of mass loss after acid attack, m1, m2 represent the mass of the sample before and after acid attack (g).

3. Results and Discussions

3.1. Structural Analysis of Basic Glasses

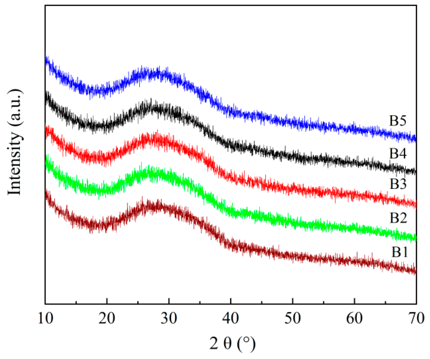
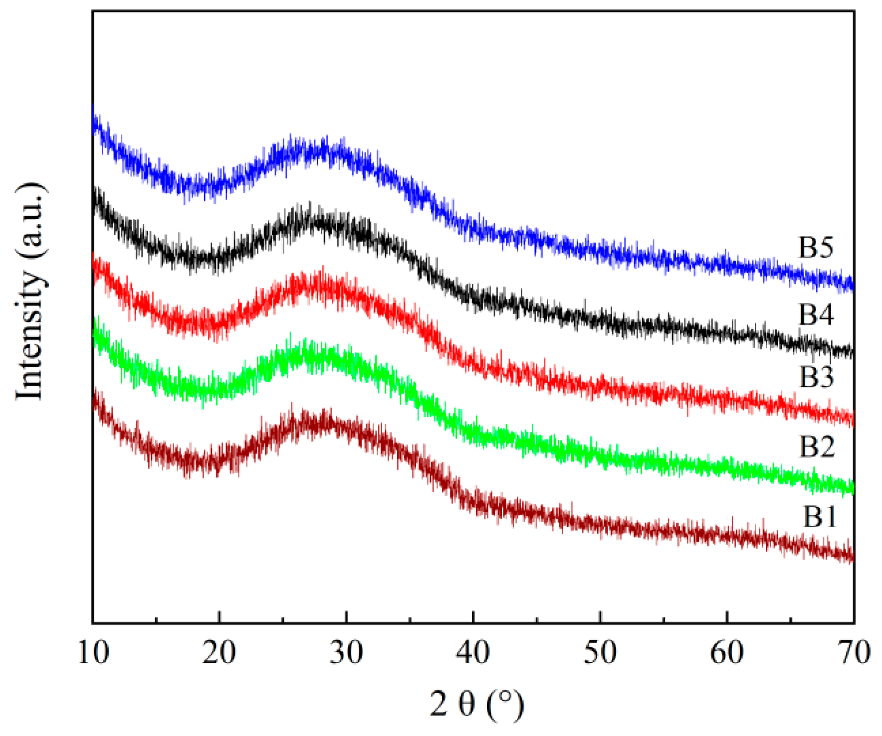
Figure 1 shows the XRD spectra of the basic glass samples prepared in the experiment. It can be observed that all glass samples exhibit broad diffuse peaks within the 20° to 40° range. This characteristic serves as a key criterion for identifying the material as amorphous glass.
Figure 2 depicts the FTIR spectra of the RBAS basic glasses and Table 3 lists the corresponding characteristic vibrations of the absorption bands. As illustrated in Figure 2, a shoulder peak appearing within the wavenumber range of 710–800 cm−1 may be attributed to the stretching vibrational mode of the Si–O–Al bond. The augmentation of Al2O3 content led to a broadening of the shoulder peak, which suggests that the quantity of Si–O–Al linkages formed between [SiO4] and [AlO4] units has increased. The enhancement of the Si–O–Al structure proves that Al2O3 can stimulate the formation of hybrid networks of [SiO4] and [AlO4]. The peak of the absorption band located in the 800–1200 cm−1 range exhibited a shift toward a higher wavenumber, while its intensity gradually increased. This spectroscopic behavior implies that in the RBAS glass system, the quantity of bridging oxygen has increased, consequently resulting in an enhanced degree of polymerization within the glass network structure. This was partly attributable to Al2O3, which participates in the glass network and connects with [SiO4] to form the network, thus making the glass network structure dense. On the other hand, the free oxygen introduced by SrO causes Si–O–Si fracture, and the reduction in SrO content weakens the network fracture [33]. The absorption band proximate to 1380 cm−1 exhibited a shift from the lower wave number towards the higher one, signifying an augmentation of [BO3] and a diminution of [BO4] within the glass network. This phenomenon could be ascribed to the increment in Al2O3 content. Specifically, the rise in Al2O3 content engendered a reduction in the free oxygen content and a gradual decline in the [BO4] content.
The Raman spectra of RBAS basic glasses with different Al2O3 contents are plotted in Figure 3a, and the distribution of Raman spectra is given in Table 4. The peak observed at 310 cm−1 was ascribed to cationic vibration. In the spectral range of 600–1100 cm−1, the peaks corresponded to vibrations associated with [TiOn], Si–O–Al, and Qn (where Qn represents the structural unit of the silica network, with Q denoting the silicon tetrahedron and n signifying the number of oxygen bridges contained within each tetrahedron). Meanwhile, the peaks falling within the 1100–1600 cm−1 interval were attributed to B–O vibration. With the escalating content of Al2O3, the vibration peak intensity of [TiO6] exhibited a progressive augmentation. Concurrently, the Si–O–Al structure also witnessed a gradual increment, which led to the broadening of the Raman spectrum peak within the range of 600–1150 cm−1 and a conspicuous shift of the peak towards the higher wave number.
Gaussian functions were used to deconvolute overlapping peaks in the Raman spectra. The R2 value is employed to evaluate model fit, serving as an indicator of goodness-of-fit. The closer the R2 value approaches 1, the higher the degree of correspondence between the model and the data. The R2 values in Figure 3 are all >0.99, indicating minimal fitting error. Detailed information on the fitting results is shown in Figure 3b–f, while the peak area ratios reflecting different structures are listed in Table 5. As revealed by the fitting results, in tandem with the augmentation of Al2O3 content, the relative abundances of [TiO6] and Q3 exhibited a progressive increment, whereas the relative abundances of [TiO4], Q1, and Q2 manifested a gradual decline. At the same time, the concentration of free oxygen diminishes, thereby triggering the conversion from [TiO4] to [TiO6]. Furthermore, the disconnection of the glass network was suppressed, and the proportion of Q3 showed a gradual increase, while the proportions of Q1 and Q2 showed a gradual decrease. As the Al2O3 content increases, the intensity of the Raman peak corresponding to the Si–O–Al structure increases progressively, suggesting that Al2O3 is likely to facilitate the formation of a mixed network consisting of [SiO4] and [AlO4] structures.
The mole fraction of Qn (n = 1, 2, and 3) is calculated as Equation (3):
X n = A n S n ( A n / S n )
where Xn is the mole fraction of Qn, Sn (0.514, 0.242 and 0.09 for S1, S2, and S3, respectively [51]) is the Raman scattering coefficient of Qn, and An is the area fraction of Qn. The area fraction of Qn is illustrated in Figure 4a. The average bridging oxygen number of Si is calculated through Equation (4) [52]:
BO   numbers = n X n
The average BO number of RBAS glasses with different Al2O3 content is calculated as shown in Figure 4b. As the content of Al2O3 rises, the average number of bridging oxygen atoms exhibits an upward trend, which implies that the degree of polymerization of the silicon network within the glasses has enhanced. Figure 4 is derived from Figure 3, and thus, R2 indirectly reflects the error in Figure 4.

3.2. Differential Thermal Analyses

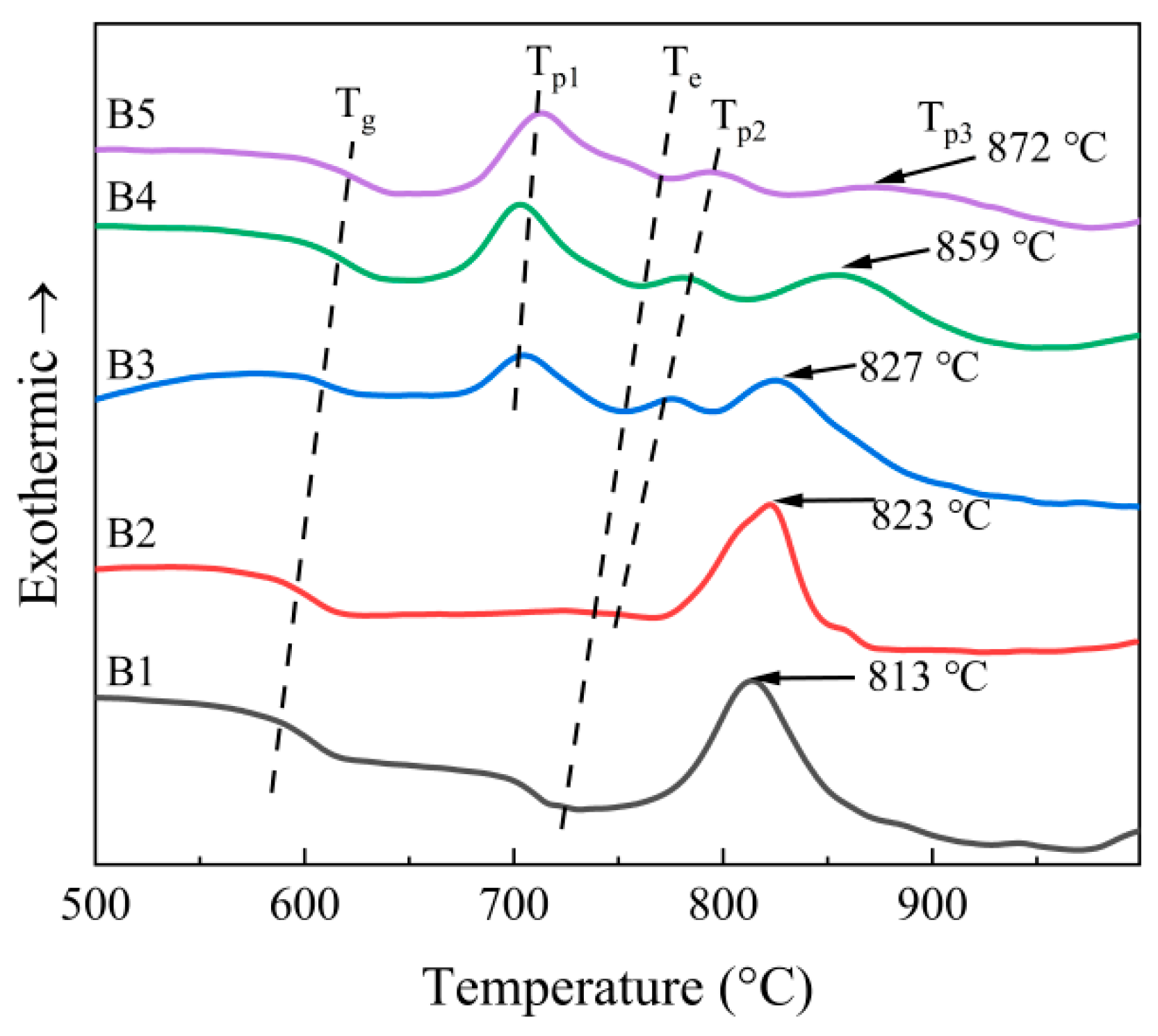
Figure 5 shows the DSC curve of RBAS basic glasses. The characteristic temperature values of the DSC curves are revealed in Table 6. Tg denotes the glass transition temperature, and Te corresponds to the temperature at which the liquid phase appears during the sintering process of glass particles. It can be observed that the Tg and Te tend to increase gradually with the increase of Al2O3 content. The exothermic peak in DSC represents the crystallization peak, and its associated temperature is the crystallization temperature (Tp). Figure 5 presents three crystallization temperatures (Tp1, Tp2, and Tp3), of which Tp1 occurs in B3–B5 samples and Tp2 in B2-B5 samples. Since the sintering endothermic peak of B2 and the exothermic peak of Tp2 have similar temperature values, Te and Tp2 are not obvious in B2, and the peaks and peak widths increase slightly with the growth of Al2O3 content. With the increasing content of Al2O3, the peak intensity of the Tp3 peak diminished and the peak temperature increased, accompanied by a broadening of the peak. This indicates that the precipitation of the crystalline phase corresponding to Tp3 might be restrained as the Al2O3 content grows.

3.3. Sintering Behavior of the Basic Glasses

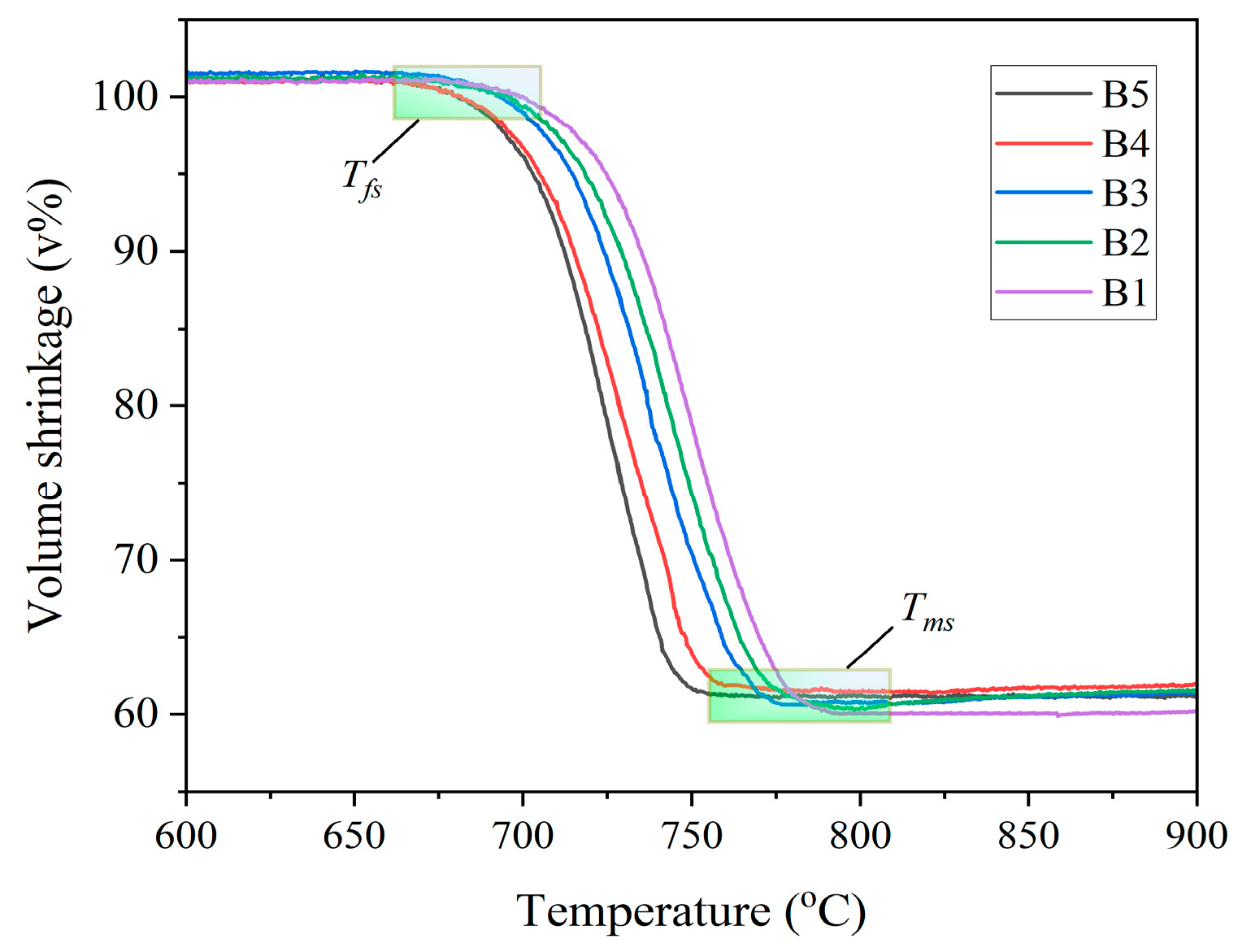
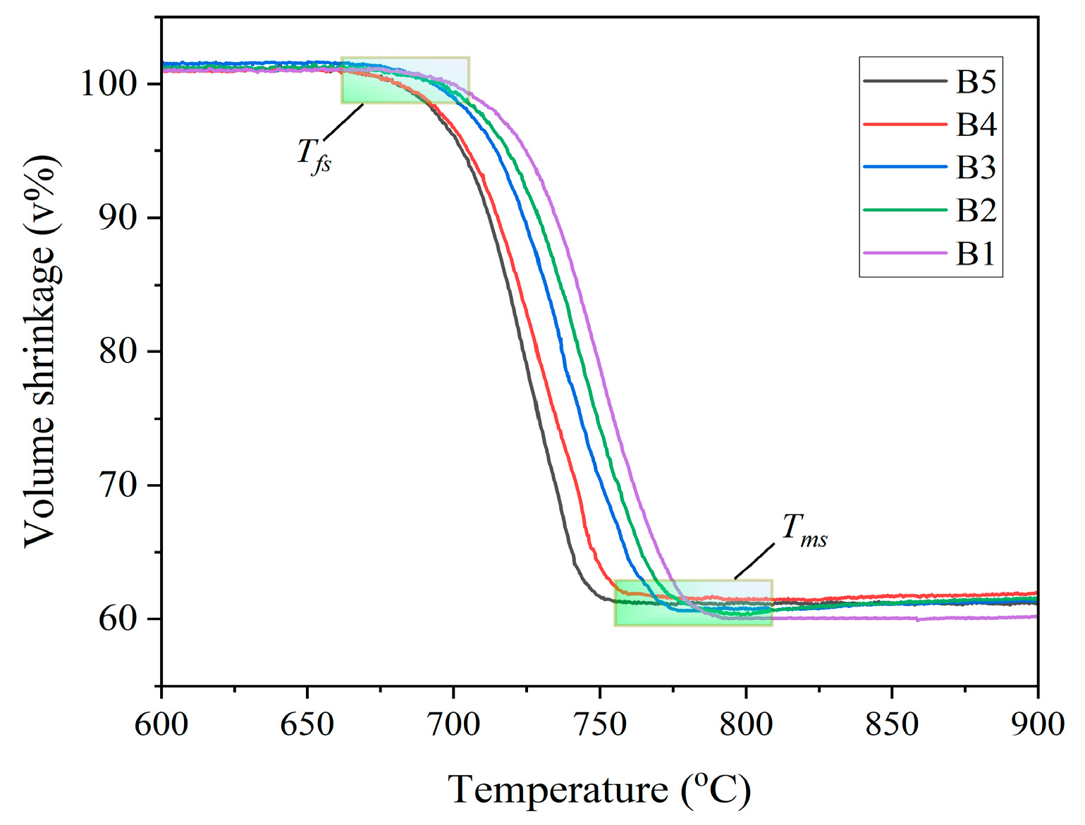
Figure 6 and Figure 7 present the high-temperature microscope (HTM) images and shrinkage curves of the glasses at a heating rate of 10 °C/min, respectively. As observed from Figure 6, the glass volume experiences a slight increase within the temperature range of 25 °C to 650 °C. Sintering initiates around 675–700 °C, accompanied by volume contraction. The maximum shrinkage occurs between approximately 756 °C and 809 °C; the glass volume shrinkage reaches its peak, corresponding to the sintering densification point of the glass powder. Moreover, as the Al2O3 content rises, the sintering shrinkage diagram of RBAS glasses evidently reveals that the temperature interval during which the sample volume stays stable is notably reduced. This phenomenon is probably related to the crystallization of the glass during sintering. Higher Al2O3 content improves the network connectivity of the glass, which inhibits crystallization.
As depicted in Figure 7, an increase in Al2O3 content leads to a decrease in both the shrinkage initiation temperature (Tfs) and the maximum shrinkage temperature (Tms) of the glass. This indicates that as the Al2O3 content increases, the sintering properties of RBAS glass are optimized. The hemispherical temperature (Th) and flow temperature (Tm) of glass also decrease with the increase of Al2O3 content. The reason is that XRD analysis shows that crystallization occurs during the sintering process of glass powder. Crystallization fixes atoms and hinders their migration, which is unfavorable to the overall sintering procedure. A comprehensive analysis indicates that higher Al2O3 content exerts an inhibitory effect on glass crystallization. This, in turn, helps lower the sintering temperature and enhances the sintering performance of RBAS glass. The sintering of B1, B2, B3, and B4 glasses can all be implemented at temperatures below 800 °C.

3.4. Crystal Phase Analysis

Figure 8 displays the XRD patterns of RBAS glass after sintering at 800 °C (a) and 850 °C (b). As shown in Figure 1, the base glass is amorphous, while Figure 8 indicates that the sintered glass samples exhibit distinct diffraction peaks. This suggests that microcrystalline phases have precipitated out of the glass phase. Regardless of whether the glass was sintered at 800 °C or 850 °C, the intensity of the diffraction peaks decreases with increasing Al2O3 content. Under both sintering temperature conditions, the primary crystalline phase in all five groups of samples was BaAl2Si2O8 crystals, while some samples exhibited the secondary crystalline phase ZnAl2O4. The exothermic peak associated with BaAl2Si2O8 crystals corresponds to Tp3 in the DSC curves. Specifically, at 800 °C sintering, the XRD patterns of samples B3, B4, and B5 showed diffraction peaks corresponding to those on the ZnAl2O4 crystal standard card. Similarly, at 850 °C sintering, the XRD patterns of samples B2, B3, B4, and B5 also exhibited such diffraction peaks. This phenomenon indicates that as the Al2O3 content increases, a small amount of ZnAl2O4 crystals precipitate, and the intensity of the main diffraction peaks of ZnAl2O4 crystals shows an upward trend, indicating that the precipitation of ZnAl2O4 crystals is promoted. Conversely, the precipitation process of BaAl2Si2O8 crystals is inhibited. Additionally, it was observed that an increase in sintering temperature promotes the crystallization process. However, it should be noted that as the Al2O3 content increases, the degree of polymerization of the RBAS glass network structure is enhanced. This is because tetracoordinate Al2O3 is incorporated into the silica–oxygen network, forming Si–O–Al bonds between [SiO4] and [AlO4] groups, thereby inhibiting the formation of BaAl2Si2O8 crystals [53].
SEM images of cross-section of RBAS basic glass sintered at 800 and 850 °C are shown in Figure 9. With the increase of Al2O3 content, the sintering compactness of the glass increases. On the one hand, this is due to the increased polymerization of the glass network. On the other hand, as the crystallinity decreases, the larger pores produced during the sintering process gradually become smaller and their number gradually decreases, resulting in the appearance of a dense glass phase over a large area of the B4 and B5 sealed glass segments. This indicated that as the Al2O3 content increases, the sintering densification of the glass-ceramics was improved, whilst the crystallization was inhibited. The increase in sintering temperature reduces the viscosity of the glass and promotes crystallization, and small pores are easy to combine with adjacent pores to generate large pores, leading to the deterioration of the compactness of the glass-ceramics. This indicates that as the Al2O3 content increases, the crystallization of the glass is inhibited, and the sintering densification of the glass-ceramic is improved. RBAS glasses sintered at 850 °C exhibited irregularly shaped interconnected pores in the samples, indicating that glass crystallization has a certain inhibitory effect on sintering.
Images depicting the microstructure of RBAS glass-ceramics, which were sintered at either 800 °C or 850 °C and subsequently etched in a 5.00 wt% HF solution for 1 min, are presented in Figure 10. After RBAS glass-ceramic samples were etched, the crystalline morphology was exposed. The structure exhibited both plate-like and granular morphologies. The plate-like morphology dominated, indicating that BaAl2Si2O8 crystals are plate-like. For RBAS microcrystalline glass sintered at 800 °C, when the Al2O3 content is less than 17.5 mol%, as shown in Figure 10a–c, the plate-like morphology gradually increases in size with increasing Al2O3 content, from approximately 2 μm to 5 μm. When the Al2O3 content exceeds 17.5 mol%, as shown in Figure 10d,e, the plate-like morphology gradually decreases with increasing Al2O3 content. The plate-like morphology in Figure 10d has a size of approximately 1 μm, while in Figure 10e, it further decreases to about 500 nm. For RBAS basic glasses sintered at 850 °C, as the Al2O3 content increases, the content of plate-like morphology crystals decreases, and the morphology size decreases from approximately 5 μm to 800 nm. The results indicate that as the Al2O3 content increases, the precipitation of BaAl2Si2O8 crystals in RBAS glass-ceramics is suppressed, and the crystal size decreases. To further confirm the types of crystalline phases precipitated, regions with different morphologies were selected and subjected to energy-dispersive X-ray spectroscopy (EDS) testing. The locations selected for EDS testing were the plate-like morphology in Figure 10a and the granular morphology in Figure 10i. The EDS test results are shown in Figure 11. It can be seen that the main components of the EDS analysis of the plate-like morphology are O, Ba, Al, Zn, and Si, indicating that it is primarily BaAl2Si2O8 crystal. The main components of the EDS analysis of the granular morphology are O, Zn, and Al, suggesting that it corresponds to ZnAl2O4 crystal. The above analysis is consistent with the XRD results.

3.5. Property Analysis

Figure 12 displays the bulk density of ABAS glass with varying Al2O3 contents after sintering at 800 °C and 850 °C for 10 min. As the Al2O3 content increases, the density of the glass-ceramics obtained after sintering at 800 °C and 850 °C initially increases and then declines, and the density of the glass sintered at 850 °C is lower than that sintered at 800 °C. This is because when the Al2O3 content increases from 12.5 mol% to 17.5 mol%, the sintering density of the glass increases, resulting in a more compact glass network structure, which leads to an increase in the volume density of the glass-ceramic. However, when the Al2O3 content continues to increase, the volume density decreases. When the Al2O3 content is between 20.0 mol% and 21.5 mol%, the significant reduction in crystallization also causes the density of the glass-ceramics to decrease. As demonstrated by the cross-sectional scanning electron microscopy analysis shown in Figure 9, an increase in sintering temperature promotes crystallization, resulting in pores forming where crystals precipitate, which causes the density of the glass-ceramics sintered at 850 °C to be lower than that of the glass-ceramics sintered at 800 °C.
The bending strength and Vickers hardness of RBAS glass-ceramics are illustrated in Figure 13. The degree of polymerization of the glass, the type, and quantity of precipitated crystal phases are key indicators of the mechanical properties of glass ceramics [54]. As the Al2O3 content rises, the flexural strength and Vickers hardness of the RBAS glass-ceramics, which are sintered at either 800 °C or 850 °C, initially increase and subsequently decrease. As the Al2O3 content increases from 12.5 mol% to 17.5 mol%, the crystallinity declines slightly, yet the number of pores diminishes markedly, thus improving the mechanical properties. When the Al2O3 content falls within the range of 17.50 to 21.50 mol%, the crystallinity diminished substantially, and the number of pores decreased only slightly. The significant reduction in crystallization leads to a weakening of the mechanical properties. Furthermore, since an increase in the sintering temperature facilitates the precipitation of the crystal phase, the mechanical properties of the glass-ceramics sintered at 850 °C are superior to those sintered at 800 °C.
Figure 14 depicts the mass loss of RBAS glass-ceramics following their erosion in a 10 v% HCl solution for 30 min at 25 °C. It is observable that with the elevation of the Al2O3 content, the mass loss of the glass-ceramics, which has been sintered at either 800 °C or 850 °C and then subjected to HCl immersion, exhibits a downward trend. This can be attributed to two main factors: (1) The alkaline earth metal SrO demonstrates a pronounced tendency to react with the HCl solution. As the content of SrO diminishes, the mass loss is concomitantly mitigated; (2) The augmentation of the Al2O3 content stimulated the sintering densification process of the glass-ceramics, effectively reducing the mass loss. It is also notable that as the sintering temperature ascends, the densification degree of the glass-ceramics declines, resulting in greater mass loss at 850 °C compared to 800 °C. The acid resistance of glass ceramics is strongly associated with the microcrystalline phase, the glass phase, and the interface structure between the two phases. At the interface between the two phases, the atomic arrangement is relatively disordered, making it prone to defects [24]. These defects can serve as entry points for acid corrosion, accelerating the erosion of the material by acid and thereby reducing its acid resistance. Therefore, the acid resistance of glass-ceramics is not directly proportional to the content of the microcrystalline phase [55,56].
The CTE of RBAS glass-ceramics is depicted in Figure 15. As can be observed from Figure 15, regardless of whether the temperature is 800 °C or 850 °C (after sintering at 800 °C, the CTE range of Group B glass is 7.03–8.29 × 10−6 K−1; after sintering at 850 °C, its CTE is 7.23–8.58 × 10−6 K−1), the CTE of RBAS glass-ceramics decreases gradually with increasing Al2O3 content. This downward trend can primarily be rationalized by two main mechanisms: (1) The CTE of BaAl2Si2O8 crystals (8 × 10−6 K−1) and ZnAl2O4 crystals (7.7 × 10−6 K−1) are all higher than those of the glass phase [57]. As the Al2O3 content increases, the crystallinity of the sealed glass decreases, leading to a reduction in CTE. (2) As the Al2O3 content increases, the glass network polymerization of the glass-ceramics strengthens, further reducing the CTE. Moreover, elevated sintering temperatures promote crystallization, leading to an increase in the CTE of the glass-ceramics. From a review of the CTE range of Group B glasses, it can be observed that they match the CTE of Al2O3 ceramic, confirming their compatibility for low-temperature co-firing applications.

3.6. Glass-Ceramics Co-Sintered with Al2O3 Ceramic Substrate

Sample B3 exhibited the best overall performance when sintered at 800 °C and was therefore selected for co-sintering with the alumina ceramic substrate. Figure 16 shows the interface morphology (a) and elemental distribution (b) of B3 coated on an Al2O3 ceramic substrate and sintered at 800 °C for 10 min. The left portion of the image displays the morphology of the Al2O3 ceramic substrate, whereas the right portion presents the sealed glass, demonstrating favorable wettability and continuity. The yellow line marks the EDS scanning trajectory across the interface. The B3 glass forms a close bond with the Al2O3 ceramic substrate, with no interfacial cracks observed. Elemental distribution across the interface transitions gradually, accompanied by notable ion diffusion, leading to a secure adhesion between the glass and the ceramic substrate. These findings suggest that B3 glass-ceramics exhibit excellent chemical compatibility and a matching CTE with the Al2O3 ceramic substrate.

4. Conclusions

In this study, RBAS glass-ceramics were successfully prepared and applied to the packaging of Al2O3 ceramic substrate. The impact of Al2O3 content on the network structure and sintering properties of glasses were studied, and the following conclusions were reached:
(1)
As the content of Al2O3 increases progressively, the degree of polymerization of the RBAS glass network exhibits a significant enhancement trend. Correspondingly, the Tg, Te, and Tp of the glass-ceramics all rise accordingly. This series of changes in temperature parameters reflects the coordinated evolution of the internal structure and properties of the material.
(2)
Upon the increment of Al2O3 content, a downward trend was observed in the overall crystallinity of RBAS glass-ceramics. Conversely, as the sintering temperature was elevated, the crystallization process of RBAS glass-ceramics was accelerated. However, this led to a degradation in the sintering densification degree.
(3)
The RBAS glass-ceramics sintered at 800 °C with Al2O3 content of 17.50 mol% manifest the best comprehensive properties: bending strength of 130.58 MPa, Vickers hardness of 661.67 HV, and CTE of 7.45 × 10−6 K−1; the mass loss was 0.73%. The results show that the glass-ceramics had excellent chemical compatibility and a suitable CTE with Al2O3 ceramic substrates.

Author Contributions

Conceptualization, L.Z.; methodology, F.H., J.X., Z.H. and L.Z.; software, N.L.; validation, F.H. and N.L.; formal analysis, L.Z. and P.S.; investigation, N.L.; resources, P.S. and Z.H.; data curation, N.L.; writing—original draft preparation, N.L.; writing—review and editing, J.X.; visualization, Z.H.; supervision, L.Z.; project administration, F.H. and J.X.; funding acquisition, F.H. and J.X. All authors have read and agreed to the published version of the manuscript.

Funding

This work was supported by the Young Elite Scientist Sponsorship Program by Cast, grant number No. YESS20230134.

Data Availability Statement

The original contributions presented in this study are included in the article. Further inquiries can be directed to the corresponding author.

Conflicts of Interest

Authors Ningning Li, Pengkai Shang, Zijun He and Lei Zhao were employed by Central Iron and Steel Research Institute Co., Ltd. The remaining authors declare that the research was conducted in the absence of any commercial or financial relationships that could be construed as a potential conflict of interest.

Abbreviations

The following abbreviations are used in this manuscript:
LTCCLow-temperature co-fired ceramic
CTECoefficients of thermal expansion
CBSCaO-B2O3-SiO2 glass
MBSMgO-B2O3-SiO2 glass
ZBSZnO-B2O3-SiO2
LBALi2O-B2O3-Al2O3
LASLi2O-Al2O3-SiO2
RTBSRO-TiO2-B2O3-SiO2
RBASSrO, BaO, ZnO, MgO (RO)-B2O3-Al2O3-SiO2
SOFCSolid oxide fuel cells
ICP-MSInductively coupled plasma mass spectrometry
DSCDifferential scanning calorimetry
FTIRFourier infrared spectrometer
XRDDiffraction of X-rays
FE-SEMField emission scanning electron microscopy
HTMHigh-temperature microscope

References

  1. Mao, H.J.; Wang, F.L.; Chen, X.Y.; Liu, Z.F.; Li, W.; Zhang, W.J. Preparation of BaO–MgO–Al2O3–SiO2/Al2O3 glass-ceramic/ceramic LTCC substrate material for microwave application. J. Mater. Sci. Mater. Electron. 2023, 34, 247–258. [Google Scholar] [CrossRef]
  2. Que, T.; Lu, Y.; Shan, Y.T.; Huang, K.; Liu, F.; Ding, X.; Zhou, H.Q. Effects of CaO additive on sintering behaviour and properties of CaO–B2O3–SiO2 glass-ceramics for LTCC applications. Ceram. Int. 2024, 50, 6091–6098. [Google Scholar] [CrossRef]
  3. Zang, M.; Zheng, M.; Zhu, M.; Hou, Y. Low-temperature sintering and microwave dielectric properties of CaMoO4 ceramics for LTCC and ULTCC applications. J. Eur. Ceram. Soc. 2024, 44, 293–301. [Google Scholar] [CrossRef]
  4. Xiang, H.C.; Zhang, Y.H.; Chen, J.Q.; Zhou, Y.; Tang, Y.; Chen, J.W.; Fang, L. Structure evolution and τf influence mechanism of Bi1xHoxVO4 microwave dielectric ceramics for LTCC applications. J. Mater. Sci. Technol. 2024, 197, 1–8. [Google Scholar] [CrossRef]
  5. Liu, B.X.; Xiao, R.H.; Lu, C.; Ren, W.L.; Chen, S. Preparation of eco-friendly ULTCC materials with tailored coefficient of thermal expansion. Ceram. Int. 2024, 50, 55508–55517. [Google Scholar] [CrossRef]
  6. Zhao, Y.Y.; Chen, J.Y.; Yi, Y.H.; Zhou, M.; Zhang, Q.M. Simultaneously improved flexural strength and thermal conductivity of CaO-B2O3-SiO2 glass-ceramics with Si3N4 particle addition for LTCC applications. Ceram. Int. 2025, 51, 10325–10331. [Google Scholar] [CrossRef]
  7. Keshavarz, M.; Ebadzadeh, T.; Banijamali, S. Preparation of forsterite/MBS (MgO-B2O3-SiO2) glass-ceramic composites via conventional and microwave assisted sintering routes for LTCC application. Ceram. Int. 2017, 43, 9259–9266. [Google Scholar] [CrossRef]
  8. Tang, W.H.; Li, Y.X.; Li, S.T.; Tang, T.; Qu, M.S.; Li, J.; Li, F.Y. 5G polarization converter based on low-temperature co-fired ceramic (LTCC) substrate. J. Mater. Sci. 2023, 58, 2111–2119. [Google Scholar] [CrossRef]
  9. Yang, D.R.; Yuan, T.; Yu, X.G. Package structure materials. In Handbook of Integrated Circuit Industry; Springer: Singapore, 2023; pp. 1775–1800. [Google Scholar]
  10. Jäger, J.; Ihle, M.; Gläser, K.; Zimmermann, A. Inkjet-printed low temperature co-fired ceramics: Process development for customized LTCC. Flex. Print. Electron. 2024, 9, 025022. [Google Scholar] [CrossRef]
  11. Wu, Y.; Zhang, W.J.; Chen, W.K.; Wang, H.Q.; Nie, Y.; Huang, F.Y.; Zhou, H.F. Dielectric properties of temperature-stable Li2O–Al2O3–B2O3–CaTiO3 glass-ceramic composite for LTCC application. J. Mater. Res. Technol. 2025, 36, 653–660. [Google Scholar] [CrossRef]
  12. Xue, W.Z.; Xiong, Z.L.; Chen, Y.P.; Tan, F.H.; Yu, H.Y. Microwave dielectric characterization and thermal analysis of B2O3-La2O3-ZnO glass-ceramic/Al2O3 composites for LTCC applications. J. Non-Cryst. Solids 2023, 615, 122399. [Google Scholar] [CrossRef]
  13. Wang, S.; Li, L.X.; Wang, X.B. Low-temperature firing and microwave dielectric properties of MgNb2-xVx/2O6-1.25x ceramics. Ceram. Int. 2022, 48, 199–204. [Google Scholar] [CrossRef]
  14. Sajedi Alvar, F.; Heydari, M.; Kazemzadeh, A.; Vaezi, M.; Nikzad, L. Al2O3-TiB2 nanocomposite coating deposition on titanium by air plasma spraying. Mater. Today Proc. 2018, 5, 15739–15743. [Google Scholar] [CrossRef]
  15. Sun, H.; Xu, R.; Zhu, Q.; Zhao, S.; Wang, M.; Wei, X.; Feng, Y.; Xu, Z.; Yao, X. Low temperature sintering of PLZST-based antiferroelectric ceramics with Al2O3 addition for energy storage applications. J. Eur. Ceram. Soc. 2022, 42, 1380–1387. [Google Scholar] [CrossRef]
  16. Koutsaroff, I.P.; Bernacki, T.A.; Zelner, M.; Cervin-Lawry, A.; Jimbo, T.; Suu, K. Characterization of thin-film decoupling and high-frequency (Ba,Sr)TiO3 capacitors on Al2O3 ceramic substrates. Jap. J. Appl. Phys. 2004, 43, 6740–6745. [Google Scholar] [CrossRef]
  17. Jung, M.; Lee, S.; Tae Byun, Y.; Min Jhon, Y.; Kim, H.S.; Woo, D.H.; Mho, S.-i. Characteristics and fabrication of nanohole array on InP semiconductor substrate using nanoporous alumina. Microelectron. J. 2008, 39, 526–528. [Google Scholar] [CrossRef]
  18. Zhigachev, A.O.; Alexeeva, M.A.; Bredikhin, S.I.; Tsipis, E.V.; Zverkova, I.I.; Agarkova, E.A. Effect of SiO2/B2O3 ratio on high-temperature behavior and crystallization of BaO-CaO-SiO2-Al2O3-B2O3 sealants for SOFCs. Ceram. Int. 2025, 51, 25371–25378. [Google Scholar] [CrossRef]
  19. Nandihalli, N. Thermoelectric films and periodic structures and spin Seebeck effect systems: Facets of performance optimization. Mater. Today Energy 2022, 25, 100965. [Google Scholar] [CrossRef]
  20. Schmitt, P.; Beladiya, V.; Felde, N.; Paul, P.; Otto, F.; Fritz, T.; Tünnermann, A.; Szeghalmi, A.V. Influence of substrate materials on nucleation and properties of iridium thin films grown by ALD. Coatings 2021, 11, 173. [Google Scholar] [CrossRef]
  21. Li, M.H.; He, J.Q.; Tang, H.; Han, J.; Li, M.W.; Qi, W.H.; Zhou, J.; Yang, P.; Li, S.Q.; Zeng, Y.M. Effect of Zn/B molar ratio on the structure, crystallization mechanism and properties of ZnO-B2O3-SiO2 glasses for LTCC applications. J. Eur. Ceram. Soc. 2024, 44, 2842–2850. [Google Scholar] [CrossRef]
  22. Lee, R.H.; Lee, D.W.; Lee, J.K.; Kim, K.N. Electrical and ionic conductivity of Li2O-B2O3-Al2O3 glass electrolyte for solid-state batteries. J. Energy Storage 2024, 77, 110018. [Google Scholar] [CrossRef]
  23. Basha, B.; Çalişkan, F.; Bünyamin Öztürk, B.; Olarinoye, I.O.; Arslan, H.; Alrowaili, Z.A.; Al-Buriahi, M.S. Synthesis, structural and radiation-shielding properties of Li2O-Al2O3-SiO2 Glass–ceramic System. Silicon 2024, 16, 3417–3429. [Google Scholar] [CrossRef]
  24. He, F.; Shang, P.K.; Tian, Y.L.; Zhao, Z.Y.; Li, N.N.; Xie, J.L.; He, Z.J. Study on the sintering behavior, microstructure, and properties of RO-TiO2-B2O3-SiO2 glass-ceramics applied to silver paste LTCC. J. Alloys Compd. 2025, 1036, 182157. [Google Scholar] [CrossRef]
  25. Li, B.; Li, W.; Zheng, J.G. Effect of SiO2 content on the sintering kinetics, microstructures and properties of BaO-Al2O3-B2O3-SiO2 glass-ceramics for LTCC application. J. Alloys Compd. 2017, 725, 1091–1097. [Google Scholar] [CrossRef]
  26. Kingnoi, N.; Ayawanna, J.; Laorodphan, N. Barium (Zinc) borosilicate sealing glass and joining interface with YSZ electrolyte and crofer22APU interconnect in SOFCs. Solid State Phenom. 2018, 283, 72–77. [Google Scholar] [CrossRef]
  27. Sun, T.; Xiao, H.; Guo, W.; Hong, X. Effect of Al2O3 content on BaO-Al2O3-B2O3-SiO2 glass sealant for solid oxide fuel cell. Ceram. Int. 2010, 36, 821–826. [Google Scholar] [CrossRef]
  28. Neuville, D.R.; Henderson, G.S.; Cormier, L.; Massiot, D. The structure of crystals, glasses, and melts along the CaO-Al2O3 join: Results from Raman, Al L- and K-edge X-ray absorption, and 27Al NMR spectroscopy. Am. Mineral. 2010, 95, 1580–1589. [Google Scholar] [CrossRef]
  29. Zhou, Z.Q.; He, F.; Shi, M.J.; Xie, J.L.; Wan, P.; Cao, D.H.; Zhang, B. Influences of Al2O3 content on crystallization and physical properties of LAS glass-ceramics prepared from spodumene. J. Non-Cryst. Solids 2022, 576, 121256. [Google Scholar] [CrossRef]
  30. Jin, L.; Guo, J.F.; Luo, Y.J.; Zhou, Z.W.; Chen, S. Tuning high and low thermal expansion coefficients of Li2O-BaO-Al2O3-B2O3-SiO2/quartz LTCC composites by replacing quartz partly with α-Al2O3 or ZrO2. Ceram. Int. 2022, 2, 1548–1557. [Google Scholar] [CrossRef]
  31. Rajbhandari, P.; Montagne, L.; Tricot, G. Doping of low-Tg phosphate glass with Al2O3, B2O3 and SiO2: Part II- insertion mechanism of Al2O3 and B2O3 in phosphate network characterized by 1D/2D solid-state NMR. Mater. Chem. Phys. 2018, 218, 122–129. [Google Scholar] [CrossRef]
  32. Wei, M.; He, F.; Cao, X.; Zhang, B.; Zheng, C.; Xie, J.L. Structure and sintering behavior of BaO-SrO-B2O3-SiO2 sealing glass for Al2O3 ceramic substrates. Ceram. Int. 2022, 48, 27718–27730. [Google Scholar] [CrossRef]
  33. Ojha, P.K.; Rath, S.K.; Chongdar, T.K.; Gokhale, N.M.; Kulkarni, A.R. Physical and thermal behaviour of Sr-La-Al-B-Si based SOFC glass sealants as function of SrO content and B2O3/SiO2 ratio in the matrix. J. Power Sources 2011, 196, 4594–4598. [Google Scholar] [CrossRef]
  34. Baia, L.; Stefan, R.; Popp, J.; Simon, S.; Kiefer, W. Vibrational spectroscopy of highly iron doped B2O3-Bi2O3 glass systems. J. Non-Cryst. Solids 2003, 324, 109–117. [Google Scholar] [CrossRef]
  35. Grehn, M.; Seuthe, T.; Reinhardt, F.; Höfner, M.; Griga, N.; Eberstein, M.; Bonse, J. Debris of potassium-magnesium silicate glass generated by femtosecond laser-induced ablation in air: An analysis by near edge X-ray absorption spectroscopy, micro Raman and energy dispersive X-ray spectroscopy. Appl. Surf. Sci. 2014, 302, 286–290. [Google Scholar] [CrossRef]
  36. Dovbeshko, G.; Gnatyuk, O.; Dementjev, A.; Rutkauskas, D.; Kovalska, E.; Baldycheva, A.; Ilchenko, O.; Krasnenkov, D.; Kaplas, T. Coherent anti-stokes Raman scattering spectroscopy (CARS) and imaging of DNA on graphene layers and glass covers. FlatChem 2021, 27, 100243. [Google Scholar] [CrossRef]
  37. Yan, T.; Zhang, W.; Mao, H.; Chen, X.; Bai, S. The effect of CaO/SiO2 and B2O3 on the sintering contraction behaviors of CaO-B2O3-SiO2 glass-ceramics. Int. J. Mod. Phys. B 2019, 33, 1950070. [Google Scholar] [CrossRef]
  38. Kim, J.B.; Sohn, I. Influence of TiO2/SiO2 and MnO on the viscosity and structure in the TiO2-MnO-SiO2 welding flux system. J. Non-Cryst. Solids 2013, 379, 235–243. [Google Scholar] [CrossRef]
  39. Kumari, K. Phase analysis, FTIR/Raman, and optical properties of Fe3BO6 nanocrystallites prepared by glass route at moderate temperature in ambient air. J. Mol. Struct. 2018, 1173, 417–421. [Google Scholar] [CrossRef]
  40. Ahmed, M.R.; Sekhar, K.C.; Ahammed, S.; Sathe, V.; Alrowaili, Z.A.; Amami, M.; Olarinoye, I.O.; Al-Buriahi, M.S.; Tonguc, B.T.; Shareefuddin, M. Synthesis, physical, optical, structural and radiation shielding characterization of borate glasses: A focus on the role of SrO/Al2O3 substitution. Ceram. Int. 2022, 48, 2124–2137. [Google Scholar] [CrossRef]
  41. Allu, A.R.; Gaddam, A.; Ganisetti, S.; Balaji, S.; Siegel, R.; Mather, G.C.; Fabian, M.; Pascual, M.J.; Ditaranto, N.; Milius, W.; et al. Structure and crystallization of alkaline-earth aluminosilicate glasses: Prevention of the alumina-avoidance principle. J. Phys. Chem. B 2018, 122, 4737–4747. [Google Scholar] [CrossRef]
  42. Neuville, D.R.; Cormier, L.; Massiot, D. Al coordination and speciation in calcium aluminosilicate glasses: Effects of composition determined by 27Al MQ-MAS NMR and Raman spectroscopy. Chem. Geol. 2006, 229, 173–185. [Google Scholar] [CrossRef]
  43. McMillan, P.; Piriou, B. Raman spectroscopy of calcium aluminate glasses and crystals. J. Non-Cryst. Solids 1983, 55, 221–242. [Google Scholar] [CrossRef]
  44. Zheng, K.; Zhang, Z.; Liu, L.; Wang, X. Investigation of the viscosity and structural properties of CaO-SiO2-TiO2 slags. Metall. Mater. Trans. B 2014, 45, 1389–1397. [Google Scholar] [CrossRef]
  45. Lai, F.; Yao, W.; Li, J. Effect of B2O3 on structure of CaO-Al2O3-SiO2-TiO2-B2O3 glassy systems. ISIJ Int. 2020, 60, 1596–1601. [Google Scholar] [CrossRef]
  46. Griffin, D.; Wood, S.; Hamerton, I. Measurement of the glass transition temperature of an epoxy resin using principal components of Raman spectra. Compos. Part B Eng. 2020, 200, 108210. [Google Scholar] [CrossRef]
  47. Licheron, M.; Montouillout, V.; Millot, F.; Neuville, D.R. Raman and 27Al NMR structure investigations of aluminate glasses: (1-x) Al2O3-xMO, with M=Ca, Sr, Ba and 0.5 < x < 0.75). J. Non-Cryst. Solids 2011, 357, 2796–2801. [Google Scholar]
  48. Dantas, N.O.; Ayta, W.E.; Silva, A.C.; Cano, N.F.; Silva, S.W.; Morais, P.C. Effect of Fe2O3 concentration on the structure of the SiO2-Na2O-Al2O3-B2O3 glass system. Spectrochim. Acta A 2011, 81, 140–143. [Google Scholar] [CrossRef]
  49. Belançon, M.P.; Simon, G. Low frequency Raman study of the Boson peak in a Tellurite-tungstate glass over temperature. J. Non-Cryst. Solids 2018, 481, 295–298. [Google Scholar] [CrossRef]
  50. Andrianov, A.V.; Anashkina, E.A. L-band Raman lasing in chalcogenide glass microresonator started by thermal mode pulling with auxiliary red diode laser. Results Phys. 2021, 24, 104170. [Google Scholar] [CrossRef]
  51. Zhang, B.; He, F.; Cao, X.; Wei, M.; Zheng, C.; Xie, J.L. The effect of TiO2 and B2O3 on sintering behavior and crystallization behavior of SrO-BaO-B2O3-SiO2 glass-ceramics. Ceram. Int. 2022, 48, 7013–7023. [Google Scholar] [CrossRef]
  52. Zhang, G.F.; Wang, T.S.; Yang, K.J.; Chen, L.; Zhang, L.M.; Peng, H.B.; Yuan, W.; Tian, F. Raman spectra and nano-indentation of Ar-irradiated borosilicate glass. Nucl. Instrum. Meth. B 2013, 316, 218–221. [Google Scholar] [CrossRef]
  53. Kwinda, T.I.; Koppka, S.; Sander, S.A.H.; Kohns, R.; Enke, D. Effect of Al2O3 on phase separation and microstructure of R2O-B2O3-Al2O3-SiO2 glass system (R = Li, Na). J. Non-Cryst. Solids 2020, 531, 119849. [Google Scholar] [CrossRef]
  54. Xia, Y.; Hu, Y.; Ren, L.; Luo, X.; Gong, W.; Zhou, H. Manufacturing a high performance film of CaO-B2O3-SiO2 glass-ceramic powder with surface modification for LTCC application. J. Eur. Ceram. Soc. 2018, 38, 253–261. [Google Scholar] [CrossRef]
  55. Li, Q.; Liu, B.; Liu, J.L.; Zhang, Q.; An, C.C.; Zhe, S.; Pulatov, B.; Wei, S.Y.; Fan, J.X. Review of glass-ceramics: Solidification of toxic elements and durability. Waste Manag. 2025, 200, 114764. [Google Scholar] [CrossRef] [PubMed]
  56. Salman, S.M.; Salama, S.N.; Mahdy, E.A. The crystallization process and chemical durability of glass-ceramics based on the Li2O–B2O3 (Fe2O3)–SiO2 (GeO2) system. Ceram. Int. 2013, 39, 7185–7192. [Google Scholar] [CrossRef]
  57. Wu, Y.C.; Tseng, H.T.; Hsi, C.S.; Juuti, J.; Hsiang, H.I. Low dielectric loss ceramics in the Mg4Nb2O9-ZnAl2O4-TiO2 ternary system. J. Eur. Ceram. Soc. 2022, 42, 448–452. [Google Scholar] [CrossRef]
Figure 1. XRD patterns of the RBAS basic glasses.
Figure 1. XRD patterns of the RBAS basic glasses.
Materials 18 04510 g001
Figure 2. FTIR spectra of the RBAS basic glasses.
Figure 2. FTIR spectra of the RBAS basic glasses.
Materials 18 04510 g002
Figure 3. Raman spectra (a) and deconvolved results (bf) of the RBAS basic glasses (bf: B1–B5).
Figure 3. Raman spectra (a) and deconvolved results (bf) of the RBAS basic glasses (bf: B1–B5).
Materials 18 04510 g003
Figure 4. Area fraction of Qn (a) and BO numbers level (b) of the RBAS basic glasses (The uncertainty of area fraction of Qn and BO number measurements is below 1%).
Figure 4. Area fraction of Qn (a) and BO numbers level (b) of the RBAS basic glasses (The uncertainty of area fraction of Qn and BO number measurements is below 1%).
Materials 18 04510 g004
Figure 5. DSC curves of the basic glasses with the heating rate of 10 °C/min.
Figure 5. DSC curves of the basic glasses with the heating rate of 10 °C/min.
Materials 18 04510 g005
Figure 6. HTM images of the RBAS glasses sintered at 10 °C/min.
Figure 6. HTM images of the RBAS glasses sintered at 10 °C/min.
Materials 18 04510 g006
Figure 7. Sintering volume shrinkage curves of the glasses sintering at 10 °C/min.
Figure 7. Sintering volume shrinkage curves of the glasses sintering at 10 °C/min.
Materials 18 04510 g007
Figure 8. XRD patterns of the RBAS glasses sintered at 800 °C and 850 °C.
Figure 8. XRD patterns of the RBAS glasses sintered at 800 °C and 850 °C.
Materials 18 04510 g008
Figure 9. SEM images of cross-section of RBAS glass-ceramics sintered at 800 °C and 850 °C; (ae): 800 °C B1–B5, (fj): 850 °C B1–B5.
Figure 9. SEM images of cross-section of RBAS glass-ceramics sintered at 800 °C and 850 °C; (ae): 800 °C B1–B5, (fj): 850 °C B1–B5.
Materials 18 04510 g009
Figure 10. SEM images of RBAS basic glasses sintered at 800 °C or 850 °C after erosion by 5 wt% HF solution; (ae): 800 °C B1–B5, (fj): 850 °C B1–B5.
Figure 10. SEM images of RBAS basic glasses sintered at 800 °C or 850 °C after erosion by 5 wt% HF solution; (ae): 800 °C B1–B5, (fj): 850 °C B1–B5.
Materials 18 04510 g010
Figure 11. EDS of point A (A) and point B (B) of the RBAS glass-ceramics.
Figure 11. EDS of point A (A) and point B (B) of the RBAS glass-ceramics.
Materials 18 04510 g011
Figure 12. The bulk density of RBAS glasses after sintering at 800 °C and 850 °C for 10 min.
Figure 12. The bulk density of RBAS glasses after sintering at 800 °C and 850 °C for 10 min.
Materials 18 04510 g012
Figure 13. Flexural strength (a) and Vickers hardness (b) of the RBAS glass-ceramics sintered at 800 °C and 850 °C.
Figure 13. Flexural strength (a) and Vickers hardness (b) of the RBAS glass-ceramics sintered at 800 °C and 850 °C.
Materials 18 04510 g013
Figure 14. Quality loss of acid corrosion of the RBAS glass-ceramics sintered at 800 °C or 850 °C.
Figure 14. Quality loss of acid corrosion of the RBAS glass-ceramics sintered at 800 °C or 850 °C.
Materials 18 04510 g014
Figure 15. The CTE of the RBAS basic glasses sintered at 800 °C and 850 °C.
Figure 15. The CTE of the RBAS basic glasses sintered at 800 °C and 850 °C.
Materials 18 04510 g015
Figure 16. Interfacial morphology of B3 glass-ceramics and Al2O3 ceramic substrates co-sintered at 800 °C for 10 min.
Figure 16. Interfacial morphology of B3 glass-ceramics and Al2O3 ceramic substrates co-sintered at 800 °C for 10 min.
Materials 18 04510 g016
Table 1. Chemical composition of the RBAS glasses/mol%.
Table 1. Chemical composition of the RBAS glasses/mol%.
SampleSiO2B2O3Al2O3SrOZnOBaOTiO2MgONa2Omol%
B129.0016.0012.509.009.508.006.006.004.00100.00
B229.0016.0015.006.509.508.006.006.004.00100.00
B329.0016.0017.504.009.508.006.006.004.00100.00
B429.0016.0020.001.509.508.006.006.004.00100.00
B529.0016.0021.500.009.508.006.006.004.00100.00
Table 2. Chemical composition of the RBAS glasses tested by ICP-MS/mol%.
Table 2. Chemical composition of the RBAS glasses tested by ICP-MS/mol%.
SampleSiO2B2O3Al2O3SrOZnOBaOTiO2MgONa2Omol%
B128.9416.0612.628.919.627.966.065.893.94100.00
B228.8415.9515.286.419.78.065.965.953.85100.00
B329.0916.0917.643.889.727.885.925.913.87100.00
B428.7315.9720.361.439.68.116.115.873.82100.00
B528.9316.0321.7409.587.96.025.923.88100.00
Table 3. The assignments of FTIR spectra of the prepared basic glasses.
Table 3. The assignments of FTIR spectra of the prepared basic glasses.
Wavenumber (cm−1)AssignmentsReferences
450Si–O–Si bending vibration in [SiO4][34]
710B–O–B bending vibration absorption peak in [BO3], and Si–O–Al symmetric stretching vibration[35,36]
800~1200Si–O–Si antisymmetric stretching vibration peak in [SiO4], B–O–B antisymmetric stretching vibration peak in [BO4], and Ti–O vibration peak in [TiO4][37,38,39]
1260B–O stretching vibration peak in [BO4][35,36]
1390B–O–B antisymmetric stretching vibration peak in [BO3][35,38]
Table 4. The distributions of Raman spectra of the RBAS basic glasses.
Table 4. The distributions of Raman spectra of the RBAS basic glasses.
Raman Shift (cm−1)Raman AssignmentsReferences
300The vibration of cation[40,41]
550Al–O–Al[42,43]
700~705Ti–O vibration in [TiO6] octahedra[44,45,46]
774~780Ti–O vibration in [TiO5] tetragonal pyramid[44,45,46]
859~862Ti–O vibration in [TiO4] tetrahedron[44,45]
908~910Si–O–Al[42,47]
933~936Si–O– stretching vibration of [SiO4] (Q1)[48,49]
980~988Si–O– stretching vibration of [SiO4] (Q2)[48,49]
1045~1050Si–O– stretching vibration of [SiO4] (Q3)[48,50]
Table 5. Area fraction of TiOx and Qn (Si) (%).
Table 5. Area fraction of TiOx and Qn (Si) (%).
SampleTi (100%)Si (100%)
[TiO4][TiO5][TiO6]Q1Q2Q3
B164.1722.8712.9620.3039.4440.26
B263.5322.3714.1019.7639.2541.02
B362.9122.0015.1217.9138.7843.31
B462.6721.1416.1916.0637.4146.53
B561.7220.5817.7114.1936.6949.12
Table 6. Characteristic temperatures of the basic glasses (°C).
Table 6. Characteristic temperatures of the basic glasses (°C).
TgTeTp1Tp2Tp3
B1591729--813
B2599737-748823
B3602750703775827
B4613757705782859
B5619774712798872
Disclaimer/Publisher’s Note: The statements, opinions and data contained in all publications are solely those of the individual author(s) and contributor(s) and not of MDPI and/or the editor(s). MDPI and/or the editor(s) disclaim responsibility for any injury to people or property resulting from any ideas, methods, instructions or products referred to in the content.

Share and Cite

MDPI and ACS Style

Xie, J.; Li, N.; Shang, P.; He, Z.; Zhao, L.; He, F. The Effect of the Variation in Al2O3 and SrO Content on the Structure, Sintering Behavior, and Properties of SrO, BaO, ZnO, MgO-B2O3-Al2O3-SiO2 Glass-Ceramics for Use in Al2O3 Ceramic LTCC Applications. Materials 2025, 18, 4510. https://doi.org/10.3390/ma18194510

AMA Style

Xie J, Li N, Shang P, He Z, Zhao L, He F. The Effect of the Variation in Al2O3 and SrO Content on the Structure, Sintering Behavior, and Properties of SrO, BaO, ZnO, MgO-B2O3-Al2O3-SiO2 Glass-Ceramics for Use in Al2O3 Ceramic LTCC Applications. Materials. 2025; 18(19):4510. https://doi.org/10.3390/ma18194510

Chicago/Turabian Style

Xie, Junlin, Ningning Li, Pengkai Shang, Zijun He, Lei Zhao, and Feng He. 2025. "The Effect of the Variation in Al2O3 and SrO Content on the Structure, Sintering Behavior, and Properties of SrO, BaO, ZnO, MgO-B2O3-Al2O3-SiO2 Glass-Ceramics for Use in Al2O3 Ceramic LTCC Applications" Materials 18, no. 19: 4510. https://doi.org/10.3390/ma18194510

APA Style

Xie, J., Li, N., Shang, P., He, Z., Zhao, L., & He, F. (2025). The Effect of the Variation in Al2O3 and SrO Content on the Structure, Sintering Behavior, and Properties of SrO, BaO, ZnO, MgO-B2O3-Al2O3-SiO2 Glass-Ceramics for Use in Al2O3 Ceramic LTCC Applications. Materials, 18(19), 4510. https://doi.org/10.3390/ma18194510

Note that from the first issue of 2016, this journal uses article numbers instead of page numbers. See further details here.

Article Metrics

Back to TopTop