Sustainable Design and Environmental Effects of π-Conjugated Thiophene Surfactants for Optoelectronic Applications
Abstract
1. Introduction
2. Materials and Methods
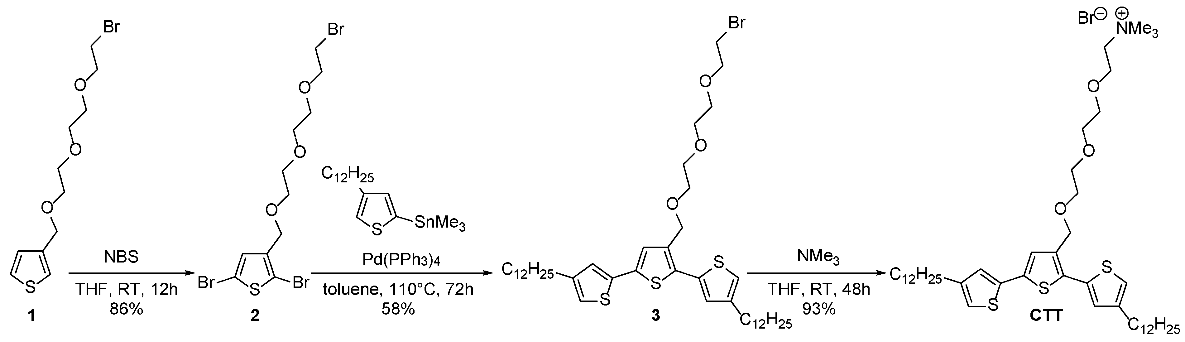
2.1. Synthesis of the Amphiphilic Thiophenes
2.2. Characterization Methods
2.3. Optical Methods
2.4. Dynamic Light Scattering (DLS)
2.5. Biodegradation Potential
2.6. Surfactant Detection and Quantification
2.7. Bacterial Respiration Rate
2.8. Bacterial Growth
2.9. Adhesion of Oligothiophene-Based Surfactants to Bacterial Surface
2.10. Life Cycle Assessment (LCA)
3. Results and Discussion
3.1. Synthesis of Cationic-Based Amphiphilic Terthiophene


3.2. Aggregation Behavior
3.3. Optical Properties
3.4. Biodegradation Potential of Oligothiophene-Based Surfactants
3.5. Ecotoxicological Impact of Surfactants on Pure Microbial Strains
3.6. Adhesion of Oligothiophene-Based Surfactants CTT and C-ProDOT with a Biological Host
3.7. LCA for Oligothiophene-Based Surfactants CTT and C-ProDOT Chemical Syntheses
4. Conclusions
Supplementary Materials
Author Contributions
Funding
Institutional Review Board Statement
Informed Consent Statement
Data Availability Statement
Conflicts of Interest
References
- U.S. Geological Survey. Mineral Commodity Summaries 2023; U.S. Geological Survey: Reston, VA, USA, 2023; p. 210. [CrossRef]
- Liu, S.-L.; Fan, H.-R.; Liu, X.; Meng, J.; Butcher, A.R.; Yann, L.; Yang, K.-F.; Li, X.-C. Global Rare Earth Elements Projects: New Developments and Supply Chains. Ore Geol. Rev. 2023, 157, 105428. [Google Scholar] [CrossRef]
- Jain, M.; Kumar, D.; Chaudhary, J.; Kumar, S.; Sharma, S.; Verma, A.S. Review on E-Waste Management and Its Impact on the Environment and Society. Waste Manag. Bull. 2023, 1, 34–44. [Google Scholar] [CrossRef]
- Baldé, C.P.; Kuehr, R.; Yamamoto, T.; McDonald, R.; D’Angelo, E.; Althaf, S.; Bel, G.; Deubzer, O.; Fernandez-Cubillo, E.; Forti, V.; et al. The Global E-Waste Monitor 2024; International Telecommunication Union (ITU) and United Nations Institute for Training and Research (UNITAR): Geneva, Switzerland; Bonn, Germany, 2024. [Google Scholar]
- Olafisoye, O.B.; Adefioye, T.; Osibote, O.A. Heavy Metals Contamination of Water, Soil, and Plants Around an Electronic Waste Dumpsite. Pol. J. Environ. Stud. 2013, 22, 1431–1439. [Google Scholar]
- Forti, V.; Bladé, C.P.; Kuehr, R.; Bel, G. The Global E-Waste Monitor 2020; United Nations University (UNU), International Telecommunication Union (ITU) & International Solid Waste Association (ISWA): Bonn, Germany; Geneva, Switzerland; Rotterdam, The Netherlands, 2020; p. 120. [Google Scholar]
- Priyashantha, A.K.H.; Pratheesh, N.; Pretheeba, P. E-Waste Scenario in South Asia: An Emerging Risk to Environment and Public Health. Environ. Anal. Health Toxicol. 2022, 37, e2022022. [Google Scholar] [CrossRef]
- Kim, L.; Vasile, G.G.; Stanescu, B.; Dinu, C.; Ene, C. Distribution of Trace Metals in Surface Water and Streambed Sediments in the Vicinity of an Abandoned Gold Mine from Hunedoara County, Romania. Rev. Chim. 2016, 67, 1441. [Google Scholar]
- Lacatusu, A.R.; Paltineanu, C.; Domnariu, H.; Vrinceanu, A.; Marica, D.; Cristea, I. Risk Assessment of Hydrocarbons’ Storing in Different Textured Soils in Small-Scale Lysimeters. Water Air Soil Pollut. 2021, 232, 126. [Google Scholar] [CrossRef]
- Mathivanan, K.; Chandirika, J.U.; Vinothkanna, A.; Yin, H.; Liu, X.; Meng, D. Bacterial Adaptive Strategies to Cope with Metal Toxicity in the Contaminated Environment—A Review. Ecotoxicol. Environ. Saf. 2021, 226, 112863. [Google Scholar] [CrossRef]
- Sreedevi, P.R.; Suresh, K.; Jiang, G. Bacterial Bioremediation of Heavy Metals in Wastewater: A Review of Processes and Applications. J. Water Process Eng. 2022, 48, 102884. [Google Scholar] [CrossRef]
- Karvelas, M.; Katsoyiannis, A.; Samara, C. Occurrence and Fate of Heavy Metals in the Wastewater Treatment Process. Environ. Int. 2003, 53, 1201–1210. [Google Scholar] [CrossRef]
- Gheorghe, S.; Vasile, G.G.; Stoica, C.; Nita-Lazar, M.; Lucaciu, I.; Banciu, A. Phytotoxicity Tests Applied on Sewage Sludge Resulted from Urban Wastewater Treatment Plants. Rev. Chim. 2016, 67, 1469. [Google Scholar]
- Gheorghe, S.; Vasile, G.G.; Gligor, C.; Lucaciu, I.; Nita-Lazar, M. Metallic Elements (Cu, Zn, Ni and Mn) Toxicity Effects Determination on a Fresh Water Fish Cyprinus carpio (Common Carp) Laboratory Acclimatized. Rev. Chim. 2017, 68, 1711. [Google Scholar] [CrossRef]
- Pellitero, M.A.; del Campo, F.J. Electrochromic Sensors: Innovative Devices Enabled by Spectroelectrochemical Methods. Curr. Opin. Electrochem. 2019, 15, 66–72. [Google Scholar] [CrossRef]
- Groenendaal, L.; Zotti, G.; Aubert, P.-H.; Waybright, S.M.; Reynolds, J.R. Electrochemistry of Poly(3,4-Alkylenedioxythiophene) Derivatives. Adv. Mater. 2003, 15, 855–879. [Google Scholar] [CrossRef]
- Tour, J.M. Molecular Electronics: Synthesis and Testing of Components. Acc. Chem. Res. 2000, 33, 791–804. [Google Scholar] [CrossRef]
- Ma, C.; Li, T.; Zhao, Q.; Yang, X.; Wu, J.; Luo, Y.; Xie, T. Supramolecular Lego Assembly Towards Three-Dimensional Multi-Responsive Hydrogels. Adv. Mater. 2014, 26, 5665–5669. [Google Scholar] [CrossRef]
- Yu, S.; Kousseff, C.J.; Nielsen, C.B. n-Type Semiconductors for Organic Electrochemical Transistor Applications. Synth. Met. 2023, 293, 117295. [Google Scholar] [CrossRef]
- Chen, S.; Liang, L.; Zhang, Y.; Lin, K.; Yang, M.; Zhu, L.; Yang, X.; Zang, L.; Lu, B. PEDOT:PSS-Based Electronic Materials: Preparation, Performance Tuning, Processing, Applications, and Future Prospect. Prog. Polym. Sci. 2025, 166, 101990. [Google Scholar] [CrossRef]
- Liu, Y.; Zhang, H.; Yu, H.; Liao, Z.; Paasch, S.; Xu, S.; Zhao, R.; Brunner, E.; Bonn, M.; Wang, H.I.; et al. A Thiophene Backbone Enables Two-Dimensional Poly(arylene Vinylene)s with High Charge Carrier Mobility. Angew. Chem. Int. Ed. 2023, 62, e202305978. [Google Scholar] [CrossRef]
- Ellinger, S.; Kreyes, A.; Ziener, U.; Hoffmann-Richter, C.; Landfester, K.; Möller, M. Aggregation Phenomena of Long α- and α,ω-Substituted Oligothiophenes—The Effect of Branched vs. Linear End-Groups. Eur. J. Org. Chem. 2007, 2007, 5686–5702. [Google Scholar] [CrossRef]
- Fernández, G.; García, F.; Sánchez, L. Morphological Changes in the Self-Assembly of a Radial Oligo-Phenylene Ethynylene Amphiphilic System. Chem. Commun. 2008, 6567–6569. [Google Scholar] [CrossRef]
- Bae, C.; Narayanaswamy, K.; Idriss, H.; Poyac, L.; Sen, I.; Richeter, S.; Clément, S.; Biance, A.-L.; Albert, S.; Bonhomme, O. Electronic Interactions of a Quatertiophene-Based Surfactant at the Liquid/Gas Interface. Soft Matter 2021, 21, 4101–4116. [Google Scholar] [CrossRef] [PubMed]
- Idriss, H.; Albert, S.; Bae, C.; Poyac, L.; Gerbier, P.; Bonhomme, O.; Lai-Kee-Him, J.; Ancelin, A.; Richeter, S.; Sen, I.; et al. Molecular Assemblies of Amphiphilic Oligothiophenes at the Air–Water Interface. Langmuir 2025, 41, 12287–12300. [Google Scholar] [CrossRef]
- Wang, Z.; Zhang, Z.; Qi, H.; Guerrero, A.O.; Wang, L.; Xu, K.; Wang, M.; Park, S.W.; Hennersdorf, F.; Dianat, A.; et al. On-Water Surface Synthesis of Charged Two-Dimensional Polymer Single Crystals via the Irreversible Katritzky Reaction. Nat. Synth. 2022, 1, 69–76. [Google Scholar] [CrossRef]
- Bi, C.; Wang, Q.; Shao, Y.; Yuan, Y.; Xiao, Z.; Huang, J. Non-Wetting Surface-Driven High-Aspect-Ratio Crystalline Grain Growth for Efficient Hybrid Perovskite Solar Cells. Nat. Commun. 2015, 6, 7747. [Google Scholar] [CrossRef]
- Fossépré, M.; Trévisan, M.E.; Cyriaque, V.; Wattiez, R.; Beljonne, D.; Richeter, S.; Clément, S.; Surin, M. Detection of the Enzymatic Cleavage of DNA through Supramolecular Chiral Induction to a Cationic Polythiophene. ACS Appl. Bio Mater. 2019, 2, 2125–2136. [Google Scholar] [CrossRef] [PubMed]
- Leclercq, M.; Rubio-Magnieto, J.; Mohammed, D.; Gabriele, S.; Leclercq, L.; Cottet, H.; Richeter, S.; Clément, S.; Surin, M. Supramolecular Self-Assembly of DNA with a Cationic Polythiophene: From Polyplexes to Fibers. ChemNanoMat 2019, 5, 703–709. [Google Scholar] [CrossRef]
- Katke, C.; Pedrueza-Villalmanzo, E.; Spustov, K.; Ryskulov, R.; Kaplan, C.N.; Gözen, I. Colony-Like Protocell Superstructures. ACS Nano 2023, 17, 3368–3382. [Google Scholar] [CrossRef]
- Coulson, D.R.; Satek, L.C.; Grim, S.O. Tetrakis (Triphenylphosphine)Palladium(0). In Inorganic Syntheses; John Wiley & Sons, Ltd.: Hoboken, NJ, USA, 1972; pp. 121–124. [Google Scholar] [CrossRef]
- Livi, F.; Zawacka, N.K.; Angmo, D.; Jørgensen, M.; Krebs, F.C.; Bundgaard, E. Influence of Side Chain Position on the Electrical Properties of Organic Solar Cells Based on Dithienylbenzothiadiazole-Alt-Phenylene Conjugated Polymers. Macromolecules 2015, 48, 3481–3492. [Google Scholar] [CrossRef]
- De, S.; Aswal, V.K.; Goyal, P.S.; Bhattacharya, S. Novel Gemini Micelles from Dimeric Surfactants with Oxyethylene Spacer Chain: Small Angle Neutron Scattering and Fluorescence Studies. J. Phys. Chem. B 1998, 102, 6152–6160. [Google Scholar] [CrossRef]
- Wang, F.; Liu, Z.; Wang, B.; Feng, L.; Liu, L.; Lv, F.; Wang, Y.; Wang, S. Multi-Colored Fibers by Self-Assembly of DNA, Histone Proteins, and Cationic Conjugated Polymers. Angew. Chem. Int. Ed. 2014, 53, 424–428. [Google Scholar] [CrossRef] [PubMed]
- Reeves, B.D.; Unur, E.; Ananthakrishnan, N.; Reynolds, J.R. Defunctionalization of Ester-Substituted Electrochromic Dioxythiophene Polymers. Macromolecules 2007, 40, 5344–5352. [Google Scholar] [CrossRef]
- Al-Sulaiman, A.M.; Khudair, B.H. Correlation between BOD5 and COD for Al-Diwaniyah Wastewater Treatment Plants to Obtain the Biodegradability Indices. Pak. J. Biotechnol. 2018, 15, 423–427. [Google Scholar]
- Metcalf & Eddy. Wastewater Engineering: Treatment and Reuse, 4th ed.; McGraw-Hill: New York, NY, USA, 2003. [Google Scholar]
- SR EN ISO 5815-1; Water Quality. Determination of Biochemical Oxygen Demand After n Days (BODn). Part 1: Dilution and Seeding Method with Allylthiourea Addition. Romanian Standardization Association (ASRO): Bucharest, Romania, 2020.
- SR EN ISO 15705; Water Quality-Determination of the Chemical Oxygen Demand Index (ST-COD)–Small-Scale Sealed-Tube Method. Romanian Standardization Association (ASRO): Bucharest, Romania, 2022.
- Regulation (EC) No 648/2004 of the European Parliament and of the Council of 31 March 2004 on Detergents (Text with EEA Relevance). Available online: https://eur-lex.europa.eu/eli/reg/2004/648/oj/eng (accessed on 5 September 2025).
- SR EN ISO 8192; Water Quality. Test for Inhibition of Oxygen Consumption by Activated Sludge for Carbonaceous and Ammonium Oxidation. Romanian Standardization Association (ASRO): Bucharest, Romania, 2008.
- ISO 14040; Environmental Management—Life Cycle Assessment—Principles and Framework. The International Organization for Standardization: Geneva Switzerland, 2006.
- ISO 14044; Environmental Management—Life Cycle Assessment—Requirements and Guidelines. The International Organization for Standardization: Geneva, Switzerland, 2006.
- Steubing, B.; de Koning, D.; Haas, A.; Mutel, C.L. The Activity Browser—An Open Source LCA Software Building on Top of the Brightway Framework. Softw. Impacts 2020, 3, 100012. [Google Scholar] [CrossRef]
- Zampori, L.; Pant, R. Suggestions for Updating the Product Environmental Footprint (PEF) Method; Publications Office of the European Union: Luxembourg, 2019. [Google Scholar] [CrossRef]
- Wernet, G.; Bauer, C.; Steubing, B.; Reinhard, J.; Moreno-Ruiz, E.; Weidema, B. The ecoinvent Database Version 3 (Part I): Overview and Methodology. Int. J. Life Cycle Assess. 2016, 21, 1218–1230. [Google Scholar] [CrossRef]
- Baloch, M.K.; Ahmad, F.; Rauf, A.; Durrani, G.F. Effect of Polyethylene Oxide and Sodium Chloride Over the Micellization of SLS. J. Appl. Polym. Sci. 2009, 114, 1444. [Google Scholar] [CrossRef]
- Giri, N.; James, S.L. A Metal Complex That Imitates a Micelle. Chem. Commun. 2011, 47, 245. [Google Scholar] [CrossRef]
- Alasiri, A.; Zubair, K.; Rassel, S.; Ban, D.; Alshehri, O.D. Roles of surfactants in perovskite solar cells. Heliyon 2024, 10, e39141. [Google Scholar] [CrossRef] [PubMed]
- Chowdhury, R.; Holmes, N.P.; Cooling, N.; Belcher, W.J.; Dastoor, P.C.; Zhou, X. Surfactant Engineering and Its Role in Determining the Performance of Nanoparticulate Organic Photovoltaic Devices. ACS Omega 2022, 7, 9212–9220. [Google Scholar] [CrossRef]
- Barbarella, G.; Bongini, A.; Zambianchi, M. Regiochemistry and Conformation of Poly(3-Hexylthiophene) via the Synthesis and the Spectroscopic Characterization of the Model Configurational Triads. Macromolecules 1994, 27, 3039–3045. [Google Scholar] [CrossRef]
- Zheng, C.-W.; Luo, Y.-H.; Long, X.; Haiwei, G.; Cheng, J.; Zhang, L.; Lai, Y.J.S.; Rittmann, B.E. The Structure of Biodegradable Surfactants Shaped the Microbial Community, Antimicrobial Resistance, and Potential for Horizontal Gene Transfer. Water Res. 2023, 236, 119944. [Google Scholar] [CrossRef]
- Tezel, U.; Pavlostathis, S.G. Quaternary Ammonium Disinfectants: Microbial Adaptation, Degradation, and Ecology. Curr. Opin. Biotechnol. 2015, 33, 296–304. [Google Scholar] [CrossRef] [PubMed]
- Lipinski, C.A.; Lombardo, F.; Dominy, B.W.; Feeney, P.J. Experimental and Computational Approaches to Estimate Solubility and Permeability in Drug Discovery and Development Settings. Adv. Drug Deliv. Rev. 2001, 46, 3–26. [Google Scholar] [CrossRef] [PubMed]








| BOD5/COD Ratio | Biodegradability Classification |
|---|---|
| <0.2 | non-biodegradable |
| 0.2–0.5 | biodegradable |
| >0.5 | highly biodegradable |
| Compound | THF | Water | ||||||
|---|---|---|---|---|---|---|---|---|
| λmax (nm) | ε (L.mol−1.cm−1) | λem (nm) | ϕ (%) | λmax (nm) | ε (L.mol−1.cm−1) | λem (nm) | ϕ (%) | |
| CTT | 354 | 8000 | 439 | 4.4 ± 0.2 | 364 | 10,000 | 453 | <1 |
| C-ProDOT | 376, 392 | 8000, 6000 | 438 | 4.1 ± 0.1 | 380, 398 | 8000, 6200 | 480 | <1 |
| Compounds/Parameters | COD | BOD5 | BOD5/COD |
| mg O2/L | mg O2/L | ||
| CTT | 2594 | 841 | 0.32 |
| C-ProDOT | 2693 | 874 | 0.32 |
Disclaimer/Publisher’s Note: The statements, opinions and data contained in all publications are solely those of the individual author(s) and contributor(s) and not of MDPI and/or the editor(s). MDPI and/or the editor(s) disclaim responsibility for any injury to people or property resulting from any ideas, methods, instructions or products referred to in the content. |
© 2025 by the authors. Licensee MDPI, Basel, Switzerland. This article is an open access article distributed under the terms and conditions of the Creative Commons Attribution (CC BY) license (https://creativecommons.org/licenses/by/4.0/).
Share and Cite
Stoica, C.; Idriss, H.; Lian, J.Z.; Malaval, J.-L.; Patrascu, A.-M.; Banciu, A.R.; Cucurachi, S.; Richeter, S.; Clément, S.; Nita-Lazar, M. Sustainable Design and Environmental Effects of π-Conjugated Thiophene Surfactants for Optoelectronic Applications. Materials 2025, 18, 4349. https://doi.org/10.3390/ma18184349
Stoica C, Idriss H, Lian JZ, Malaval J-L, Patrascu A-M, Banciu AR, Cucurachi S, Richeter S, Clément S, Nita-Lazar M. Sustainable Design and Environmental Effects of π-Conjugated Thiophene Surfactants for Optoelectronic Applications. Materials. 2025; 18(18):4349. https://doi.org/10.3390/ma18184349
Chicago/Turabian StyleStoica, Catalina, Hisham Idriss, Justin Z. Lian, Julie-Lisa Malaval, Anca-Maria Patrascu, Alina Roxana Banciu, Stefano Cucurachi, Sébastien Richeter, Sébastien Clément, and Mihai Nita-Lazar. 2025. "Sustainable Design and Environmental Effects of π-Conjugated Thiophene Surfactants for Optoelectronic Applications" Materials 18, no. 18: 4349. https://doi.org/10.3390/ma18184349
APA StyleStoica, C., Idriss, H., Lian, J. Z., Malaval, J.-L., Patrascu, A.-M., Banciu, A. R., Cucurachi, S., Richeter, S., Clément, S., & Nita-Lazar, M. (2025). Sustainable Design and Environmental Effects of π-Conjugated Thiophene Surfactants for Optoelectronic Applications. Materials, 18(18), 4349. https://doi.org/10.3390/ma18184349

