First-Principles Study of Strain Engineering Regulation of SnSe Thermoelectric Properties
Abstract
1. Introduction
2. Calculation Method
3. Results and Analysis
3.1. Structure and Electronic Properties of SnSe
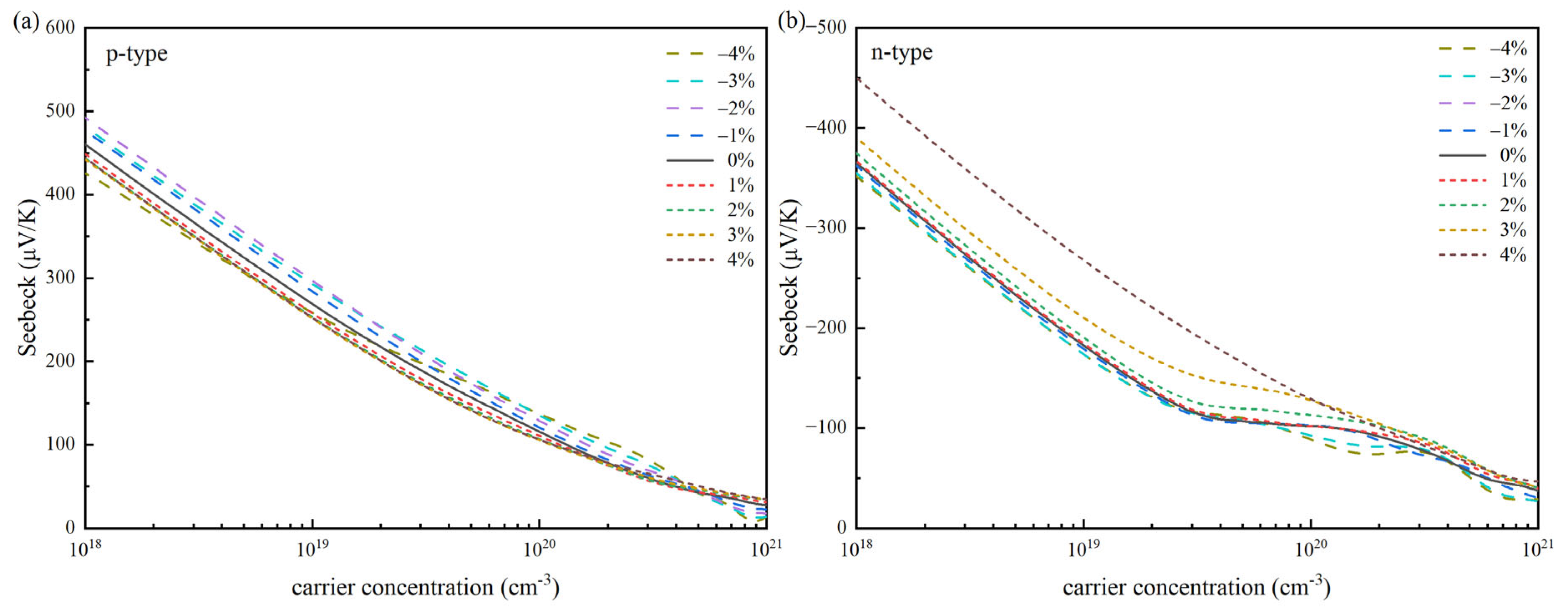
3.2. Electrical Transport Properties
3.3. Thermal Transport Properties
4. Conclusions
Supplementary Materials
Author Contributions
Funding
Data Availability Statement
Conflicts of Interest
References
- Shi, X.-L.; Zou, J.; Chen, Z.-G. Advanced Thermoelectric Design: From Materials and Structures to Devices. Chem. Rev. 2020, 120, 7399–7515. [Google Scholar] [CrossRef] [PubMed]
- Mao, J.; Chen, G.; Ren, Z. Thermoelectric cooling materials. Nat. Mater. 2020, 20, 454–461. [Google Scholar] [CrossRef] [PubMed]
- He, J.; Li, K.; Jia, L.; Zhu, Y.; Zhang, H.; Linghu, J. Advances in the applications of thermoelectric generators. Appl. Therm. Eng. 2024, 236, 121813. [Google Scholar] [CrossRef]
- Sattar, M.A.; Al Bouzieh, N.; Benkraouda, M.; Amrane, N. First-principles study of the structural, optoelectronic and thermophysical properties of the π-SnSe for thermoelectric applications. Beilstein J. Nanotechnol. 2021, 12, 1101–1114. [Google Scholar] [CrossRef]
- Bi, J.; Liu, Z.; Li, B.; Li, S.; Yang, Z.; Starostenkov, M.D.; Dong, G. Additive manufacturing of thermoelectric materials: Materials, synthesis and manufacturing: A review. J. Mater. Sci. 2023, 59, 359–381. [Google Scholar] [CrossRef]
- Sun, F.-H.; Li, H.; Tan, J.; Zhao, L.; Wang, X.; Hu, H.; Wang, C.; Mori, T. Review of current ZT > 1 thermoelectric sulfides. J. Mater. 2024, 10, 218–233. [Google Scholar] [CrossRef]
- Xia, Y.; Yang, Z.; Zhou, L.; Sun, Y.; Wang, F.; Luan, B.; Liu, C.; Liu, F.; Shao, M.; Zhao, S. Synergistic regulation of sulfur-group elements doping and strain on the thermoelectric performance of innovative material Er2Te3. J. Alloys Compd. 2024, 984, 173960. [Google Scholar] [CrossRef]
- Wu, Z.; Zhang, S.; Liu, Z.; Mu, E.; Hu, Z. Thermoelectric converter: Strategies from materials to device application. Nano Energy 2022, 91, 106692. [Google Scholar] [CrossRef]
- Wang, H.; Yu, C. Organic Thermoelectrics: Materials Preparation, Performance Optimization, and Device Integration. Joule 2019, 3, 53–80. [Google Scholar] [CrossRef]
- Xu, Q.; Zhao, K.; Wei, T.; Qiu, P.; Shi, X. Development and Prospects of Thermoelectric Materials. J. Chin. Ceram. Soc. 2021, 49, 1296–1305. [Google Scholar] [CrossRef]
- Zheng, J.; Ma, M.; Yang, G.; Wu, Y.; Mei, D. Progress in the study of binary chalcogenide-based thermoelectric compounds. J. Solid State Chem. 2024, 334, 124617. [Google Scholar] [CrossRef]
- Moshwan, R.; Yang, L.; Zou, J.; Chen, Z.G. Eco-Friendly SnTe Thermoelectric Materials: Progress and Future Challenges. Adv. Funct. Mater. 2017, 27, 1703278. [Google Scholar] [CrossRef]
- He, W.; Ang, R.; Zhao, L.-D. Remarkable electron and phonon transports in low-cost SnS: A new promising thermoelectric material. Sci. China Mater. 2022, 65, 1143–1155. [Google Scholar] [CrossRef]
- Chen, Z.-G.; Shi, X.; Zhao, L.-D.; Zou, J. High-performance SnSe thermoelectric materials: Progress and future challenge. Prog. Mater. Sci. 2018, 97, 283–346. [Google Scholar] [CrossRef]
- Liu, W.D.; Wang, D.Z.; Liu, Q.; Zhou, W.; Shao, Z.; Chen, Z.G. High-Performance GeTe-Based Thermoelectrics: From Materials to Devices. Adv. Energy Mater. 2020, 10, 2000367. [Google Scholar] [CrossRef]
- Li, Z.; Wang, Y.; Liu, D.; Hong, T.; Qin, B.; Gao, X.; Zhao, L.-D. Attempts to realize promising thermoelectric performance in n-type polycrystalline SnSe with a cubic structure. J. Mater. Chem. A 2025, 13, 4899–4907. [Google Scholar] [CrossRef]
- Guo, D.; Li, C.; Yang, Q.; Li, K.; Shao, B.; Chen, D.; Ma, Y.; Sun, J.; Cao, X.; Zeng, W.; et al. Enhanced out-of-plane thermoelectric performance of Cmcm SnSe phase by uniaxial strain. Phys. Lett. A 2020, 384, 126002. [Google Scholar] [CrossRef]
- Suzuki, Y.; Nakamura, H. A supercell approach to the doping effect on the thermoelectric properties of SnSe. Phys. Chem. Chem. Phys. 2015, 17, 29647–29654. [Google Scholar] [CrossRef]
- Duong, A.T.; Nguyen, V.Q.; Duvjir, G.; Duong, V.T.; Kwon, S.; Song, J.Y.; Lee, J.K.; Lee, J.E.; Park, S.; Min, T.; et al. Achieving ZT = 2.2 with Bi-doped n-type SnSe single crystals. Nat. Commun. 2016, 7, 13713. [Google Scholar] [CrossRef]
- Luo, Y.; Hao, S.; Cai, S.; Slade, T.J.; Luo, Z.Z.; Dravid, V.P.; Wolverton, C.; Yan, Q.; Kanatzidis, M.G. High Thermoelectric Performance in the New Cubic Semiconductor AgSnSbSe3 by High-Entropy Engineering. J. Am. Chem. Soc. 2020, 142, 15187–15198. [Google Scholar] [CrossRef]
- Sun, Z.-Q.; Chang, W.-L.; Zhang, Z.-M.; He, X.-H.; Zhang, J.-L.; Wei, X.-P.; Tao, X. Effect of biaxial tensile strain on the thermoelectric properties of monolayer ZrTiCO2. Phys. Scr. 2024, 99, 065964. [Google Scholar] [CrossRef]
- Keshri, S.P.; Medhi, A. Enhanced thermoelectric efficiency of monolayer InP3 under strain: A first-principles study. J. Phys. Condens. Matter 2021, 33, 225701. [Google Scholar] [CrossRef] [PubMed]
- Xia, Y.; Yang, Z.; Zhou, L.; Shao, C. Thermoelectric Properties of the Novel Thermoelectric Material Y2Te3 Through Strain Modulation. J. Synth. Cryst. 2023, 52, 1422–1431. [Google Scholar] [CrossRef]
- Xia, Y.; Yang, Z.; Zhou, L.; Shao, C. Modulating the thermoelectric transport properties of the novel material Er2Te3 via strain. Int. J. Quantum Chem. 2023, 124, e27290. [Google Scholar] [CrossRef]
- Cuong, D.D.; Rhim, S.H.; Lee, J.-H.; Hong, S.C. Strain effect on electronic structure and thermoelectric properties of orthorhombic SnSe: A first principles study. AIP Adv. 2015, 5, 117147. [Google Scholar] [CrossRef]
- Qin, D.; Ge, X.-J.; Ding, G.-q.; Gao, G.-y.; Lü, J.-T. Strain-induced thermoelectric performance enhancement of monolayer ZrSe2. RSC Adv. 2017, 7, 47243–47250. [Google Scholar] [CrossRef]
- Gupta, R.; Kakkar, S.; Dongre, B.; Carrete, J.; Bera, C. Enhancement in the Thermoelectric Performance of SnS Monolayer by Strain Engineering. ACS Appl. Energy Mater. 2023, 6, 3944–3952. [Google Scholar] [CrossRef]
- Yan, J.; Ke, F.; Liu, C.; Wang, L.; Wang, Q.; Zhang, J.; Li, G.; Han, Y.; Ma, Y.; Gao, C. Pressure-driven semiconducting-semimetallic transition in SnSe. Phys. Chem. Chem. Phys. 2016, 18, 5012–5018. [Google Scholar] [CrossRef]
- Wang, V.; Xu, N.; Liu, J.-C.; Tang, G.; Geng, W.-T. VASPKIT: A user-friendly interface facilitating high-throughput computing and analysis using VASP code. Comput. Phys. Commun. 2021, 267, 108033. [Google Scholar] [CrossRef]
- Kresse, G.; Furthmuller, J. Efficient iterative schemes for ab initio total-energy calculations using a plane-wave basis set. Phys. Rev. B Condens. Matter 1996, 54, 11169–11186. [Google Scholar] [CrossRef] [PubMed]
- Perdew, J.P.; Burke, K.; Ernzerhof, M. Generalized Gradient Approximation Made Simple. Phys. Rev. Lett. 1996, 77, 3865–3868. [Google Scholar] [CrossRef]
- Blöchl, P.E. Projector augmented-wave method. Phys. Rev. B 1994, 50, 17953–17979. [Google Scholar] [CrossRef] [PubMed]
- Cha, S.-K.; Im, S.; Ryu, B.; Kim, Y.-S. Facile phase transition to β- from α-SnSe by uniaxial strain. Curr. Appl. Phys. 2023, 45, 45–52. [Google Scholar] [CrossRef]
- Madsen, G.K.H.; Carrete, J.; Verstraete, M.J. BoltzTraP2, a program for interpolating band structures and calculating semi-classical transport coefficients. Comput. Phys. Commun. 2018, 231, 140–145. [Google Scholar] [CrossRef]
- Bardeen, J.; Shockley, W. Deformation Potentials and Mobilities in Non-Polar Crystals. Phys. Rev. 1950, 80, 72–80. [Google Scholar] [CrossRef]
- Slack, G.A. Nonmetallic crystals with high thermal conductivity. J. Phys. Chem. Solids 1973, 34, 321–335. [Google Scholar] [CrossRef]
- Wei, W.; Zhou, K. Effect of uniaxial strains on electronic and optical properties of SnSe from first-principles calculations. Optik 2023, 284, 170960. [Google Scholar] [CrossRef]
- Kumar, S.; Schwingenschlögl, U. Thermoelectric Response of Bulk and Monolayer MoSe2 and WSe2. Chem. Mater. 2015, 27, 1278–1284. [Google Scholar] [CrossRef]
- Krukau, A.V.; Vydrov, O.A.; Izmaylov, A.F.; Scuseria, G.E. Influence of the exchange screening parameter on the performance of screened hybrid functionals. J. Chem. Phys. 2006, 125, 224106. [Google Scholar] [CrossRef] [PubMed]
- Zhao, L.-D.; Lo, S.-H.; Zhang, Y.; Sun, H.; Tan, G.; Uher, C.; Wolverton, C.; Dravid, V.P.; Kanatzidis, M.G. Ultralow thermal conductivity and high thermoelectric figure of merit in SnSe crystals. Nature 2014, 508, 373–377. [Google Scholar] [CrossRef]
- Grimme, S.; Ehrlich, S.; Goerigk, L. Effect of the damping function in dispersion corrected density functional theory. J. Comput. Chem. 2011, 32, 1456–1465. [Google Scholar] [CrossRef]
- Tang, Y.; Cheng, F.; Li, D.; Deng, S.; Chen, Z.; Sun, L.; Liu, W.; Shen, L.; Deng, S. Contrastive thermoelectric properties of strained SnSe crystals from the first-principles calculations. Phys. B Condens. Matter 2018, 539, 8–13. [Google Scholar] [CrossRef]
- Lee, M.-S.; Poudeu, F.P.; Mahanti, S.D. Electronic structure and thermoelectric properties of Sb-based semiconducting half-Heusler compounds. Phys. Rev. B 2011, 83, 085204. [Google Scholar] [CrossRef]
- Wang, C.; Zhu, M.; Zhang, J.; Zhang, Y.; Guo, M.; Zeng, H. Energy states, phonon and carrier and their thermal changes of high figure of merit thermoelectric materials. Electron. Compon. Mater. 2021, 40, 1072–1081. [Google Scholar]
- Xia, M.; Boulet, P.; Record, M.-C. Influence of biaxial and isotropic strain on the thermoelectric performance of PbSnTeSe high-entropy alloy: A density-functional theory study. Mater. Today Phys. 2024, 49, 101590. [Google Scholar] [CrossRef]
- Guo, D.; Hu, C.; Xi, Y.; Zhang, K. Strain Effects to Optimize Thermoelectric Properties of Doped Bi2O2Se via Tran–Blaha Modified Becke–Johnson Density Functional Theory. J. Phys. Chem. C 2013, 117, 21597–21602. [Google Scholar] [CrossRef]
- Xi, J.; Long, M.; Tang, L.; Wang, D.; Shuai, Z. First-principles prediction of charge mobility in carbon and organic nanomaterials. Nanoscale 2012, 4, 4348–4369. [Google Scholar] [CrossRef] [PubMed]
- Gao, Y.; Zeng, X.; Chen, H.; Shuai, M.; Chi, M. Study of dielectric temperature spectrum characteristics for lithium hydride with defects based on the first principles calculations. Int. J. Hydrogen Energy 2024, 61, 357–366. [Google Scholar] [CrossRef]
- Shi, G.; Kioupakis, E. Quasiparticle band structures and thermoelectric transport properties of p-type SnSe. J. Appl. Phys. 2015, 117, 065103. [Google Scholar] [CrossRef]
- Pei, Y.; Shi, X.; LaLonde, A.; Wang, H.; Chen, L.; Snyder, G.J. Convergence of electronic bands for high performance bulk thermoelectrics. Nature 2011, 473, 66–69. [Google Scholar] [CrossRef]
- Wang, F.Q.; Guo, Y.; Wang, Q.; Kawazoe, Y.; Jena, P. Exceptional Thermoelectric Properties of Layered GeAs2. Chem. Mater. 2017, 29, 9300–9307. [Google Scholar] [CrossRef]
- Wang, N.; Li, M.; Xiao, H.; Gong, H.; Liu, Z.; Zu, X.; Qiao, L. Optimizing the thermoelectric transport properties of Bi2O2Se monolayer via biaxial strain. Phys. Chem. Chem. Phys. 2019, 21, 15097–15105. [Google Scholar] [CrossRef]
- Heremans, J.P.; Jovovic, V.; Toberer, E.S.; Saramat, A.; Kurosaki, K.; Charoenphakdee, A.; Yamanaka, S.; Snyder, G.J. Enhancement of thermoelectric efficiency in PbTe by distortion of the electronic density of states. Science 2008, 321, 554–557. [Google Scholar] [CrossRef]
- Becker, M.A.; Vaxenburg, R.; Nedelcu, G.; Sercel, P.C.; Shabaev, A.; Mehl, M.J.; Michopoulos, J.G.; Lambrakos, S.G.; Bernstein, N.; Lyons, J.L.; et al. Bright triplet excitons in caesium lead halide perovskites. Nature 2018, 553, 189–193. [Google Scholar] [CrossRef]
- Osei-Agyemang, E.; Adu, C.E.; Balasubramanian, G. Ultralow lattice thermal conductivity of chalcogenide perovskite CaZrSe3 contributes to high thermoelectric figure of merit. npj Comput. Mater. 2019, 5, 116. [Google Scholar] [CrossRef]
- Anderson, O.L. A simplified method for calculating the debye temperature from elastic constants. J. Phys. Chem. Solids 1963, 24, 909–917. [Google Scholar] [CrossRef]
- Bruls, R.; Hintzen, H.T.; Metselaar, R. On the Debye temperature in the Slack approximation for an estimation of the thermal conductivity of nonmetallic compounds. J. Appl. Phys. 2005, 98, 126101. [Google Scholar] [CrossRef]
- Shen, J.J.; Fang, T.; Fu, T.Z.; Xin, J.Z.; Zhao, X.B.; Zhu, T.J. Lattice Thermal Conductivity in Thermoelectric Materials. J. Inorg. Mater. 2019, 34, 260–268. [Google Scholar] [CrossRef]
- Heremans, J.P. The anharmonicity blacksmith. Nat. Phys. 2015, 11, 990–991. [Google Scholar] [CrossRef]
- Skoug, E.J.; Cain, J.D.; Morelli, D.T.; Kirkham, M.; Majsztrik, P.; Lara-Curzio, E. Lattice thermal conductivity of the Cu3SbSe4-Cu3SbS4 solid solution. J. Appl. Phys. 2011, 110, 023501. [Google Scholar] [CrossRef]
- Zhao, Q.; Ren, Y.; He, C.; Xue, Z.; Wang, J.; Ji, Y.; Zhao, F.; Zheng, J.; Li, L. Highly in-plane anisotropies of mechanical properties and extraordinary sunlight absorption in layered wide bandgap semiconductors: Bi2XO5 (X = Se, Te). Opt. Laser Technol. 2025, 180, 111597. [Google Scholar] [CrossRef]
- Guo, R.; Wang, X.; Kuang, Y.; Huang, B. First-principles study of anisotropic thermoelectric transport properties of IV-VI semiconductor compounds SnSe and SnS. Phys. Rev. B 2015, 92, 115202. [Google Scholar] [CrossRef]
- Carrete, J.; Mingo, N.; Curtarolo, S. Low thermal conductivity and triaxial phononic anisotropy of SnSe. Appl. Phys. Lett. 2014, 105, 101907. [Google Scholar] [CrossRef]
- Zhang, P.; Jin, D.; Qin, M.; Zhang, Z.; Liu, Y.; Wang, Z.; Lu, Z.; Xiong, R.; Shi, J. Effects of four-phonon interaction and vacancy defects on the thermal conductivity of the low-temperature phase of SnSe. Phys. Rev. Appl. 2024, 21, 024043. [Google Scholar] [CrossRef]
- Gainza, J.; Serrano-Sánchez, F.; Rodrigues, J.E.F.S.; Huttel, Y.; Dura, O.J.; Koza, M.M.; Fernández-Díaz, M.T.; Meléndez, J.J.; Márkus, B.G.; Simon, F.; et al. High-Performance n-type SnSe Thermoelectric Polycrystal Prepared by Arc-Melting. Cell Rep. Phys. Sci. 2020, 1, 100263. [Google Scholar] [CrossRef]
- Lu, W.; Li, S.; Xu, R.; Zhang, J.; Li, D.; Feng, Z.; Zhang, Y.; Tang, G. Boosting Thermoelectric Performance of SnSe via Tailoring Band Structure, Suppressing Bipolar Thermal Conductivity, and Introducing Large Mass Fluctuation. ACS Appl. Mater. Interfaces 2019, 11, 45133–45141. [Google Scholar] [CrossRef]
- Bai, S.; Zhang, X.; Zhao, L.-D. Rethinking SnSe Thermoelectrics from Computational Materials Science. Acc. Chem. Res. 2023, 56, 3065–3075. [Google Scholar] [CrossRef]
- Gainza, J.; Serrano-Sánchez, F.; Gharsallah, M.; Carrascoso, F.; Bermúdez, J.; Dura, O.J.; Mompean, F.J.; Biskup, N.; Meléndez, J.J.; Martínez, J.L.; et al. Evidence of nanostructuring and reduced thermal conductivity in n-type Sb-alloyed SnSe thermoelectric polycrystals. J. Appl. Phys. 2019, 126, 045105. [Google Scholar] [CrossRef]







| Stain (%) | Carrier Type | m* (me) | μ (cm2/Vs) | τ (fs) |
|---|---|---|---|---|
| −4% | Electron | 0.211 | 2473.06 | 298.18 |
| hole | 0.356 | 149.98 | 30.51 | |
| −3% | Electron | 0.216 | 2332.36 | 287.88 |
| hole | 0.363 | 142.84 | 29.63 | |
| −2% | Electron | 0.220 | 2227.83 | 280.07 |
| hole | 0.370 | 136.17 | 28.79 | |
| −1% | Electron | 0.224 | 2129.69 | 272.60 |
| hole | 0.377 | 129.93 | 27.99 | |
| 0% | Electron | 0.230 | 1993.48 | 262.00 |
| hole | 0.388 | 120.92 | 26.81 | |
| 1% | Electron | 0.231 | 1971.97 | 260.30 |
| hole | 0.390 | 119.40 | 26.61 | |
| 2% | Electron | 0.232 | 1950.80 | 258.62 |
| hole | 0.389 | 120.16 | 26.71 | |
| 3% | Electron | 0.232 | 1950.80 | 258.62 |
| hole | 0.384 | 124.10 | 27.23 | |
| 4% | Electron | 0.232 | 1950.80 | 258.62 |
| hole | 0.383 | 124.92 | 27.34 |
| Stain (%) | Y/Gpa | vt (km/s) | vι (km/s) | vm (km/s) | υ | γ | ΘD (K) | Θα (K) | κl (W/mK) |
|---|---|---|---|---|---|---|---|---|---|
| −4 | 51.21 | 1.88 | 3.12 | 2.08 | 0.213 | 1.34 | 206.46 | 103.23 | 3.96 |
| −3 | 47.73 | 1.82 | 3.00 | 2.01 | 0.209 | 1.32 | 198.74 | 99.37 | 3.64 |
| −2 | 46.53 | 1.80 | 2.96 | 1.99 | 0.208 | 1.32 | 195.70 | 97.85 | 3.52 |
| −1 | 44.18 | 1.75 | 2.89 | 1.94 | 0.208 | 1.32 | 190.03 | 95.02 | 3.24 |
| 0 | 41.54 | 1.70 | 2.80 | 1.88 | 0.207 | 1.31 | 183.72 | 91.86 | 2.96 |
| 1 | 39.14 | 1.65 | 2.72 | 1.82 | 0.210 | 1.32 | 177.56 | 88.78 | 2.63 |
| 2 | 36.57 | 1.60 | 2.63 | 1.76 | 0.210 | 1.32 | 171.34 | 85.67 | 2.39 |
| 3 | 33.99 | 1.53 | 2.54 | 1.70 | 0.214 | 1.34 | 164.20 | 82.10 | 2.03 |
| 4 | 31.25 | 1.47 | 2.45 | 1.70 | 0.219 | 1.36 | 163.67 | 81.84 | 1.96 |
Disclaimer/Publisher’s Note: The statements, opinions and data contained in all publications are solely those of the individual author(s) and contributor(s) and not of MDPI and/or the editor(s). MDPI and/or the editor(s) disclaim responsibility for any injury to people or property resulting from any ideas, methods, instructions or products referred to in the content. |
© 2025 by the authors. Licensee MDPI, Basel, Switzerland. This article is an open access article distributed under the terms and conditions of the Creative Commons Attribution (CC BY) license (https://creativecommons.org/licenses/by/4.0/).
Share and Cite
Zhang, H.; Zhao, S.; Xia, Y.; Zhang, X.; Zhou, L.; Yang, Z. First-Principles Study of Strain Engineering Regulation of SnSe Thermoelectric Properties. Materials 2025, 18, 4219. https://doi.org/10.3390/ma18174219
Zhang H, Zhao S, Xia Y, Zhang X, Zhou L, Yang Z. First-Principles Study of Strain Engineering Regulation of SnSe Thermoelectric Properties. Materials. 2025; 18(17):4219. https://doi.org/10.3390/ma18174219
Chicago/Turabian StyleZhang, Haoru, Songqing Zhao, Yuhong Xia, Xinyue Zhang, Lulu Zhou, and Zhenqing Yang. 2025. "First-Principles Study of Strain Engineering Regulation of SnSe Thermoelectric Properties" Materials 18, no. 17: 4219. https://doi.org/10.3390/ma18174219
APA StyleZhang, H., Zhao, S., Xia, Y., Zhang, X., Zhou, L., & Yang, Z. (2025). First-Principles Study of Strain Engineering Regulation of SnSe Thermoelectric Properties. Materials, 18(17), 4219. https://doi.org/10.3390/ma18174219

