Modified Fine Recycled Concrete Aggregates with a Crystallizing Agent as Standard Sand Replacement in Mortar
Highlights
- Porous, fine recycled concrete aggregates were coated with crystallizing agents.
- Mortars were made with up to 100% standard sand replacement.
- The higher the replacement rate, the higher the superplasticizer content needed.
- For a 100% standard sand replacement rate, up to 7.1% of superplasticizer was used.
- Compressive strength increased up to 15% for a 50% recycling rate and a 3.1% superplasticizer dosage.
Abstract
1. Introduction
2. Materials and Methods
2.1. Materials
2.2. Methods
2.2.1. Sieving Process
2.2.2. Recycled Sand Characterization
2.2.3. Mortar Samples Preparation
2.3. Mortar’s Characterization
2.3.1. Mechanical Behavior
2.3.2. Chloride Permeability Test
2.3.3. Water Penetration Resistance
3. Results
3.1. Recycled Sand Characterization
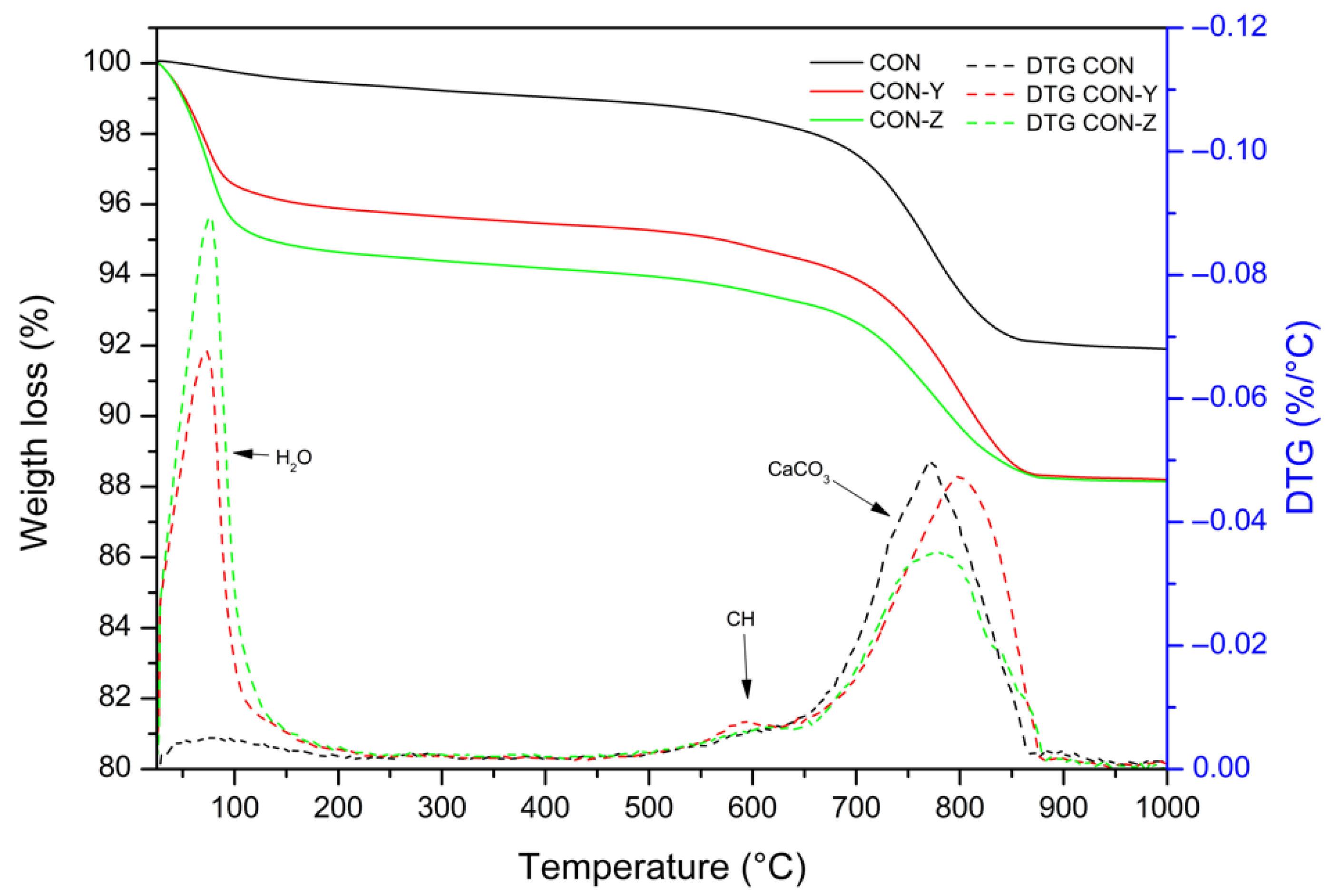
3.1.1. Thermogravimetric Analysis (TGA)
3.1.2. Field Emission Scanning Electron Microscopy (FESEM) Observations
3.1.3. X-Ray Diffraction and X-Ray Fluorescence (XRD and XRF)
3.2. Mechanical Behavior
3.2.1. CON Series
3.2.2. CON-X Series
3.2.3. CON-Y Series
3.2.4. CON-Z Series
3.3. Chloride Permeability Test
3.4. Water Penetration Resistance
4. Conclusions
Author Contributions
Funding
Data Availability Statement
Acknowledgments
Conflicts of Interest
Abbreviations
| AD | Admixplus |
| CA | Crystalline admixture |
| CDW | Construction and demolition waste |
| DE | Diatomaceous earth |
| FA | Fly ash |
| ITZ | Interfacial transition zone |
| LE | Linear economy |
| MICP | Microbial induced carbonate precipitation |
| NA | Natural aggregate |
| NS | Nano-silica |
| OPC | Ordinary Portland cement |
| RA | Recycled aggregate |
| RCA | Recycled concrete aggregate |
| RCPI | Rapid chloride permeability index |
| RFA | Recycled fine aggregate |
| RS | Recycled sand |
| SF | Silica fume |
| SP | Superplasticizer |
| SS | Standard sand |
| TBP | Three-point bending |
| W:c | Water to cement ratio |
| WG | Waterglass |
| WGP | Waste glass powder |
References
- Lieder, M.; Rashid, A. Towards circular economy implementation: A comprehensive review in context of manufacturing industry. J. Clean. Prod. 2016, 115, 36–51. [Google Scholar] [CrossRef]
- Riffat, S.; Powell, R.; Aydin, D. Future cities and Environmental Sustainability. Future Cities Environ. 2016, 2, 1. [Google Scholar] [CrossRef]
- European Commission. End-of-Waste Criteria for Iron and Steel Scrap: Technical Proposals; Publications Office of the European Union: Luxembourg, 2010. [Google Scholar]
- Ghisellini, P.; Ji, X.; Liu, G.; Ulgiati, S. Evaluating the transition towards cleaner production in the construction and demolition sector of China: A review. J. Clean. Prod. 2018, 195, 418–434. [Google Scholar] [CrossRef]
- Duan, H.; Miller, T.R.; Liu, G.; Tam, V.W.Y. Construction debris becomes growing concern of growing cities. Waste Manag. 2019, 83, 1–5. [Google Scholar] [CrossRef]
- Oluleye, B.I.; Chan, D.W.M.; Saka, A.B.; Olawumi, T.O. Circular economy research on building construction and demolition waste: A review of current trends and future research directions. J. Clean. Prod. 2022, 357, 131927. [Google Scholar] [CrossRef]
- Geissdoerfer, M.; Savaget, P.; Bocken, N.M.P.; Hultink, E.J. The Circular Economy—A new sustainability paradigm. J. Clean. Prod. 2017, 143, 757–768. [Google Scholar] [CrossRef]
- Stahel, W.R. The circular economy. Nature 2016, 531, 435–438. [Google Scholar] [CrossRef]
- Ye, B.; Yuan, H. An Overview of C&D Waste Management Regulations in Central China. In Proceedings of the ICCREM 2014, Kunming, China, 27–28 September 2014; American Society of Civil Engineers: Reston, VA, USA, 2014; pp. 45–52. [Google Scholar] [CrossRef]
- Duan, H.; Wang, J.; Huang, Q. Encouraging the environmentally sound management of C&D waste in China: An integrative review and research agenda. Renew. Sustain. Energy Rev. 2015, 43, 611–620. [Google Scholar] [CrossRef]
- World Economic Forum, Shaping the Future of Construction. A Breakthrough in Mindset and Technology. 2016. Available online: https://www3.weforum.org/docs/WEF_Shaping_the_Future_of_Construction_full_report__.pdf (accessed on 13 March 2022).
- Jin, R.; Yuan, H.; Chen, Q. Science mapping approach to assisting the review of construction and demolition waste management research published between 2009 and 2018. Resour. Conserv. Recycl. 2019, 140, 175–188. [Google Scholar] [CrossRef]
- Nasir, M.H.A.; Genovese, A.; Acquaye, A.A.; Koh, S.C.L.; Yamoah, F. Comparing linear and circular supply chains: A case study from the construction industry. Int. J. Prod. Econ. 2017, 183, 443–457. [Google Scholar] [CrossRef]
- European Parliament. Directive 2008/98/EC of the European Parliament and of the Council of 19 November 2008 on Waste and Repealing Certain Directives. Off. J. Eur. Union 2008. Available online: https://eur-lex.europa.eu/legal-content/EN/TXT/PDF/?uri=CELEX:32008L0098 (accessed on 6 September 2025).
- Westerholm, M.; Lagerblad, B.; Silfwerbrand, J.; Forssberg, E. Influence of fine aggregate characteristics on the rheological properties of mortars. Cem. Concr. Compos. 2008, 30, 274–282. [Google Scholar] [CrossRef]
- Restuccia, L. Fracture properties of green mortars with recycled sand. Frat. Integrità Strutt. 2019, 13, 676–689. [Google Scholar] [CrossRef]
- Lahuerta Vargas, J.; Monterde Comba, G.J. Estudio teórico y experimental sobre los morteros para muros resistentes de fábrica de ladrillo para la actualización de la Norma Básica MV 201-1972. Mater. Constr. 1984, 34, 3–41. [Google Scholar] [CrossRef]
- Miranda, L.F.R.; Selmo, S.M.S. CDW recycled aggregate renderings: Part I—Analysis of the effect of materials finer than 75 μm on mortar properties. Constr. Build. Mater. 2006, 20, 615–624. [Google Scholar] [CrossRef]
- Stefanidou, M.; Anastasiou, E.; Georgiadis Filikas, K. Recycled sand in lime-based mortars. Waste Manag. 2014, 34, 2595–2602. [Google Scholar] [CrossRef]
- Braga, M.; de Brito, J.; Veiga, R. Incorporation of fine concrete aggregates in mortars. Constr. Build. Mater. 2012, 36, 960–968. [Google Scholar] [CrossRef]
- Neno, C.; de Brito, J.; Veiga, R. Using fine recycled concrete aggregate for mortar production. Mater. Res. 2013, 17, 168–177. [Google Scholar] [CrossRef]
- Ledesma, E.F.; Jiménez, J.R.; Ayuso, J.; Fernández, J.M.; de Brito, J. Maximum feasible use of recycled sand from construction and demolition waste for eco-mortar production—Part-I: Ceramic masonry waste. J. Clean. Prod. 2015, 87, 692–706. [Google Scholar] [CrossRef]
- Restuccia, L.; Spoto, C.; Ferro, G.A.; Tulliani, J.-M. Recycled Mortars with C&D Waste. Proc. Struct. Integrity 2016, 2, 2896–2904. [Google Scholar] [CrossRef]
- Chen, H.J.; Yen, T.; Chen, K.H. Use of building rubbles as recycled aggregates. Cem. Concr. Res. 2003, 33, 125–132. [Google Scholar] [CrossRef]
- Cabral, A.E.B.; Schalch, V.; Molin, D.C.C.D.; Ribeiro, J.L.D. Mechanical properties modeling of recycled aggregate concrete. Constr. Build. Mater. 2010, 24, 421–430. [Google Scholar] [CrossRef]
- Ollivier, J.P.; Maso, J.C.; Bourdette, B. Interfacial transition zone in concrete. Adv. Cem. Based Mater. 1995, 2, 30–38. [Google Scholar] [CrossRef]
- Prokopski, G.; Halbiniak, J. Interfacial transition zone in cementitious materials. Cem. Concr. Res. 2000, 30, 579–583. [Google Scholar] [CrossRef]
- Collepardi, M. A state-of-the-art review on delayed ettringite attack on concrete. Cem. Concr. Compos. 2003, 25, 401–407. [Google Scholar] [CrossRef]
- He, R.; Zheng, S.; Gan, V.J.L.; Wang, Z.; Fang, J.; Shao, Y. Damage mechanism and interfacial transition zone characteristics of concrete under sulfate erosion and Dry-Wet cycles. Constr. Build. Mater. 2020, 255, 119340. [Google Scholar] [CrossRef]
- Zhao, G.; Li, J.; Shi, M.; Fan, H.; Cui, J.; Xie, F. Degradation mechanisms of cast-in-situ concrete subjected to internal-external combined sulfate attack. Constr. Build. Mater. 2020, 248, 118683. [Google Scholar] [CrossRef]
- Shi, C.; Li, Y.; Zhang, J.; Li, W.; Chong, L.; Xie, Z. Performance enhancement of recycled concrete aggregate—A review. J. Clean. Prod. 2016, 112, 466–472. [Google Scholar] [CrossRef]
- Castellote, M.; Fernandez, L.; Andrade, C.; Alonso, C. Chemical changes and phase analysis of OPC pastes carbonated at different CO2 concentrations. Mater. Struct. 2009, 42, 515–525. [Google Scholar] [CrossRef]
- Shi, C.; Wu, Z.; Cao, Z.; Ling, T.C.; Zheng, J. Performance of mortar prepared with recycled concrete aggregate enhanced by CO2 and pozzolan slurry. Cem. Concr. Compos. 2018, 86, 130–138. [Google Scholar] [CrossRef]
- Wang, L.; Wang, J.; Xu, Y.; Cui, L.; Qian, X.; Chen, P.; Fang, Y. Consolidating recycled concrete aggregates using phosphate solution. Constr. Build. Mater. 2019, 200, 703–712. [Google Scholar] [CrossRef]
- Liang, T.; Ahmed, W.; Duan, Z.; Qu, Z.; Zhang, B.; Jiao, D. A critical review on the applications of modified recycled coarse aggregate in conventional concrete and high-performance concrete. J. Build. Eng. 2025, 106, 112601. [Google Scholar] [CrossRef]
- Li, Z.; Bian, Y.; Zhao, J.; Wang, Y.; Qiu, X.; Liu, Q. Sustainable building materials-recycled aggregate and concrete: A systematic review of properties, modification techniques, and environmental impacts. Environ. Sci. Poll. Res. 2024, 31, 20814–20852. [Google Scholar] [CrossRef] [PubMed]
- Wu, L.; Sun, Z.; Cao, Y. Modification of recycled aggregate and conservation and application of recycled aggregate concrete: A review. Constr. Build. Mater. 2024, 431, 136567. [Google Scholar] [CrossRef]
- Wang, Y.; Liao, J.; Zhang, B. A Review of Chloride Penetration of Recycled Concrete with Enhancement Treatment and Service Life Prediction. Materials. 2024, 17, 1349. [Google Scholar] [CrossRef]
- Nikmehr, B.; Kafle, B.; Al-Ameri, R. A review of the advanced treatment techniques for enriching the recycled concrete aggregates for recycled-based concrete: Economic. environmental and technical analysis. Smart Sustain. Built Environ. 2024, 3, 560–583. [Google Scholar] [CrossRef]
- Han, S.; Zhao, S.; Lu, D.; Wang, D. Performance Improvement of Recycled Concrete Aggregates and Their Potential Applications in Infrastructure: A Review. Buildings 2023, 13, 1411. [Google Scholar] [CrossRef]
- Su, Y.; Yao, Y.; Wang, Y.; Zhao, X.; Li, L.; Zhang, J. Modification of Recycled Concrete Aggregate and Its Use in Concrete: An Overview of Research Progress. Materials 2023, 16, 7144. [Google Scholar] [CrossRef]
- Tam, V.W.Y.; Wattage, H.; Le, K.N.; Buteraa, A.; Soomro, M. Methods to improve microstructural properties of recycled concrete aggregate: A critical review. Constr. Build. Mater. 2021, 270, 121490. [Google Scholar] [CrossRef]
- Al-Kheetan, M.J.; Rahman, M.M.; Chamberlain, D.A. A novel approach of introducing crystalline protection material and curing agent in fresh concrete for enhancing hydrophobicity. Constr. Build. Mater. 2018, 160, 644–652. [Google Scholar] [CrossRef]
- Teng, L.-W.; Huang, R.; Chen, J.; Cheng, A.; Hsu, H.-M. A Study of Crystalline Mechanism of Penetration Sealer Materials. Materials 2014, 7, 399–412. [Google Scholar] [CrossRef]
- Al-Kheetan, M.J.; Rahman, M.M.; Chamberlain, D.A. Optimum Mix Design for Internally Integrated Concrete with Crystallizing Protective Material. J. Mater. Civ. Eng. 2019, 31, 4019101. [Google Scholar] [CrossRef]
- Al-Kheetan, M.J.; Rahman, M.M.; Chamberlain, D.A. Development of hydrophobic concrete by adding dual-crystalline admixture at mixing stage. Struct. Concr. 2018, 19, 1504–1511. [Google Scholar] [CrossRef]
- Al-Kheetan, M.J.; Rahman, M.M.; Chamberlain, D.A. Influence of early water exposure on modified cementitious coating. Constr. Build. Mater. 2017, 141, 64–71. [Google Scholar] [CrossRef]
- Reiterman, P.; Pazderka, J. Crystalline Coating and Its Influence on the Water Transport in Concrete. Adv. Civ. Eng. 2016, 1–8. [Google Scholar] [CrossRef]
- Wang, X.; Yang, X.; Ren, J.; Han, N.; Xing, F. A novel treatment method for recycled aggregate and the mechanical properties of recycled aggregate concrete. J. Mater. Res. Technol. 2021, 10, 1389–1401. [Google Scholar] [CrossRef]
- Wang, Y.; Fan, X.; Wu, R.; Lin, H.; Feng, W. Experimental study on long-term impermeability of recycled aggregate concrete mixed with crystalline admixture and waste glass powder. J. Clean. Prod. 2024, 458, 142551. [Google Scholar] [CrossRef]
- EN 12620:2002+A1:2008; Aggregates for Concrete. European Standard: Brussels, Belgium, 2008.
- UNI EN 196-1:2016; Methods of Testing Cement—Part 1: Determination of Strength. Ente Nazionale Italiano di Unificazione: Milan, Italy, 2016.
- ASTM C1202-19; Standard Test Method for Electrical Indication of Concrete’s Ability to Resist Chloride Ion Penetration. ASTM International: West Conshohocken, PA, USA, 2019.
- UNI EN 12390-8:2019; Prove sul Calcestruzzo Indurito—Parte 8: Profondità di Penetrazione dell’acqua Sotto Pressione. Ente Nazionale Italiano di Unificazione: Milan, Italy, 2019.
- DIN 1045-1:2008-08; Concrete, Reinforced and Prestressed Concrete Structures—Part 1: Design and Construction. German Standard: Berlin, Germany, 2008.
- Chandra, S.; Björnström, J. Influence of cement and superplasticizers type and dosage on the fluidity of cement mortars—Part I. Cem. Concr. Res. 2002, 32, 1605–1611. [Google Scholar] [CrossRef]
- Dario, A.; Suwondo, R. The influence of crystalline technology as concrete admixture on compressive strength and permeability. IOP Conf. Ser. Earth Environ. Sci. 2024, 1324, 012009. [Google Scholar] [CrossRef]
- Liang, X.; Ji, Y. Experimental study on durability of red mud-blast furnace slag geopolymer mortar. Constr. Build. Mater. 2021, 267, 120942. [Google Scholar] [CrossRef]
- Yang, Y.; Li, H.; Yang, X.; Chen, S.; Zhou, J. Experimental Study on the Influence of a Cementitious Permeable Crystallization Admixture (CPCA) in Improving Concrete Durability. Adv. Civ. Eng. 2022, 2, 1–14. [Google Scholar] [CrossRef]
- Memon, S.A.; Bekzhanova, Z.; Murzakarimova, A. A Review of Improvement of Interfacial Transition Zone and Adherent Mortar in Recycled Concrete Aggregate. Buildings 2022, 12, 1600. [Google Scholar] [CrossRef]
- Zhang, R.; Hou, F.; Xie, D.; Wang, J. Optimization of EICP-Based Treatment Process to Improve the Properties of Recycled Aggregates. J. Mater. Civ. Eng. 2025, 37, 04025145. [Google Scholar] [CrossRef]
- Yi, J.; Fu, S.; Huang, J.; Chen, Y. Synergistic modification of recycled aggregate using carbonation and hydrophobic Nano-Silica: Effect on interfacial performance of recycled aggregate concrete. J. Build. Eng. 2025, 107, 112740. [Google Scholar] [CrossRef]
- Guo, X.; Yi, H.; Hu, Z.; Rong, H. Study on improving the performance of recycled aggregate concrete by microorganism and additional calcium source. J. Build. Eng. 2025, 110, 113010. [Google Scholar] [CrossRef]
- Liu, X.; Si, Z.; Huang, L.; Zhao, P.; Zhang, L.; Li, M.; Yang, L. Research on the properties and modification mechanism of microbial mineralization deposition modified recycled concrete. J. Build. Eng. 2025, 102, 11963. [Google Scholar] [CrossRef]
- Zhao, Y.; Peng, L.; Feng, Z.; Lu, Z. Optimization of microbial induced carbonate precipitation treatment process to improve recycled fine aggregate. Clean. Mater. 2021, 1, 100003. [Google Scholar] [CrossRef]
- Chen, X.-F.; Zhang, X.-C.; Yan, G.-H. Multiscale Investigation of Modified Recycled Aggregate Concrete on Sulfate Attack Resistance. Materials 2025, 18, 1450. [Google Scholar] [CrossRef] [PubMed]
- Ji, A.; Luo, M.; Zhao, Y.; Dai, J. Modification of recycled aggregate using calcium carbonate formed by homogeneous precipitation and its application in concrete. Constr. Build. Mater. 2025, 462, 139998. [Google Scholar] [CrossRef]
- Thaue, W.; Iwanami, M.; Nakayama, K.; Chijiwa, N. MICP using calcium-rich waste solution from acetic acid treatment as a calcium source to improve the properties of recycled coarse aggregate. Constr. Build. Mater. 2025, 489, 142233. [Google Scholar] [CrossRef]
- Luo, W.; He, X.; Li, R.; Zhong, H.; Dong, B.; Fang, G. Investigation of “internal-external” enhanced method for recycled aggregate. Constr. Build. Mater. 2025, 467, 140405. [Google Scholar] [CrossRef]
- Luo, M.; Zhao, Y.; Ji, A.; Ding, Z. Enhancing recycled aggregates quality through biological deposition treatment. J. Build. Eng. 2025, 100, 111681. [Google Scholar] [CrossRef]
- Cheng, H.; Ahmad, I.; Shokouhian, M.; Radlínska, A. Enhancing flexural fatigue performance of recycled aggregate concrete under freeze–thaw cycles through aggregate and cement matrix modification: Effects, prediction models, and mechanisms. Constr. Build. Mater. 2025, 481, 141571. [Google Scholar] [CrossRef]
- Wu, L.; Majid, A.; Tang, Q.; Sun, Z.; Cao, Y. Effect of calcium phosphate modification on the interfacial transition zone of recycled aggregate and concrete. Cem. Concr. Compos. 2025, 157, 105872. [Google Scholar] [CrossRef]
- Lu, C.-G.; Zhang, X.-C.; Chen, X.-F. Maximizing Nano-Silica Efficiency in Laboratory-Simulated Recycled Concrete Aggregate via Prior Accelerated Carbonation: An Effective Strategy to Up-Cycle Construction Wastes. Molecules 2024, 29, 5995. [Google Scholar] [CrossRef]
- Li, W.; Hu, R.; Zhou, Y.; Xu, W.; Zhuang, J. Effect of carbonation on the cyclic behavior of recycled aggregate concrete: Test. simulation and constitutive model. Constr. Build. Mater. 2024, 452, 138718. [Google Scholar] [CrossRef]
- Li, H.; Li, C.; Wei, H.; Li, Q.; Lu, H.; Ge, J. Analysis of the Impact and Mechanism of Polyacrylate-Based Composite Paste on the Performance of Recycled Aggregate. Materials 2024, 17, 5242. [Google Scholar] [CrossRef]
- Wang, J.; Wu, M.; Zhou, H.; Ma, R.; Du, J.; Zhou, J.; Song, Y.; Wu, Y.; Ruan, S. Nano-modified recycled aggregates via vacuum impregnation: Towards stronger and durable recycled concrete. J. Build. Eng. 2024, 94, 110006. [Google Scholar] [CrossRef]
- Fan, C.; Zheng, Y.; Zhuo, J.; Du, C.; Hu, S. Study on mechanical and bonding properties of nano-SiO2 reinforced recycled concrete: Macro test and micro analysis. J. Build. Eng. 2024, 94, 109877. [Google Scholar] [CrossRef]
- Hoang Dao, X.; Trinh Bui, P.; Ogawa, Y.; Kawai, K. Properties and Microstructure of Low-Strength Recycled Concrete Aggregate Treated Using Cement–Fly Ash Slurry with Various Concentrations and Soaking Durations. J. Mater. Civ. Eng. 2024, 36, 04024320. [Google Scholar] [CrossRef]
- Li, Y.; Long, J.; Chen, X. Property Enhancement of Recycled Coarse Aggregate and Its Concrete under CO2-Accelerated Curing Treatment. Materials 2024, 17, 4194. [Google Scholar] [CrossRef]
- Wang, J.; Zhang, R.; Hou, F.; Ye, G. Influence of pore property and alkalinity on the bio-deposition treatment efficiency of recycled aggregates. J. Build. Eng. 2024, 89, 109381. [Google Scholar] [CrossRef]
- Qin, W.; Fan, X.; Jang, X. CO2-Accelerated Carbonation Modification for Recycled Coarse Aggregate with Various Original Concrete Strengths and Coarse Aggregate Sizes. Materials 2024, 17, 3567. [Google Scholar] [CrossRef]
- Zhang, H.; Luo, G.; Bao, J.; Zhang, P.; Lv, H.; Li, Y.; Sun, J.; Song, Q. Improving the salt frost resistance of recycled aggregate concrete modified by air-entraining agents and nano-silica under sustained compressive loading. Case Stud. Constr. Mater. 2024, 20, e03170. [Google Scholar] [CrossRef]
- He, Z.; Shen, A.; Wang, X.; Wu, J.; Wang, L. Effect of Modification Treatment on Chloride Ions Permeability and Microstructure of Recycled Brick-mixed Aggregate Concrete. J. Wuhan Univ. Technol.-Mater. Sci. Ed. 2024, 39, 728–737. [Google Scholar] [CrossRef]
- Wang, Q.; Zhao, H.; Luo, Z.; Liu, S.; Zhou, C.; Liu, H. Properties evaluation of concrete made with recycled coarse aggregate modified by graphene oxide. J. Build. Eng. 2024, 84, 108546. [Google Scholar] [CrossRef]
- Merino-Maldonado, D.; Antolín-Rodríguez, A.; Blanco, S.; Morán-del Pozo, J.M.; García-González, J.; Juan-Valdés, A. Surface protection of recycled concrete from different biogenic silica bio-deposition techniques: A sustainable approach. J. Build. Eng. 2024, 84, 108622. [Google Scholar] [CrossRef]
- Zhou, Y.; Zhuang, J.; Xu, W.; Lin, W.; Xing, F.; Hu, R. Study on mechanical performance and mesoscopic simulation of nano-SiO2 modified recycled aggregate concrete. Constr. Build. Mater. 2024, 425, 136053. [Google Scholar] [CrossRef]
- Li, M.; Yi, H.; Su, Y. Study on Reducing Water Absorption of Recycled Aggregates (RAs) by Microbial Mineralization. Materials. 2024, 17, 1612. [Google Scholar] [CrossRef]
- Sun, Y.; Liu, K.; Sun, D.; Jiang, N.; Xu, W.; Wang, A. Evaluation of urea hydrolysis for MICP technique applied in recycled aggregate: Concentration of urea and bacterial spores. Constr. Build. Mater. 2024, 419, 135366. [Google Scholar] [CrossRef]
- Zhang, H.; Wan, M.; Zhao, Y.; Wang, Y.; He, B.; Yao, J. Utilizing diatomaceous earth (DE) as a surface-treating agent of recycled aggregate (RA) for the performance modification of recycled aggregate concrete. Mater. Struc. 2024, 57, 2. [Google Scholar] [CrossRef]
- Jiang, H.; Wu, L.; Guan, L.; Liu, M.; Ju, X.; Xiang, Z.; Jiang, X.; Li, Y.; Long, J. Durability life evaluation of marine infrastructures built by using carbonated recycled coarse aggregate concrete due to the chloride corrosive environment. Front. Mar. Sci. 2024, 11, 1357186. [Google Scholar] [CrossRef]
- Li, J.; Chen, L.-L.; Wang, Z.-F.; Wang, Y.-Q. Effect of Modification and Replacement Rate of Recycled Coarse Aggregate on Properties of Recycled Aggregate Concrete. Iran. J. Sci. Technol. Trans. Civ. Eng. 2023, 47, 3321–3332. [Google Scholar] [CrossRef]
- Tong, J.; Ding, Y.; Lv, X.; Ning, W. Effect of carbonated recycled coarse aggregates on the mechanical properties of 3D printed recycled concrete. J. Build. Eng. 2023, 80, 107959. [Google Scholar] [CrossRef]
- Jiang, Y.; Peng, L.; Ma, Z.; Lu, J.-X.; Shen, P.; Poon, C.S. Enhancing the treatment efficiency of recycled concrete fines with aqueous carbonation. Cem. Concr. Res. 2023, 174, 107338. [Google Scholar] [CrossRef]



















| Square Mesh Size [mm] | Cumulative Retained [%] | Retained [%] | Retained Mass [g] |
|---|---|---|---|
| 2.00 | 0.0 | 0.0 | 0.0 |
| 1.60 | 7.0 | 7.0 | 94.5 |
| 1.00 | 33.0 | 26.0 | 351.0 |
| 0.50 | 67.0 | 34.0 | 459.0 |
| 0.16 | 87.0 | 20.0 | 270.0 |
| 0.08 | 99.0 | 12.0 | 162.0 |
| Filler | 100.0 | 1.0 | 13.5 |
| Density of Particles [g/cm3] | Purity | Water Absorption [%] | |
|---|---|---|---|
| Powders Content | Sand Equivalent [%] | ||
| 2.46 | f22 | 48 | 4.73 |
| Size [mm] | CON 25% | CON 50% | CON 75% | CON 100% | ||||
|---|---|---|---|---|---|---|---|---|
| SS [g] | RA [g] | SS [g] | RA [g] | SS [g] | RA [g] | SS [g] | RA [g] | |
| 1.6 | 70.90 | 23.60 | 47.30 | 47.30 | 23.60 | 70.90 | 0.00 | 94.50 |
| 1.0 | 263.30 | 87.80 | 175.50 | 175.50 | 87.80 | 263.30 | 0.00 | 351.00 |
| 0.5 | 344.30 | 114.80 | 229.50 | 229.50 | 114.80 | 344.30 | 0.00 | 459.00 |
| 0.16 | 202.50 | 67.50 | 135.00 | 135.00 | 67.50 | 202.50 | 0.00 | 270.00 |
| 0.08 | 121.50 | 40.50 | 81.00 | 81.00 | 40.50 | 121.50 | 0.00 | 162.00 |
| Filler | 10.10 | 3.40 | 6.75 | 6.75 | 3.40 | 10.10 | 0.00 | 13.50 |
| Total | 1350.00 | 1350.00 | 1350.00 | 1350.00 | ||||
| Series | Specimen ID | W/C | Cement [g] | Water [g] | Sand | SP [%] | AD [g] | |
|---|---|---|---|---|---|---|---|---|
| SS [g] | RS [g] | |||||||
| 1 | OPC | 0.50 | 450.00 | 225.00 | 1350.00 | 0.25 | - | |
| CON 25 | 0.50 | 450.00 | 225.00 | 1012.50 | 337.50 | 1.25 | - | |
| CON 50 | 0.50 | 450.00 | 225.00 | 675.00 | 675.00 | 1.70 | - | |
| CON 75 | 0.50 | 450.00 | 225.00 | 337.50 | 1012.50 | 2.80 | - | |
| CON 100 | 0.50 | 450.00 | 225.00 | - | 1350.00 | 5.00 | - | |
| 2 | OPC-X | 0.50 | 450.00 | 225.00 | 1350.00 | - | 0.25 | 4.50 |
| CON-X 25 | 0.50 | 450.00 | 225.00 | 1012.50 | 337.50 | 1.25 | 4.50 | |
| CON-X 50 | 0.50 | 450.00 | 225.00 | 675.00 | 675.00 | 1.70 | 4.50 | |
| CON-X 75 | 0.50 | 450.00 | 225.00 | 337.50 | 1012.50 | 2.80 | 4.50 | |
| CON-X 100 | 0.50 | 450.00 | 225.00 | - | 1350.00 | 5.00 | 4.50 | |
| 3&4 | ||||||||
| OPC-Y/Z | 0.50 | 450.00 | 225.00 | 1350.00 | - | 0.10 | 13.50 | |
| CON-Y/Z 25 | 0.50 | 450.00 | 223.45 | 1012.50 | 337.50 | 2.00 | 13.50 | |
| CON-Y/Z 50 | 0.50 | 450.00 | 213.40 | 675.00 | 675.00 | 3.10 | 13.50 | |
| CON-Y/Z 75 | 0.50 | 450.00 | 200.85 | 337.50 | 1012.50 | 4.90 | 13.50 | |
| CON-Y/Z 100 | 0.50 | 450.00 | 188.30 | - | 1350.00 | 7.10 | 13.50 | |
| Series | Specimen ID | Slump [mm] |
|---|---|---|
| 1 | OPC | 36 |
| CON 25 | 35 | |
| CON 50 | 35 | |
| CON 75 | 36 | |
| CON 100 | 32 | |
| 2 | OPC-X | 43 |
| CON-X 25 | 45 | |
| CON-X 50 | 44 | |
| CON-X 75 | 44 | |
| CON-X 100 | 45 | |
| 3 | OPC-Y | 42 |
| CON-Y 25 | 40 | |
| CON-Y 50 | 42 | |
| CON-Y 75 | 40 | |
| CON-Y 100 | 43 | |
| 4 | OPC-Z | 42 |
| CON-Z 25 | 40 | |
| CON-Z 50 | 42 | |
| CON-Z 75 | 40 | |
| CON-Z 100 | 43 |
| Component | Mass% |
|---|---|
| LOI-Flux | 12.000 |
| Na2O | 1.380 |
| MgO | 4.750 |
| Al2O3 | 9.100 |
| SiO2 | 42.800 |
| P2O5 | 0.157 |
| SO3 | 3.420 |
| Cl | 0.079 |
| K2O | 1.730 |
| CaO | 19.300 |
| TiO2 | 0.392 |
| Cr2O3 | 0.067 |
| MnO | 0.169 |
| Fe2O3 | 4.490 |
| NiO | 0.033 |
| CuO | 0.011 |
| ZnO | 0.017 |
| As2O3 | 0.009 |
| Rb2O | 0.010 |
| SrO | 0.037 |
| Y2O3 | 0.002 |
| ZrO2 | 0.035 |
| Aggregates’ Treatment | Water Absorption or Porosity | Mechanical Strength | Ref. |
|---|---|---|---|
| Enzyme-induced carbonate precipitation (EICP) modified RAs | 7.01% water absorption reduction with respect to untreated RA | 6.05% increase in concrete’s compressive strength with respect to untreated RAs (50.85 MPa, w:c = 0.39, 100% replacement rate) | [61] |
| Nano-silica (NS) solution (2 wt%) immersion + carbonation treatment modified RCAs | 5.13% water absorption for hydrophobic NS treated and carbonated RAs (1.42% for natural aggregates) | 34.9% increase in concrete’s compressive strength with respect to untreated RAs (40.29 MPa, w:c = 0.46, 50% replacement rate) | [62] |
| Soaked 3% bacterial liquid + 0.1 mol/L calcium acetate and 20% CO2 carbonation modified RAs | After 50 freeze–thaw cycles, the mass loss of concrete made with treated aggregates was 0.49%, while that of concrete made with untreated aggregates was 4.99% | 32% increase in concrete’s compressive strength with respect to untreated RAs (31.48 MPa, w:c = 0.6, 100% replacement rate) | [63] |
| Bacillus cereus modified coarse aggregates | 40% reduction in water absorption for treated coarse aggregates with respect to untreated ones | Same compressive strength resistance as concrete made with NA. 11% higher split tensile strength (39.59 MPa, w:c = 0.44, 40% replacement rate) | [33] |
| Pozzolan (silica fume, fly ash, nano-silica) slurry impregnation or carbonation of coarse aggregates | 3.9–4.2% water absorption for treaded aggregates against 5.3% for untreated ones | Up to 55.2% increase in compressive strength for silica fume treated mortar (w:binder = 0.5 and RCA:binder = 2.5) | [64] |
| Microbial-induced carbonate precipitation (MICP)-modified fine aggregates | 50.47% reduction in water absorption after 4 cycles of modification | Flexural strength of mortar made with modified aggregates increased by 23.3% compared to untreated one (w:c = 0.5) | [65] |
| NS soaking + carbonation | Sulfate penetration depth reduced by over 30% for modified RAs compared to untreated ones | Compressive strength of NS-modified RAs after 28 days of sulfate attack increased by 15% with respect to unmodified RA | [66] |
| Calcium carbonate precipitation from urea and calcium acetate upon heating | 32% water absorption reduction for soaked RAs kept at 80 °C for 5 days with respect to untreated RA | Compressive strength of concrete decreased by 2.2%, 3.5%, 8.4%, and 10.2% for replacement ratios of 30%, 50%, 70%, and 100%, respectively, compared to control made with NAs | [67] |
| MICP-modified coarse aggregates | Up to 17.9% reduction in water absorption for treated aggregates with respect to untreated ones | 17.7% increase in compressive strength compared to untreated aggregates (w:c = 0.5, 100% coarse aggregates replacement) | [68] |
| Carbonation + coating with an alkali-activated fly ash–slag slurry | Up to 31.43% reduction in water absorption for aggregates first carbonated under 20% CO2 and 70 RH%, then impregnated with a saturated lime solution | 58.6% increase in concrete’s compressive strength (45.68 MPa) | [69] |
| Carbonation of coarse RA | 5.4–7.1% water absorption for treated RAs with respect to 6.8–8.4% for untreated RA. Coarser RA (10–20 mm) absorbed less water than smaller RA (5–10 mm). | 10.5% increase in compressive strength for concrete made with treated RAs compared to the one made with untreated RA; only ≈80% of compressive strength with respect to concrete made with NAs (w:c = 0.38 for NA, w:c = 0.5 for treated RA, 100% replacement) | [70] |
| RA pre-soaked in 5% silane emulsion | 65.2% water absorption reduction | Increase in average flexural fatigue life by 28.5, 36.9, and 44.2 times at the stress levels of 0.6, 0.7, and 0.8 after 140 freeze–thaw cycles (w:c = 0.5, 100% replacement) | [71] |
| Pre-impregnation or pre-spraying of RAs with calcium phosphate (CaP) solutions | When CaP to RA was 0.003 g/g, the water absorption of pre-sprayed and pre-impregnated treated RAs was 18.02% and 21.61% lower than that of untreated RA, respectively. | When the ratio of CaP to RA was 0.001 g/g, compressive strength increased by 31.52% with pre-spray treatment (100% replacement). In samples with 50% RA and 50% NA, when the unit weight ratio of CaP to RA was 0.003 g/g, the compressive strength increased by 16.52% with pre-impregnation (w:c = 0.35 in all tests). | [72] |
| Accelerated carbonation (101 kPa, 99.99%, 24 h) and NS solution (2%) immersion | 26.4% reduction in water absorption | n.e. | [73] |
| Accelerated carbonation (150 kPa, 99.9%, 72 h) | 23.3% water absorption reduction for treated aggregates (4.86%) compared to non-treated ones (6.34%) (NA = 0.8%) | 14.3% and 22.1% decrease in compressive strength and elastic modulus, respectively, with respect to NAs (w:c = 0.53, 100% replacement of coarse aggregates) | [74] |
| Immersion in a slurry with 15% fly ash, 3% gypsum, and 22% polyacrylate emulsion for 180 s | Saturated surface–dry water absorption rate decreased from 15.0% to 9.5% for treated aggregates with respect to untreated ones | 54.5% increase in compressive strength (w:c = 0.4, 100% replacement of coarse aggregates) | [75] |
| Vacuum impregnation with a 4% NS slurry | 2.81% porosity for treated aggregates compared to 4.2% for untreated aggregates (estimated by X-CT) | 18.39% increase in compressive strength compared to non-treated aggregates: 55.97 and 47.3 MPa, respectively (w:c = 0.45, 100% replacement of coarse aggregates; 57.9 MPa for the concrete made with NA) | [76] |
| Impregnation with a 3% NS solution | 36.96% porosity reduction with a decrease of 14.35% of average pore size for treated aggregates with respect to untreated ones | 41.68 MPa and 34.56 MPa, 52.35 MPa and 44.16 MPa, and 63.22 MPa and 54.25 MPa for treated and untreated aggregates (100% replacement of coarse aggregates) for w:c = 0.51, 0.41, and 0.36, respectively | [77] |
| Soaking in cement fly ash slurries (30% and 70% concentration) | 5.4% water absorption for 24 h soaked aggregates in a 70% concentrated solution compared to 8.7% for untreated aggregates | n.e. | [78] |
| Accelerated carbonation (20%) of coarse aggregates | The water absorption of carbonated aggregates was reduced by 19.16%, 21.8%, and 16.3%, for the fractions 5–10 mm, 10–20 mm and 20–25 mm, respectively | n.e. | [79] |
| Sodium alginate microbial induced calcium carbonate precipitation on RA | 32.85% decrease in water absorption after CaCO3 precipitation | n.e. | [80] |
| Accelerated carbonation (20%) of coarse aggregates from different concrete strength classes (C30, C40, and C50) | Up to 20% reduction in water absorption for carbonated RAs from C50-strength concrete (5–10, 10–20, and 20–25 mm) compared to non-treated aggregates | n.e. | [81] |
| RCAs incorporating air-entraining agents (AEAs) and nano-silica solution (30 wt%) | n.e. | 56.4 MPa, 42.7 MPa and 32.9 MPa for 0, 50 and 100% coarse aggregates replacement with 0.05% of AEA (w:c = 0.4) | [82] |
| RA first immersed in a slurry with a water-to-binder ratio of 0.8, in which 20% of the OPC (ordinary Portland cement) was replaced by FA (fly ash) and SF (silica fume). Next, the coated RAs were immersed in sodium silicate (waterglass, WG) and silicon-based additive solutions | Compared with untreated aggregates, the total pore volume of C30 concrete with RAs with WG and SA decreased by 30.3% and 32.9%, while the average pore diameter decreased by 12.5% and 24.7%, respectively | When the replacement rate of RAs is 50% and 100%, the compressive strengths of recycled concrete with the strength grade of C30 are 36.0 and 29.6 MPa, 15.1% and 30.2% lower than that of the ordinary concrete, respectively. | [83] |
| Pre-soaked or pre-sprayed RAs in a graphene oxide (GO) solution (0, 0.01, 0.03, and 0.05 wt% of GO with respect to cement) | Compared with untreated aggregates, the total porosity of RAs pre-soaked in a solution with 0.05 wt% of GO decreased by 27.8%. The detrimental pores with an equivalent diameter larger than 50 nm was reduced by 35.5%. | Compressive strength increased by 8.3%, 18.1%, and 30.8% at 7 days, and 9.5%, 14.4% and 23.5% at 90 days, for RAs pre-soaked in a solution with 0.01, 0.03, and 0.05 wt% of GO, respectively, compared to untreated aggregates. With 5 wt% addition of GO, the compressive strength was very close to that of concrete made with NAs (w–binder = 0.55, 100% coarse aggregates replacement). | [84] |
| Bio-deposition of biogenic silica by means of diatoms | Hydrophobicity close to that observed in nano-silica (50 nm) coatings (50 wt%) | Increase in the compressive strength up to 8% in function of the diatoms’ growth conditions (indoor or outdoor) compared to non-treated aggregates (w:c = 0.59, 50% coarse aggregates replacement) | [85] |
| Immersion in 2, 5, 10 and 30 wt% NS solutions for 24 h of RA (5–10 and 10–20 mm) | Compared to untreated RA, the water absorption of RAs treated with 2%, 5%, 10%, and 30% NS solution decreased by 18.2%, 21.1%, 22.6%, and 27.6%, respectively; 2% concentration of NS solution is sufficient to consume portlandite of RA | The compressive strengths of concrete made with RAs treated with NS solutions at different concentrations (2%, 5%, 10%, and 30%) were, respectively, 14.5%, 17.2%, 25.9%, and 28.8% higher compared to the concrete manufactured with untreated RA. Further improvement of 5.4%, 6.4%, 5.1%, and 6.9%, respectively, if excess NS not removed from the surface | [86] |
| Soaking in 3% bacterial solution and 0.1 mol/L calcium acetate solution followed by carbonation with 20% CO2 (101 kPa) | 4.72% water absorption for the 3% concentrated bacterial solution, compared to 9% for untreated aggregates | n.e. | [87] |
| MICP based on hydrolyzing urea (best results when the ratio of bacterial solution concentration to urea concentration = 5) | 10% decrease in water absorption for treated aggregates with respect to untreated ones | 48 MPa compressive strength for the concrete made with treated aggregates (+19.5% with respect to concrete made with untreated aggregates) (w:c = 0.49, 100% coarse aggregates replacement) | [88] |
| RA soaking in slurries based on OPC and diatomaceous earth (DE) ((OPC + DE):water = 1:2 by weight) | Increase in water absorption with increase in DE in the slurry (up to 20%): from 2.32% for untreated aggregates to 5.15% for 20%DE slurry | 20% increase in compressive strength for the concrete with the aggregates soaked in the slurry with 5% DE, with respect to non-treated aggregates (w:c = 0.5, 100% coarse aggregates replacement) | [89] |
| Carbonation of coarse RA (20% CO2) from C40-strength concrete | 16.3–21.8% lower water absorption for carbonated aggregates in function of their size (5–10, 10–20, and 20–25 mm). About +160% water absorption with respect to natural aggregates with the same size | The average compressive strength of concrete made with carbonated RAs was 52.47 MPa, compared to 54.37 MPa for the concrete manufactured with natural aggregates and 47.43 MPa for samples with non-treated RAs (w:c = 0.4, 100% coarse aggregates replacement) | [90] |
| Immersion of coarse RA in an 8% solution of sodium silicate and a 12% solution of silane | 8.12% water absorption for RA, compared to 3.83% for treated RA | Compressive strength of concrete made with impregnated RAs increased from 33.75 to 38.09 MPa (+12.86%) with respect to that made of pristine RAs (w:c = 0.5) | [91] |
| Presoaking for 24 h in a 1.5 wt% NS solution combined with carbonation (99%, 300 kPa) of coarse RA | About 22% reduction in water absorption for treated RA. Limited variations in function of the studied fractions (4.75–7, 7.5–9, and 9.5–12 mm) | Compared to cast samples, the loss ranges in compressive strength of printed specimens were 15.37–19.41% in the X direction, 21.61–25.62% in the Y direction, and 28.65–33.04% in the Z direction, in function of the replacement rates (30, 70, and 100%) (w:c = 0.41–0.61, higher for higher replacement rates) | [92] |
| Carbonation (20% CO2) of RFA in 0.5 M and 1.0 M NaOH solutions | 9.1% for fine RAs carbonated at 0.5 M-45 °C, with respect to 10.1% for pristine RA | Mortars prepared with RFAs carbonated at 0.5 M-45 °C for 10 min acquired comparable strength to the reference mortar prepared with RFAs carbonated at 25 °C for 6 h in absence of NaOH. The highest compressive strength was 48.8 MPa, corresponding to an increase of 17.0% with respect to the mortar made with natural sand (binder–water = 0.5, 100% replacement of RFAs) | [93] |
| Immersion of coarse RA in a commercial crystallizing agent solution for 1 day or 7 days | 24.82% water absorption reduction after 1 day of immersion, 58.49% water absorption reduction after 7 days of immersion | 46.9 MPa compressive strength for concrete made with 7 days immersed RA, compared to 47.7 MPa for concrete made with NAs (w:c = 0.4, 100% coarse aggregates replacement) | [47] |
| Immersion of coarse RA (5–10 and 10–25 mm) in a commercial crystalline admixture (CA) solution with waste glass powder (WGP) | Whatever the WGP content, the CA controls the water absorption (≈0.25–0.5% after 11 days) | The compressive strength of the samples decreased with the increasing WGP content, whatever the CA content (1 or 2%) (w–binder = 0.53, 100% coarse aggregates replacement) | [48] |
| Immersion of RFAs in a commercial crystallizing agent solution | Water penetration under pressure = 6 mm for mortar made with SS, while mortar made with treated RFAs (cured for 15 days) showed a penetration of 9 mm | About 65 MPa compressive strength for 100% replacement of fine aggregates with treated RFAs (CON-Y, cured 15 days), compared to about 55 MPa for mortars made with standard sand | This work |
Disclaimer/Publisher’s Note: The statements, opinions and data contained in all publications are solely those of the individual author(s) and contributor(s) and not of MDPI and/or the editor(s). MDPI and/or the editor(s) disclaim responsibility for any injury to people or property resulting from any ideas, methods, instructions or products referred to in the content. |
© 2025 by the authors. Licensee MDPI, Basel, Switzerland. This article is an open access article distributed under the terms and conditions of the Creative Commons Attribution (CC BY) license (https://creativecommons.org/licenses/by/4.0/).
Share and Cite
Suarez-Riera, D.; Lavagna, L.; Falliano, D.; Ferro, G.A.; Pavese, M.; Tulliani, J.-M.; Restuccia, L. Modified Fine Recycled Concrete Aggregates with a Crystallizing Agent as Standard Sand Replacement in Mortar. Materials 2025, 18, 4208. https://doi.org/10.3390/ma18174208
Suarez-Riera D, Lavagna L, Falliano D, Ferro GA, Pavese M, Tulliani J-M, Restuccia L. Modified Fine Recycled Concrete Aggregates with a Crystallizing Agent as Standard Sand Replacement in Mortar. Materials. 2025; 18(17):4208. https://doi.org/10.3390/ma18174208
Chicago/Turabian StyleSuarez-Riera, Daniel, Luca Lavagna, Devid Falliano, Giuseppe Andrea Ferro, Matteo Pavese, Jean-Marc Tulliani, and Luciana Restuccia. 2025. "Modified Fine Recycled Concrete Aggregates with a Crystallizing Agent as Standard Sand Replacement in Mortar" Materials 18, no. 17: 4208. https://doi.org/10.3390/ma18174208
APA StyleSuarez-Riera, D., Lavagna, L., Falliano, D., Ferro, G. A., Pavese, M., Tulliani, J.-M., & Restuccia, L. (2025). Modified Fine Recycled Concrete Aggregates with a Crystallizing Agent as Standard Sand Replacement in Mortar. Materials, 18(17), 4208. https://doi.org/10.3390/ma18174208

