Research on Alkali-Activated, Spinelized Kaolin Cementitious Composite Materials
Abstract
1. Introduction
2. Experimental Content
2.1. Experimental Raw Materials
2.2. Testing Methods
2.3. Kaolin Pretreatment
2.4. Experimental Process
3. Results and Discussion
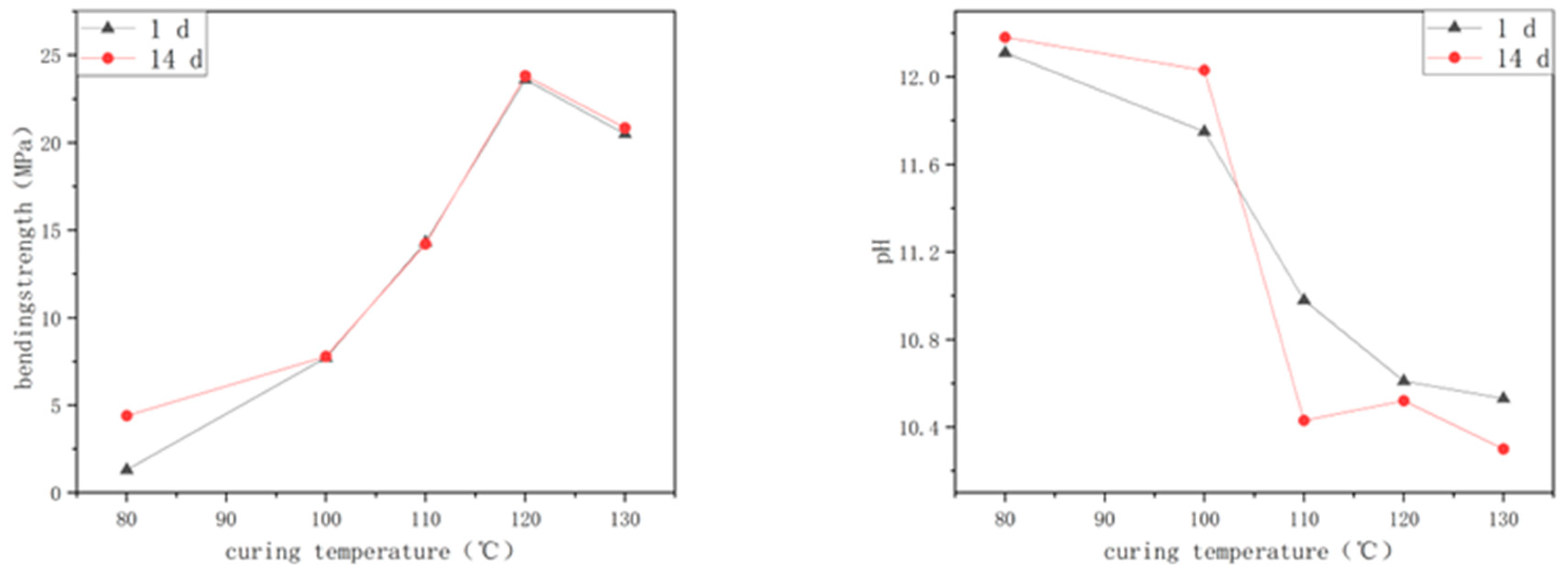
3.1. Influence of Curing Temperature on Sample Properties
3.2. Influence of Curing Time on Sample Properties
3.3. Analysis of the Formation Mechanism of Polymeric Materials
4. Conclusions
- (1)
- After the high-temperature calcination of kaolin transforms into silicon–aluminum spinel, a substance with high Si/Al activity is formed, and a high activation temperature is required. The technological parameters for preparing the alkali-activated, spinelized kaolin gel polymer material are as follows: the kaolin is calcined at 1100 °C; the activator’s modulus is 1.25; the ratio of calcined kaolin to the activator is 1:1; 2.5% deionized water is added to adjust its molding performance; and it is cured at 120 °C for 10 h. The flexural strength of the material prepared according to these parameters can reach 23.81 MPa.
- (2)
- SEM result shows that the curing temperature significantly affects the alkali-activated, spinelized kaolin gel polymer material. The alkali-activated reaction is incomplete below 120 °C. A cage-like, zeolite-like structure forms at 120 °C but disappears again when the temperature exceeds 120 °C. The FTIR results indicate that water participates in a deeper reaction, generating a water-containing, zeolite-like phase. Therefore, the gel polymer is mainly composed of high-polymerization-degree [SiO4]. The higher the curing temperature, the greater the quantity of high-polymerization-degree gel polymers generated.
- (3)
- The alkaline-excited, spinel gel coagulation material prepared in this experiment not only provides a new high-performance inorganic gelling material with broad application prospects for the field of ceramic body filling but also provides some inspiration for the research on building materials.
Author Contributions
Funding
Data Availability Statement
Conflicts of Interest
References
- Jiang, D.Y. Research on the Restoration of Ancient Ceramics—Also on the Restoration of Liangzhu Black Pottery Double-nosed Pot and Ming Xuande Blue-and-white Flat—Bottle. Sci. Conserv. Archaeol. 2004, 16, 56–59+68. [Google Scholar]
- Xie, L. The Cultural History of Ceramic Restoration Techniques; The Publishing Center of National Taiwan University: Taipei, Taiwan, 2018. [Google Scholar]
- Pu, M. Comparative Study on the Restoration Methods for Missing Parts of Damaged Ancient Ceramics. Sci. Conserv. Archaeol. 2018, 30, 83–88. [Google Scholar]
- Li, J.J.; Zhang, B.J. Research Status of International Cultural Heritage Conservation Materials—Quantitative Analysis of Journal Papers from 2000 to 2016 Based on the Web of Science Database. Southeast Cult. 2017, 31, 6–15. [Google Scholar]
- Zhou, E.; Li, Q.; Bao, F. The influence of technological factors on the mechanical properties of geological gel polymers. Chin. Ceram. 2007, 7, 32–35. [Google Scholar]
- Davidovits, J. Geopolymers and geopolymericmaterials. Therm. Anal. 1989, 35, 429–441. [Google Scholar] [CrossRef]
- Provis, J.L. Modelling the Formation of Geopolymers; The University of Melbourne: Parkville, Australia, 2006. [Google Scholar]
- Li, Q.; Wang, L.; Yuan, F.; Zhang, L.; Wu, J. Preparation and Properties of Alkali-Activated Metakaolin-Based Gelation Composite Materials for Ancient Ceramics Restoration. J. Ceram. 2021, 42, 325–332. [Google Scholar]
- Bian, L.; Ding, N.; Tao, Z.; Liao, H.; Li, Y. Performance change laws and characteristics of hardened bodies of alkali-activated cementitious materials under different curing systems. New Build. Mater. 2025, 52, 31–35+96. [Google Scholar]
- Ye, J.; Fan, C.; Gao, X.; Zhang, Y.; Wang, Y. Research on the Regulation of Shrinkage Properties of Alkali-Activated Materials by Curing Systems. J. Wuhan Univ. Technol. 2023, 45, 63–69+75. [Google Scholar]
- Claudio, F. Artificial neural networks test for the predictionof chemical stability of pyroclastic deposits-basedAAMs and comparison with conventional mathematicalapproach (MLR). Comput. Theory 2021, 56, 513–527. [Google Scholar]
- Ramón Álvarez, I.; Sánchez Delgado, S.; Torres Carrasco, M. Viability of hybrid and alkali-activated slag materials for thermal energy storage: Analysis of the evolution of mechanical and thermal properties. J. Build. Eng. 2024, 95, 110073. [Google Scholar] [CrossRef]
- Zheng, P.; Zhang, K.; Wang, W.; Wang, J.; Zhang, X. Synergy of micron graphite and fly ash for alkali-activated cementitious material: Electromagnetic absorption characteristics and mechanism. Cem. Concr. Compos. 2024, 149, 105513. [Google Scholar] [CrossRef]
- Zhang, Q.; Li, Z.; Rui, C.; Wang, T.; Jiang, X. Research on the Preparation of Geopolymer—Stabilized Recycled Aggregates by Alkali—Activation and the Mechanism of Alkali—Activation. Appl. Chem. Ind. 2025, 54, 920–926. [Google Scholar] [CrossRef]
- Lv, Y.; Ge, L.; Zhao, Y.; Chen, Y.; Dan, M.; Zhou, Y.; Li, G. Influence of Biomass Ash on the Properties of Alkali-Activated Slag Cementitious Materials. Bull. Chin. Ceram. Soc. 2025, 44, 1288–1296. [Google Scholar]
- Li, Q.; Mao, J.; Wang, J.; Si, W.; Ma, B. Research on the Prediction of Compressive Strength of Mineral Powder-based Alkali-activated Cementitious Materials Based on Machine Learning and the Characteristics of Alkali-activation Activity of Raw Materials. Acta Mater. Compos. Sin. 2025, 44, 1–12. [Google Scholar]
- Luo, B.; Xu, Y.; Li, L.; Peng, B.; Wang, S.; Wang, J.; Li, B. Influence of Ca/Si on the Mechanical Properties of Composite Cementitious Materials and the Hydration Mechanism of Composite Cementitious Materials. Non-Ferr. Met. (Extr. Metall.) 2025, 1, 141–152. [Google Scholar]
- Zeng, H.; Sivakumar, R.; Hee, K. Effect of copper mine tailings and copper slag on the hydration, microstructure, and mechanical property in Portland cement. Results Eng. 2025, 26, 104890. [Google Scholar] [CrossRef]
- Wu, B.; He, S.; Wu, H.; Cheng, J.; Wang, T.; Che, L.; Deng, Y. Effects of binder component and curing regime on compressive strength, capillary water absorption, shrinkage and pore structure of geopolymer mortars. Constr. Build. Mater. 2024, 442, 137707. [Google Scholar] [CrossRef]
- Li, H.; Yu, Z.; Xu, F.; Guo, J.; Ding, J. The Influence of Curing System on the Macroscopic Performance and Microstructure of Anti-Abrasive UHPC. Coatings 2023, 14, 45. [Google Scholar] [CrossRef]
- Liu, M.; Wang, B.; Fan, J.; Yu, J.; Shi, T.; Zhou, Y.; Zhou, M. Effects of reactive MgO on durability and microstructure of cement-based materials: Considering carbonation and pH value. Constr. Build. Mater. 2024, 426, 136216. [Google Scholar] [CrossRef]
- Abo El-Wafa, M.; Fukuzawa, K. Early-Age Strength of Alkali-Activated Municipal Slag–Fly Ash–Based Geopolymer Mortar. J. Mater. Civ. Eng. 2018, 30, 4. [Google Scholar] [CrossRef]
- Peng, H.; Li, L.; Cai, S. Study on the Influence of Mix Proportion and Curing Conditions of Metakaolin-based Geopolymer on Its Mechanical Properties and Setting Time. Bull. Chin. Ceram. Soc. 2014, 33, 2809–2817+2827. [Google Scholar]
- Liu, Z.; Li, H.; Wen, H.; Wan, W.; Hu, B.; Li, G. Effects of Alkali Content and Modulus on the Hydration Process of Blast Furnace Slag-Fly Ash Composite Cementitious Materials at All Curing Ages. Cem. Proj. 2025, 38, 60–69. [Google Scholar]
- Panchmatia, P.; Olek, J.; Kim, T. The influence of air cooledblast furnace slag (ACBFS) aggregate on the concentration ofsulfates in concrete’s poresolution. Constr. Build. 2018, 168, 394–403. [Google Scholar] [CrossRef]
- Zhang, Q. Kaolin; Beijing Light Industry Press: Beijing, China, 1988. [Google Scholar]
- Yin, S.; Zhou, F.; Tang, G. Research on the Phase Transformation of Calcined Kaolin. Spectr. Lab. 1998, 3, 8–12. [Google Scholar]
- Wu, R.; Su, M. Study on High—Temperature Phase Transformation of Kaolin in Zutang Mountain and X—Ray Diffraction of Mullite. Jiangsu Geol. 1990, 1, 45–48. [Google Scholar]
- Chen, L.; Zheng, R.; Chen, T.; Xu, J. Study on the Activation of Kaolin and the Properties of Its Geopolymer. Chem. Miner. Process. 2008, 1, 11–14. [Google Scholar]
- Yin, H.; Liu, J.; Ji, Y.; Xue, L.; Sun, K.; Li, X.; Zheng, J. Research Progress on the Influencing Factors of Metakaolin Activity and Its Alkali—Activation Reaction. Drill. Fluids Complet. Fluids 2024, 41, 419–426. [Google Scholar]
- Li, S.; Ju, S.; Peng, J.; Wang, S.; Zhou, L. Phase Transformation of Diasporic Bauxite-Sodium Hydroxide System during Heating Process. Nonferrous Met. (Extr. Metall.) 2016, 3, 13–18. [Google Scholar]
- Cui, M.; Tang, Q.; Li, M.; He, Y.; Wang, Y.; Tong, Z. Formation and Application of Zeolite-like Structures in Geopolymers with Broussonetia Papyrifera. Rare Met. Mater. Eng. 2015, 44, 600–604. [Google Scholar]
- Ju, L.; Wang, C.; Chang, P.; Bao, W.; Han, L. Rapid Synthesis of Zeolite-like Materials from Kaolinite via Supercritical Hydrothermal Method and Their Mercury Removal Performance. Bull. Chin. Ceram. Soc. 2015, 34, 2310–2314. [Google Scholar] [CrossRef]







| Kind | SiO2 | Al2O3 | Fe2O3 | TiO2 | CaO | MgO | K2O | Na2O |
|---|---|---|---|---|---|---|---|---|
| Kaolin | 56.43 | 40.69 | 0.16 | 0.06 | 0.15 | 0.47 | 0.52 | 1.51 |
Disclaimer/Publisher’s Note: The statements, opinions and data contained in all publications are solely those of the individual author(s) and contributor(s) and not of MDPI and/or the editor(s). MDPI and/or the editor(s) disclaim responsibility for any injury to people or property resulting from any ideas, methods, instructions or products referred to in the content. |
© 2025 by the authors. Licensee MDPI, Basel, Switzerland. This article is an open access article distributed under the terms and conditions of the Creative Commons Attribution (CC BY) license (https://creativecommons.org/licenses/by/4.0/).
Share and Cite
Feng, Y.; Gao, C.; Yuan, F.; Sun, J.; Li, Q. Research on Alkali-Activated, Spinelized Kaolin Cementitious Composite Materials. Materials 2025, 18, 4147. https://doi.org/10.3390/ma18174147
Feng Y, Gao C, Yuan F, Sun J, Li Q. Research on Alkali-Activated, Spinelized Kaolin Cementitious Composite Materials. Materials. 2025; 18(17):4147. https://doi.org/10.3390/ma18174147
Chicago/Turabian StyleFeng, Yuyang, Chenyi Gao, Feng Yuan, Jun Sun, and Qijiang Li. 2025. "Research on Alkali-Activated, Spinelized Kaolin Cementitious Composite Materials" Materials 18, no. 17: 4147. https://doi.org/10.3390/ma18174147
APA StyleFeng, Y., Gao, C., Yuan, F., Sun, J., & Li, Q. (2025). Research on Alkali-Activated, Spinelized Kaolin Cementitious Composite Materials. Materials, 18(17), 4147. https://doi.org/10.3390/ma18174147

