Localized Surface Phonon Polaritons and Infrared Optical Absorption of ScAlN Nanoresonators
Abstract
1. Introduction
2. The Computational Methodology
2.1. The Lattice Structure and Phonons
2.2. Dielectric Function and Finite Element Simulations
3. Results and Discussion
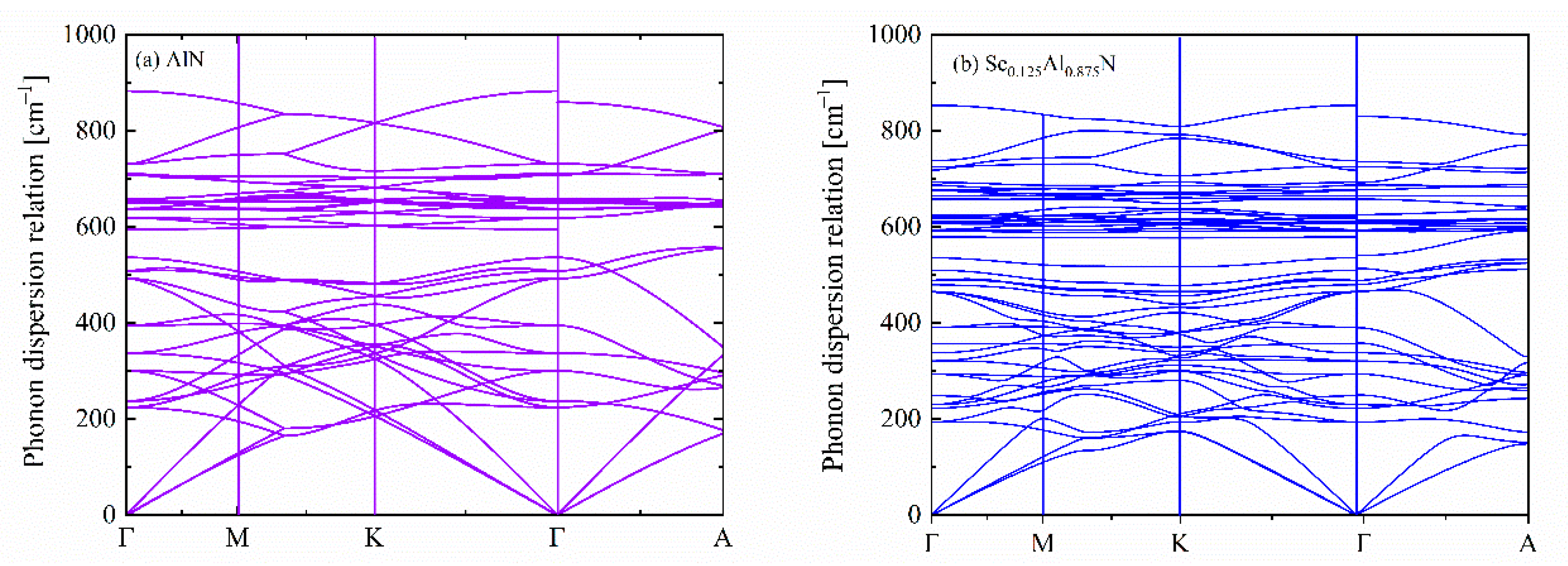
3.1. The Phonon Dispersion Relation of ScAlN
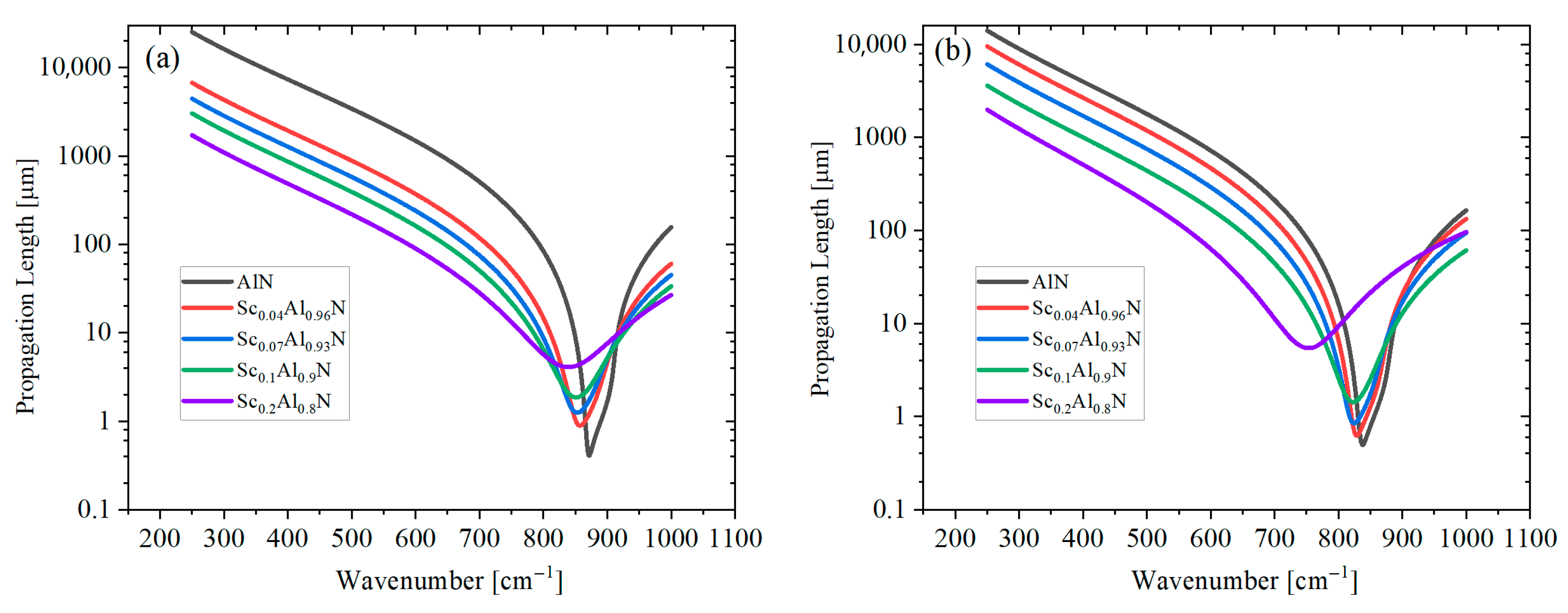
3.2. The Dielectric Function and Surface Phonon Polaritons
3.3. Localized SPhPs in ScAlN Nanoresonators
4. Conclusions
Author Contributions
Funding
Data Availability Statement
Acknowledgments
Conflicts of Interest
References
- Zou, Y.; Gao, C.; Zhou, J.; Liu, Y.; Xu, Q.; Qu, Y.; Liu, W.; Soon, J.B.W.; Cai, Y.; Sun, C. Aluminum scandium nitride thin-film bulk acoustic resonators for 5G wideband applications. Microsyst. Nanoeng. 2022, 8, 124. [Google Scholar] [CrossRef]
- Song, Y.; Perez, C.; Esteves, G.; Lundh, J.S.; Saltonstall, C.B.; Beechem, T.E.; Yang, J.I.; Ferri, K.; Brown, J.E.; Tang, Z.; et al. Thermal Conductivity of Aluminum Scandium Nitride for 5G Mobile Applications and Beyond. ACS Appl. Mater. Interfaces 2021, 13, 19031–19041. [Google Scholar] [CrossRef]
- Yang, G.; Wang, H.; Mu, S.; Xie, H.; Wang, T.; He, C.; Shen, M.; Liu, M.; Van de Walle, C.G.; Tang, H.X. Unveiling the Pockels coefficient of ferroelectric nitride ScAlN. Nat. Commun. 2024, 15, 9538. [Google Scholar] [CrossRef]
- Wang, P.; Wang, D.; Mondal, S.; Mi, Z. Ferroelectric N-polar ScAlN/GaN heterostructures grown by molecular beam epitaxy. Appl. Phys. Lett. 2022, 121, 023501. [Google Scholar] [CrossRef]
- Yang, D.-P.; Tang, X.-G.; Sun, Q.-J.; Chen, J.-Y.; Jiang, Y.-P.; Zhang, D.; Dong, H.-F. Emerging ferroelectric materials ScAlN: Applications and prospects in memristors. Mater. Horiz. 2024, 11, 2802–2819. [Google Scholar] [CrossRef]
- Liu, X.; Wang, D.; Kim, K.-H.; Katti, K.; Zheng, J.; Musavigharavi, P.; Miao, J.; Stach, E.A.; Olsson, R.H.; Jariwala, D. Post-CMOS compatible aluminum scandium nitride/2D channel ferroelectric field-effect-transistor memory. Nano Lett. 2021, 21, 3753–3761. [Google Scholar] [CrossRef]
- Gopakumar, G.; Abdin, Z.U.; Kumar, R.; Dzuba, B.; Nguyen, T.; Manfra, M.J.; Malis, O. Conduction-band engineering of polar nitride semiconductors with wurtzite ScAlN for near-infrared photonic devices. J. Appl. Phys. 2024, 135, 165701. [Google Scholar] [CrossRef]
- Zhu, S.; Zhong, Q.; Li, N.; Hu, T.; Dong, Y.; Xu, Z.; Zhou, Y.; Fu, Y.H.; Singh, N. Integrated ScAlN photonic circuits on silicon substrate. In Proceedings of the 2020 Conference on Lasers and Electro-Optics (CLEO), San Jose, CA, USA, 10–15 May 2020; pp. 1–2. [Google Scholar]
- Moram, M.; Zhang, S. ScGaN and ScAlN: Emerging nitride materials. J. Mater. Chem. A 2014, 2, 6042–6050. [Google Scholar] [CrossRef]
- Deng, R.; Jiang, K.; Gall, D. Optical phonon modes in Al1−xScxN. J. Appl. Phys. 2014, 115, 013506. [Google Scholar] [CrossRef]
- Mock, A.L.; Jacobs, A.G.; Jin, E.N.; Hardy, M.T.; Tadjer, M.J. Long-wavelength dielectric properties and infrared active optical phonon modes of molecular beam epitaxy ScxAl1−xN determined by infrared spectroscopic ellipsometry. Appl. Phys. Lett. 2020, 117, 232107. [Google Scholar] [CrossRef]
- Zhao, H.; Cheng, T.; Wang, G.; Zhang, L.; Ma, M.; Liu, J.; Yang, J.-Y.; Liu, L. Temperature-dependent infrared dielectric function and localized surface phonon polaritons in polar AlN. Opt. Express 2025, 33, 19810–19819. [Google Scholar] [CrossRef]
- Reyes-González, J.E.; Dellby, N.; Plotkin-Swing, B.; Wang, P.; Pandey, A.; Mi, Z.; Lagos, M.J. Unveiling phonon dispersion behavior of AlN/GaN heterostructures using EELS. Microsc. Microanal. 2023, 29, 354–355. [Google Scholar] [CrossRef]
- Ratchford, D.C.; Winta, C.J.; Chatzakis, I.; Ellis, C.T.; Passler, N.C.; Winterstein, J.; Dev, P.; Razdolski, I.; Matson, J.R.; Nolen, J.R.; et al. Controlling the infrared dielectric function through atomic-scale heterostructures. ACS Nano 2019, 13, 6730–6741. [Google Scholar] [CrossRef]
- Zhang, Y.; Gao, X.; Xia, H.; Mei, J.; Cui, Z.; Lai, J.; Chen, C. Tunable infrared surface phonon–plasmon coupling in graphene-integrated polar semiconductor heterostructure. APL Photonics 2023, 8, 126104. [Google Scholar] [CrossRef]
- Sharmila; Pandey, A.; Singh, N.; Garg, P.; Raman, R.; Kumar, P.S. Investigation of surface and interface phonon polariton in nitrogen-implanted GaN epi-layers. J. Appl. Phys. 2025, 137, 125302. [Google Scholar] [CrossRef]
- Barnett, J.; Wendland, D.; Lewin, M.; Wirth, K.G.; Heßler, A.; Taubner, T. Investigation of low-confinement surface phonon polariton launching on SiC and SrTiO3 using scanning near-field optical microscopy. Appl. Phys. Lett. 2022, 120, 211107. [Google Scholar] [CrossRef]
- Cheng, T.; Zhao, H.; Liu, L.; Yang, J.-Y. Temperature-dependent in-plane thermal conductivity of SrTiO3 membranes enhanced by surface phonon polaritons. Int. J. Therm. Sci. 2024, 202, 109077. [Google Scholar] [CrossRef]
- Ambacher, O.; Mihalic, S.; Yassine, M.; Yassine, A.; Afshar, N.; Christian, B. Review: Structural, elastic, and thermodynamic properties of cubic and hexagonal ScxAl1−xN crystals. J. Appl. Phys. 2023, 134, 160702. [Google Scholar] [CrossRef]
- Jiang, C. First-principles study of ternary bcc alloys using special quasi-random structures. Acta Mater. 2009, 57, 4716–4726. [Google Scholar] [CrossRef]
- Hohenberg, P.; Kohn, W. Inhomogeneous electron gas. Phys. Rev. 1964, 136, B864–B871. [Google Scholar] [CrossRef]
- Kohn, W.; Sham, L.J. Self-consistent equations including exchange and correlation effects. Phys. Rev. 1965, 140, A1133–A1138. [Google Scholar] [CrossRef]
- Perdew, J.P. Density-functional approximation for the correlation energy of the inhomogeneous electron gas. Phys. Rev. B 1986, 33, 8822. [Google Scholar] [CrossRef]
- Perdew, J.P.; Burke, K.; Ernzerhof, M. Generalized gradient approximation made simple. Phys. Rev. Lett. 1996, 77, 3865–3868. [Google Scholar] [CrossRef]
- Dong, H.; Li, Z.; Sun, B.; Zhou, Y.; Liu, L.; Yang, J.-Y. Thermal transport in disordered wurtzite ScAlN alloys using machine learning interatomic potentials. Mater. Today Commun. 2024, 39, 109213. [Google Scholar] [CrossRef]
- Furuta, K.; Hirata, K.; Anggraini, S.A.; Akiyama, M.; Uehara, M.; Yamada, H. First-principles calculations of spontaneous polarization in ScAlN. J. Appl. Phys. 2021, 130, 024104. [Google Scholar] [CrossRef]
- Dinh, D.V.; Lähnemann, J.; Geelhaar, L.; Brandt, O. Lattice parameters of ScxAl1−xN layers grown on GaN(0001) by plasma-assisted molecular beam epitaxy. Appl. Phys. Lett. 2023, 122, 152103. [Google Scholar] [CrossRef]
- Togo, A.; Chaput, L.; Tanaka, I.; Hug, G. First-principles phonon calculations of thermal expansion in Ti3SiC2, Ti3AlC2, and Ti3GeC2. Phys. Rev. B 2010, 81, 174301. [Google Scholar] [CrossRef]
- Lyddane, R.H.; Sachs, R.G.; Teller, E. On the polar vibrations of alkali halides. Phys. Rev. 1941, 59, 673–676. [Google Scholar] [CrossRef]
- Schubert, M.; Tiwald, T.; Herzinger, C. Infrared dielectric anisotropy and phonon modes of sapphire. Phys. Rev. B 2000, 61, 8187. [Google Scholar] [CrossRef]
- Huber, A.J.; Deutsch, B.; Novotny, L.; Hillenbrand, R. Focusing of surface phonon polaritons. Appl. Phys. Lett. 2008, 92, 203104. [Google Scholar] [CrossRef]
- Caldwell, J.D.; Vurgaftman, I.; Tischler, J.G.; Glembocki, O.J.; Owrutsky, J.C.; Reinecke, T.L. Atomic-scale photonic hybrids for mid-infrared and terahertz nanophotonics. Nat. Nanotechnol. 2016, 11, 9–15. [Google Scholar] [CrossRef]
- Huber, A.; Ocelic, N.; Kazantsev, D.; Hillenbrand, R. Near-field imaging of mid-infrared surface phonon polariton propagation. Appl. Phys. Lett. 2005, 87, 081103. [Google Scholar] [CrossRef]
- Cheng, T.; Zhao, H.; Kong, W.; Liu, L.; Yang, J.-Y. Leveraging surface phonon polaritons for enhanced Q-factor of mid-infrared BaTiO3 nanoresonators. J. Mater. Chem. C 2024, 12, 12266–12274. [Google Scholar] [CrossRef]
- Kalfagiannis, N.; Stoner, J.L.; Hillier, J.; Vangelidis, I.; Lidorikis, E. Mid- to far-infrared sensing: SrTiO3, a novel optical material. J. Mater. Chem. C 2019, 7, 7851–7857. [Google Scholar] [CrossRef]
- Yang, J.-Y.; Cheng, T.; Fei, T.; Zhang, C.; Liu, L. Temperature-induced surface phonon polaritons dissipation in perovskite SrTiO3. Opt. Lett. 2021, 46, 4244–4247. [Google Scholar] [CrossRef] [PubMed]








| ScxAl1-xN | Ordinary Dielectric Function | Extraordinary Dielectric Function | ||||
|---|---|---|---|---|---|---|
| ωTO [cm−1] | ωLO [cm−1] | RB Width [cm−1] | ωTO [cm−1] | ωLO [cm−1] | RB Width [cm−1] | |
| AlN | 671.34 | 910.50 | 239.16 | 615.00 | 879.40 | 264.40 |
| Sc0.04Al0.96N | 660.85 | 892.40 | 231.55 | 615.00 | 868.70 | 253.70 |
| Sc0.07Al0.93N | 660.52 | 885.60 | 225.08 | 615.00 | 862.00 | 247.00 |
| Sc0.10Al0.90N | 651.00 | 880.40 | 229.40 | 615.00 | 854.00 | 239.00 |
| Sc0.20Al0.80N | 636.80 | 862.70 | 225.90 | 635.00 | 770.00 | 235.00 |
Disclaimer/Publisher’s Note: The statements, opinions and data contained in all publications are solely those of the individual author(s) and contributor(s) and not of MDPI and/or the editor(s). MDPI and/or the editor(s) disclaim responsibility for any injury to people or property resulting from any ideas, methods, instructions or products referred to in the content. |
© 2025 by the authors. Licensee MDPI, Basel, Switzerland. This article is an open access article distributed under the terms and conditions of the Creative Commons Attribution (CC BY) license (https://creativecommons.org/licenses/by/4.0/).
Share and Cite
Zhao, H.; Cheng, T.; Duan, X.; Lv, M.; Yang, J.-Y.; Liu, L. Localized Surface Phonon Polaritons and Infrared Optical Absorption of ScAlN Nanoresonators. Materials 2025, 18, 3906. https://doi.org/10.3390/ma18163906
Zhao H, Cheng T, Duan X, Lv M, Yang J-Y, Liu L. Localized Surface Phonon Polaritons and Infrared Optical Absorption of ScAlN Nanoresonators. Materials. 2025; 18(16):3906. https://doi.org/10.3390/ma18163906
Chicago/Turabian StyleZhao, Huanhuan, Tao Cheng, Xinlei Duan, Mingxin Lv, Jia-Yue Yang, and Linhua Liu. 2025. "Localized Surface Phonon Polaritons and Infrared Optical Absorption of ScAlN Nanoresonators" Materials 18, no. 16: 3906. https://doi.org/10.3390/ma18163906
APA StyleZhao, H., Cheng, T., Duan, X., Lv, M., Yang, J.-Y., & Liu, L. (2025). Localized Surface Phonon Polaritons and Infrared Optical Absorption of ScAlN Nanoresonators. Materials, 18(16), 3906. https://doi.org/10.3390/ma18163906

