Clays as Dual-Function Materials for TNT Adsorption and Catalytic Degradation: An Experimental Approach
Abstract
1. Introduction
2. Materials and Methods
2.1. Pretreatment of Water Samples
2.2. Synthesis of Materials
2.3. Devices
3. Results
3.1. Materials Analysis
3.1.1. Brunauer–Emmett–Teller (BET) Analysis
3.1.2. X-Ray Diffraction (XRD) Analysis
3.1.3. Fourier Transform Infrared Spectroscopy (FTIR) Analysis
3.1.4. Scanning Electron Microscopy (SEM) Analysis
3.1.5. Energy Dispersive X-Ray (EDX) Spectroscopy
3.1.6. Thermogravimetric Analysis (TGA)
3.1.7. High-Performance Liquid Chromatography with Ultraviolet Detection (HPLC–UV) and Electrospray Ionization Mass Spectrometry (ESI-MS)
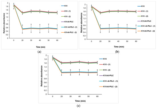
3.2. TNT Adsorption
3.2.1. The Influence of Adsorbent Mass
3.2.2. The Influence of Contact Time
3.2.3. Influence of pH
3.3. Catalytic Ozonation of TNT
Influence of the Catalyst Mass, O3 Dose, and Ozonation Time
4. Discussion
5. Conclusions
Author Contributions
Funding
Institutional Review Board Statement
Informed Consent Statement
Data Availability Statement
Conflicts of Interest
References
- GICHD. Guide to the Ageing of Explosive Ordnance in the Environment; GICHD: Geneva, Switzerland, 2023. [Google Scholar]
- Available online: https://www.bacau.net/munitie-din-al-doilea-razboi-mondial-descoperita-pe-un-teren-arabil-din-comuna-margineni/ (accessed on 28 July 2025).
- Available online: https://jurnalfm.ro/munitie-neexplodata-descoperita-pe-muntele-mic-din-slanic-moldova-foto/ (accessed on 28 July 2025).
- Gad, S.C. Trinitrotoluene. In Encyclopedia of Toxicology; Wexler, P., Ed.; Academic Press: Oxford, UK, 2014; pp. 855–857. [Google Scholar] [CrossRef]
- Čėnas, N.; Nemeikaitė-Čėnienė, A.; Kosychova, L. Single- and Two-Electron Reduction of Nitroaromatic Compounds by Flavoenzymes: Mechanisms and Implications for Cytotoxicity. Int. J. Mol. Sci. 2021, 22, 8534. [Google Scholar] [CrossRef]
- Nepali, K.; Lee, H.-Y.; Liou, J.-P. Nitro-Group-Containing Drugs. J. Med. Chem. 2019, 62, 2851–2893. [Google Scholar] [CrossRef]
- Koske, D.; Goldenstein, N.I.; Rosenberger, T.; Machulik, U.; Hanel, R.; Kammann, U. Dumped munitions: New insights into the metabolization of 2,4,6-trinitrotoluene in Baltic flatfish. Mar. Environ. Res. 2020, 160, 104992. [Google Scholar] [CrossRef]
- Adomako-Bonsu, A.G.; Jacobsen, J.; Maser, E. Metabolic activation of 2,4,6-trinitrotoluene; a case for ROS-induced cell damage. Redox Biol. 2024, 72, 103082. [Google Scholar] [CrossRef] [PubMed]
- Mariussen, E.; Stornes, S.M.; Bøifot, K.O.; Rosseland, B.O.; Salbu, B.; Heier, L.S. Uptake and effects of 2,4,6-trinitrotoluene (TNT) in juvenile Atlantic salmon (Salmo salar). Aquat. Toxicol. 2018, 194, 176–184. [Google Scholar] [CrossRef] [PubMed]
- Tomova, D.; Iliev, V.; Rakovsky, S.; Anachkov, M.; Eliyas, A.; Puma, G.L. Photocatalytic oxidation of 2,4,6-trinitrotoluene in the presence of ozone under irradiation with UV and visible light. J. Photochem. Photobiol. A Chem. 2012, 231, 1–8. [Google Scholar] [CrossRef]
- Yasar, H.; Ince, E.; Ince, M.; Uslu, Y.A. Determination of Optimum Conditions for the Degradation of 2,4,6-Trinitrotoluene (TNT) by Advanced Reduction Processes. Water Air Soil Pollut. 2023, 234, 771. [Google Scholar] [CrossRef]
- Wang, Y.; Liu, X.; Chen, B.; Zhang, Y. Rapid Adsorption of 2,4,6-trinitrotoluene by hierarchically porous indole-based aerogel. Colloids Surf. A Physicochem. Eng. Asp. 2022, 635, 127964. [Google Scholar] [CrossRef]
- Todde, G.; Jha, S.K.; Subramanian, G.; Shukla, M.K. Adsorption of TNT, DNAN, NTO, FOX7, and NQ onto cellulose, chitin, and cellulose triacetate. Insights from Density Functional Theory calculations. Surf. Sci. 2018, 668, 54–60. [Google Scholar] [CrossRef]
- Al Kausor, M.; Gupta, S.S.; Bhattacharyya, K.G.; Chakrabortty, D. Montmorillonite and modified montmorillonite as adsorbents for removal of water soluble organic dyes: A review on current status of the art. Inorg. Chem. Commun. 2022, 143, 109686. [Google Scholar] [CrossRef]
- Deng, L.; Yuan, P.; Liu, D.; Annabi-Bergaya, F.; Zhou, J.; Chen, F.; Liu, Z. Effects of microstructure of clay minerals, montmorillonite, kaolinite and halloysite, on their benzene adsorption behaviors. Appl. Clay Sci. 2017, 143, 184–191. [Google Scholar] [CrossRef]
- Duan, F.; Yang, F.; Mu, B.; Zhu, Y.; Wang, A. Production of functional materials from clay minerals and plants for natural resource utilization and sustainable development. J. Clean. Prod. 2024, 474, 143586. [Google Scholar] [CrossRef]
- Qi, J.; Yu, J.; Shah, K.J.; Shah, D.D.; You, Z.J.A.S. Applicability of clay/organic clay to environmental pollutants: Green way—An overview. Appl. Sci. 2023, 13, 9395. [Google Scholar] [CrossRef]
- Tejada-Tovar, C.; Villabona-Ortíz, Á.; Gonzalez-Delgado, Á.; Ortega-Toro, R.; Ortega-Puente, S. Simulation of Pb(II) and Ni(II) Adsorption in a Packed Column: Effects of Bed Height, Flow Rate, and Initial Concentration on Performance Metrics. Processes 2025, 13, 2141. [Google Scholar] [CrossRef]
- Rápó, E.; Tonk, S. Factors Affecting Synthetic Dye Adsorption; Desorption Studies: A Review of Results from the Last Five Years (2017–2021). Molecules 2021, 26, 5419. [Google Scholar] [CrossRef] [PubMed]
- Raji, Z.; Karim, A.; Karam, A.; Khalloufi, S. Adsorption of Heavy Metals: Mechanisms, Kinetics, and Applications of Various Adsorbents in Wastewater Remediation—A Review. Waste 2023, 1, 775–805. [Google Scholar] [CrossRef]
- Amin, M.M.; Teimouri, F. Comparison of simple ozonation and direct hydrogen peroxide processes in TNT removal from aqueous solution. J. Water Supply Res. Technol.-AQUA 2016, 65, 564–569. [Google Scholar] [CrossRef]
- Zarei, M.A.; Tahermansouri, H.; Bayat, Y. The Oxidation of 2,4,6-Trinitrotoluene with an Ozone-Oxygen Mixture: A Simple Method for Preparation of 1,3,5-Trinitrobenzene. J. Chem. 2013, 2013, 958286. [Google Scholar] [CrossRef]
- Faghani, M.H.; Mohammadipour, E.; Tarighi, S.; Naderifar, A.; Habibzadeh, S. High vanadium tolerant FCC catalyst by barium titanate as metal trap and passivator. Fuel 2024, 375, 132531. [Google Scholar] [CrossRef]
- Balci, S.; Tecimer, A. Physicochemical properties of vanadium impregnated Al-PILCs: Effect of vanadium source. Appl. Surf. Sci. 2015, 330, 455–464. [Google Scholar] [CrossRef]
- Rieger, P.-G.; Knackmuss, H.-J. Basic knowledge and perspectives on biodegradation of 2,4,6-trinitrotoluene and related nitroaromatic compounds in contaminated soil. In Biodegradation of Nitroaromatic Compounds; Springer: Boston, MA, USA, 1995; pp. 1–18. [Google Scholar]
- Bełdowski, J.; Achterberg, E.; Andresen, C.; Beck, A.; Brenner, M.; Böttcher, C.; Cumming, A.; Czub, M.; Frey, T.; Kammann, U.; et al. Thematic Assessment on Hazardous Submerged Objects in the Baltic Sea Warfare Materials in the Baltic Sea; Helsinki Commission—HELCOM: Helsinki, Finland, 2024. [Google Scholar]
- Maksimova, Y.G.; Maksimov, A.Y.; Demakov, V.A. Biotechnological Approaches to the Bioremediation of an Environment Polluted with Trinitrotoluene. Appl. Biochem. Microbiol. 2018, 54, 767–779. [Google Scholar] [CrossRef]
- Sutradhar, M.; Martins, L.M.D.R.S.; Guedes da Silva, M.F.C.; Pombeiro, A.J.L. Vanadium complexes: Recent progress in oxidation catalysis. Coord. Chem. Rev. 2015, 301–302, 200–239. [Google Scholar] [CrossRef]
- Sheven, D.G.; Pervukhin, V.V. Photolysis by UVA–Visible Light of TNT in Ethanolic, Aqueous-Ethanolic, and Aqueous Solutions According to Electrospray and Aerodynamic Thermal Breakup Droplet Ionization Mass Spectrometry. Molecules 2022, 27, 7992. [Google Scholar] [CrossRef]
- Hikal, W.M.; Weeks, B.L. Non-Isothermal Sublimation Kinetics of 2,4,6-Trinitrotoluene (TNT) Nanofilms. Molecules 2019, 24, 1163. [Google Scholar] [CrossRef]
- Kyprianou, D.; Berglund, M.; Emma, G.; Rarata, G.; Anderson, D.; Diaconu, G.; Exarchou, V. Synthesis of 2,4,6-Trinitrotoluene (TNT) Using Flow Chemistry. Molecules 2020, 25, 3586. [Google Scholar] [CrossRef]
- Kim, H.Y.; Song, H.G. Purification and characterization of NAD(P)H-dependent nitroreductase I from Klebsiella sp. C1 and enzymatic transformation of 2,4,6-trinitrotoluene. Appl. Microbiol. Biotechnol. 2005, 68, 766–773. [Google Scholar] [CrossRef]
- Gupta, S.; Goel, S.S.; Siebner, H.; Ronen, Z.; Ramanathan, G. Transformation of 2, 4, 6-trinitrotoluene by Stenotrophomonas strain SG1 under aerobic and anaerobic conditions. Chemosphere 2023, 311, 137085. [Google Scholar] [CrossRef] [PubMed]
- Cabrera, M.A.; Marquez, S.L.; Quezada, C.P.; Osorio, M.I.; Castro-Nallar, E.; Gonzalez-Nilo, F.D.; Perez-Donoso, J.M. Biotransformation of 2,4,6-Trinitrotoluene by Pseudomonas sp. TNT3 isolated from Deception Island, Antarctica. Environ. Pollut. 2020, 262, 113922. [Google Scholar] [CrossRef] [PubMed]
- Cai, X.; Servinsky, M.; Kiel, J.; Sund, C.; Bennett, G.N. Analysis of redox responses during TNT transformation by Clostridium acetobutylicum ATCC 824 and mutants exhibiting altered metabolism. Appl. Microbiol. Biotechnol. 2013, 97, 4651–4663. [Google Scholar] [CrossRef] [PubMed]
- Claus, H.; Bausinger, T.; Lehmler, I.; Perret, N.; Fels, G.; Dehner, U.; Preuss, J.; König, H. Transformation of 2,4,6-trinitrotoluene (TNT) by Raoultella terrigena. Biodegradation 2007, 18, 27–35. [Google Scholar] [CrossRef] [PubMed]
- Lamba, J.; Anand, S.; Dutta, J.; Chatterjee, S.; Nagar, S.; Celin, S.M.; Rai, P.K. Study on aerobic degradation of 2,4,6-trinitrotoluene (TNT) using Pseudarthrobacter chlorophenolicus collected from the contaminated site. Environ. Monit. Assess. 2021, 193, 80. [Google Scholar] [CrossRef] [PubMed]
- Essington, E.A.; Vezeau, G.E.; Cetnar, D.P.; Grandinette, E.; Bell, T.H.; Salis, H.M. An autonomous microbial sensor enables long-term detection of TNT explosive in natural soil. Nat. Commun. 2024, 15, 10471. [Google Scholar] [CrossRef] [PubMed]
- Li, N.; Yang, K.; Lin, C.; Yang, J. Enhanced biodegradation of trinitrotoluene in rhizosphere soil by native grasses. Front. Environ. Sci. 2024, 12, 1426203. [Google Scholar] [CrossRef]
- Flessner, U.; Jones, D.J.; Rozière, J.; Zajac, J.; Storaro, L.; Lenarda, M.; Pavan, M.; Jiménez-López, A.; Rodríguez-Castellón, E.; Trombetta, M.; et al. A study of the surface acidity of acid-treated montmorillonite clay catalysts. J. Mol. Catal. A Chem. 2001, 168, 247–256. [Google Scholar] [CrossRef]
- Li, Y.; Luo, J.; Liao, X.; Cao, H.; Pan, J.; James, A.; Li, H. Multiomics insights into the TNT degradation mechanism by Pantoea sp. BJ2 isolated from an ammunition destruction site. Chem. Eng. J. 2024, 497, 154957. [Google Scholar] [CrossRef]
- Amaral, H.I.; Fernandes, J.; Berg, M.; Schwarzenbach, R.P.; Kipfer, R. Assessing TNT and DNT groundwater contamination by compound-specific isotope analysis and 3H-3He groundwater dating: A case study in Portugal. Chemosphere 2009, 77, 805–812. [Google Scholar] [CrossRef]
- Cao, X.; Chen, M.; Wang, Y.; Shen, S.; Zhang, Z.; Li, B.; Sun, B. Al30 polycation pillared montmorillonite preparation and phosphate adsorption removal from water. Surf. Interfaces 2022, 29, 101780. [Google Scholar] [CrossRef]
- Platon, N.; Siminiceanu, I.; Miron, N.D.; Muntianu, G.; Zavada, R.M.; Isopencu, G.; Nistor, I.D. Preparation and characterization of new products obtained by pillaring process. Revista Chimie 2011, 62, 799–805. [Google Scholar]
- Available online: https://www.sigmaaldrich.com/RO/en/product/aldrich/281522#product-documentation (accessed on 7 May 2025).
- Georgescu, A.-M.; Platon, N.; Arus, V.-A.; Jinescu, C.; Nardou, F.; Nistor, I.-D. Study on the preparation and characterization of aluminum-pillared clays using montmorillonite K10. Sci. Study Research. Chem. Chem. Eng. Biotechnol. Food Ind. 2023, 24, 145–153. [Google Scholar]
- Imanipoor, J.; Ghafelebashi, A.; Mohammadi, M.; Dinari, M.; Ehsani, M.R. Fast and effective adsorption of amoxicillin from aqueous solutions by L-methionine modified montmorillonite K10. Colloids Surf. A Physicochem. Eng. Asp. 2021, 611, 125792. [Google Scholar] [CrossRef]
- Hortolomeu (Luncanu), A. Studies and Research on the Use of Unconventional Materials for the Removal of Pollutant Substances from Wine; Vasile Alecsandri University of Bacau: Bacău, Romania, 2023. [Google Scholar]
- González, B.; Pérez, A.H.; Trujillano, R.; Gil, A.; Vicente, M.A. Microwave-assisted pillaring of a montmorillonite with Al-polycations in concentrated media. Materials 2017, 10, 886. [Google Scholar] [CrossRef]
- Dos Santos, L.M.; Barbosa, F.F.; Bieseki, L.; Braga, T.P.; Pergher, S.B. Structural and Textural Properties of Al/Cu-and Al/Zn-Pillared Clays for Ethanol Conversion. Crystals 2025, 15, 203. [Google Scholar] [CrossRef]
- Bravo, A.G.; Vicente, M.A. Advances in Pillared Clays and Similar Materials; MDPI-Multidisciplinary Digital Publishing Institute: Basel, Switzerland, 2022. [Google Scholar]
- Sun, K.; Liu, Y.; Zhang, T.; Zhou, J.; Chen, J.; Ren, X.; Yang, Z.; Zeng, M. Modification of Pillared Intercalated Montmorillonite Clay as Heterogeneous Pd Catalyst Supports. Molecules 2023, 28, 7638. [Google Scholar] [CrossRef] [PubMed]
- O’Loughlin, E.J.; Boyanov, M.I.; Kemner, K.M. Reduction of vanadium (V) by iron (II)-bearing minerals. Minerals 2021, 11, 316. [Google Scholar] [CrossRef]
- Wu, Y.; Meng, C.; Guo, Q.; Sun, R.; Hu, S.; Yi, M.; Shen, J.; Sun, C. Insights into role of microstructure in TNT adsorption performances onto zeolite, diatomite and kaolinite particles. Discov. Appl. Sci. 2024, 6, 420. [Google Scholar] [CrossRef]
- Pak Jeong, W.; Knoke Kyle, L.; Noguera Daniel, R.; Fox Brian, G.; Chambliss Glenn, H. Transformation of 2,4,6-Trinitrotoluene by Purified Xenobiotic Reductase B from Pseudomonas fluorescensI-C. Appl. Environ. Microbiol. 2000, 66, 4742–4750. [Google Scholar] [CrossRef]
- Habineza, A.; Jun, Z.; Mai, T.; Mmereki, D.; Ntakirutimana, T. Biodegradation of 2,4,6-Trinitrotoluene (TNT) in Contaminated Soil and Microbial Remediation Options for Treatment. Period. Polytech. Chem. Eng. 2017, 61, 171–187. [Google Scholar] [CrossRef]
- Meyer, R.; Köhler, J.; Homburg, A. Explosives, Sixth, Completely, Revised ed.; Wiley-VCH & Co. KGaA: Weinheim, Germany, 2007. [Google Scholar]
- Available online: https://www.bulletpicker.com/amatol.html (accessed on 27 July 2025).
- Weissmahr, K.W.; Hildenbrand, M.; Schwarzenbach, R.P.; Haderlein, S.B. Laboratory and Field Scale Evaluation of Geochemical Controls on Groundwater Transport of Nitroaromatic Ammunition Residues. Environ. Sci. Technol. 1999, 33, 2593–2600. [Google Scholar] [CrossRef]
- Kammann, U.K.R.; Töpker, V.; Scharsack, J.P. Tracking explosive contaminants from dumped munition in the western Baltic Sea via urine and bile analysis of three flatfish species. Environ. Sci. Eur. 2025, 37, 32. [Google Scholar] [CrossRef]
- Georgescu, A.-M.; Brabie, G.; Nistor, I.D.; Penot, C.; Nardou, F. Synthesis and characterization of Cr-pillared clays: Modelling using factorial design methodology. J. Porous Mater. 2015, 22, 1009–1019. [Google Scholar] [CrossRef]
- Boudissa, F.; Mirilà, D.; Arus, V.-A.; Terkmani, T.; Semaan, S.; Proulx, M.; Nistor, I.-D.; Roy, R.; Azzouz, A. Acid-treated clay catalysts for organic dye ozonation–Thorough mineralization through optimum catalyst basicity and hydrophilic character. J. Hazard. Mater. 2019, 364, 356–366. [Google Scholar] [CrossRef]
- Romero, R. Application of Pillared Clays for Water Recovery. Catalysts 2025, 15, 159. [Google Scholar] [CrossRef]
- Roca Jalil, M.E.; Baschini, M.; Sapag, K. Removal of Ciprofloxacin from Aqueous Solutions Using Pillared Clays. Materials 2017, 10, 1345. [Google Scholar] [CrossRef]
- Muñoz, H.-J.; Blanco, C.; Gil, A.; Vicente, M.-Á.; Galeano, L.-A. Preparation of Al/Fe-Pillared Clays: Effect of the Starting Mineral. Materials 2017, 10, 1364. [Google Scholar] [CrossRef]
- Parodia, A.; Prasniski, J.A.; Bertella, F.; Pergher, S.B.C. Keggin-Al13 Polycations: Influence of Synthesis and Intercalation Parameters on the Structural Properties of Al-Pillared Clays. Minerals 2021, 11, 1211. [Google Scholar] [CrossRef]
- Inchaurrondo, N.S.; Font, J. Clay, Zeolite and Oxide Minerals: Natural Catalytic Materials for the Ozonation of Organic Pollutants. Molecules 2022, 27, 2151. [Google Scholar] [CrossRef] [PubMed]
- Pandey, P.; Saini, V.K. Pillared Interlayered Clays for Pollution Remediation. In Green Adsorbents for Pollutant Removal: Innovative materials; Crini, G., Lichtfouse, E., Eds.; Springer International Publishing: Cham, Switzerland, 2018; pp. 353–376. [Google Scholar] [CrossRef]
- Widi, R.K. Pillared Interlayered Clays (PILCs): Harnessing Their Potential as Adsorbents and Catalysts—A Mini Review; University of Surabaya: Surabaya, Indonesia, 2023. [Google Scholar]
- Sabre, E.V.; Viola, B.M.; Cánepa, A.L.; Casuscelli, S.G. Vanadium Supported on Titanium Pillared Montmorillonite Clay for the Selective Catalytic Oxidation of Benzyl Alcohol. Top. Catal. 2022, 65, 1373–1381. [Google Scholar] [CrossRef]
- Bahranowski, K.; Janas, J.; Machej, T.; Serwicka, E.M.; Vartikian, L.A. Vanadium-doped titania-pillared montmorillonite clay as a catalyst for selective catalytic reduction of NO by ammonia. Clay Miner. 1997, 32, 665–672. [Google Scholar] [CrossRef]


















| Sample ID | Sampling Site | GPS Coordinates | Pretreatment | pH | Water Temperature (°C) | TNT Concentration (M) | Date |
|---|---|---|---|---|---|---|---|
| S1 | Trotuș river, Asău | 46.496482 N, 26.373015 E | Freezing −20 °C, 48 h | 6.8 | 8.2 | ≈10−5 M | May 2024 |
| S2 | Trotuș river, Dofteana | 46.338166 N, 26.535949 E | Freezing −20 °C, 48 h | 6.9 | 9.6 | ≈10−4 M | June 2024 |
| S3 | Leșunțul Mare brook, Oituz | 46.162721 N, 26.565539 E | Freezing −20 °C, 48 h | 6.4 | 10.1 | ≈10−5 M | July 2024 |
| S4 | Sulța brook, Agăș | 46.450620 N, 26.205801 E | Freezing −20 °C, 48 h, 30 min | 6.8 | 8.3 | ≈10−4 M | July 2024 |
| S5 | Plaiul Arșiței-Cireșu-Leșunț, Oituz | 46.166637 N, 26.593792 E | Thermal treatment 70 °C, 30 min | 7.4 | 13.6 | ≈10−4 M | April 2025 |
| Sample ID | Specific Surface Area (m2·g−1) | Total Pore Volume (cm3·g−1) | Average Pore Diameter (nm) |
|---|---|---|---|
| K10 | 241.11 | ~36.0 | ~6.0 |
| K10-Al-PILC | 186.247 | 0.171 | 4.549 |
| K10-Al-PILC-V | 176.51 | 0.158 | 4.564 |
| Sample | Stage | Tonset (°C) | Tmax (°C) | Tendset (°C) | Δmi (%) | Residue % |
|---|---|---|---|---|---|---|
| K10 | I | 28.71 | 35.79 | 225.80 | 6.89 | 89.06 |
| II | 225.8 | 481.65 | 528.81 | 2.29 | ||
| III | 528.81 | 589.28 | 698.02 | 1.47 | ||
| K10-Al-PILC | I | 23.49 | 38.32 | 329.83 | 9.28 | 87.43 |
| II | 329.83 | 477.05 | 521.10 | 2.24 | ||
| III | 521.10 | 657.12 | 698.02 | 1.41 | ||
| K10-Al-PILC-V | I | 18.75 | 41.55 | 331.23 | 10.55 | 85.66 |
| II | 331.23 | 457.69 | 518.60 | 2.17 | ||
| III | 518.60 | 670.87 | 698.02 | 1.75 |
| Adsorbent/Catalyst | Amount (mg) | Adsorption Yield (%) | Ozone Dose (g·h−1) | Catalytic Ozonation Yield (%) |
|---|---|---|---|---|
| K10 | 50 | 14.02 ± 0.11 | 0.5 | 11.35 ± 0.07 |
| 1 | 14.52 ± 0.10 | |||
| 1.5 | 17.15 ± 0.19 | |||
| 2 | 32.64 ± 0.23 | |||
| 100 | 15.77 ± 0.13 | 0.5 | 26.36 ± 0.173 | |
| 1 | 29.77 ± 0.21 | |||
| 1.5 | 34.38 ± 0.24 | |||
| 2 | 35.12 ± 0.25 | |||
| 150 | 23.34 ± 0.17 | 0.5 | 30.23 ± 0.21 | |
| 1 | 31.08 ± 0.22 | |||
| 1.5 | 31.08 ± 0.22 | |||
| 2 | 33.65 ± 0.23 | |||
| K10-Al-PILC | 50 | 40.79 ± 0.32 | 0.5 | 27.13 ± 0.18 |
| 1 | 29.75 ± 0.21 | |||
| 1.5 | 28.24 ± 0.19 | |||
| 2 | 33.63 ± 0.23 | |||
| 100 | 68.26 ± 0.52 | 0.5 | 36.64 ± 0.26 | |
| 1 | 58.84 ± 0.39 | |||
| 1.5 | 40.36 ± 0.28 | |||
| 2 | 43.76 ± 0.30 | |||
| 150 | 71.98 ± 0.55 | 0.5 | 52.84 ± 0.36 | |
| 1 | 70.73 ± 0.47 | |||
| 1.5 | 56.48 ± 0.39 | |||
| 2 | 64.74 ± 0.44 | |||
| K10-Al-PILC-V | 50 | - | 0.5 | 40.21 ± 0.26 |
| 1 | 34.57 ± 0.24 | |||
| 1.5 | 42.37 ± 0.28 | |||
| 2 | 38.85 ± 0.26 | |||
| 100 | - | 0.5 | 64.65 ± 0.44 | |
| 1 | 81.95 ± 0.57 | |||
| 1.5 | 67.81 ± 0.47 | |||
| 2 | 76.02 ± 0.50 | |||
| 150 | - | 0.5 | 54.43 ± 0.37 | |
| 1 | 78.70 ± 0.53 | |||
| 1.5 | 82.28 ± 0.56 | |||
| 2 | 82.22 ± 0.56 |
Disclaimer/Publisher’s Note: The statements, opinions and data contained in all publications are solely those of the individual author(s) and contributor(s) and not of MDPI and/or the editor(s). MDPI and/or the editor(s) disclaim responsibility for any injury to people or property resulting from any ideas, methods, instructions or products referred to in the content. |
© 2025 by the authors. Licensee MDPI, Basel, Switzerland. This article is an open access article distributed under the terms and conditions of the Creative Commons Attribution (CC BY) license (https://creativecommons.org/licenses/by/4.0/).
Share and Cite
Doroftei, R.F.; Mirila, D.; Silion, M.; Ionita, D.; Rosu, A.-M.; Munteanu, C.; Istrate, B.; Muntianu, G.; Georgescu, A.-M.; Nistor, I.-D. Clays as Dual-Function Materials for TNT Adsorption and Catalytic Degradation: An Experimental Approach. Materials 2025, 18, 3824. https://doi.org/10.3390/ma18163824
Doroftei RF, Mirila D, Silion M, Ionita D, Rosu A-M, Munteanu C, Istrate B, Muntianu G, Georgescu A-M, Nistor I-D. Clays as Dual-Function Materials for TNT Adsorption and Catalytic Degradation: An Experimental Approach. Materials. 2025; 18(16):3824. https://doi.org/10.3390/ma18163824
Chicago/Turabian StyleDoroftei, Raluca Florenta, Diana Mirila, Mihaela Silion, Daniela Ionita, Ana-Maria Rosu, Corneliu Munteanu, Bogdan Istrate, Gabriela Muntianu, Ana-Maria Georgescu, and Ileana-Denisa Nistor. 2025. "Clays as Dual-Function Materials for TNT Adsorption and Catalytic Degradation: An Experimental Approach" Materials 18, no. 16: 3824. https://doi.org/10.3390/ma18163824
APA StyleDoroftei, R. F., Mirila, D., Silion, M., Ionita, D., Rosu, A.-M., Munteanu, C., Istrate, B., Muntianu, G., Georgescu, A.-M., & Nistor, I.-D. (2025). Clays as Dual-Function Materials for TNT Adsorption and Catalytic Degradation: An Experimental Approach. Materials, 18(16), 3824. https://doi.org/10.3390/ma18163824

