Atomistic Mechanisms and Temperature-Dependent Criteria of Trap Mutation in Vacancy–Helium Clusters in Tungsten
Abstract
1. Introduction
2. Computational Methods
3. Results and Discussion
3.1. Atomic Displacement as a Signature of Trap Mutation in Helium-Loaded Vacancy Clusters
3.2. Atomistic Mechanisms of Trap Mutation at 0 K: Critical Thresholds and Structural Evolution
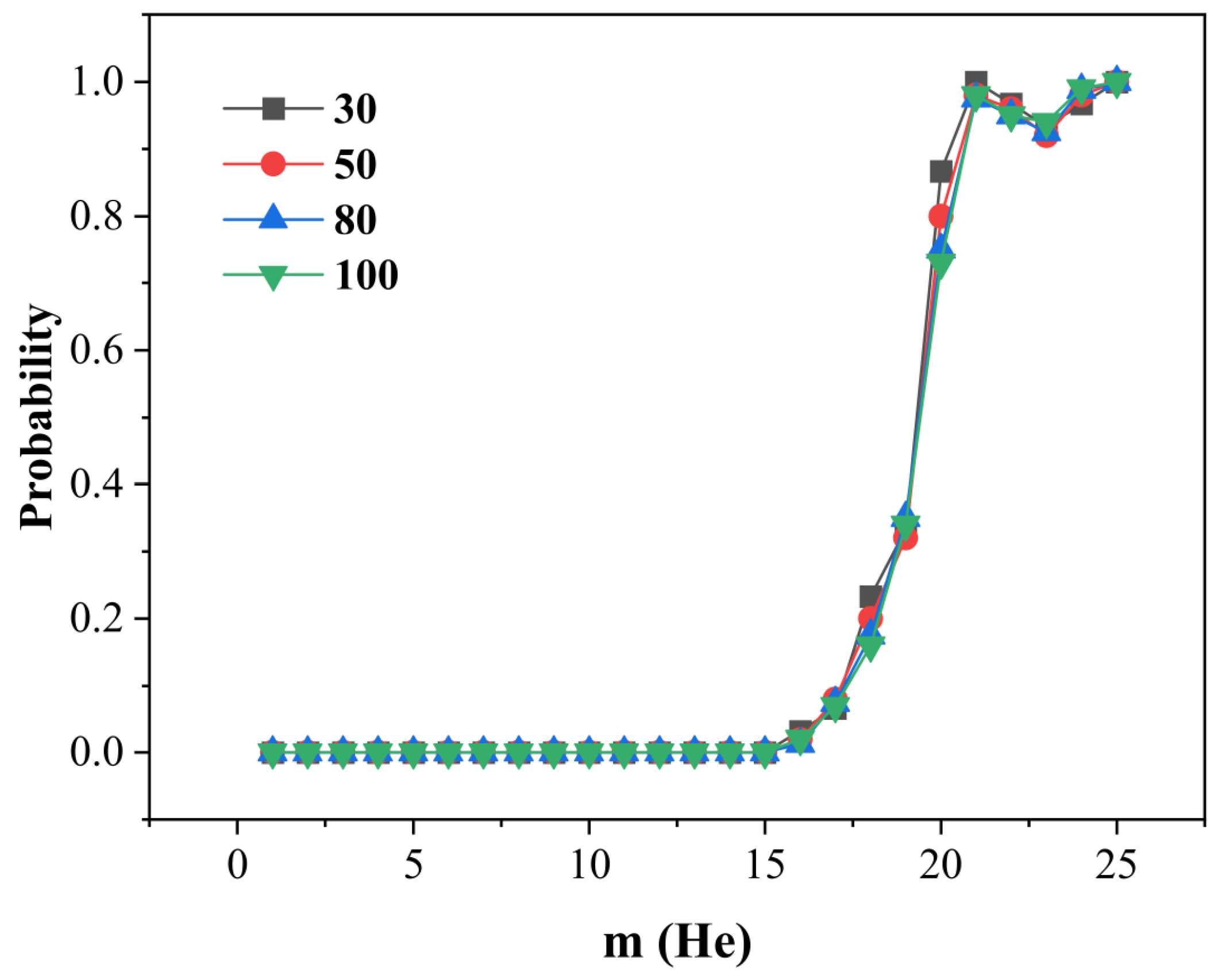
3.3. Thermally Activated Trap Mutation and Stability Thresholds of Clusters
4. Conclusions
Author Contributions
Funding
Institutional Review Board Statement
Informed Consent Statement
Data Availability Statement
Acknowledgments
Conflicts of Interest
Abbreviations
| MD | Molecular dynamics |
| MS | Molecular statics |
| Vac | Vacancy |
| SIA | Self-interstitial atom |
| He | Helium |
| He/V | helium-to-vacancy ratio |
References
- Howard, L.; Parker, G.D.; Yu, X.Y. Progress and Challenges of Additive Manufacturing of Tungsten and Alloys as Plasma-Facing Materials. Materials 2024, 17, 2104. [Google Scholar] [CrossRef]
- Ialovega, M.; Bernard, E.; Barthe, M.F.; Bisson, R.; Campos, A.; Cabié, M.; Neisius, T.; Sakamoto, R.; Kreter, A.; Grisolia, C.; et al. Helium-induced morphology evolution in tungsten under thermal treatment. Nucl. Fusion 2022, 62, 126022. [Google Scholar] [CrossRef]
- Peng, J.G.; Lu, Y.F.; Zhu, X.L.; Zhang, T.G.; Song, H.F.; Li, B.C.; Cheng, L.; Meng, X.C.; Xie, H.X.; Hao, S.J.; et al. Concentration dependence of the retarding effect on tungsten recrystallization under high-dose helium ion implantation. Nucl. Fusion 2025, 65, 046017. [Google Scholar] [CrossRef]
- Wang, H.Q.; Yuan, Y.; Fu, B.Q.; Greuner, H.; Böswirth, B.; Ren, M.C.; Nie, Y.F.; Zhang, P.; Cao, X.Z.; Lu, G.H. Surface damage in tungsten induced by high heat flux helium irradiation at high temperatures across melting point. Nucl. Fusion 2025, 65, 026011. [Google Scholar] [CrossRef]
- Abd El Keriem, M.S.; Van der Werf, D.P.; Pleiter, F. Helium-vacancy interaction in tungsten. Phys. Rev. B 1993, 47, 14771. [Google Scholar] [CrossRef]
- Becquart, C.; Domain, C. Migration energy of He in W revisited by ab initio calculations. Phys. Rev. Lett. 2006, 97, 196402. [Google Scholar] [CrossRef]
- Perez, D.; Vogel, T.; Uberuaga, B.P. Diffusion and transformation kinetics of small helium clusters in bulk tungsten. Phys. Rev. B 2014, 90, 014102. [Google Scholar] [CrossRef]
- Boisse, J.; Domain, C.; Becquart, C. Modelling self-trapping and trap mutation in tungsten using DFT and Molecular Dynamics with an empirical potential based on DFT. J. Nucl. Mater. 2014, 455, 10–15. [Google Scholar] [CrossRef]
- Xie, H.; Gao, N.; Xu, K.; Lu, G.H.; Yu, T.; Yin, F. A new loop-punching mechanism for helium bubble growth in tungsten. Acta Mater. 2017, 141, 10–17. [Google Scholar] [CrossRef]
- Kong, X.S.; You, Y.W.; Li, X.Y.; Wu, X.B.; Liu, C.S.; Chen, J.L.; Luo, G.N. Towards understanding the differences in irradiation effects of He, Ne and Ar plasma by investigating the physical origin of their clustering in tungsten. Nucl. Fusion 2016, 56, 106002. [Google Scholar] [CrossRef]
- Huang, G.Y.; Juslin, N.; Wirth, B.D. First-principles study of vacancy, interstitial, noble gas atom interstitial and vacancy clusters in bcc-W. Comp. Mater. Sci. 2016, 123, 121–130. [Google Scholar] [CrossRef]
- Wang, J.L.; Guo, Z.C.; Dang, W.Q.; Liu, D.P. Molecular dynamics investigation of the configuration and shape of helium clusters in tungsten. Nucl. Fusion 2020, 60, 126015. [Google Scholar] [CrossRef]
- Wang, J.L.; Liu, D.P.; Dang, W.Q.; Guo, Z.C.; Song, W. Segregation and coalescence behavior of helium bubbles in tungsten. J. Nucl. Mater. 2021, 544, 152732. [Google Scholar] [CrossRef]
- Qiu, M.J.; Hou, Q.; Fu, B.Q.; Cui, J.C. On the interactions of interstitial helium atom with helium bubble in tungsten: A molecular dynamics study. J. Nucl. Mater. 2022, 567, 153799. [Google Scholar] [CrossRef]
- Fu, Z.Z.; Wang, J.R.; Pan, B.C. Microscopic mechanism of nucleation and growth of helium bubbles in monovacancy in tungsten: Helium regulates the charged states of tungsten atoms. Nucl. Fusion 2023, 63, 096013. [Google Scholar] [CrossRef]
- Fu, Z.Z.; Pan, B.C. Electronically Temperature-Dependent Interplay between He and Trivacancy in Tungsten Plasma-Facing Materials. Materials 2024, 17, 2182. [Google Scholar] [CrossRef]
- Song, C.; Hou, J.; Kong, X.S.; Chen, L.; Wang, S.; Liu, C.S. Structures and energetics of multiple helium atoms in a tungsten monovacancy. J. Nucl. Mater. 2022, 561, 153577. [Google Scholar] [CrossRef]
- Song, C.; Kong, X.S.; Hou, J.; Liu, C.S.; Xie, Z.M. Improving helium bubble models in tungsten: Refined structural and energetic insights. J. Nucl. Mater. 2025, 608, 155743. [Google Scholar] [CrossRef]
- Li, X.C.; Liu, Y.N.; Yu, Y.; Luo, G.N.; Shu, X.L.; Lu, G.H. Helium defects interactions and mechanism of helium bubble growth in tungsten: A molecular dynamics simulation. J. Nucl. Mater. 2014, 451, 356–360. [Google Scholar] [CrossRef]
- Chen, Y.; Fang, J.; Liao, X.; Gao, N.; Hu, W.; Zhou, H.B.; Deng, H. Energetics and diffusional properties of helium in W-Ta systems studied by a new ternary potential. J. Nucl. Mater. 2021, 549, 152913. [Google Scholar] [CrossRef]
- Xu, S.; Fan, X.F.; Gu, C.Z.; Shi, Y.F.; Singh, D.J.; Zheng, W. Molecular dynamics simulation of bubble growth under surface of tungsten under helium irradiation. J. Nucl. Mater. 2023, 573, 154154. [Google Scholar] [CrossRef]
- Yang, L.; Wirth, B.D. Energetics of hydrogen and helium-vacancy complexes in bulk and near surfaces of tungsten: First-principles study. J. Appl. Phys. 2018, 123, 215104. [Google Scholar] [CrossRef]
- Rieth, M.; Doerner, R.P.; Hasegawa, A.; Ueda, Y.; Wirtz, M. Behavior of tungsten under irradiation and plasma interaction. J. Nucl. Mater. 2019, 519, 334–368. [Google Scholar] [CrossRef]
- Yang, Z.C.; Fan, J.Y. Modeling tungsten response under helium plasma irradiation: A review. Plasma Sci. Technol. 2022, 24, 124006. [Google Scholar] [CrossRef]
- Fang, J.Z.; Deng, H.Q.; Hu, W.Y.; Gao, N.; Tong, Y.G.; Hu, Y.L.; Wang, S.J.; Wang, K.M. Influence of temperature gradients on helium diffusion and clustering in tungsten: A molecular dynamics study. Fus. Sci. Technol. 2024, 208, 114687. [Google Scholar] [CrossRef]
- Jiang, C.; Zhang, Y.; Aagesen, L.K.; Jokisaari, A.M.; Sun, C. Noble gas bubbles in bcc metals: Ab initio-based theory and kinetic Monte Carlo modeling. Acta Mater. 2021, 213, 116961. [Google Scholar] [CrossRef]
- Plimpton, S. Fast parallel algorithms for short-range molecular dynamics. J. Comput. Phys. 1995, 117, 1–19. [Google Scholar] [CrossRef]
- Juslin, N.; Wirth, B.D. Interatomic potentials for simulation of He bubble formation in W. J. Nucl. Mater. 2013, 432, 61–66. [Google Scholar] [CrossRef]
- Hou, J.; You, Y.W.; Kong, X.S.; Song, J.; Liu, C.S. Accurate prediction of vacancy cluster structures and energetics in bcc transition metals. Acta Mater. 2021, 211, 116860. [Google Scholar] [CrossRef]
- Hammond, K.D.; Blondel, S.; Hu, L.; Maroudas, D.; Wirth, B.D. Large-scale atomistic simulations of low-energy helium implantation into tungsten single crystals. Acta Mater. 2018, 144, 561–578. [Google Scholar] [CrossRef]










Disclaimer/Publisher’s Note: The statements, opinions and data contained in all publications are solely those of the individual author(s) and contributor(s) and not of MDPI and/or the editor(s). MDPI and/or the editor(s) disclaim responsibility for any injury to people or property resulting from any ideas, methods, instructions or products referred to in the content. |
© 2025 by the authors. Licensee MDPI, Basel, Switzerland. This article is an open access article distributed under the terms and conditions of the Creative Commons Attribution (CC BY) license (https://creativecommons.org/licenses/by/4.0/).
Share and Cite
Kong, X.-S.; Ran, F.-F.; Song, C. Atomistic Mechanisms and Temperature-Dependent Criteria of Trap Mutation in Vacancy–Helium Clusters in Tungsten. Materials 2025, 18, 3518. https://doi.org/10.3390/ma18153518
Kong X-S, Ran F-F, Song C. Atomistic Mechanisms and Temperature-Dependent Criteria of Trap Mutation in Vacancy–Helium Clusters in Tungsten. Materials. 2025; 18(15):3518. https://doi.org/10.3390/ma18153518
Chicago/Turabian StyleKong, Xiang-Shan, Fang-Fang Ran, and Chi Song. 2025. "Atomistic Mechanisms and Temperature-Dependent Criteria of Trap Mutation in Vacancy–Helium Clusters in Tungsten" Materials 18, no. 15: 3518. https://doi.org/10.3390/ma18153518
APA StyleKong, X.-S., Ran, F.-F., & Song, C. (2025). Atomistic Mechanisms and Temperature-Dependent Criteria of Trap Mutation in Vacancy–Helium Clusters in Tungsten. Materials, 18(15), 3518. https://doi.org/10.3390/ma18153518

