Influence of Temperature on the Optical Properties of Ternary Organic Thin Films for Photovoltaics
Abstract
1. Introduction
2. Materials and Methods
3. Results and Discussion
3.1. UV–Vis Spectroscopy
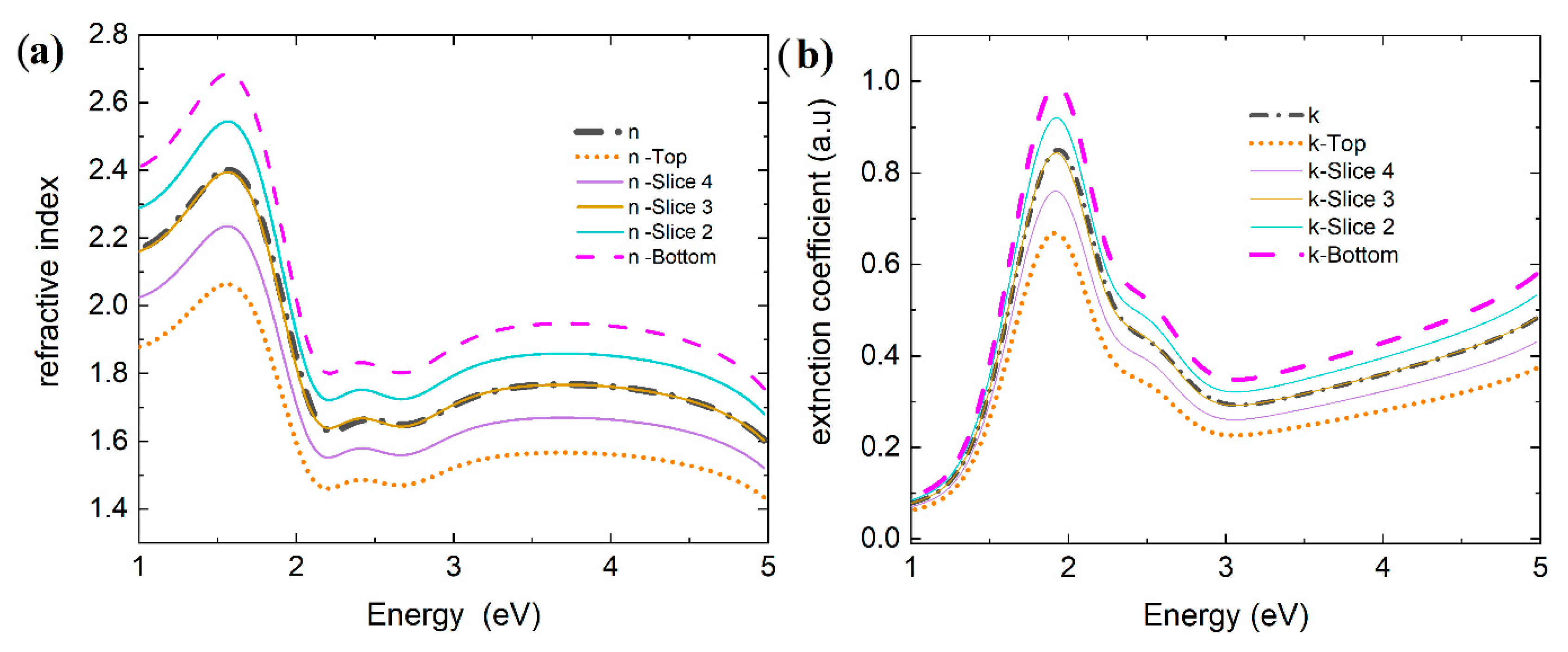
3.2. Ellipsometry
3.3. Third Harmonic Generation
- -
- d is the thickness of the sample,
- -
- is the THG maximum intensity value of the considered material,
- -
- is the THG maximum-intensity value of silica as the reference material,
- -
- −22 is the third-order susceptibility for silica,
- -
- is the linear absorption coefficient of the material at a wavelength of 355 nm,
- -
- μm is the coherence length of the silica glass.
4. Conclusions
Supplementary Materials
Author Contributions
Funding
Institutional Review Board Statement
Informed Consent Statement
Data Availability Statement
Conflicts of Interest
References
- Amruth, C.; Pahlevani, M.; Welch, G.C. Organic light emitting diodes (OLEDs) with slot-die coated functional layers. Mater. Adv. 2021, 2, 628–645. [Google Scholar]
- Shen, Z.; Lü, Z.; Chen, Z.; Wang, J.; Mu, H. Achievement and mechanism of large-scale color tunable OLEDs based on interfacial charge transfer complexes with dual donors. Appl. Phys. Lett. 2024, 125, 101101. [Google Scholar] [CrossRef]
- Zhang, J.; Wu, M.; Zheng, D.; Zhao, J.; Yu, J. High EQE of 43.76% in solution-processed OLEDs operating at a wavelength of 626 nm. Appl. Phys. Lett. 2024, 125, 121102. [Google Scholar] [CrossRef]
- Sharma, V.V.; Landep, A.; Lee, S.-Y.; Park, S.-J.; Kim, Y.-H.; Kim, G.-H. Recent advances in polymeric and small molecule donor materials for Y6 based organic solar cells. Next Energy 2024, 2, 100086. [Google Scholar] [CrossRef]
- Mavlonov, A.; Hishikawa, Y.; Kawano, Y.; Negami, T.; Hayakawa, A.; Tsujimura, S.; Okumura, T.; Minemoto, T. Thermal stability test on flexible perovskite solar cell modules to estimate activation energy of degradation on temperature. Sol. Energy Mater. Sol. Cells 2024, 277, 113148. [Google Scholar] [CrossRef]
- Jain, A.; Kothari, R.; Tyagi, V.V.; Kumar Rajamony, R.; Shakeel Ahmad, M.; Mohan Singh, H.; Raina, S.; Pandey, A.K. Advances in organic solar cells: Materials, progress, challenges and amelioration for sustainable future. Sustain. Energy Technol. Assessments 2024, 63, 103632. [Google Scholar] [CrossRef]
- Liu, K.; Ouyang, B.; Guo, X.; Guo, Y.; Liu, Y. Advances in flexible organic field-effect transistors and their applications for flexible electronics. npj Flex. Electron. 2022, 6, 1. [Google Scholar] [CrossRef]
- Wang, W.; He, Z.; Di, C.; Zhu, D. Advances in organic transistors for artificial perception applications. Mater. Today Electron. 2023, 3, 100028. [Google Scholar] [CrossRef]
- Akbari, M.K.; Zhuiykov, S.; Zschieschang, S.U.; Klauk, H.; Zschieschang, U. Organic transistors on paper: A brief review. J. Mater. Chem. C 2019, 7, 5522–5533. [Google Scholar]
- Yuan, L.; Liu, S.; Chen, W.; Fan, F.; Liu, G. Organic Memory and Memristors: From Mechanisms, Materials to Devices. Adv. Electron. Mater. 2021, 7, 2100432. [Google Scholar] [CrossRef]
- Park, H.L.; Kim, M.H.; Kim, M.H.; Lee, S.H. Reliable organic memristors for neuromorphic computing by predefining a localized ion-migration path in crosslinkable polymer. Nanoscale 2020, 12, 22502–22510. [Google Scholar] [CrossRef]
- Kim, H.; Kim, M.; Lee, A.; Park, H.-L.; Jang, J.; Bae, J.-H.; Kang, I.M.; Kim, E.-S.; Lee, S.-H.; Kim, H.; et al. Organic Memristor-Based Flexible Neural Networks with Bio-Realistic Synaptic Plasticity for Complex Combinatorial Optimization. Adv. Sci. 2023, 10, 2300659. [Google Scholar] [CrossRef] [PubMed]
- Tang, C.W.; Vanslyke, S.A. Organic electroluminescent diodes. Appl. Phys. Lett. 1987, 51, 913–915. [Google Scholar] [CrossRef]
- An, Q.; Zhang, F.; Zhang, J.; Tang, W.; Deng, Z.; Hu, B. Versatile ternary organic solar cells: A critical review. Energy Environ. Sci. 2016, 9, 281–322. [Google Scholar] [CrossRef]
- Ameri, T.; Khoram, P.; Min, J.; Brabec, C.J. Organic ternary solar cells: A review. Adv. Mater. 2013, 25, 4245–4266. [Google Scholar] [CrossRef] [PubMed]
- Liu, J.; Zhao, S.; Huang, Y.; Xu, Z.; Qiao, B.; Yang, L.; Zhu, Y.; Li, Z.; Yuan, B.; Xu, X. Improving charge transport and suppressing charge recombination in small molecule ternary solar cells via incorporating Bis-PC71BM as a cascade material. Org. Electron. 2017, 46, 126–132. [Google Scholar] [CrossRef]
- Su, Z.; Zhang, Z.; Xie, G.; Zhang, Y.; Zhang, X.; Zhang, W.; Zhang, J. Over 16.5% efficiency in ternary organic solar cells by adding an alloyed acceptor with energy transfer process. Dye. Pigment. 2021, 192, 109434. [Google Scholar] [CrossRef]
- Wang, H.; Zhang, Z.; Liu, X.; Qu, S.; Guang, S.; Ye, Z.; Yu, J.; Tang, W. 14.55% efficiency PBDB-T ternary organic solar cells enabled by two alloy-forming acceptors featuring distinct structural orders. Chem. Eng. J. 2020, 413, 127444. [Google Scholar] [CrossRef]
- Tang, W.; Peng, W.; Zhu, M.; Jiang, H.; Wang, W.; Xia, H.; Yang, R.; Inganäs, O.; Tan, H.; Bian, Q.; et al. 17.25% high efficiency ternary solar cells with increased open-circuit voltage using a high HOMO level small molecule guest donor in a PM6:Y6 blend. J. Mater. Chem. A 2021, 9, 20493–20501. [Google Scholar] [CrossRef]
- Jiang, Y.; Sun, S.; Xu, R.; Liu, F.; Miao, X.; Ran, G.; Liu, K.; Yi, Y.; Zhang, W.; Zhu, X. Non-fullerene acceptor with asymmetric structure and phenyl-substituted alkyl side chain for 20.2% efficiency organic solar cells. Nat. Energy 2024, 9, 975–986. [Google Scholar] [CrossRef]
- Majhi, J.; Ghosh, S.; Priya, K.; Sharma, S.; Bandyopadhyay, A. A critical review on the progress of emerging active and substrate materials for organic solar cells and device level fabrication techniques by solution process method. Next Mater. 2025, 8, 100595. [Google Scholar] [CrossRef]
- Chen, Q.; Wang, W.; Liu, X.; Iqbal, S.; Wang, Z. Advancements in morphology controllable ternary organic solar cells for active layers. Renew. Sustain. Energy Rev. 2025, 216, 115673. [Google Scholar] [CrossRef]
- Tan, C.A.W.; Wong, B.T. Unraveling the Mystery of Ternary Organic Solar Cells: A Review on the Influence of Third Component on Structure–Morphology–Performance Relationships. Sol. RRL 2021, 5, 2100503. [Google Scholar] [CrossRef]
- Zhou, D.; You, W.; Xu, H.; Tong, Y.; Hu, B.; Xie, Y.; Chen, L. Recent progress in ternary organic solar cells based on solution-processed non-fullerene acceptors. J. Mater. Chem. A 2020, 8, 23096–23122. [Google Scholar] [CrossRef]
- Zhao, C.; Wang, J.; Zhao, X.; Du, Z.; Yang, R.; Tang, J. Recent advances, challenges and prospects in ternary organic solar cells. Nanoscale 2021, 13, 2181–2208. [Google Scholar] [CrossRef] [PubMed]
- Xu, J.; Zhu, C.; Liu, Z.; Zeng, J.; Wang, J.; Zhang, J.; Zhu, P.; Wang, D.; Xu, Y.; Aldoshin, S.M.; et al. Over 19 % efficienct ternary organic solar cells enabled by tuning charge behaviors through quinoxalineimide-based Y-type acceptors. Mater. Today Energy 2024, 45, 101694. [Google Scholar] [CrossRef]
- Song, J.; Li, C.; Qiao, J.; Liu, C.; Cai, Y.; Li, Y.; Gao, J.; Jee, M.H.; Hao, X.; Woo, H.Y.; et al. Over 18% efficiency ternary all-polymer solar cells with high photocurrent and fill factor. Matter 2023, 6, 1542–1554. [Google Scholar] [CrossRef]
- Ishibe, T.; Kaneko, T.; Uematsu, Y.; Sato-Akaba, H.; Komura, M.; Iyoda, T.; Nakamura, Y. Tunable Thermal Switch via Order-Order Transition in Liquid Crystalline Block Copolymer. Nano Lett. 2022, 22, 6105–6111. [Google Scholar] [CrossRef]
- Zhou, D.; Zhang, H.; Zheng, H.; Xu, Z.; Xu, H.; Guo, H.; Li, P.; Tong, Y.; Hu, B.; Chen, L. Recent Advances and Prospects of Small Molecular Organic Thermoelectric Materials. Small 2022, 18, 2200679. [Google Scholar] [CrossRef]
- Lu, Q.; Yang, Z.; Meng, X.; Yue, Y.; Ahmad, M.A.; Zhang, W.; Zhang, S.; Zhang, Y.; Liu, Z.; Chen, W. A Review on Encapsulation Technology from Organic Light Emitting Diodes to Organic and Perovskite Solar Cells. Adv. Funct. Mater. 2021, 31, 2100151. [Google Scholar] [CrossRef]
- Nelson, J. The Physics of Solar Cells; World Scientific Publishing Company: Singapore, 2003. [Google Scholar]
- Zheng, Y.Q.; Zhang, J.; Yang, F.; Komino, T.; Wei, B.; Zhang, J.; Wang, Z.; Pu, W.; Yang, C.; Adachi, C. Influence of deposition substrate temperature on the morphology and molecular orientation of chloroaluminum phthalocyanine films as well the performance of organic photovoltaic cells. Nanotechnology 2015, 26, 405202. [Google Scholar] [CrossRef] [PubMed]
- Green, R.; Morfa, A.; Ferguson, A.J.; Kopidakis, N.; Rumbles, G.; Shaheen, S.E. Performance of bulk heterojunction photovoltaic devices prepared by airbrush spray deposition. Appl. Phys. Lett. 2008, 92, 58. [Google Scholar] [CrossRef]
- Thao, T.T.; Trung, T.Q.; Van Truong, V.; Dinh, N.N. Enhancement of Power Efficiency and Stability of P3HT-Based Organic Solar Cells Under Elevated Operating-Temperatures by Using a Nanocomposite Photoactive Layer. J. Nanomater. 2015, 2015, 463565. [Google Scholar] [CrossRef]
- Miao, J.; Meng, B.; Ding, Z.; Liu, J.; Wang, L. Organic solar cells based on small molecule donors and polymer acceptors operating at 150 °C. J. Mater. Chem. A 2020, 8, 10983–10988. [Google Scholar] [CrossRef]
- Shaban, M.; Benghanem, M.; Almohammedi, A.; Rabia, M. Optimization of the active layer p3ht:Pcbm for organic solar cell. Coatings 2021, 11, 863. [Google Scholar] [CrossRef]
- Dhouib, A.; Filali, S. Operating Temperatures of Photovoltaic Panels; Elsevier: Amsterdam, The Netherlands, 1990; pp. 494–498. [Google Scholar]
- Shahriar, A.; Hasnath, S.; Islam, M.A. Effects of Operating Temperature on the Performance of c-Si, a-Si:H, CIGS, and CdTe/CdS Based Solar Cells. EDU J. Comput. Electr. Eng. 2020, 1, 31–37. [Google Scholar] [CrossRef]
- Jacobsson, T.J.; Tress, W.; Correa-Baena, J.P.; Edvinsson, T.; Hagfeldt, A. Room Temperature as a Goldilocks Environment for CH3NH3PbI3 Perovskite Solar Cells: The Importance of Temperature on Device Performance. J. Phys. Chem. C 2016, 120, 11382–11393. [Google Scholar] [CrossRef]
- Lewinska, G.; Kanak, J.; Sanetra, J.; Marszalek, K.W. Optothermal Properties of Donor–Acceptor Layers, Including PTB7, PTB7th, Y5, and Y6, for Organic Photovoltaic Cell Applications. Materials 2025, 18, 1841. [Google Scholar] [CrossRef]
- Tetreault, A.R.; Dang, M.T.; Bender, T.P. PTB7 and PTB7-Th as universal polymers to evaluate materials development aspects of organic solar cells including interfacial layers, new fullerenes, and non-fullerene electron acceptors. Synth. Met. 2022, 287, 117088. [Google Scholar] [CrossRef]
- Lu, L.; Yu, L. Understanding low bandgap polymer PTB7 and optimizing polymer solar cells based on IT. Adv. Mater. 2014, 26, 4413–4430. [Google Scholar] [CrossRef]
- Yin, Z.; Mei, S.; Chen, L.; Gu, P.; Huang, J.; Li, X.; Wang, H.Q.; Song, W. Efficient PTB7-Th:Y6:PC71BM ternary organic solar cell with superior stability processed by chloroform. Org. Electron. 2021, 99, 106308. [Google Scholar] [CrossRef]
- Ding, X.; Li, Z. The effect of the third component on high performance ternary organic solar cells: A review. J. Polym. Sci. 2023, 61, 3022–3038. [Google Scholar] [CrossRef]
- Fernandes, L.; Gaspar, H.; Tomé, J.P.C.; Figueira, F.; Bernardo, G. Thermal stability of low-bandgap copolymers PTB7 and PTB7-Th and their bulk heterojunction composites. Polym. Bull. 2018, 75, 515–532. [Google Scholar] [CrossRef]
- Hajduk, B.; Bednarski, H.; Jarząbek, B.; Nitschke, P.; Janeczek, H. Phase diagram of P3HT:PC70BM thin films based on variable-temperature spectroscopic ellipsometry. Polym. Test. 2020, 84, 106383. [Google Scholar] [CrossRef]
- Mahdy, S.; Feteha, M.; Soliman, M.; Hussien, H.; Sadat-Shafai, T.; Ebrahim, S. Effect of solvent and thermal annealing on D18/Y6 polymer solar cells. J. Mater. Sci. 2023, 58, 17543–17556. [Google Scholar] [CrossRef]
- Goel, A.; Howard, J.B.; Sande, J.B.V. Size analysis of single fullerene molecules by electron microscopy. Carbon 2004, 42, 1907–1915. [Google Scholar] [CrossRef]
- Picollo, M.; Aceto, M.; Vitorino, T. UV-Vis spectroscopy. Phys. Sci. Rev. 2019, 4, 20180008. [Google Scholar] [CrossRef]
- Edwards, A.A.; Alexander, B.D. UV-Visible Absorption Spectroscopy, Organic Applications. In Encyclopedia of Spectroscopy and Spectrometry; Academic Press: Cambridge, UK, 2017; pp. 511–519. [Google Scholar]
- Aspnes, D.E. Spectroscopic ellipsometry—Past, present, and future. Thin Solid Films 2014, 571, 334–344. [Google Scholar] [CrossRef]
- El Karout, H.; Labassi, C.; Waszkowska, K.; Fournier-Le Ray, N.; Gatri, R.; Gauffre, F.; Fihey, A.; Sahraoui, B.; Fillaut, J.L. Insights into the linear and non-linear optical characteristics of substituted bi-naphthyl-2-pyrazolines. New J. Chem. 2024, 48, 18709–18718. [Google Scholar] [CrossRef]
- Iliopoulos, K.; El-Ghayoury, A.; Derkowska, B.; Ranganathan, A.; Batail, P.; Gindre, D.; Sahraoui, B. Effect of the counter cation on the third order nonlinearity in anionic Au dithiolene complexes. Appl. Phys. Lett. 2012, 101, 261105. [Google Scholar] [CrossRef]
- Papagiannouli, I.; Szukalski, A.; Iliopoulos, K.; Mysliwiec, J.; Couris, S.; Sahraoui, B. Pyrazoline derivatives with a tailored third order nonlinear optical response. RSC Adv. 2015, 5, 48363–48367. [Google Scholar] [CrossRef]
- Feit, M.D.; Perry, M.D.; Banks, P.S. High-intensity third-harmonic generation. J. Opt. Soc. Am. B 2002, 19, 102–118. [Google Scholar]
- Morizet, J.; Olivier, N.; Mahou, P.; Boutillon, A.; Stringari, C.; Beaurepaire, E. Third harmonic imaging contrast from tubular structures in the presence of index discontinuity. Sci. Rep. 2023, 13, 7850. [Google Scholar] [CrossRef] [PubMed]
- Tompkins, H.G.; Irene, E.A. Handbook of Ellipsometry; William Andrew Pub.: Norwich, UK, 2005; pp. 1–870. [Google Scholar]
- Gilliot, M. Wavelength-by-wavelength Kramers–Kronig consistent inversion of ellipsometry data. Appl. Opt. 2019, 58, 8153–8159. [Google Scholar] [CrossRef]
- Lewińska, G.; Sosna, D.; Kanak, J.; Danel, K.S.; Sanetra, J.; Sahraoui, B.; Marszalek, K.W. The role of small molecules and quantum dots doping on the morphology of layers for potential applications in ternary solar cells. Opt. Mater. 2022, 134, 113056. [Google Scholar] [CrossRef]
- Paleti, S.H.K.; Hultmark, S.; Han, J.; Wen, Y.; Xu, H.; Chen, S.; Järsvall, E.; Jalan, I.; Villalva, D.R.; Sharma, A.; et al. Hexanary blends: A strategy towards thermally stable organic photovoltaics. Nat. Commun. 2023, 14, 4608. [Google Scholar] [CrossRef] [PubMed]
- Christ, E.; Collin, D.; Lamps, J.P.; Mésini, P.J. Variable temperature NMR of organogelators: The intensities of a single sample describe the full phase diagram. Phys. Chem. Chem. Phys. 2018, 20, 9644–9650. [Google Scholar] [CrossRef]
- Gelfer, M.; Burger, C.; Fadeev, A.; Sics, I.; Chu, B.; Hsiao, B.S.; Heintz, A.; Kojo, K.; Hsu, S.L.; Si, M.; et al. Thermally induced phase transitions and morphological changes in organoclays. Langmuir 2004, 20, 3746–3758. [Google Scholar] [CrossRef]
- Dixit, S.K.; Bhatnagar, C.; Singh, J.; Bhatnagar, P.K.; Peta, K.R. Effect of Thermal Stress on Power Conversion Efficiency of PCDTBT:PC71BM Organic Solar Cells. Springer Proc. Phys. 2019, 215, 375–382. [Google Scholar]
- Oh-E, M.; Ogata, H.; Araoka, F. Randomization and Constraint of Molecular Alignment and Orientation: Temperature-Dependent Anisotropy and Phase Transition in Vapor-Deposited Thin Films of an Organic Cross-Shaped Molecule. ACS Omega 2019, 4, 39–47. [Google Scholar] [CrossRef]
- Lungenschmied, C.; Bauer, S.; Schwödiauer, R.; Rodman, S.; Fournier, D.; Dennler, G.; Brabec, C.J. Real-time in-situ observation of morphological changes in organic bulk-heterojunction solar cells by means of capacitance measurements. J. Appl. Phys. 2011, 109, 044503-044503-5. [Google Scholar] [CrossRef]
- Ben Yahya, S.; El Karout, H.; Sahraoui, B.; Barillé, R.; Louati, B. Innovative synthesis, structural characteristics, linear and nonlinear optical properties, and optoelectric parameters of newly developed A2ZnGeO4 (A = K, Li) thin films. RSC Adv. 2024, 14, 23802–23815. [Google Scholar] [CrossRef] [PubMed]
- Kubodera, K.; Kobayashi, H. Determination of Third-Order Nonlinear Optical Susceptibilities for Organic Materials by Third-Harmonic Generation. Mol. Cryst. Liq. Cryst. 1990, 182, 103–113. [Google Scholar] [CrossRef]
- Hsu, C.-C.; Lin, J.-H.; Huang, T.-H.; Harada, K. Temperature dependent photoinduced change of third harmonic generation in azo copolymer thin films. Appl. Phys. Lett. 2002, 4798, 123–128. [Google Scholar] [CrossRef]
- Jung, S.; Cho, Y.; Kang, S.H.; Yoon, S.J.; Yang, C. Effect of Third Component on Efficiency and Stability in Ternary Organic Solar Cells: More than a Simple Superposition. Sol. RRL 2022, 6, 2100819. [Google Scholar] [CrossRef]
- Landerer, D.; Mertens, A.; Freis, D.; Droll, R.; Leonhard, T.; Schulz, A.D.; Bahro, D.; Colsmann, A. Enhanced thermal stability of organic solar cells comprising ternary D-D-A bulk-heterojunctions. npj Flex. Electron. 2017, 1, 11. [Google Scholar] [CrossRef]









| Sample |
α (103 cm−1) 355 nm | χ(3)(10−22) Before Heating | χ(3)(10−22) After Heating |
|---|---|---|---|
| PTB7:Y5: PCBM | 42.64 | 272 ± 1.71 | 201± 1.25 |
| PTB7:Y6: PCBM | 53.84 | 246 ± 0.209 | 241 ± 2.62 |
| PTB7th:Y5: PCBM | 30.47 | 352 ± 0.116 | 181 ± 0.863 |
| PTB7th:Y6: PCBM | 79.34 | 442 ± 0.323 | 334 ± 0.244 |
Disclaimer/Publisher’s Note: The statements, opinions and data contained in all publications are solely those of the individual author(s) and contributor(s) and not of MDPI and/or the editor(s). MDPI and/or the editor(s) disclaim responsibility for any injury to people or property resulting from any ideas, methods, instructions or products referred to in the content. |
© 2025 by the authors. Licensee MDPI, Basel, Switzerland. This article is an open access article distributed under the terms and conditions of the Creative Commons Attribution (CC BY) license (https://creativecommons.org/licenses/by/4.0/).
Share and Cite
Lewinska, G.; Sanetra, J.; Marszalek, K.W.; Quandt, A.; Sahraoui, B. Influence of Temperature on the Optical Properties of Ternary Organic Thin Films for Photovoltaics. Materials 2025, 18, 3319. https://doi.org/10.3390/ma18143319
Lewinska G, Sanetra J, Marszalek KW, Quandt A, Sahraoui B. Influence of Temperature on the Optical Properties of Ternary Organic Thin Films for Photovoltaics. Materials. 2025; 18(14):3319. https://doi.org/10.3390/ma18143319
Chicago/Turabian StyleLewinska, Gabriela, Jerzy Sanetra, Konstanty W. Marszalek, Alexander Quandt, and Bouchta Sahraoui. 2025. "Influence of Temperature on the Optical Properties of Ternary Organic Thin Films for Photovoltaics" Materials 18, no. 14: 3319. https://doi.org/10.3390/ma18143319
APA StyleLewinska, G., Sanetra, J., Marszalek, K. W., Quandt, A., & Sahraoui, B. (2025). Influence of Temperature on the Optical Properties of Ternary Organic Thin Films for Photovoltaics. Materials, 18(14), 3319. https://doi.org/10.3390/ma18143319

