Next Article in Journal
Influence Mechanism of Waterborne Polyurethane on the Properties of Emulsified Asphalt
Previous Article in Journal
Corrosion Behavior of MgTiZn and Mg4TiZn Alloys After Ball Milling and Subsequent Spark Plasma Sintering
 
 
Font Type:
Arial Georgia Verdana
Font Size:
Aa Aa Aa
Line Spacing:
Column Width:
Background:
Article

Mechanical Properties of Recycled Concrete with Carbide Slag Slurry Pre-Immersed and Carbonated Recycled Aggregate

College of Architecture and Civil Engineering, Qiqihar University, Qiqihar 161006, China
*
Author to whom correspondence should be addressed.
Materials 2025, 18(14), 3281; https://doi.org/10.3390/ma18143281
Submission received: 28 May 2025 / Revised: 3 July 2025 / Accepted: 9 July 2025 / Published: 11 July 2025
(This article belongs to the Section Construction and Building Materials)

Highlights

  1. This study proposes the first CSS slurry pre-impregnation–carbonation synergistic modified recycled aggregate method, which considerably increases aggregate water absorption, crushing value, and apparent density;
  2. The CSS slurry pre-impregnation–carbonization co-modification of recycled aggregate approach improves recycled concrete's 28d compressive, split tensile, and flexural strength by 5.1 MPa, 0.8 MPa, and 1.2 MPa, respectively;
  3. The microcosm demonstrates that the carbonation reaction produces calcium carbonate and silica gel, filling the recycled aggregate microcracks and the interfacial transition zone between aggregate and mortar, thereby increasing structural compactness;
  4. This project utilizes industrial waste leftover and stores CO2, providing economic and environmental benefits.

Abstract

This research focuses on improving the characteristics of recycled concrete and utilizing solid waste resources through the combination of industrial waste pre-impregnation and the carbonation process. A novel pre-impregnation–carbonation aggregate method is proposed to increase the content of carbonatable components in the surface-bonded mortar of recycled coarse aggregate by pre-impregnating it with carbide slag slurry (CSS). This approach enhances the subsequent carbonation effect and thus the properties of recycled aggregates. The experimental results showed that the method significantly improved the water absorption, crushing value, and apparent density of the recycled aggregate. Additionally, it enhanced the compressive strength, split tensile strength, and flexural strength of the recycled concrete produced using the aggregate improved by this method. Microanalysis revealed that CO2 reacts with calcium hydroxide and hydrated calcium silicate (C-S-H) to produce calcite-type calcium carbonate and amorphous silica gel. These reaction products fill microcracks and pores on the aggregate and densify the aggregate–paste interfacial transition zone (ITZ), thereby improving the properties of recycled concrete. This study presents a practical approach for the high-value utilization of construction waste and the production of low-carbon building materials by enhancing the quality of recycled concrete. Additionally, carbon sequestration demonstrates broad promise for engineering applications.

Graphical Abstract

1. Introduction

With urbanization accelerating and the building industry developing rapidly, the utilization of construction waste resources has emerged as a critical challenge for achieving sustainable development. Recycled aggregate concrete (RAC), a key product of construction waste recycling, can greatly reduce natural resource consumption by replacing natural aggregates [1,2]. However, the mechanical properties of recycled concrete produced with recycled aggregates are generally lower than those of natural aggregate concrete [3,4]. This is because the old mortar attached to the surface of recycled aggregates causes high porosity, high water absorption, and a weak interfacial transition zone, severely limiting its large-scale engineering applications. In recent years, many scholars have proposed methods to strengthen the properties of recycled aggregates, such as physical strengthening [5], chemical strengthening [6], and mineral phase modification [7]. However, these treatment approaches typically have disadvantages, such as high cost, high energy consumption, or low environmental friendliness [8,9,10,11,12].
Despite certain performance limitations, continuous innovations, such as improving RCA treatment and optimizing mix designs, can enhance recycled concrete to approach or even exceed traditional concrete performance, advancing this technology. Zhang [13] and Ollivier [14] believe that the flaws of recycled aggregates must be addressed to improve recycled concrete performance. To that end, numerous researchers have concentrated on improving the surface bonding mortar and the carbonation strengthening effect. To enhance recycled aggregates, researchers employed various pre-carbonation soaking methods. Tang [15] and Kong [16] used saturated Ca(OH)2 solution; Zhan [8], saturated lime water; and Xuan [17], an external calcium source with wet carbonation. All of these solutions improved the surface properties of the recycled aggregate by integrating more calcium sources, resulting in an effective approach for increasing the carbonation of the subsequent RCA.
To address high costs and environmental pollution from solution-modified recycled aggregates, this study proposes an innovative approach: we first pre-immerse recycled aggregates in carbide slag slurry and then carbonate them, leveraging the synergy of industrial solid waste utilization and CO2 capture. Carbide slag is a calcium-rich alkaline slag created during acetylene synthesis. Its principal component is Ca(OH)2, which has a high calcium content, tiny particle size, great dispersion, large specific surface area, and strong water solubility [18,19]. Pre-impregnation of recycled aggregates with carbide slag slurry can efficiently supply the calcium source necessary for the carbonation reaction, strengthen the carbonation effect, and improve aggregate performance. Carbonation mixes CO2 with calcium-based compounds to generate CaCO3, which densifies aggregate structures and efficiently fixes CO2 [20]. The synergistic effect of carbide slag slurry pre-impregnation and carbonation conditioning overcomes the limitations of traditional single modification technology, resulting in the synergistic strengthening technology of carbide slag slurry pre-impregnation–carbonation conditioning. This technology offers three key advantages. First, the carbonation product fills aggregate pores and enhances interfacial bonding, significantly improving the aggregate’s physical and mechanical properties. Second, it utilizes industrial waste slag and sequesters CO2, achieving both waste treatment and carbon emission reduction. Third, the process operates under mild conditions, delivering economic and environmental benefits.
However, due to its complicated chemical makeup, carbide slag may have an impact on the carbonation process and concrete properties. This study confirms the feasibility of carbide slag slurry pretreatment and carbonation for recycled aggregates through systematic experiments. It analyzes the carbonation reaction mechanism, clarifies how carbonation products affect aggregate performance, and provides theoretical support for the technology’s application. This research aims to analyze the mechanism of carbide slag slurry pre-impregnation–carbonation synergistic modification on the performance of recycled aggregates and to clarify how it improves the performance of recycled concrete. Compared to earlier studies, this report focuses on three key aspects: (1) proposing a novel method using carbide slag and CO2 to co-modify recycled aggregate, establishing quantitative relationships between impregnation–carbonation parameters and aggregate performance; (2) revealing how the calcium migration–carbonation coupling reaction reconstructs the aggregate–new mortar interface; (3) analyzing and verifying the synergistic enhancement effect of this technology on recycled concrete performance. This study establishes a technically synergistic system for solid waste resource utilization, CO2 sequestration, and cost control through in-depth analysis of reaction mechanisms and the construction of process flow models. This integrated approach achieves dual optimization of economic and environmental benefits, ultimately transforming low-value recycled aggregates into high-value-added green building materials.

2. Materials and Methods

2.1. Materials

2.1.1. Cementitious Material

The cementitious material utilized in the test was P.C 42.5 composite silicate cement, and all of the indexes met the Chinese standard GB 175-2023 [21]. The chemical composition parameters of cement are provided by the manufacturer. See Table 1 for specific data.

2.1.2. Aggregate

Xinyu Cement Products Co., Ltd. (Qiqihar, China), provided both natural coarse aggregate (NA) and recycled coarse aggregate (RCA). The natural coarse aggregate was granite, while the recycled coarse aggregate was obtained from demolished concrete wastes after crushing, cleaning, and screening. Natural coarse aggregate and recycled coarse aggregate were mixed 1:1 to produce coarse aggregate with particle sizes ranging from 5–10 mm to 10–20 mm. Aggregate property tests were conducted in triplicate on 3 kg samples for each aggregate type and size fraction, with the reported results representing the average values. All RCA utilized in this study originated from a single, homogenized batch. Table 2 shows the performance of the aggregate.
The experiment used local river sand with particle size ≤ 5 mm, fineness modulus 2.6–2.8, and particle size distributions of fine aggregate (FA) and coarse aggregate (CA), as shown in Figure 1.

2.1.3. Carbide Slag

Heilongjiang Haohua Chemical Company (Qiqihar, China) donated the carbide slag used in this experiment, which is industrial waste created during the acetylene gas production process. Following the first crushing method, carbide slag was formed, and the carbide slag needed for the experiment was acquired after grinding to a fineness of 300 mesh. Table 3 shows the chemical composition of carbide slag.

2.1.4. Water

The water utilized in this experiment is the same as that used by residents of Qiqihar City in Heilongjiang Province.

2.2. Experimental Program

2.2.1. Preparation of Carbide Slag Slurry

In this experiment, five carbide slag slurries with mass fractions of 10%, 20%, 30%, 40%, and 50% were prepared strictly to the exact proportions. During the preparation process, continuous stirring was used to achieve homogeneous solid–liquid mixing, and the 30% mass fraction of carbide slag slurry was determined to be the saturated concentration via rheological property tests. This carbide slag slurry was used in all subsequent experiments to pre-immerse recycled aggregates to ensure the consistency and accuracy of the experimental conditions.

2.2.2. Pre-Impregnation Treatment of Recycled Coarse Aggregate

The carbonation effect of recycled aggregate is closely related to its water content; hence, the water content of the aggregate during presoaking must be taken into account throughout the presoaking process. Ying Jingwei [22] investigated the carbonation effect of different aggregate water concentrations and found that RCA with moisture contents of 60–70% is more conducive to the carbonation reaction. As a result, in this experiment, RCA was first immersed in a 30% concentration of carbide slag slurry prepared in advance for 24 h. After draining, the aggregate was transferred to a thermo-hygrostat maintained at 20 °C and 65% relative humidity for 24 h static curing before use. To ensure that the water content of recycled aggregate before carbonation was consistent across all experimental groups, the control group was soaked in water, and the rest of the process was the same as for the treatment group.

2.2.3. Carbonation of Recycled Coarse Aggregate

The carbonation effect is influenced by multiple factors, including temperature, humidity, CO2 concentration, and CO2 partial pressure. Ying [22] conducted a systematic study on the carbonation effect of recycled aggregates under different carbonation settings. After thoroughly considering carbonation efficiency, environmental friendliness, and energy efficiency balance, the optimal carbonation conditions were determined as follows: a carbonation temperature of 20 °C, a relative humidity of 65%, a CO2 concentration of 60%, and a CO2 partial pressure of 0.1 MPa. Therefore, the carbonation conditions established in Ying’s research were adopted for the carbonation test in this experiment.
In addition to the carbonation conditions mentioned above, the carbonation duration also significantly influences the carbonation effect. As this experiment first proposes the use of CSS pre-immersed recycled aggregate, there is a lack of reference to previous research data to accurately determine the completion time of the recycled aggregate carbonation. Therefore, six groups of CSS pre-immersed recycled aggregate (500 g each) were prepared and subjected to carbonation treatment for 0, 2, 4, 6, 8, and 24 h under established conditions. Color change was used to indicate the degree of carbonation, where the aggregate was considered carbonated if no red color appeared after phenolphthalein indicator spraying. As shown in Figure 2, no red color appeared on the aggregate after 8 h of carbonation. By this time, the carbonation reaction had exhausted the OH on the aggregate surface, preventing it from reacting with the phenolphthalein reagent to form a red product. The experiment determined that the recycled aggregate had reached a state of complete carbonation after 8 h.
In summary, the carbonation conditions of this experiment were determined as 65% relative humidity, 60% CO2 concentration, 20 °C carbonation temperature, 0.1 MPa CO2 partial pressure, and 8 h carbonation duration. The carbonation device is shown in Figure 3.

2.2.4. Specimen Preparation

According to the Chinese standards (GB/T 50010-2010 [23]) and (GB/T 50080-2016 [24]), four groups of concrete specimens were prepared for this test, including natural aggregate concrete (NAC), 30% substitution rate recycled aggregate concrete (RAC), clear water pre-immersed carbonated aggregate recycled concrete (D-RAC), and CSS pre-immersed carbonated aggregate recycled concrete (C-RAC). The NAC group was designed with a target strength grade of C30, as defined by the Chinese Code GB 50010, which stipulates that the characteristic compressive strength at 28 days is ≥30 MPa. All groups were prepared with a water-to-cement ratio of 0.5 and sand ratio of 0.4. In this context, “FA” denotes fine aggregate. The specific test mixes are shown in Table 4.

2.3. Experimental Methods

2.3.1. Aggregate Physical Properties

Following the Chinese standard GB/T 14685-2023 [25] Crushed Stone and Pebble for Construction, this experiment systematically determined the water absorption rate, apparent density, and crushing value indexes of recycled coarse aggregate (RCA) before and after carbonation treatment. During the experiment, three groups of samples were selected each time for independent testing, and data were obtained through standardized operations. The arithmetic mean of the three groups of experimental results was finally taken as the measured value of each index to ensure the reliability and representativeness of the data.

2.3.2. Mechanical Properties

According to the Chinese standard GB/T 50081-2019 [26], the universal testing machine was used to carry out the mechanical property test of concrete samples. The 100 mm in side cubic samples were used for the compressive strength test and the splitting tensile strength test. The 100 mm × 100 mm × 400 mm prismatic samples were used for the flexural strength test. A total of 20 groups of 100 mm in side cubic samples (for compressive and splitting tensile tests) and 8 groups of 100 mm × 100 mm × 400 mm prismatic samples (for flexural strength tests) were prepared for the test, with three parallel samples set in each group, and the test results were the average values of the test values of the three samples in the same group.

2.3.3. Microstructural Analysis

(1)
XRD experiment
The specimens were dried in an oven at 65 °C for 24 h. Prior to XRD analysis, the samples were sieved to ensure a particle size of less than 80 μm and then scanned using a Rigaku Smart Lab diffractometer (Cu anode) (Tokyo, Japan) at a scan rate of 10°/min over a 2θ range of 5° to 60°.
(2)
SEM scanning
Aggregate samples smaller than 10 mm were sanded, cut, and dried in an oven at 65 °C until they reached a constant weight, after which the micro-morphology of the samples was studied using SEM.
(3)
EDS scanning analysis
Carbonated RCA was analyzed using EDS point scanning to compare the elemental content of various treatment methods and the outcomes of their elemental alterations.

3. Results and Discussion

3.1. Effect of Pre-Immersed CSS Carbonation on Physical Properties of Recycled Coarse Aggregates

3.1.1. Water Absorption Rate

To comprehensively evaluate the effect of carbonation time on the water absorption rate of recycled aggregate, this experiment was carried out to research the water absorption rate of recycled aggregate at various carbonation times, and the findings are given in Figure 4. From the data in the figure, it can be seen that in the first two hours of carbonation, the water absorption rate of the recycled aggregate decreases the most, indicating that the carbonation reaction rate is the fastest in the first two hours. When the carbonation time is between 2 and 8 h, the water absorption rate continues to decrease with the prolongation of time, but the rate of decrease slows down compared with the initial stage, indicating a tendency to stabilize. This event shows that the carbonation reaction is essentially complete within 8 h, which is consistent with the findings of the phenolphthalein test in Section 2.2.3.
Meanwhile, to thoroughly investigate the effect of CSS pre-immersed carbonation treatment on the water absorption performance of recycled coarse aggregate, this study measured the water absorption of CSS pre-immersed carbonated recycled aggregate and compared it with that of natural aggregate, untreated recycled aggregate, and recycled aggregate treated with direct carbonation, as shown in Figure 5. As shown in Figure 5a, the water absorption rate of aggregates with a diameter of 5–10 mm was 8.68% when not carbonated, which decreased to 7.12% after direct carbonation and further decreased to 6.07% after CSS pre-impregnation. The initial water absorption rate of 10–20 mm diameter aggregates was 4.49%, which decreased to 4.01% and 3.51% after direct carbonation and CSS pre-impregnation, respectively. The CSS pre-impregnation–carbonation technique outperforms direct carbonation in reducing the water absorption of aggregates with various sizes. The mechanism can be attributed to the fact that calcium hydroxide in the CSS reacts with CO2 via carbonation, and the generated CaCO3 crystals and silica gel realize the dense reconstruction of the aggregate microstructure through the synergistic effect of physically filling internal pores and chemically bonding microcracks in the transition zone between the old mortar and the CSS. This is consistent with the findings of Zhan [27].
As shown in Figure 5b, for C-RCA, the water absorption reduction after carbonation was 30.07% and 26.7% for aggregates with sizes of 5–10 mm and 10–20 mm, respectively. For D-RCA, the corresponding reductions were 17.79% and 10.7%, respectively. These results indicate that carbonation had a more significant effect on reducing the water absorption of recycled aggregates, especially the particle size of 5–10 mm, which is consistent with the findings of Lu [28]. This phenomenon can be attributed to the higher adhesion rate of old mortar on smaller-sized aggregates, and their larger specific surface area results in a greater effective reaction area between Ca(OH)2 in the carbide slag slurry and CO2. This enhances the reaction kinetics of carbonation, thereby strengthening the improvement in water absorption performance [29].

3.1.2. Crushing Value

In this study, the crushing value of recycled aggregate before and after treatment was evaluated, and the test results of C-RCA and D-RCA were compared and assessed with RCA, as shown in Figure 6. As shown in Figure 6a, the crushing value for C-RCA 5–10 mm and 10–20 mm particle size aggregates fell from 25.97% and 23.20% to 21.13% and 19.24% before treatment, while for D-RCA 5–10 mm and 10–20 mm particle size aggregates it reduced from 25.97% and 23.20% to 24.83% and 20.91%. Figure 6b also shows that for C-RCA, the decrease in crushing value after carbonation is 18.6% and 17.2% for 5–10 mm and 10–20 mm size aggregates, respectively, and for D-RCA, the decrease in crushing value after carbonation is 4.39% and 9.98% for 5–10 mm and 10–20 mm size aggregates. It is clear that the carbonation of aggregates after CSS pre-immersed treatment improves their performance more significantly. The mechanism can be explained in the following two ways: Firstly, carbonation causes CaCO3 crystals to fill the previous mortar’s interfacial transition zone (ITZ), pores, and microcracks, resulting in a more dense microstructure. According to Vargas P [30], this increases the microhardness of the old mortar and the aggregate’s resistance to external crushing. Secondly, CaCO3 precipitation in RCA pores optimizes aggregate microstructure and reduces crushing value through physical filling and chemical cementation. Xuan [9] obtained similar results by investigating the carbonation of recycled materials.

3.1.3. Apparent Density

The effect of pre-impregnation–carbonation treatment on the apparent density of recycled coarse aggregate is shown in Figure 7. As indicated in Figure 7a, the apparent densities of 5–10 mm and 10–20 mm aggregates increased from 2565 kg/m3 and 2545 kg/m3 to 2788 kg/m3 and 2700 kg/m3, respectively; for D-RCA, the apparent densities increased to 2690 kg/m3 and 2680 kg/m3, respectively. Further analysis of Figure 7b reveals that for C-RCA, the increase in apparent density after carbonation is 8.69% and 6.09% for 5–10 mm and 10–20 mm aggregates, respectively, while for D-RCA, the increase is 5.26% and 5.30% for 5–10 mm and 10–20 mm aggregates, respectively. The findings presented above show that the carbide slag slurry pre-impregnation–carbonation treatment outperforms the direct carbonation treatment in terms of the apparent density of recycled aggregates. The primary explanation is that during the carbonation process, calcium hydroxide is transformed into calcite, which has a higher density and hence contributes to the total rise in aggregate density [31,32]. However, due to the decrease in carbonation efficiency with depth, the calcium carbonate content in the RCA’s top layer increases significantly, but the interior layer remains unchanged [33], explaining the modest increase in apparent density. This conclusion is consistent with the findings of V.G. Papadakis [34], who found that carbonated recycled aggregate improved water absorption and apparent density while also increasing the microhardness of the transition zone of the old interface, resulting in a greater improvement in the physical properties of recycled aggregates. V. Morales-Florez [35] found that using CO2 carbonation to modify recycled aggregate improved concrete performance, providing theoretical support for the use of pre-immersed carbonation treatment technology in engineering applications.

3.1.4. Preliminary Cost Analysis

There are significant differences in the cost composition between natural aggregates and C-RCA. The procurement cost of natural aggregates mainly includes expenses for mining, processing, and transportation, while the main costs of C-RCA focus on crushing, screening, transportation, and CO2 gas procurement. Since the raw materials of recycled aggregates are sourced from recycled construction waste, raw material costs are excluded; the calcium carbide slag, an industrial solid waste produced during acetylene production, was kindly provided free of charge by Haohua Company for this experiment. The costs for crushing and screening are determined based on local standard surveys and consultations with recycled aggregate producers. The costs for CSS pre-immersed and carbonation treatment are estimated according to CO2 procurement prices and relevant labor expenses. The specific cost breakdown is shown in Table 5.

3.2. Effect of Pre-Immersed Carbonated CSS Recycled Aggregate on Mechanical Properties of Recycled Concrete

3.2.1. Workability

Figure 8 demonstrates the slump test results of NAC, RAC, D-RAC, and C-RAC. The tests show that the slump of both D-RAC and C-RAC is significantly higher compared to RAC. This is attributed to the fact that D-RCA and C-RCA have a lower water absorption rate than RCA, which absorbs less water during the mixing process, thus improving concrete flow. Significantly, despite these variations, all measured slump values fall within the acceptable range specified by China’s GB 50164-2011 [36] standard, confirming adequate workability and validating the practical applicability of these mixtures in construction projects. This finding validates the effectiveness of the mixture design, which successfully reconciles constructability with mechanical performance. It is important to note that, due to the study’s emphasis on mechanical properties, water-reducing agents were not utilized; however, for applications demanding higher slump values, incorporating such admixtures provides an efficient approach to adjusting workability.

3.2.2. Compressive Properties

Figure 9 depicts the effect of pre-immersed CSS carbonation-treated recycled coarse aggregate on the compressive strength of 100 mm in side cubic recycled concrete as the curing age increases. Figure 9a shows that, when compared to recycled concrete (RAC), the compressive strength of directly carbonated recycled aggregate concrete (D-RAC) increased by 0.3, 0.8, and 1.0 MPa at curing ages of 3, 7, and 28d, respectively, and the compressive strength of CSS pre-immersed carbonated recycled aggregate concrete (C-RAC) increased by 3.5, 4.1, and 6.1 MPa. According to Figure 9b, after a curing age of 28 days, the compressive strength of C-RAC increased by 17.13% when compared to RAC, which is about equal to the cubic compressive strength of normal concrete (NAC), but the compressive strength of D-RAC increased by just 2.81%. The experimental results show that recycled aggregate treated with carbide slag slurry pre-immersed with carbon improves the compressive properties of recycled concrete. Carbonated pre-immersed slag slurry recycled aggregate concrete has enough Ca(OH)2 and hydrated calcium silicate (C-S-H) to react with CO2 to form CaCO3 and silica gel. This improves the densification and strength of the aggregate due to the better stabilization and filling effect of the reaction products, enhancing the compressive strength of cubes. This reinforces the importance of supplying an additional calcium source prior to the carbonation of recycled material.
The strength development of both NAC and RAC aligns with established trends [37]. Specifically, RAC exhibited a 15.6% reduction in 28-day compressive strength due to residual mortar porosity, which corresponds with findings reported by Peng [37] and Tabsh [38].

3.2.3. Splitting Tensile Properties

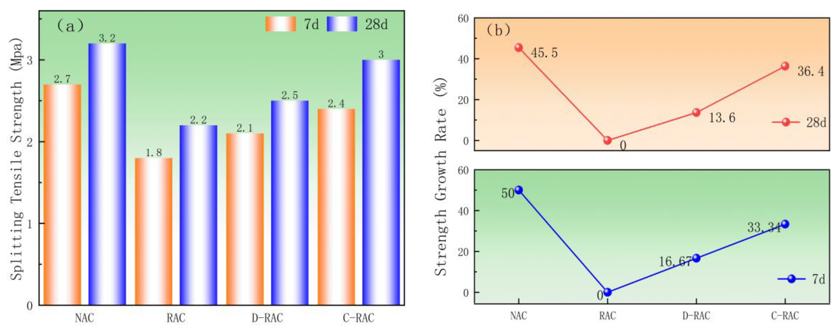
To systematically investigate the effect of pre-immersed CSS carbonation treatment and curing age on the splitting tensile strength of recycled concrete, this study tested the mechanical properties of recycled concrete specimens under various treatment conditions, and the test results are shown in Figure 10. As shown in Figure 10a, compared to RAC, D-RAC increased by 0.3 MPa, and C-RAC increased by 0.6 MPa at 7d; D-RAC grew by 0.3 MPa, and C-RAC increased by 0.8 MPa at 28d, suggesting that the split tensile strength of the specimens following the carbonation of prepreg CSS was significantly enhanced. Figure 10b demonstrates that the split tensile strength of C-RAC grew by 36.4% compared to that of RAC at 28d, which is comparable to that of NAC, whereas D-RAC’s split tensile strength increased by just 13.6%. The carbonation reaction added silica gel and CaCO3 to the RCA, improving its quality, strengthening the mortar, and reducing the interfacial transition zone. This improved the splitting tensile properties of the pre-immersed CSS carbonated recycled aggregate concrete, as confirmed by SEM microanalysis.
( f t s 0.3 f c u 2 / 3 )
f t s splitting   tensile   strength
f c u compressive   strength
Systematic comparison based on the predictive formula from GB/T 50081-2019 (Formula (1)) reveals the following: The measured splitting tensile strength of the NAC group was 3.2 MPa versus a predicted value of 3.6 MPa, with the deviation falling within a reasonable range, indicating the formula’s applicability to normal concrete. For the RAC group, the measured value of 2.2 MPa deviated significantly from the predicted value of 3.2 MPa, and the D-RAC group also showed a large deviation (measured 2.5 MPa vs. predicted 3.3 MPa), demonstrating the limitations of the standard formula for recycled aggregate concrete. In contrast, the C-RAC group exhibited a measured splitting tensile strength of 3.0 MPa compared to a predicted value of 3.6 MPa, showing a reduction in deviation compared to RAC.

3.2.4. Flexural Properties

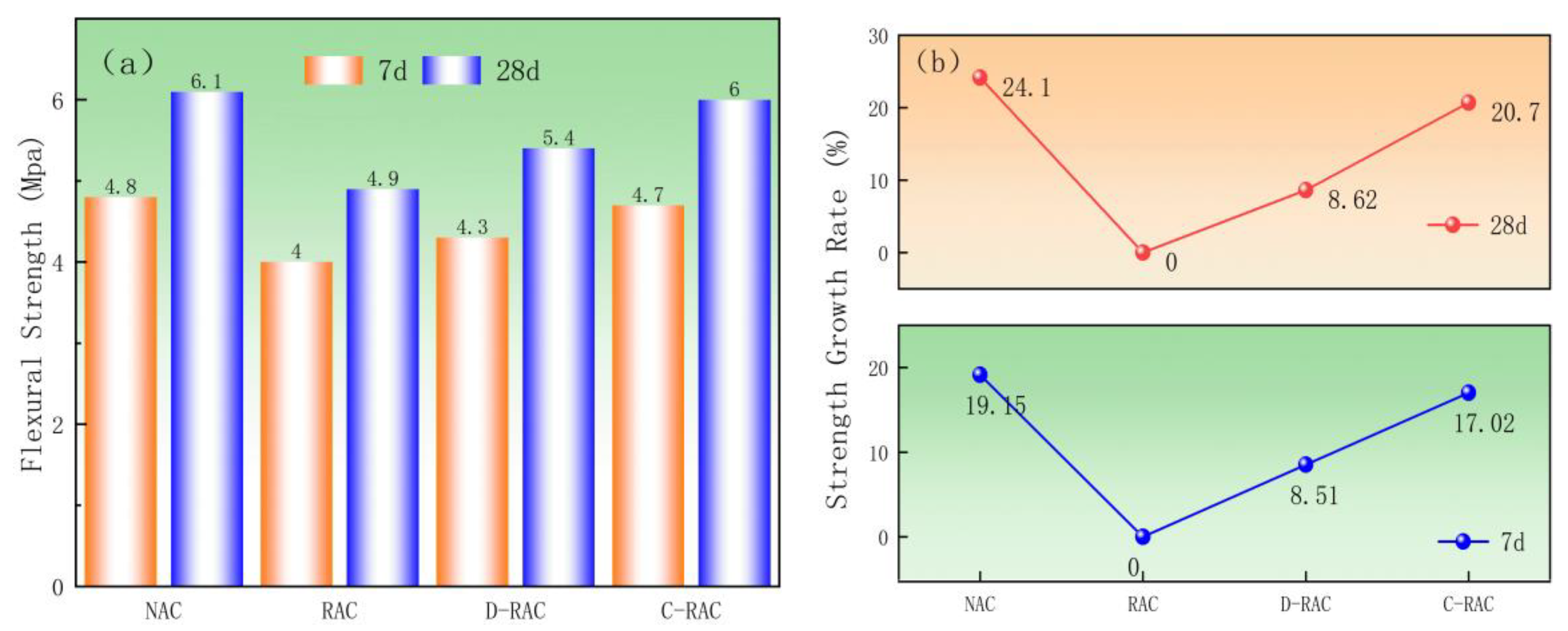
Figure 11 shows the change in flexural strength of recycled concrete with the carbonation treatment method and curing age. The fracture resistance of recycled aggregate concrete is lower than that of ordinary concrete. This is because the crushing value of RCA is higher, the internal cracks and pores are larger, and the old mortar attached to the surface is looser, resulting in poor bonding between the old and new cement paste in recycled concrete, which is prone to fracture when subjected to external loading. Figure 11a shows that, when compared to RAC, the flexural strength of D-RAC increased by 0.4 MPa and 0.5 MPa at 7 and 28d, while the flexural strength of C-RAC increased by 0.8 MPa and 1.2 MPa, respectively. According to Figure 11b, the flexural strength of C-RAC grew by 20.7% compared to that of RAC at the age of 28 days, which was similar to that of NAC, whereas the flexural strength of D-RAC increased by only 8.62%. The statistics shown above suggest that carbonated recycled aggregate can improve the flexural strength of recycled aggregate concrete, with the carbonation of pre-immersed carbide slurry having a greater positive effect. Carbonated pre-immersed slag slurry recycled aggregate concrete improves its quality, strength, and flexural properties by incorporating silica gel and CaCO3 from the carbonation reaction.
f f 0.1 ~ 0.15 f c u
f f f l e x u r a l   s t r e n g t h
According to GB/T 50081-2019 (Formula (2)), a systematic validation of the prediction formula for concrete flexural strength was conducted. The experimental results show that the measured flexural strength of the NAC group was 6.1 MPa, falling within the predicted range (4.2–6.3 MPa), verifying the applicability of this formula for normal concrete. The measured value for the RAC group was 4.9 MPa, within the predicted range (3.6–5.3 MPa). For the D-RAC and C-RAC groups subjected to different pretreatment processes, the measured flexural strengths were 5.4 MPa and 6.0 MPa, respectively. Both values fluctuated within their predicted intervals (3.7–5.49 MPa and 4.2–6.3 MPa). The close agreement between the measured data from all experimental groups and the theoretical predictions fully demonstrates that these experimental results possess good accuracy and reliability.

3.3. Microstructural Analysis

3.3.1. XRD Test

Zhang [39] identified a crystalline phase of the cement hydration product Ca(OH)2 in RCA. However, the intensity of its diffraction peaks was low, implying that the number of chemicals engaged in the carbonation reaction was minimal. This study gives a theoretical basis for introducing additional calcium sources before carbonation. To investigate the physical phase composition of the carbonation products in this research, the surface of the treated recycled aggregate was studied with X-ray diffraction, and the results are shown in Figure 12. Carbonation enhanced the intensity of CaCO3 diffraction peaks in D-RCA and C-RCA, resulting in a matched 2θ of 29.1. C-RCA exhibited more intense CaCO3 diffraction peaks than D-RCA. The carbonation of pre-immersed CSS improves the carbonation degree of RCA, resulting in more abundant CaCO3 crystals that fill the microcracks and pore structures of aggregates, increasing the density of the internal structure. This synergistic mechanism of carbonation product deposition-filling supports the prior experimental results of aggregate physical characteristics reported in Section 3.1.

3.3.2. SEM Observations

Scanning electron microscopy was used to characterize the microstructure of the recycled concrete, and Figure 13 depicts the microstructure of the ITZ and hydration products between the RCA and the bonded mortar before and during carbonation.
Figure 13a depicts the microstructure of natural aggregate concrete at 300 times magnification, demonstrating that the internal structure of normal concrete is denser and the width of the interfacial transition zone between aggregate and mortar is narrower, resulting in excellent mechanical properties of normal concrete. Figure 13b shows that the internal structure of recycled aggregate concrete is poorly compacted, with more pores and cracks on the surface of the cement paste, between the old and new paste, and between the paste and aggregate, as well as more obvious cracks in the interfacial transition zone, resulting in recycled aggregate concrete’s poor mechanical properties. Figure 13c shows that the strengthening impact of direct carbonation on recycled aggregate is poor; while some carbonation products are produced, there are still more gaps and cracks between the paste and the aggregate. The lack of calcium sources in carbonation leads to lower CaCO3 production and unfilled pores. In contrast, Figure 13d shows that the carbonized CSS slurry prepreg recycled aggregate concrete has a denser internal structure, the pores on the slurry’s surface are filled, and there is a good combination between the old and new slurry, the slurry, and the aggregate, and the interfacial transition zone is denser.
The pre-immersed CSS slurry contains a high calcium source for carbonation, creating a favorable environment for the reaction of CO2 with Ca(OH)2 and hydrated calcium silicate (C-S-H) within the CSS slurry. The carbonation reaction produces CaCO3 and silica gel, which improves the densification and strength of the aggregate due to better stabilization and filling effects of the reaction products. This conclusion is supported by the experimental results of concrete’s mechanical properties in the previous Section 2.2.

3.3.3. EDS Analysis

Figure 14 shows the content of each piece retrieved from point scanning. The figure shows that the recycled aggregate comprises elements such as oxygen, silicon, calcium, and carbon. According to B.J. Zhan [40], recycled aggregate carbonation produces CaCO3, which fills microcracks and holes at the aggregate mortar interface. The aforementioned EDS analysis results show that the recycled aggregate with pre-immersed carbonation had a higher Ca content than the recycled aggregate with direct carbonation. This suggests that the recycled aggregate with pre-immersed carbonation generates more CaCO3 than the recycled aggregate with direct carbonation, demonstrating that it effectively fills the pores and microcracks at the interfacial transition zone and encourages the production of CaCO3. This is consistent with the previous mechanical property test results.

4. Reinforcement Mechanism of CSS Pre-Immersed Carbonated Recycled Aggregates

The primary causes of recycled concrete aggregate’s (RCA’s) much higher water absorption and crushing value when compared to natural aggregate’s (NA’s) are twofold: first, the aggregate’s structural integrity is greatly diminished by the microcrack network created during crushing; second, the old mortar’s adhesion to the aggregate’s surface creates a loose and porous structure that deteriorates the interfacial transition zone (ITZ) properties.
Research by Zhang J [41] and Xiao J [42] demonstrated that the carbonation reaction is primarily the reaction of CO2 with CH and hydrated calcium silicate (C-S-H) to produce CaCO3 and silica gel (reaction formulas are shown in Equations (3) and (4)). The solid volume increased by 11.8% following the reaction, which is explained by the fact that the carbonation products filled the pore space, increasing the solid volume. Zhang J [29] demonstrated that this reaction has a dual advantage: on the one hand, the generated calcite (CaCO3) and silica gel (SiO2.nH2O) have excellent stability; on the other hand, the reaction products significantly enhance the aggregate compactness through the pore-filling effect, and the coupling improves the physical properties of the carbonation-treated RCA sufficiently.
C O 2 + C a ( O H ) 2 C a C O 3 + H 2 O
C a O x S i O 2 H 2 O + x C O 2 x C a C O 3 + S i O 2 n H 2 O + z t H 2 O
Yang J [43] discovered that the interfacial transition zone of RAC is relatively weak, which is the primary source of stress damage. Carbonation converts CH and C-S-H to thermally stable CaCO3 and silica gel, improving RAC strength through filling. According to Li L [44], C2S and C3S are the main mineral components in silicate cement. C3S has high hydration activity and produces C-S-H and CH. As the reaction progresses, C-S-H undergoes a decalcification reaction with CO2 to generate amorphous silica gel to fill in the pores, thus improving the early mechanical strength of concrete.
In this experiment, the recycled aggregate was pre-immersed with CSS slurry to supplement it with extra calcium hydroxide (CH), providing an appropriate calcium supply for the subsequent carbonation process. Pan G [45] used the thermogravimetric method to examine the content of carbonatable compounds (primarily CH) in the aggregate before carbonation, and the results showed that the aggregate itself had a very low content of carbonatable compounds, confirming the need for an additional calcium source. In this experiment, the CH in the CSS slurry was able to infiltrate the pores and microcracks of the recycled aggregates, providing continuous reactants for the carbonation reaction. As the carbonation reaction progresses, a large amount of calcium carbonate precipitation is produced, and these products effectively fill the aggregate’s pore structure, significantly reducing water absorption while increasing apparent density, thereby optimizing the aggregate’s physical properties.
From the experimental results, it can be seen that the performance enhancement impact of the pre-immersed carbonated recycled aggregate is most clear, and its enhancement process is depicted in Figure 15. The recycled aggregate generated a large number of microcracks and pores during the pre-crushing process (a); after the pre-immersing of CSS slurry (b), a large amount of externally added calcium source was provided for the aggregate (c), and these Ca2+ were free on the surface and inside of the aggregate, which improved the degree of the subsequent carbonation reaction (d) and the subsequent carbonation reaction(e). Carbonation produced a significant amount of CaCO3 and silica gel, which filled the aggregate’s pores, microcracks, and ITZs. CaCO3 in recycled concrete from modified aggregate slowly dissolved and released CO32− (f). At the same time, aluminate ions in the cement matrix migrated to the vicinity of calcite, where they reacted to form calcium monocarboaluminate hydrate (Mc), providing more nucleation sites for the growth of C-S-H on the surface of RCA [46], resulting in localized densification around the aggregate and improving the mechanical properties of RAC.

5. Conclusions

This study uses CSS pre-immersed and carbonation technology to improve the performance of recycled aggregates and then produces recycled concrete with treated recycled aggregates. We systematically investigated the optimization mechanism of the physical properties of recycled aggregate by CSS pre-impregnation–carbonation treatment, the improvement effect on the mechanical properties of recycled concrete, and the change rule of the microstructure before and after the treatment. The main findings of the study are as follows:
(1)
The CSS pre-immersing carbonation treatment significantly improves the physical properties of recycled coarse aggregates. This is because pretreatment with carbide slag slurry substantially enhances carbonation reaction efficiency and improves its surface modification effects. Compared to the untreated aggregate, the physical properties of the recycled aggregate after the synergistic treatment of CSS pre-immersed carbonation are more prominent; 5–10 mm and 10–20 mm recycled aggregate water absorption decreased by 30.07% and 26.70%, respectively; the crushing value decreased by 18.6% and 17.2%; and the apparent density increased by 8.69% and 6.09%.
(2)
Pre-immersion of CSS carbonated recycled aggregate can significantly improve the mechanical characteristics of recycled concrete. The reason is that carbonation enhances the strength of old/adhered mortar, improves bonding at the matrix interface, and promotes the formation of denser concrete structures. Pretreatment with CSS provides additional calcium ions to recycled aggregates, establishing optimal conditions for subsequent carbonation. Consequently, the synergistic CSS pretreatment-carbonation treatment delivers the most significant performance improvement in recycled aggregate concrete. CSS pre-immersed carbonated recycled aggregate concrete improved its 3d, 7d, and 28d compressive strength by 3.5, 4.1, and 5.1 MPa, splitting tensile strength by 0.6 and 0.8 MPa in 7d and 28d and flexural strength by 0.8 and 1.2 MPa in 7d and 28d, respectively.
(3)
Microstructural analysis indicated that the carbonation alteration had a dual enhancing mechanism for concrete densification. XRD test results show that carbonation of pre-immersed CSS slag slurry significantly increased the height of the characteristic CaCO3 peak in recycled aggregate compared to untreated recycled concrete. The reaction products were filled in the ITZ, resulting in an effective enhancement of the ITZ strength. SEM analysis revealed that CO2 reacted with CH and C-S-H to produce calcite-type calcium carbonate and amorphous silica gel in concrete made from recycled aggregates pre-immersed with CSS slurry. This effectively filled the microcracks and pores in the aggregate mortar interface’s transition zone (ITZ). EDS studies revealed that the prepreg recycled aggregate increased CaCO3 production and efficiently filled microcracks and pores in the interfacial transition zone.

Author Contributions

Conceptualization, G.G. and X.W.; methodology, G.G. and C.L.; validation, M.B. and J.L.; writing—original draft, X.W. and G.G.; data curation, X.W. and G.G.; visualization, J.L. and M.B.; supervision, C.L. and G.G. All authors have read and agreed to the published version of the manuscript.

Funding

This work was financially supported by the Basic Scientific Research Funds for provincial universities in Heilongjiang Province (145309620) and the Special Programme for Central Guided Local Scientific and Technological Development (ZY23QY12).

Institutional Review Board Statement

Not applicable.

Informed Consent Statement

Not applicable.

Data Availability Statement

The original contributions presented in this study are included in the article. Further inquiries can be directed to the corresponding author.

Acknowledgments

The authors would like to express their sincere gratitude to Xinyu Cement Products Co., Ltd. (Qiqihar), for providing the recycled concrete aggregates used in this experiment. They also wish to acknowledge the contribution of Daoming Zhang, an employee of the company, in this project.

Conflicts of Interest

The authors declare no conflicts of interest.

Abbreviations

The following abbreviations are used in this manuscript:
CSScarbide slag slurry
FAfine aggregate
NCANatural Concrete Aggregate
RCArecycled concrete aggregate
D-RCADirect Carbonation Recycled Concrete Aggregate
C-RCACarbide Slag Slurry Pre-impregnation Carbonated Recycled Concrete Aggregate
NACnatural aggregate concrete
RACrecycled aggregate concrete
D-RACDirect Carbonation Recycled Aggregate Concrete
C-RACCarbide Slag Slurry Pre-impregnation Carbonated Recycled Aggregate Concrete

References

  1. Evangelista, L.; De Brito, J.M.C.L. Durability performance of concrete made with fine recycled concrete aggregates. Cem. Concr. Comp. 2010, 32, 9–14. [Google Scholar] [CrossRef]
  2. Han, L.; Gao, W.; Tao, Y.; Liu, L. Meso-Scale Breakage Characteristics of Recycling Construction and Demolition Waste Subgrade Material Under Compaction Effort. Materials 2025, 18, 2439. [Google Scholar] [CrossRef] [PubMed]
  3. Safiuddin, M.; Alengaram, U.J.; Rahman, M.M.; Salam, M.A.; Jumaat, M.Z. Use of recycled concrete aggregate in concrete: A review. J. Civ. Eng. Manag. 2013, 19, 796–810. [Google Scholar] [CrossRef]
  4. Anzani, A.; Cardani, G.; Condoleo, P.; Garavaglia, E.; Saisi, A.; Tedeschi, C.; Valluzzi, M.R. Understanding of historical masonry for conservation approaches: The contribution of Prof. Luigia Binda to research advancement. Mater. Struct. 2018, 51, 1–27. [Google Scholar] [CrossRef]
  5. Aiken, T.A.; Kwasny, J.; Sha, W.; Tong, K.T. Mechanical and durability properties of alkali-activated fly ash concrete with increasing slag content. Constr. Build. Mater. 2021, 301, 124330. [Google Scholar] [CrossRef]
  6. Dai, X.; Aydın, S.; Yardımcı, M.Y.; Lesage, K.; De Schutter, G. Effects of activator properties and GGBFS/FA ratio on the structural build-up and rheology of AAC. Cem. Concr. Res. 2020, 138, 106253. [Google Scholar] [CrossRef]
  7. Luo, M.; Zhao, Y.; Ji, A.; Ding, Z. Enhancing recycled aggregates quality through biological deposition treatment. J. Build. Eng. 2025, 100, 111681. [Google Scholar] [CrossRef]
  8. Zhan, B.J.; Xuan, D.X.; Poon, C.S. Enhancement of recycled aggregate properties by accelerated CO2 curing coupled with limewater soaking process. Cem. Concr. Comp. 2018, 89, 230–237. [Google Scholar] [CrossRef]
  9. Xuan, D.; Zhan, B.; Poon, C.S. Assessment of mechanical properties of concrete incorporating carbonated recycled concrete aggregates. Cem. Concr. Comp. 2016, 65, 67–74. [Google Scholar] [CrossRef]
  10. Ouyang, K.; Shi, C.; Chu, H.; Guo, H.; Song, B.; Ding, Y.; Zheng, J. An overview on the efficiency of different pretreatment techniques for recycled concrete aggregate. J. Clean. Prod. 2020, 263, 121264. [Google Scholar] [CrossRef]
  11. Wang, J.; Zhang, J.; Cao, D.; Dang, H.; Ding, B. Comparison of recycled aggregate treatment methods on the performance for recycled concrete. Constr. Build. Mater. 2020, 234, 117366. [Google Scholar] [CrossRef]
  12. Butler, L.; West, J.S.; Tighe, S.L. The effect of recycled concrete aggregate properties on the bond strength between RCA concrete and steel reinforcement. Cem. Concr. Res. 2011, 41, 1037–1049. [Google Scholar] [CrossRef]
  13. Zhang, H.; Wang, Y.Y.; Wang, Q.; Geng, Y. Experimental study and prediction model for non-uniform shrinkage of recycled aggregate concrete in composite slabs. Constr. Build. Mater. 2022, 329, 127142. [Google Scholar] [CrossRef]
  14. Ollivier, J.P.; Maso, J.C.; Bourdette, B. Interfacial transition zone in concrete. Adv. Cem. Based Mater. 1995, 2, 30–38. [Google Scholar] [CrossRef]
  15. Tang, W.C.; Lo, T.Y. Shear strengthening of polystyrene aggregate concrete beams with near surface mounted GFRP bars. Mater. Res. Innov. 2010, 14, 138–145. [Google Scholar] [CrossRef]
  16. Kong, D.; Lei, T.; Zheng, J.; Ma, C.; Jiang, J.; Jiang, J. Effect and mechanism of surface-coating pozzalanics materials around aggregate on properties and itz microstructure of recycled aggregate concrete. Constr. Build. Mater. 2010, 24, 701–708. [Google Scholar] [CrossRef]
  17. Li, X.; Tian, C.; Li, M.; Zhan, Q.; Wang, X.; Dong, W. Study on the Performance Enhancement of Recycled Fine Aggregate Through Carbonation with Calcium Source Supplied by Industrial Waste Residue. Materials 2025, 18, 1589. [Google Scholar] [CrossRef]
  18. Wang, H.; Xu, W.; Sharif, M.; Cheng, G.; Zhang, Z. Resource utilization of solid waste carbide slag: A brief review of application technologies in various scenes. Waste Dispos. Sust. En. 2022, 4, 1–16. [Google Scholar] [CrossRef]
  19. Arulrajah, A.; Mohammadinia, A.; Phummiphan, I.; Horpibulsuk, S.; Samingthong, W. Stabilization of recycled demolition aggregates by geopolymers comprising calcium carbide residue, fly ash and slag precursors. Constr. Build. Mater. 2016, 114, 864–873. [Google Scholar] [CrossRef]
  20. Ma, Y.; Zhang, X.; Du, Z.; Hou, H.; Zheng, Y. Research on utilizable calcium from calcium carbide slag with different extractors and its effect on CO2 mineralization. Materials 2024, 17, 1068. [Google Scholar] [CrossRef]
  21. GB 175-2023; Standard for General Silicate Cement. Standards Press of China: Beijing, China, 2023. (In Chinese)
  22. Ying, J.; Meng, Q.; Xiao, J. Effect of CO2-modified recycled aggregate on compressive strength of concrete. J. Build. Mater. 2017, 20, 277–282. [Google Scholar]
  23. GB/T 50010-2010; Code for Design of Concrete Structures. Standards Press of China: Beijing, China, 2010. (In Chinese)
  24. GB/T 50080-2016; Standard Test Methods for Properties of Ordinary Concrete Mixes. Standards Press of China: Beijing, China, 2016. (In Chinese)
  25. GB/T 14685-2022; Pebble and Crushed Stone for Construction. Standards Press of China: Beijing, China, 2022. (In Chinese)
  26. GB/T50081-2019; Standard for the Testing of the Physical and Mechanical Properties of Concrete. Standards Press of China: Beijing, China, 2019. (In Chinese)
  27. Zhan, B.; Poon, C.S.; Liu, Q.; Kou, S.; Shi, C. Experimental study on CO2 curing for enhancement of recycled aggregate properties. Constr. Build. Mater. 2014, 67, 3–7. [Google Scholar] [CrossRef]
  28. Lu, B.; Shi, C.; Cao, Z.; Guo, M.; Zheng, J. Effect of carbonated coarse recycled concrete aggregate on the properties and microstructure of recycled concrete. J. Clean. Prod. 2019, 233, 421–428. [Google Scholar] [CrossRef]
  29. Zhang, J.; Shi, C.; Li, Y.; Pan, X.; Poon, C.S.; Xie, Z. Influence of carbonated recycled concrete aggregate on properties of cement mortar. Constr. Build. Mater. 2015, 98, 1–7. [Google Scholar] [CrossRef]
  30. Vargas, P.; Restrepo-Baena, O.; Tobón, J.I. Microstructural analysis of interfacial transition zone (ITZ) and its impact on the compressive strength of lightweight concretes. Constr. Build. Mater. 2017, 137, 381–389. [Google Scholar] [CrossRef]
  31. Xuan, D.; Zhan, B.; Poon, C.S. Development of a new generation of eco-friendly concrete blocks by accelerated mineral carbonation. J. Clean. Prod. 2016, 133, 1235–1241. [Google Scholar] [CrossRef]
  32. Zhao, Z.F.; Jin, P.F.; Zhao, Q.Q. Influence of laboratory accelerated carbonation on the properties of recycled concrete aggregates. Adv. Mater. Res. 2014, 919, 1817–1820. [Google Scholar] [CrossRef]
  33. Fang, X.; Zhan, B.; Poon, C.S. Enhancing the accelerated carbonation of recycled concrete aggregates by using reclaimed wastewater from concrete batching plants. Constr. Build. Mater. 2020, 239, 117810. [Google Scholar] [CrossRef]
  34. Papadakis, V.G.; Vayenas, C.G.; Fardis, M.N. Experimental investigation and mathematical modeling of the concrete carbonation problem. Chem. Eng. Sci. 1991, 46, 1333–1338. [Google Scholar] [CrossRef]
  35. Morales-Flórez, V.; Findling, N.; Brunet, F. Changes on the nanostructure of cementitius calcium silicate hydrates (C–S–H) induced by aqueous carbonation. J. Mater. Sci. 2012, 47, 764–771. [Google Scholar] [CrossRef]
  36. GB 50164-2011; Concrete Quality Control Standards. Standards Press of China: Beijing, China, 2019. (In Chinese)
  37. Peng, Y.; Unluer, C. Modeling the mechanical properties of recycled aggregate concrete using hybrid machine learning algorithms. Resour. Conserv. Recy 2023, 190, 106812. [Google Scholar] [CrossRef]
  38. Tabsh, S.W.; Abdelfatah, A.S. Influence of recycled concrete aggregates on strength properties of concrete. Constr. Build. Mater. 2009, 23, 1163–1167. [Google Scholar] [CrossRef]
  39. Zhang, C.S.; Li, Y.J.; Ding, H.; Wu, J.; Ning, W. Mechanical Properties of Recycled Coarse Aggregate Concrete with Pre-soaking in Lime Water and Carbonated Aggregates. J. Build. Mater. 2022, 25, 8. (In Chinese) [Google Scholar]
  40. Zhan, B.J.; Poon, C.S.; Shi, C.J. Materials characteristics affecting CO2 curing of concrete blocks containing recycled aggregates. Cem. Concr. Comp. 2016, 67, 50–59. [Google Scholar] [CrossRef]
  41. Zhang, J.; Shi, C.; Li, Y.; Pan, X.; Poon, C.S.; Xie, Z. Performance enhancement of recycled concrete aggregates through carbonation. J. Mater. Civ. Eng. 2015, 27, 04015029. [Google Scholar] [CrossRef]
  42. Xiao, J.; Lei, B.; Zhang, C. On carbonation behavior of recycled aggregate concrete. Sci. China Technol. Sci. 2012, 55, 2609–2616. [Google Scholar] [CrossRef]
  43. Yang, J.; Zhao, G.; Yin, H.; Feng, Y.; Zhang, P. Effects of C-S-H gel surface structure on sodium chloride evaporation crystallization in C-S-H gel nanopores with molecular dynamics analysis. Appl. Surf. Sci. 2023, 639, 158159. [Google Scholar] [CrossRef]
  44. Li, L.; Liu, Q.; Huang, T.; Peng, W. Mineralization and utilization of CO2 in construction and demolition wastes recycling for building materials: A systematic review of recycled concrete aggregate and recycled hardened cement powder. Sep. Purif. Technol. 2022, 298, 121512. [Google Scholar] [CrossRef]
  45. Pan, G.; Zhan, M.; Fu, M.; Wang, Y.; Lu, X. Effect of CO2 curing on demolition recycled fine aggregates enhanced by calcium hydroxide pre-soaking. Constr. Build. Mater. 2017, 154, 810–818. [Google Scholar] [CrossRef]
  46. Ouyang, X.; Wang, L.; Xu, S.; Ma, Y.; Ye, G. Surface characterization of carbonated recycled concrete fines and its effect on the rheology, hydration and strength development of cement paste. Cem. Concr. Comp. 2020, 114, 103809. [Google Scholar] [CrossRef]
Figure 1. Grain size distributions of (a) fine aggregate and (b) coarse aggregate.
Figure 1. Grain size distributions of (a) fine aggregate and (b) coarse aggregate.
Materials 18 03281 g001
Figure 2. Reaction of CSS pre-immersed recycled aggregates with phenolphthalein for varied carbonation durations.
Figure 2. Reaction of CSS pre-immersed recycled aggregates with phenolphthalein for varied carbonation durations.
Materials 18 03281 g002
Figure 3. Carbonation device: (a) actual carbonation device; (b) schematic diagram of carbonation device.
Figure 3. Carbonation device: (a) actual carbonation device; (b) schematic diagram of carbonation device.
Materials 18 03281 g003
Figure 4. Effect of carbonation duration on water absorption of CCS pre-immersed recycled aggregates: (a) 5–10 mm C-RCA, (b) 10–20 mm C-RCA.
Figure 4. Effect of carbonation duration on water absorption of CCS pre-immersed recycled aggregates: (a) 5–10 mm C-RCA, (b) 10–20 mm C-RCA.
Materials 18 03281 g004
Figure 5. Effect of CSS pre-immersed carbonation treatment on water absorption of recycled aggregates: (a) water absorption rate, (b) decrease rate.
Figure 5. Effect of CSS pre-immersed carbonation treatment on water absorption of recycled aggregates: (a) water absorption rate, (b) decrease rate.
Materials 18 03281 g005
Figure 6. Effect of CSS slurry pre-immersed carbonation treatment on the crushing value of recycled aggregates: (a) crushing value, (b) decrease rate.
Figure 6. Effect of CSS slurry pre-immersed carbonation treatment on the crushing value of recycled aggregates: (a) crushing value, (b) decrease rate.
Materials 18 03281 g006
Figure 7. Effect of CSS pre-immersed carbonation treatment on the apparent density of recycled aggregates: (a) apparent density, (b) increase rate.
Figure 7. Effect of CSS pre-immersed carbonation treatment on the apparent density of recycled aggregates: (a) apparent density, (b) increase rate.
Materials 18 03281 g007
Figure 8. Slump value.
Figure 8. Slump value.
Materials 18 03281 g008
Figure 9. Effect of pre-immersed carbonation of CSS on compressive strength of recycled concrete: (a) compressive strength, (b) strength growth rate.
Figure 9. Effect of pre-immersed carbonation of CSS on compressive strength of recycled concrete: (a) compressive strength, (b) strength growth rate.
Materials 18 03281 g009
Figure 11. Effect of pre-immersed carbonation treatment of CSS on flexural strength of recycled concrete: (a) flexural strength, (b) strength growth rate.
Figure 11. Effect of pre-immersed carbonation treatment of CSS on flexural strength of recycled concrete: (a) flexural strength, (b) strength growth rate.
Materials 18 03281 g011
Figure 12. X-ray diffraction pattern of RCA.
Figure 12. X-ray diffraction pattern of RCA.
Materials 18 03281 g012
Figure 13. Microstructure of recycled aggregate concrete.
Figure 13. Microstructure of recycled aggregate concrete.
Materials 18 03281 g013
Figure 14. EDS scan of recycled aggregates.
Figure 14. EDS scan of recycled aggregates.
Materials 18 03281 g014
Figure 10. Effect of CSS pre-immersed carbonation treatment on split tensile strength of recycled concrete: (a) splitting tensile strength, (b) strength growth rate.
Figure 10. Effect of CSS pre-immersed carbonation treatment on split tensile strength of recycled concrete: (a) splitting tensile strength, (b) strength growth rate.
Materials 18 03281 g010
Figure 15. Mechanism of CSS pre-immersed carbonation to improve performance of recycled aggregates. (a) RCA. (b) CSS pre-immersed recycled aggregate. (c) Recycled aggregates after pre-immersed CSS treatment. (d) Recycled aggregate after carbonation pretreatment. (e) C-RCA. (f) C-RAC.
Figure 15. Mechanism of CSS pre-immersed carbonation to improve performance of recycled aggregates. (a) RCA. (b) CSS pre-immersed recycled aggregate. (c) Recycled aggregates after pre-immersed CSS treatment. (d) Recycled aggregate after carbonation pretreatment. (e) C-RCA. (f) C-RAC.
Materials 18 03281 g015
Table 1. Chemical composition of the cement (wt%).
Table 1. Chemical composition of the cement (wt%).
CaOSiO2Al2O3Fe2O3MgOK2ONa2O
49.4931.59.73.933.311.310.76
Table 2. Physical properties of aggregates.
Table 2. Physical properties of aggregates.
Physical Property5–10 mm NCA10–20 mm NCA5–10 mm RCA10–20 mm RCA
Apparent density (kg/m3)2821274024652545
Water absorption rate (%)0.880.628.684.79
Crushing value (%)19.9817.825.9723.2
Los Angeles Abrasion Loss Rate (%)18153128
Moisture content (%)1.81.81.951.95
Packing density (kg/m3)1405142512301260
Flakiness Index (%)10.67.24.63.5
Elongation Index (%)12.410.87.16.0
Table 3. Carbide slag composition (wt%).
Table 3. Carbide slag composition (wt%).
Chemical CompositionCaOSiO2Al2O3Fe2O3MgOK2ONa2OImpurityTotal
Ratio71.122.410.540.40.310.260.1524.81100
Table 4. Mix proportions of concrete (kg/m3).
Table 4. Mix proportions of concrete (kg/m3).
SpecimensCementFANCARACD-RACC-RACWater
NAC3506501000000175
RAC35065070030000175
D-RAC35065070003000175
C-RAC35065070000300175
Table 5. Detailed cost (CNY/ton).
Table 5. Detailed cost (CNY/ton).
GroupRaw Material CostCrushing and Screening
Treatment Cost
CSS Pre-Immersed and Carbonation TreatmentTotal
NA800080
C-RCA08–126068–72
Disclaimer/Publisher’s Note: The statements, opinions and data contained in all publications are solely those of the individual author(s) and contributor(s) and not of MDPI and/or the editor(s). MDPI and/or the editor(s) disclaim responsibility for any injury to people or property resulting from any ideas, methods, instructions or products referred to in the content.

Share and Cite

MDPI and ACS Style

Wang, X.; Guo, G.; Liu, J.; Lv, C.; Bi, M. Mechanical Properties of Recycled Concrete with Carbide Slag Slurry Pre-Immersed and Carbonated Recycled Aggregate. Materials 2025, 18, 3281. https://doi.org/10.3390/ma18143281

AMA Style

Wang X, Guo G, Liu J, Lv C, Bi M. Mechanical Properties of Recycled Concrete with Carbide Slag Slurry Pre-Immersed and Carbonated Recycled Aggregate. Materials. 2025; 18(14):3281. https://doi.org/10.3390/ma18143281

Chicago/Turabian Style

Wang, Xiangfei, Guoliang Guo, Jinglei Liu, Chun Lv, and Mingyan Bi. 2025. "Mechanical Properties of Recycled Concrete with Carbide Slag Slurry Pre-Immersed and Carbonated Recycled Aggregate" Materials 18, no. 14: 3281. https://doi.org/10.3390/ma18143281

APA Style

Wang, X., Guo, G., Liu, J., Lv, C., & Bi, M. (2025). Mechanical Properties of Recycled Concrete with Carbide Slag Slurry Pre-Immersed and Carbonated Recycled Aggregate. Materials, 18(14), 3281. https://doi.org/10.3390/ma18143281

Note that from the first issue of 2016, this journal uses article numbers instead of page numbers. See further details here.

Article Metrics

Back to TopTop