Properties and Reaction Mechanism of Brucite-Based Magnesium Phosphate Cement Modified by Ammonium Chloride
Abstract
1. Introduction
| Types of Raw Materials | Raw Material Calcination Temperature (°C) | M/P a (Replace MPC) | Retarder Admixture b (%) | Setting Time/min | Compressive Strength/MPa | References | |||
|---|---|---|---|---|---|---|---|---|---|
| 3 h | 1 d | 28 d | |||||||
| Magnesium slag | 1000 | 2 | Borax | 0 | 8 | 58.1 | [16] | ||
| 5 | 10 | 67.2 | |||||||
| 8 | 18 | 56.4 | |||||||
| 10 | 19 | 52.7 | |||||||
| 12 | 21 | 43.3 | |||||||
| Dead-burned magnesia + Sintered sludge ash (SSA) | 800 | 2.5(0) | None | 3 | 26.8 | 35.5 | [17] | ||
| 2.5(5) | 4.2 | 26.9 | 36.3 | ||||||
| 2.5 (10) | 6 | 27.6 | 39.1 | ||||||
| 2.5 (15) | 9.5 | 28.4 | 43.2 | ||||||
| 2.5 (20) | 12 | 19.1 | 29.3 | ||||||
| 2.5 (25) | 13 | 13.5 | 25.4 | ||||||
| Dead-burned magnesia/ Steel slag (SS) | >1600/ No need for calcination | 3(0) | Borax 5 | 14.5 | 38.8 | 41.9 | 51.6 | [18] | |
| 5 | 12.5 | 33.8 | 39.2 | 52.1 | |||||
| 10 | 10.2 | 32.6 | 41.1 | 54.6 | |||||
| 15 | 8.4 | 27.9 | 39.6 | 54.5 | |||||
| 20 | 6.5 | 18.8 | 38.1 | 48.9 | |||||
| Abandoned magnesia refractory brick | No need for calcination | 1.5 | Borax 5 | 42 | 35.1 | 45.2 | 65.8 | [19] | |
| 2 | 37 | 39.1 | 52.1 | 68.5 | |||||
| 2.5 | 32 | 26.2 | 47.3 | 68.2 | |||||
| Dead-burned magnesia/ Abandoned lithium waste | 1500/ No need for calcination | 3 (0) | Borax 5 STP 5 | 19 | 43.5 | 56.1 | [20] | ||
| 10 | 21 | 46.4 | 62.8 | ||||||
| 20 | 24 | 31.8 | 42.4 | ||||||
| 30 | 26 | 33.3 | 38.3 | ||||||
| 40 | 30 | 14.2 | 18.0 | ||||||
| 50 | 35 | 6.5 | 15.1 | ||||||
| Dolomite +quartz | 1250 | 1.0 | Borax 5 | 25 | [21] | ||||
| 1.5 | 16 | 21.9 | 52.9 | 54.8 | |||||
| 2.0 | 7.5 | ||||||||
| Boron mud | 800 | 3 | Borax 5 | 9.5 | 24.6 | 35.3 | 53.9 | [22] | |
| 850 | 11.0 | 19.3 | 30.6 | 48.8 | |||||
| 900 | 15.0 | 11.7 | 22.5 | 37.5 | |||||
2. Materials and Methods
2.1. Raw Materials
2.2. Sample Preparation
2.3. Testing Methods
2.3.1. Macroscopic Performance Testing
2.3.2. Liquid Phase pH Test and Ion Concentration
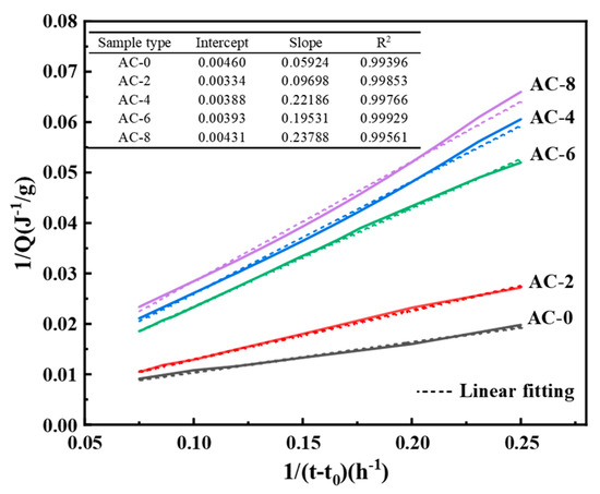
2.3.3. Isothermal Calorimetry
2.3.4. Microscopic Testing
- (1)
- X-ray Diffraction (XRD)
- (2)
- Thermogravimetry (TG)
- (3)
- Mercury Intrusion Porosimetry (MIP)
3. Results and Discussion
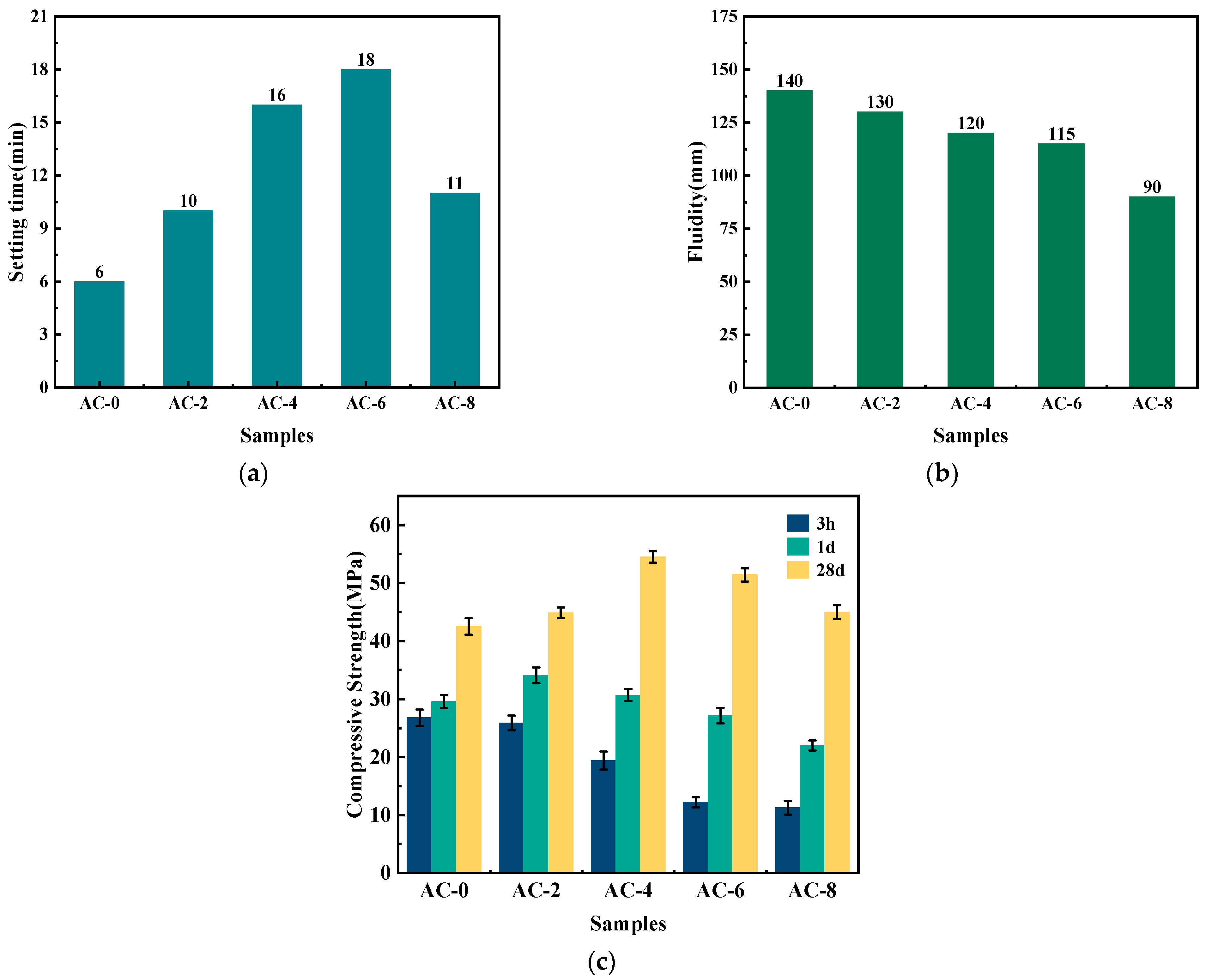
3.1. The Effect of AC on Macroscopic Properties of BMPC Paste
3.2. The Effect of AC on Hydration Process of BMPC
3.3. The Effect of AC on Liquid Phase pH Value and Ion Concentration
3.4. Effect of Different AC Content on the Solubility of ADP
3.5. XRD Analysis
3.6. TG-DTG Analysis
3.7. MIP Analysis
3.8. Reducing Carbon Emissions, Costs, and Energy Consumption in the BMPC Production Process
4. Conclusions
- (1)
- The addition of AC has a significant effect on delaying the setting time as well as 540 improving the compressive strength. Considering the setting time, fluidity, and compressive strength, the optimum dosage of AC was 4%. In this case, the setting time, fluidity, and compressive strength of BMPC at 3 h and 28 d were 16 min, 120 mm, 20.5 Mpa, and 54.5 Mpa, respectively.
- (2)
- The addition of AC, on the one hand, slowed down the dissolution of brucite by inhibiting the dissociation of ammonium dihydrogen phosphate, thus slowing down the overall rate of the reaction; on the other hand, the addition of the appropriate amount of AC supplemented the NH4+ needed to participate in the reaction to make the reaction more complete, and the generation of the hydration product struvite was increased, which increased the compressive strength of BMPC in the late stage.
- (3)
- The addition of an appropriate amount of AC can optimize the pore structure and reduce the porosity of the BMPC matrix, and the addition of AC can make the reaction more adequate, and have a certain filling effect on the large pores of BMPC, reducing the maximum pore size of BMPC.
- (4)
- The use of brucite as a complete replacement for magnesite not only significantly reduces carbon emissions and costs compared to the use of reburned magnesium oxide for MPC preparation, but also the successful application of brucite in MPC production will broaden the range of raw material choices.
Author Contributions
Funding
Institutional Review Board Statement
Informed Consent Statement
Data Availability Statement
Conflicts of Interest
References
- Wagh, A.S.; Jeong, S.Y. Chemically bonded phosphate ceramics: I, a dissolution model of formation. J. Am. Ceram. Soc. 2003, 86, 1838–1844. [Google Scholar] [CrossRef]
- Li, J.; Zhang, W.; Cao, Y. Laboratory evaluation of magnesium phosphate cement paste and mortar for rapid repair of cement concrete pavement. Constr. Build. Mater. 2014, 58, 122–128. [Google Scholar] [CrossRef]
- Chen, B.; Oderji, S.Y.; Chandan, S.; Fan, S. Feasibility of Magnesium Phosphate Cement (MPC) as a repair material for ballastless track slab. Constr. Build. Mater. 2017, 154, 270–274. [Google Scholar] [CrossRef]
- Qiao, F.; Chau, C.K.; Li, Z. Property evaluation of magnesium phosphate cement mortar as patch repair material. Constr. Build. Mater. 2010, 24, 695–700. [Google Scholar] [CrossRef]
- Wang, S.; Xu, C.; Yu, S.; Wu, X.; Jie, Z.; Dai, H. Citric acid enhances the physical properties, cytocompatibility and osteogenesis of magnesium calcium phosphate cement. J. Mech. Behav. Biomed. Mater. 2019, 94, 42–50. [Google Scholar] [CrossRef]
- Shen, X.; Wang, X.; Li, K.; Hu, X.; Shi, C. Life cycle assessment of magnesium phosphate cement production. J. Clean. Prod. 2024, 467, 142981. [Google Scholar] [CrossRef]
- Li, P.; Chen, B.; Cui, Q. A probabilistic life-cycle assessment of carbon emission from magnesium phosphate cementitious material with uncertainty analysis. J. Clean. Prod. 2023, 427, 139164. [Google Scholar] [CrossRef]
- Fu, Y.; Yin, W.; Dong, X.; Sun, C.; Yang, B.; Yao, J.; Li, H.; Li, C.; Kim, H. New insights into the flotation responses of brucite and serpentine for different conditioning times: Surface dissolution behavior. Int. J. Miner. Metall. Mater. 2021, 28, 1898–1907. [Google Scholar] [CrossRef]
- Gong, X.; Yao, J.; Yang, B.; Yin, W.; Guo, J.; Song, N.; Wang, Y.; Sun, H. Activation–inhibition mechanism of diammonium hydrogen phosphate in flotation separation of brucite and calcite. J. Environ. Chem. Eng. 2023, 11, 110184. [Google Scholar] [CrossRef]
- Gong, X.; Yao, J.; Yang, B.; Yin, W.; Wang, Y.; Fu, Y. Selective adsorption of the activator diammonium hydrogen phosphate in the reverse flotation separation of brucite and dolomite. Powder Technol. 2023, 429, 118923. [Google Scholar] [CrossRef]
- Spry, P.G.; Cody, R.D.; Cody, A.M.; Spry, P.G. Observations on brucite formation and the role of brucite in Iowa highway concrete deterioration. Environ. Eng. Geosci. 2002, 8, 137–145. [Google Scholar]
- Simandl, G.J.; Irvine, S.P.M. Brucite–industrial mineral with a future. Geosci. Can. 2007, 34, 57–64. [Google Scholar]
- Zhang, Y.; Sun, Y.; Xu, K.; Yuan, Z.; Zhang, J.; Chen, R.; Xie, H.; Cheng, R. Brucite modified epoxy mortar binders: Flame retardancy, thermal and mechanical characterization. Constr. Build. Mater. 2015, 93, 1089–1096. [Google Scholar] [CrossRef]
- Long, S. Study on Preparation and Properties of Low Carbon Phosphate-Activated Cementitious Materials. Master’s Thesis, Beijing University of Technology, Beijing, China, 2023; pp. 1–135. Available online: https://libthesis.bjut.edu.cn/detail?keyid=PnORd%2F7OK%2F7UUuBawuY4M8QlYuqmwhQD8RIfCaKVcxA%3D (accessed on 18 June 2025).
- Long, S.; Li, Y.; Wang, N.; Wang, Z.; Lin, H. Research on the influence of ultrafine metakaolin on the properties of magnesium phosphate cement prepared by natural brucite. Constr. Build. Mater. 2024, 452, 138952. [Google Scholar] [CrossRef]
- Dong, J.; Zheng, W.; Chang, C.; Wen, J.; Xiao, X. Function and effect of borax on magnesium phosphate cement prepared by magnesium slag after salt lake lithium extraction. Constr. Build. Mater. 2023, 366, 130280. [Google Scholar] [CrossRef]
- Zhang, J.; Qi, Y.; Yang, Y.; Long, W.; Dong, B. Enhancement of magnesium phosphate cement with sintered sludge ash. Dev. Built Environ. 2024, 17, 100313. [Google Scholar] [CrossRef]
- Jing, Y.; Jiang, Y.; Chen, B.; Wang, L. Influence of steel slag powder on the characteristics of magnesium phosphate cement. J. Build. Eng. 2023, 77, 107454. [Google Scholar] [CrossRef]
- Wang, X.; Li, X.; Lian, L.; Jia, X.; Qian, J. Recycling of waste magnesia refractory brick powder in preparing magnesium phosphate cement mortar: Hydration activity, mechanical properties and long-term performance. Constr. Build. Mater. 2023, 402, 133019. [Google Scholar] [CrossRef]
- Dong, P.; Ahmad, M.R.; Chen, B.; Munir, M.J.; Kazmi, S.M.S. Preparation and study of magnesium ammonium phosphate cement from waste lithium slag. J. Clean. Prod. 2021, 316, 128371. [Google Scholar] [CrossRef]
- Yu, J.; Qian, J.; Wang, F.; Qin, J.; Dai, X.; You, C.; Jia, X. Study of using dolomite ores as raw materials to produce magnesium phosphate cement. Constr. Build. Mater. 2020, 253, 119147. [Google Scholar] [CrossRef]
- Yu, J.; Lin, L.; Qian, J.; Jia, X.; Wang, F. Preparation and properties of a low-cost magnesium phosphate cement with the industrial by-products boron muds. Constr. Build. Mater. 2021, 302, 124400. [Google Scholar] [CrossRef]
- T/CMMA 10-2023; Magnesium Phosphate Composite Material. China Magnesite Industry Association: Beijing, China, 2023.
- GB/T1346-2011; Test Methods for Water Requirement of Normal Consistency, Setting Time and Soundness of the Portland Cement. China Building Materials Federation: Beijing, China, 2011.
- GB/T8077-2012; Methods for Testing Uniformity of Concrete Admixture. China Building Materials Federation: Beijing, China, 2012.
- HJ669-2013; Water Quality-Determination of Phosphate-Lon Chromatography. Suzhou Environmental Monitoring Center Station: Suzhou, China, 2013.
- ASTM D4404; Standard Test Method for Determination of Pore Volume and Pore Volume Distribution of Soil and Rock by Mercury Intrusion Porosimetry. ASTM Committee: West Conshohocken, PA, USA, 2018.
- Knudsen, T. On particle size distribution in cement hydration. In Proceedings of the 7th International Congress on the Chemistry of Cement, Paris, France, 30 June–4 July 1980; pp. 170–175. [Google Scholar]
- Taylor, H.F.W. Cement Chemistry, Scotland, 2nd ed.; Academic Press: London, UK, 1997. [Google Scholar]
- Lin, H.; Liu, H.; Li, Y.; Kong, X. Properties and reaction mechanism of phosphoric acid activated metakaolin geopolymer at varied curing temperatures. Cem. Concr. Res. 2021, 144, 106425. [Google Scholar] [CrossRef]
- Li, Y.; Wang, Q.; Sun, J.; Lin, H.; Luo, X. Properties and reaction mechanism of magnesium phosphate cement modified by calcium lactate. Constr. Build. Mater. 2024, 419, 135565. [Google Scholar] [CrossRef]
- Caselles, L.D.; Coumes, C.C.D.; Antonucci, P.; Rousselet, A.; Mesbah, A.; Montouillout, V. Chemical degradation of magnesium potassium phosphate cement pastes during leaching by demineralized water: Experimental investigation and modeling. Cem. Concr. Res. 2024, 178, 107456. [Google Scholar] [CrossRef]
- Alexandru, H.V. Growth kinetic of prismatic faces of ammonium dihydrogen phosphate crystal in solutions. J. Cryst. Growth 1996, 169, 347–354. [Google Scholar] [CrossRef]
- Ghosh, B.; Chakraborty, J.; Abualreish, M.J.A.; Mondal, P.; Mahali, K.; Henaish, A.M.A.; Roy, S. Study on solubility and solvation thermodynamics for the advancement of biorelevant activities of L-isoleucine and L-serine in aqueous ammonium chloride solutions in the temperature range of 288.15–308.15 K. Biochem. Biophys. Res. Commun. 2024, 735, 150809. [Google Scholar] [CrossRef]
- Peter, A.; Matthew, E.; Fabian, E. Principle of Common-ion Effect and its Application in Chemistry: A Review. J. Chem. Lett. 2020, 1, 77–83. [Google Scholar]
- Hongjun, Z. Application and Development of Chemical Concept Based on Subject Understanding: Lonization Equilibrium Constant. Chin. J. Chem. Educ. 2023, 44, 108–111. [Google Scholar] [CrossRef]
- Alexandru, H.V. KDP kinetics and dislocation efficiency of growth. J. Cryst. Growth 1999, 205, 215–222. [Google Scholar] [CrossRef]
- Lahalle, H.; Coumes, C.C.D.; Mesbah, A.; Lambertin, D.; Cannes, C.; Delpech, S.; Gauffinet, S. Investigation of magnesium phosphate cement hydration in diluted suspension and its retardation by boric acid. Cem. Concr. Res. 2016, 87, 77–86. [Google Scholar] [CrossRef]
- Xu, B.; Lothenbach, B.; Leemann, A.; Winnefeld, F. Reaction mechanism of magnesium potassium phosphate cement with high magnesium-to-phosphate ratiod. Cem. Concr. Res. 2018, 108, 140–151. [Google Scholar] [CrossRef]
- Zafarani-Moattar, M.T.; Gasemi, J. Liquid–liquid equilibria of aqueous two-phase systems containing polyethylene glycol and ammonium dihydrogen phosphate or diammonium hydrogen phosphate. Experiment and correlation. Fluid Phase Equilibria 2002, 198, 281–291. [Google Scholar] [CrossRef]
- Tansel, B.; Lunn, G.; Monje, O. Struvite formation and decomposition characteristics for ammonia and phosphorus recovery: A review of magnesium-ammonia-phosphate interactions. Chemosphere 2018, 194, 504–514. [Google Scholar] [CrossRef]
- Sarkar, A.K. Hydration/dehydration characteristics of struvite and dittmarite pertaining to magnesium ammonium phosphate cement systems. J. Mater. Sci. 1991, 26, 2514–2518. [Google Scholar] [CrossRef]
- Abdelrazig, B.; Sharp, J.H. Phase changes on heating ammonium magnesium phosphate hydrates. Thermochim. Acta 1988, 129, 197–215. [Google Scholar] [CrossRef]
- Li, Y.; Lin, H. Experimental study on the effect of different dispersed degrees carbon nanotubes on the modification of magnesium phosphate cement. Constr. Build. Mater. 2019, 200, 240–247. [Google Scholar] [CrossRef]
- Li, Y.; Luo, X.; Lin, H.; Li, H.; Liu, Y.; Mu, J.; Pan, B. The impact of environmental humidity on the mechanical property and microstructure of magnesium silicate hydrate cement. Constr. Build. Mater. 2024, 425, 520–521. [Google Scholar] [CrossRef]
- Yu, J.; Qian, J.; Wang, F.; Li, Z.; Jia, X. Preparation and properties of a magnesium phosphate cement with dolomite. Cem. Concr. Res. 2020, 138, 106235. [Google Scholar] [CrossRef]
- Lin, H.; Li, Y.; Yang, B.; Xie, D. Effects of different admixtures on the working performance and mechanical properties of phosphogypsum slag-based composite cementitious materials. J. Build. Eng. 2024, 95, 110268. [Google Scholar] [CrossRef]
- Zhang, G.; Wang, Q.; Li, Y.; Zhang, M. Microstructure and micromechanical properties of magnesium phosphate cement. Cem. Concr. Res. 2023, 172, 107227. [Google Scholar] [CrossRef]
- Long, S.; Li, Y.; Wang, N.; Lin, H.; Wan, Z. Optimization of magnesium phosphate cement prepared by natural brucite using ultrafine metakaolin and metakaolin. J. Build. Eng. 2024, 98, 111459. [Google Scholar] [CrossRef]
- Li, Z.; Hua, Y.; Zhang, Z.; Huang, Y.; Zhang, P.; Qian, J. Direct carbonation of magnesium slag after salt lake lithium extraction for use as a cementitious material. Constr. Build. Mater. 2025, 471, 140545. [Google Scholar] [CrossRef]
- Shen, W.; Cao, L.; Li, Q.; Zhang, W.; Wang, G.; Li, C. Quantifying CO2 emissions from China’s cement industry. Renew. Sustain. Energy Rev. 2015, 50, 1004–1012. [Google Scholar] [CrossRef]
- Wang, C.; Cheng, L.; Ying, Y.; Yang, F. Utilization of all components of waste concrete: Recycled aggregate strengthening, recycled fine powder activity, composite recycled concrete and life cycle assessment. J. Build. Eng. 2024, 82, 108255. [Google Scholar] [CrossRef]













| Composition | MgO | CaO | SiO2 | Fe2O3 | Al2O3 | P2O5 | K2O | MnO | Others |
|---|---|---|---|---|---|---|---|---|---|
| Mass (%) | 81.355 | 9.168 | 7.263 | 1.202 | 0.569 | 0.156 | 0.12 | 0.091 | 0.086 |
| Samples | Brucite/ADP | B/Brucite | AC/Brucite (%) | Water/(Brucite + ADP) |
|---|---|---|---|---|
| AC-0 | 2 | 15 | 0 | 0.15 |
| AC-2 | 2 | 15 | 2 | 0.15 |
| AC-4 | 2 | 15 | 4 | 0.15 |
| AC-6 | 2 | 15 | 6 | 0.15 |
| AC-8 | 2 | 15 | 8 | 0.15 |
| Sample | Q(24) (J/g) | Qmax (J/g) | t50 (h) | Q(24)/Qmax |
|---|---|---|---|---|
| AC-0 | 191.2 | 217.4 | 0.21 | 87.9% |
| AC-2 | 204.9 | 254.5 | 0.41 | 80.5% |
| AC-4 | 199.2 | 257.7 | 0.95 | 77.3% |
| AC-6 | 199.8 | 299.4 | 0.97 | 66.5% |
| AC-8 | 200.1 | 232.0 | 0.92 | 86.3% |
| Samples | Mass Percentages of Various Components (wt %) | |
|---|---|---|
| M1 | M2 | |
| AC-0 | 23.86 | 12.77 |
| AC-2 | 24.39 | 10.99 |
| AC-4 | 25.07 | 11.87 |
| AC-6 | 24.66 | 13.26 |
| AC-8 | 24.16 | 12.32 |
Disclaimer/Publisher’s Note: The statements, opinions and data contained in all publications are solely those of the individual author(s) and contributor(s) and not of MDPI and/or the editor(s). MDPI and/or the editor(s) disclaim responsibility for any injury to people or property resulting from any ideas, methods, instructions or products referred to in the content. |
© 2025 by the authors. Licensee MDPI, Basel, Switzerland. This article is an open access article distributed under the terms and conditions of the Creative Commons Attribution (CC BY) license (https://creativecommons.org/licenses/by/4.0/).
Share and Cite
Chen, Y.; Zhou, D.; Liu, X.; Yang, B.; Lin, H.; Li, Y.; Shen, J. Properties and Reaction Mechanism of Brucite-Based Magnesium Phosphate Cement Modified by Ammonium Chloride. Materials 2025, 18, 3021. https://doi.org/10.3390/ma18133021
Chen Y, Zhou D, Liu X, Yang B, Lin H, Li Y, Shen J. Properties and Reaction Mechanism of Brucite-Based Magnesium Phosphate Cement Modified by Ammonium Chloride. Materials. 2025; 18(13):3021. https://doi.org/10.3390/ma18133021
Chicago/Turabian StyleChen, Yueping, Daxing Zhou, Xiaolong Liu, Bin Yang, Hui Lin, Yue Li, and Jiale Shen. 2025. "Properties and Reaction Mechanism of Brucite-Based Magnesium Phosphate Cement Modified by Ammonium Chloride" Materials 18, no. 13: 3021. https://doi.org/10.3390/ma18133021
APA StyleChen, Y., Zhou, D., Liu, X., Yang, B., Lin, H., Li, Y., & Shen, J. (2025). Properties and Reaction Mechanism of Brucite-Based Magnesium Phosphate Cement Modified by Ammonium Chloride. Materials, 18(13), 3021. https://doi.org/10.3390/ma18133021

