Abstract
The study investigates the problem of modeling cutting-force components through response surface methodology and reports the results of an investigation into the impact of machining parameters on the cutting mechanics of polymer–matrix composites. The novelty of this study is the modeling of cutting forces and the determination of mathematical models of these forces. The models describe the values of forces as a function of the milling parameters. In addition, the cutting resistance of the composites was determined. The influence of the material and rake angle of individual tools on the cutting force components was also determined. Measurements of the main (tangential) cutting force showed that, using large rake angles for uncoated carbide tools, one could obtain maximum force values that were similar to those obtained with polycrystalline diamond tools with a small rake angle. The results of the analysis of the tangential component of cutting resistance showed that, regardless of the rake angle, the values range from 140 N to 180 N. An analysis of the feed component of cutting resistance showed that the maximum values of this force ranged from 46 N to 133 N. The results showed that the highest values of the feed component of cutting resistance occurred during the machining of polymer composites with carbon fibers and that they were most affected by feed per tooth. It was also shown that the force models determined during milling with diamond insert tools had the highest coefficient of determination in the range of 0.90–0.99. The cutting resistance analysis showed that the values tested are in the range of 3.8 N/mm2 to 15.5 N/mm2.
1. Introduction
Polymer composites are employed wherever components must combine low specific mass with high mechanical strength []. These materials also exhibit high corrosion resistance, vibration-damping capability, and good electrical-insulation properties. Structurally, they consist of at least two constituents that form a heterogeneous, anisotropic system exhibiting direction-dependent physical properties []. Due to these advantageous characteristics, composite materials are widely adopted in applications where product performance, rather than cost, dictates material selection. Glass and carbon fiber-reinforced composites, saturated with epoxy resin, are used predominantly in the aerospace, space, and automotive sectors. Their resistance to aggressive environments further enhances their suitability for use in medical devices. Composite materials are also used for the regeneration and protection of surfaces against the effects of chemical substances occurring in the form of solids, liquids or gases. Often, the repaired surface of the composite is characterized by better parameters than that made of steel.
The variety of applications and advantageous properties of composites require the machining process to achieve the required shape and dimensional tolerances []. The primary methods of machining for polymer composites include turning, drilling and milling []. Machining operations performed on polymer composites are used to make cut-outs of complex shapes, make recesses and grooves, as well as to make and deepen holes. In milling operations, the side and front surfaces are machined to obtain appropriate roughness. The implementation of the milling process for polymer composites is related to the selection of machining conditions [].
One of the factors influencing the milling process is the selection of technological parameters, which depends on the material structure, fiber orientation, fiber content in the composite, fiber type, and desired surface roughness []. The typical range of cutting speeds used for machining polymer composites reinforced with glass fibers (GFRPs) and carbon fibers (CFRPs) ranges between 50 and 250 m/min [,], although this range is often extended up to 500 m/min []. As for feed per tooth, the recommended range is from 0.05 to 0.5 mm/tooth [,,]. The third milling parameter, the depth of cut, is recommended to be within 0.1 and 4 mm [,,]. Studies of the influence of milling parameters on polymer composites have shown that feed per tooth has the greatest impact on the surface quality after machining, with cutting speed being the second most significant parameter []. Studies have also demonstrated that the depth of cut does not significantly affect the machining quality of polymer composites. An increase in cutting speed, particularly in the case of glass fiber-reinforced plastics, results in a rise in thermal energy, which is primarily absorbed by the tool, thereby accelerating tool wear [].
Another vital aspect of milling polymer composites is the selection of the tool []. The choice of tools depends on the type of material being machined, the expected surface quality after machining and the size of a production batch. Typically, diamond plate tools are employed for milling polymer composites in larger production batches []. These tools are highly resistant to abrasion and maintain a sharp cutting edge for an extended period. Tools made of coated cemented carbides are also used. TiAlN-coated cemented carbides reduce the coefficient of friction during milling, which, combined with increased abrasion resistance of the tool, results in a longer service life of the blade []. Uncoated carbide tools wear out quickly suitable for small production batches where machining costs are a critical factor []. Ceramic tools are not used for machining polymer composites due to their heterogeneous nature. Ceramic tools have low strength and are brittle, which makes them highly susceptible to impact damage, and their very low thermal conductivity prevents effective dissipation of heat generated during machining []. Tools for machining polymer composites should be very sharp to ensure rapid material separation by cutting. Additionally, tool geometry is crucial due to its influence on cutting forces and surface defect formation [].
Results of previous studies on machining polymer composites and the effects of technological parameters of this process differ []. This is primarily related to the heterogeneous structure of these materials, the occurrence of delamination, surface damage, variable roughness, and fiber pull-out []. Defects such as delamination that arise during milling can lead to the disqualification of the material from further use []. The study examined the delamination of the upper layers of composite material, which leads to the rejection of components. The results of the study allow for the adjustment of the processing methodology aimed at reducing the number of such defects. Many studies on machining polymer composites focus on selecting the most appropriate milling parameters, proper fiber orientation, and choosing tools with suitable geometry and costs adequate to the expected results [,]. However, the overriding factor is to minimize problems and defects that occur during milling [,].
The selection of cutting parameters using the Taguchi method and analysis of variance (ANOVA) showed that the feed rate had the most significant effect on cutting forces and surface roughness []. The impact of increasing feed rate on the deterioration of surface roughness was also confirmed in another study []. It was found that low cutting speed, i.e., low tool revolutions, contributes to surface damage []. This statement was also confirmed during the study of face milling, where it was demonstrated that low feed rates at high rotational speeds were conducive to low surface roughness []. However, a study conducted with an artificial neural network showed that the use of low feed values and low rotational speed was effective mainly when machining glass fiber-reinforced plastics []. The application of neural networks and ANOVA in another study focused on the milling process revealed that cutting speed and depth of cut were the most significant factors influencing delamination and surface roughness of glass fiber-reinforced polymer composites []. It was demonstrated that the depth of cut had the primary impact on surface roughness. In contrast, the cutting speed had the most significant effect on delamination during the machining of glass fiber-reinforced plastics []. Besides examining the influence of machining parameters, a relationship between surface quality and tools was also established. It was found that the use of a small helix angle, medium cutting speeds and low feed rates contributed to reducing surface roughness [].
In the milling process, cutting forces are a significant physical quantity []. They are influenced by various factors, including machining parameters and the interaction of physical phenomena at the contact zone between the workpiece and the tool []. Due to the ease of measuring cutting forces, many studies established relationships between cutting forces and machining parameters by selecting appropriate conditions []. It was found that increasing the feed rate increases the cutting forces, while the cutting speed reduces their values. Unlike in the machining of widely used engineering materials such as steel or aluminum alloys, these forces depend on the fiber orientation. Due to the abrasive nature of fibers, diamond tools can chip, resulting in accelerated wear of the blade. As a consequence, cutting forces and surface roughness increase. In the case of composites, the type of fiber used is an important factor influencing cutting forces. Carbon fibers, compared to glass fibers, offer greater cutting resistance, resulting in higher forces. In terms of geometry, the corner rounding radius is important. Large corner rounding radii result in higher cutting forces due to the larger cross-sectional area of the cut layer. The diamond coating also increases tool radius, which leads to an increase in milling forces []. The effect of fiber hardness is a high cutting force, which is one of the causes of tool wear in the machining of composite materials []. The machining of composite materials using carbide tools causes lateral surface wear, which increases significantly at high cutting speeds. Milling studies showed that during the machining of polymer composites reinforced with carbon fibers, the cutting force increases nonlinearly with the feed rate. It was also found that the change in cutting speed did not correlate with the change in cutting force []. Studies on glass fiber-reinforced polymer composites investigating the influence of tool helix angle, fiber orientation angle and face milling parameters on the cutting force showed that the cutting force increased with higher feed rates and fiber orientation angles but decreased with increasing tool helix angle []. A comparison of the cutting forces during machining of glass fiber-reinforced plastics (GFRPs) and carbon fiber-reinforced plastics (CFRPs) under the same machining parameters showed higher forces in CFRP machining []. In terms of tool effect, it was revealed that the use of a rake angle close to 0° and a high cutting speed, as well as a rake angle of 5° and a low cutting speed, produced minimal surface roughness. The tool geometry also affected on the cutting force, which was the weakest for the tool rake angles in the range of 0–10° [].
The use of milling process models is quite common when machining homogeneous materials such as steels, aluminum alloys [] and titanium alloys or nickel alloys, which are generally challenging to machine [,,], especially if the change in material properties of these alloys at elevated temperatures is taken into account []. Problems arise when the workpiece is made of a polymeric composite with a heterogeneous structure []. In this case, the model is adapted to the composite material by considering cutting forces that describe the resistance of composite fibers. In addition, oscillations are introduced between the tool and the workpiece to reduce vibrations []. The behavior of material during machining is an input factor for preparing models for numerical simulations. This is because research on the machining process for composite materials is expensive. The cost of polymeric composites for experiments is considerable []. Hence, approaches based on micromechanics, equivalent homogeneous material, or a combination of these two concepts, are used []. On the one hand, the approach based on micromechanics enables the study of physical phenomena in a local manner, but on the other, it increases CPU time []. In turn, the approach based on the equivalent homogeneous material reduces the CPU time, but its disadvantage is that it is unable to predict the damage observed at the fiber–matrix interface []. Therefore, to improve the quality of simulation, simulation capabilities are being expanded by combining the approaches based on micromechanics and the equivalent homogeneous material. In effect, it is possible to simulate cutting forces and defects in the product []. A further development of these techniques enabled the simulation and investigation of the influence of fiber orientation and chip formation processes []. Initially, simulations on machining polymer composites did not always match the experimental observations []. Only after introducing numerical factors based on micromechanical models, which took into account matrix and fiber properties, was it possible to predict cutting forces []. However, this approach limited force predictions to only parts of the fibers. For this reason, a simulation was performed in which composite fibers were treated as elastic elements []. The disadvantage of this approach is, however, the lack of consideration of imperfections in the strength of the fibers. Another approach to numerical analysis involved the use of both micro- and macro-approaches, which allowed the results to be closer to the experimental model []. The development of computer techniques requires knowledge of the cutting mechanics of composite materials at a micro-level.
Given the differing and often inconsistent results of previous studies on milling polymer composites, it is essential to investigate the cutting process using the response surface methodology (RSM) in a central composite rotatable design. The aim of this work is therefore to determine parameters that have the most positive impact on cutting forces in the milling process conducted with variable technological parameters. Two different composite materials are analyzed in the study, and they are milled using three cutting tools of different geometries and materials.
2. Materials and Methods
2.1. Materials and Sample Preparation
Two types of samples made from polymer composites were used in the study. One sample was a glass fiber-reinforced polymer composite named EGL/EP 3200-120, impregnated with epoxy resin. The other was a carbon fiber-reinforced polymer composite named HexPly AG193PW/3501/6SRC41, also impregnated with epoxy resin. The samples were in the form of plates with the dimensions of 10 × 50 × 150 mm. The composite materials consisted of 40 layers of prepregs (each 0.25 mm thick) arranged in a 0°/90° lay-up configuration. This configuration provides strength in two perpendicular axes of the material. The materials were prepared using the autoclave technique. Before putting them in the autoclave for 2-h curing at 177 °C (±2 °C) with a pressure of 0.3 MPa, the samples were conditioned in a special room. The room had a temperature ranging from 18 °C to 30 °C and humidity below 60%. Additionally, the air cleanliness in this environment was controlled to ensure that the number of solid particles did not exceed 10,000 per cubic meter. Figure 1 shows the samples and their dimensions, together with the mesh density of the composite materials. Glass and carbon fibers reinforce polymer composites. They are arranged in a 0–90° pattern to form a fabric which, when saturated with epoxy resin, forms a prepreg. This arrangement ensures balanced material strength, which is particularly important in machining.

Figure 1.
Samples with a cross-linked polymer matrix.
2.2. Tools
The milling process was performed using a 12 mm nominal diameter indexable cutter, consisting of a body with the symbol R217.69-1212.0-06-2AN, in which cutting inserts were mounted. Three different types of cutting inserts from SECO were used: XOEX060204FR-E03 H15 (uncoated carbide insert), XOMX060204R-M05 F40M (PVD TiAlN-coated carbide insert, where PVD coating stands for physical vapor deposition coating) and XOEX060204FR PCD05 (polycrystalline diamond insert). Each tool had a different rake angle γ ranging from 8° to 29.2°. Table 1 provides the specifications of the tools used in the tests.

Table 1.
Tool specifications.
Figure 2a–c show the rake and clearance angles for the three tested cutting tools.

Figure 2.
Rake and clearance angles of the tools with different inserts: uncoated cemented carbide (a), TiAlN-coated cemented carbide (b), polycrystalline diamond (c).
2.3. Method and Technological Parameters of the Milling Process
Milling operations of polymer composites were carried out on a DMG DMU 100 monoBLOCK milling center (Rzeszów, Poland). A hydraulic machine vice was mounted in the milling center workspace. The composite samples were fixed in the jaws of the vice. Cutting forces were measured using a Kister 9123C (Rzeszów, Poland) piezoelectric rotating four-component dynamometer with a maximum rotational speed of 10,000 rev/min. The piezoelectric rotating dynamometer was mounted directly in the spindle of the milling center. The dynamometer was connected to a four-channel charge amplifier, Kistler 5223B. Combined with a KUSB-3100 data acquisition board as a measurement card and quickDAQ software, it enabled the recording of cutting force curves. The tests were conducted with a sampling frequency of 10 kHz. The experimental setup is shown in Figure 3.

Figure 3.
Experimental setup.
To eliminate noise, the obtained cutting force signals were filtered using a Chebyshev low-pass filter, The filter was implemented using a proprietary algorithm and program developed in MATLAB (vR2022b).
A coordinate system of the cutting force components is shown in Figure 4. Directions of the cutting force components were defined in a tool coordinate system that was consistent with the actual machining setup. The force Fx is the feed component of cutting resistance. The other component, Fy, is the main cutting force, i.e., the tangential component of cutting resistance acting in the direction of the main motion.

Figure 4.
Scheme of cutting kinematics and force distribution.
Figure 4 also shows the values of ap, i.e., the depth of cut, and ae, i.e., the width of cut that was equal to the diameter of the milling cutter. Complete symmetric milling was performed to prevent the effect of overlapping machined bands on force signal characteristics. Therefore, the study focuses on forces solely generated by the engagement of the cutter edges with the workpiece material. This is, the forces resulting exclusively from the kinematics of the milling process.
Technological parameters of milling were determined using the response surface methodology (RSM) in a central composite rotatable design, as implemented in Statistica 13.3 software.
The statistical method of determining the response surface (RSM) was used to model the relationships between the cutting process parameters and the cutting force components. RSM-based research plans refer to the determination of a response surface based on a general Equation (1) of the type:
Y = β0 + β1X1 + β2X2 + β11(X1)2 + β22(X2)2 + β12X1X2,
As a result, a model is fitted to the experimental output values that captures the influence of the main input values (X1, X2), the interactions between the input values (X1X2), and the quadratic terms (X12, X22). β0 is the intercept of the arithmetic averages of all the quantitative outcomes. Parameters β1, β2, β11, β22 and β12 are the coefficients computed from the experimental values of Y. Regression statistics commonly used in mechanical engineering, e.g., ANOVA, were used to identify the most influential factors, create suitable mathematical model and evaluate its fit to the measurement data.
The experiments were conducted with a constant depth of cut set at 1 mm. Variable cutting speed and feed per tooth were used in the tests. Values of these parameters are listed in Table 2.

Table 2.
Technological parameters of the milling process.
The aim of the experiments was to determine the response surface using a rotatable design with star points (shown in Figure 5).

Figure 5.
Schematic view of a rotatable design.
The applied range of cutting speeds used allowed us to determine the central value at 210 m/min. The iteration was set at 110 m/min, which allowed us to obtain point values at 100 m/min and 320 m/min. The length of the square diagonal was 311 m/min (d = a√2, where a = 320 m/min–100 m/min), from which the star point values were 54.5 m/min and 365.5 m/min (values that were half lower and higher the diagonal than the central point value). As for the second parameter, i.e., feed per tooth, the central value was set at 0.3 mm/tooth. After determining the iteration, points with values of 0.15 mm/tooth and 0.5 mm/tooth were obtained. The length of the square diagonal was 0.49 mm/tooth and the star points were 0.05 mm/tooth and 0.54 mm/tooth.
3. Results
An analysis of cutting forces during milling of polymer–matrix composites provides insight into the mechanics of material removal, accounting for the combined properties of a workpiece–tool material pair and the cutting tool geometry. In the present study, two types of polymeric composites were machined using three milling cutters that differed in both tool material and rake angle. Experiments were conducted using variable technological parameters, specifically feed per tooth and cutting speed. The assessment of the machining parameters was based on modelling and evaluation of individual components of the cutting force. Representative force–time histories for the Fx and Fy components recorded during GFRP machining with polycrystalline-diamond inserts are shown in Figure 6a,b.

Figure 6.
Curves of the cutting force components Fx (a) and Fy (b) during GFRP machining by polycrystalline diamond tools.
The obtained cutting-force data made it possible to construct response surfaces for the Fx and Fy components in a tool coordinate system. Since polymer–matrix composites are inherently heterogeneous, their cutting force levels differ considerably from those observed in machining steels or aluminum alloys.
Figure 7a,b shows the response surfaces obtained in milling glass fiber-reinforced plastics with uncoated cemented-carbide cutters. The plots illustrate the effect of feed per tooth and cutting speed on the feed force Fx and the main (tangential) force Fy.

Figure 7.
Influence of cutting speed and feed per tooth on the cutting force components Fx (a) and Fy (b) during GFRP machining with uncoated carbide tools.
An analysis of the surface in Figure 7a reveals that the highest Fx force of 58 N was obtained with the highest feed per tooth and cutting speed. The surface in Figure 7b shows that the highest values of the Fy component, ranging from 152 N to 158 N, were achieved with the feed value of 0.54 mm/tooth in the entire analyzed range of cutting speed. A comparison of the two cutting force components shows higher values of the main (tangential) force Fy. The high values of Fy obtained with the highest tested feed per tooth indicate an increase in the cross-sectional area of the removed layer. In addition, the force fluctuations visible in Figure 6a,b suggest a temporary accumulation of the material in front of the cutting edge as a layer of the heterogeneous composite is removed. Reducing the feed per tooth mitigates the principal force, thereby lessening the mechanical load on the uncoated cemented-carbide tool.
An ANOVA analysis was performed to select appropriate models and establish formulas describing the cutting force components during GFRP machining with uncoated carbide tools:
Fx = 23.69 + 0.067vc − 0.00027 vc2 − 6.036fz − 64.73fz2 + 0.33vcfz,
Fy = 10.14 + 0.075vc − 0.00013 vc2 + 315.53fz − 122.96fz2 − 0.0013vcfz,
Figure 8a,b shows the response surfaces obtained from the relations in (4) and (5), describing the effects of cutting speed and feed on the cutting force components Fx and Fy, respectively.

Figure 8.
Influence of cutting speed and feed per tooth on the cutting force components Fx (a) and Fy (b) during GFRP machining with TiAlN-coated carbide tools.
The highest value of the feed force Fx occurs when the highest values of feed per tooth and cutting speed are used (Figure 8a), this force value amounting to 131 N, which is almost twice the value obtained with the uncoated carbide tool. However, the uncoated carbide tool had a rake angle of 29.2° and the coated carbide tool had an angle of 20.2°. An analysis of the tangential component Fy shows that the highest forces are obtained for the lowest and highest cutting speeds and at the highest feed per tooth (Figure 8b). A decrease in the value of the force Fy is visible in the middle range of the applied cutting speeds. The range of the force Fy values for the TiAlN-coated carbide tools is similar to the values obtained for the uncoated carbide cutting tools.
Formulas for calculating the cutting forces in GFRP machining with TiAlN-coated carbide tools:
Fx = 14.20 + 0.28vc − 0.00043vc2 + 14.16fz − 85.14fz2 + 0.42vcfz,
Fy = 22.60 − 0.11vc + 0.00087vc2 + 394.70fz − 143.23fz2 − 0.48vcfz,
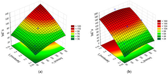
The next stage of the cutting-force analysis for the glass fiber-reinforced polymer composite involved the use of a tool fitted with polycrystalline diamond inserts with an 8° rake angle. Response surfaces constructed from Equations (6) and (7) and plotted in Figure 9a,b reveal that this tool generates the lowest feed-force component Fx of all the cutters, with a minimum of about 46 N (Figure 9a). The surface in Figure 9b clearly shows that the highest tangential forces Fy occur at the maximum feed per tooth; under this condition, Fy ranges roughly from 160 N to 184 N.

Figure 9.
Influence of cutting speed and feed per tooth on the cutting force components Fx (a) and Fy (b) during GFRP machining using tools with polycrystalline diamond inserts.
Formulas for the cutting forces in GFRP machining with polycrystalline diamond insert tools:
Fx = −21.95 + 0.30vc − 0.00055vc2 + 116.35fz − 129.69fz2 + 0.02vcfz,
Fy = −1.95 + 0.19vc − 0.00034vc2 + 395.88fz − 205.29fz2 − 0.05vcfz,
To sum up, an analysis of the cutting forces for the glass fiber-reinforced composite material demonstrates that the rake angle and tool material are of vital importance when machining non-homogeneous materials. Tools with polycrystalline diamond inserts with a rake angle of 8° yielded the lowest force components in the feed motion direction. Still, these values were also similar to those obtained during GFRP machining using uncoated cemented carbides (with a rake angle over three times larger, i.e., 29.2°). The results enable us to conclude that it is possible to use less expensive tools with uncoated cemented carbides if we aim to achieve low feed forces at low tool costs. An important conclusion regarding the main (tangential) force in GFRP milling using tools with different rake angles is that the obtained force values are similar. This phenomenon indicates that by reducing tool costs (the cost of a polycrystalline diamond tool is almost eight times higher than that of uncoated carbide tools) while using large rake angles, similar values of the main (tangential) force component can be obtained. The cost of a single cutting insert made of polycrystalline diamond is approximately €100, while the cost of a carbide insert is approximately €12.
An analysis of the cutting force components was also carried out for the polymer composite with carbon fibers. Examples of the cutting force components Fx and Fy are plotted in Figure 10a,b.

Figure 10.
Curves of the cutting force components Fx (a) and Fy (b) during CFRP machining with polycrystalline diamond tools.
The next stage of the analysis was to determine the response surface for CFRP. Figure 11a,b show the effect of feed per tooth and cutting speed on the Fx and Fy components of the cutting force for CFRP. The Fx force results plotted in Figure 10a show that its values are higher, especially in the tool feed direction, than those obtained for GFRP under identical conditions. For the highest analyzed cutting speeds and feeds per tooth, the value of the Fx force is 63% higher in relation to GFRP because it increases from 58 N (for GFRP) to 95 N (for CFRP). The Fy force values also increased, especially in the middle range of the applied cutting speeds and for the highest feeds per tooth (Figure 10b).

Figure 11.
Influence of cutting speed and feed per tooth on the cutting force components Fx (a) and Fy (b) during CFRP machining with uncoated carbide tools.
The surfaces were plotted based on the formulas for cutting forces in CFRP machining with uncoated carbide tools:
Fx = 5.59 + 0.39vc − 0.00085vc2 − 59.77fz + 97.85fz2 + 0.30vcfz,
Fy = −6.96 + 0.48vc − 0.0011vc2 + 241.45fz − 36.19fz2 − 0.041vcfz,
An analysis of the cutting force components during milling of polymer composites with carbon fibers using TiAlN-coated carbide tools shows that, just like for GFRP, the most significant Fx cutting force components occur at the highest cutting speed and feed per tooth (Figure 12a). The maximum values of Fx reach 133 N. This is a comparable value to that obtained during GFRP machining. This means that coated carbide tools are more versatile for machining various types of polymer composites. An analysis of the Fy cutting force component in CFRP machining reveals that its value increases in the middle range of cutting speeds (Figure 12b). This is the opposite trend to that observed during GFRP machining, where the middle range of cutting speeds caused a decrease in the tangential force Fy. Carbon fiber composites are more durable and cause greater resistance during machining. Glass fiber composites have better machinability, resulting in lower forces. The conclusions regarding average cutting speed ranges are based on differences in the types of reinforcing fibers used

Figure 12.
Influence of cutting speed and feed per tooth on the cutting force components Fx (a) and Fy (b) during CFRP machining with TiAlN-coated carbide tools.
The surfaces in Figure 12a,b were plotted based on Formulas (10) and (11) for the cutting forces during CFRP machining with TiAlN-coated carbide tools:
Fx = 23.74 + 0.16vc − 0.00026vc2 + 85.72fz − 137.65fz2 + 0.37vcfz,
Fy = −11.72 + 0.25vc − 0.00052vc2 + 431.55fz − 258.10fz2 − 0.076vcfz,
The final stage of the study involved examining the effect of cutting speed and feed per tooth on the cutting-force components during CFRP milling with polycrystalline diamond inserts (Figure 13a,b). Response surfaces generated from Equation (12) confirm that the feed-force component Fx is the highest when the highest values of cutting speed and feed per tooth are applied (Figure 13a). Surfaces based on Equation (13) reveal that, for CFRP, the tangential component Fy peaks at the largest feed per tooth combined with intermediate cutting speeds (Figure 13b).

Figure 13.
Influence of cutting speed and feed per tooth on the cutting force components Fx (a) and Fy (b) during CFRP machining using tools with polycrystalline diamond inserts.
A comparison of the PCD-tool data for GFRP and CFRP shows that the feed-force component Fx in CFRP is approximately twice as high as that recorded for GFRP under identical conditions.
Formulas describing the cutting forces in CFRP machining with polycrystalline diamond insert tools:
Fx = 9.91 + 0.19vc − 0.00031vc2 − 43.35fz + 108.68fz2 + 0.31vcfz,
Fy = −39.83 + 0.50vc − 0.0011vc2 + 574.40fz − 509.90fz2 − 0.02vcfz,
The analysis of polymeric composite machining using different tools also enables the calculation of the coefficient of determination (R2), which determines the quality of model fit to the data. The R2 values are listed in Table 3.

Table 3.
Coefficient of determination for the tested tools.
An analysis of the data demonstrates that the tools with polycrystalline diamond inserts for both types of materials show the best quality of model fit to the data. The best quality of fit is shown by the tool with polycrystalline diamond inserts in machining glass fiber-reinforced plastics.
The obtained cutting force results allowed for the determination of cutting resistance. Based on the known values of the cutting force components Fx and Fy and the cross-section of the removed layer, it was possible to calculate the cutting resistance kc in the x- and y-axis directions, which is described by Formula (14):
where Fx,y denote the feed and main (tangential) forces, ap is the depth of cut, and ae is the width of the removed layer equal to the cutter’s diameter. The cutting resistances shown in Figure 14 were determined for the highest values of the feed and main (tangential) forces. The x-axis indicates the type of tool, where nPVD denotes the uncoated carbide tool, PVD denotes the PVD-coated carbide tool, and PCD denotes the polycrystalline diamond tool.

Figure 14.
Cutting resistance in the x and y directions for GFRP and CFRP when using three types of tools.
The results show that the highest cutting resistance was obtained when machining composites with carbon fibers. The only deviation from this trend was observed when the machining process was conducted with coated carbide tools at the main force. A slight increase in the cutting resistance was noticeable with values of 15.2 N/mm2 for GFRP and 14.3 N/mm2 for CFRP. In the remaining cases, both for the feed force and the main force, the cutting resistance was higher in CFRP machining. The higher strength of CFRP composites can explain this situation.
4. Discussion
The problem of machining polymer–matrix composites remains challenging, as shown by this work and previous studies alike. These composites are non-homogeneous materials, which leads to ambiguities in the interpretation of analyses. A composite material consisting of several elements makes it a challenge to clearly determine the effect of tools and their geometry on the components of cutting forces. Previous studies show that the results are often contradictory. Most analyses of the influence of technological parameters on the milling of polymer composites have shown that feed rate has the greatest impact on cutting forces and surface roughness []. Researchers have observed that in the case of machining carbon fiber-reinforced plastics, the cutting force increased nonlinearly with increasing feed rate []. In addition to the confirmed low feed rates, a fourfold increase in the number of milling cutter flutes has a positive effect on damage and cutting forces []. A significant and unambiguous influence of feed on cutting forces was also demonstrated in a study on the machining of carbon fiber composites. However, it was found that cutting forces increase with increasing feed, but also with the helix angle and a large number of tool flutes []. The value of the cutting force also depends on the cutting speed, which, when increased, causes an unfavorable increase in tool wear []. Studies show that both the feed per blade and the cutting speed in relation to tool wear cause an increase in the cutting force []. Another study also showed that damage in the form of delamination, an increase in machining temperature and cutting forces increase with increasing cutting speed []. This study investigated the milling of polymer composites with glass and carbon fibers using tools made of different materials and with different geometries. The results enabled the plotting of response surfaces through a two-factor analysis with variable feed per tooth and cutting speed. In effect, it was also possible to establish formulas describing the obtained forces depending on two variable technological parameters of the milling process. In addition, cutting resistances were determined. Previous studies related to polymer composites predominantly involved single-factor analyses. Thanks to the analyses carried out in this article, it was possible to demonstrate a significant influence of feed on cutting force values. Compared to other studies analyzing feed, the research described in this article compares two different composite materials and three tools, which allows for the demonstration of differences in force values. The study also determined the influence of cutting speed on force. The results of the study allowed us to compare the values obtained for all the analyzed variables simultaneously and to show that for both materials, this is a secondary parameter in relation to cutting force. Cutting depth was not analyzed. Previous studies on the machining of polymer composites show that the cutting depth has little or no effect on the quality of the machining. It can be expected that increasing the cutting depth will increase the cutting force. A two-factor analysis was used in this work, so two of the three most important parameters during machining were selected. Polymer composites have a non-homogeneous structure, so it is reasonable that this type of material be investigated taking into account several variable factors. Previous works have also focused on the influence of technological parameters on surface roughness and cutting forces for one type of tool. Among the types of cutting tools analyzed for the machining of polymer composites were tools with polycrystalline diamond (PCD) inserts, tools with a chemically or physically applied thin coating, and tools made of uncoated cemented carbides. This work mainly focused on one type of tool and its effect on machining []. This study attempted to analyze the cutting force components for different types of tools, achieving similar values of the cutting force components across various rake angles. The cutting forces are most influenced by the reinforcement in the form of fibers, which are responsible for load transfer. Different values of Fx and Fy for different tools result from the cutting resistance of the reinforcing fibers. The cutting tool blade cuts through the resin and fibers, but it is the fibers that cause greater cutting resistance. The alternating arrangement of fibers in the fabric forming the prepregs and the distance between the fibers cause the cutting blade to be in constant contact with the reinforcing phase of the composite. There is also a periodic impact of the blade on successive adjacent fibers. Machining with uncoated and coated carbide tools causes wear in the form of abrasion of the rake face. Using tools with polycrystalline diamond plates causes chipping on the corners. Chipping of diamond tools is caused by the fibers in the composite.
In summary, the measurable effects of the presented research are to show the influence of parameters and tools on cutting forces shown on response surfaces in a two-factor analysis. The research also made it possible to determine equations and cutting resistances for all analyzed cutting forces at constant input factors.
5. Conclusions
The paper presented the results of machining tests on polymer–matrix composites using three milling tools made of different materials and having different rake angles. A response surface methodology (RSM) combined with analysis of variance (ANOVA) was applied, with feed per tooth and cutting speed as the independent variables. Milling experiments were conducted seven times for each of the tested surfaces. The study aimed to determine the response surface for tools used in the processing of polymer composites and to define mathematical models. The models derived from the research enable the determination of the feed and the main (tangential) force for variable technological parameters of milling for the cutting tools used in composite machining.
Important conclusions and novelties of this study are as follows:
- It is possible to obtain similar values of the main force Fy using tools made of uncoated cemented carbides, coated cemented carbides and polycrystalline diamond. For both types of composite materials and different rake angles, the maximum main force ranged from 140 N to 180 N. The results of the Fx feed force tests showed that the range of maximum values was from 46 N to 133 N. By taking into account only the cutting force components, it is possible to use cheaper tools with large rake angles as an alternative to expensive polycrystalline diamond tools. This is important for the sustainable development concept in terms of cost reduction and generating savings in the production process.
- Results of the polymer composite cutting tests showed that of the two analyzed parameters, the feed per tooth had the most significant impact on the feed and main (tangential) forces. The test results show that low feed rates are beneficial for achieving low cutting forces for both composite materials tested. The influence of cutting speed on the forces is less significant, but in most cases, it is recommended to use low and high cutting speeds.
- An analysis of the determination coefficients showed that all values exceeded 0.90 for the main force; however, for the polycrystalline diamond tool, they were the highest for both materials (accuracy of the specified models ranged 0.98–0.99).
- Cutting resistance calculations showed that the carbon fiber-reinforced composite was more difficult to machine. The only exception occurred when a tool made of coated cemented carbides was used, where the value of the main force was higher for the composite with carbon fibers. For the applied machining parameters, the cutting resistance ranged from 3.8 N/mm2 to 15.5 N/mm2.
Overall, the results have shown that polymeric composites are difficult-to-cut materials. In addition, the tool tests pose a need for thorough examination of different rake angles for one type of tool, to find an optimal rake angle in terms of reduced manufacturing costs and rational use of tool resources. Additionally, it is essential to measure surface quality obtained with different tools. A constant value of corner rounding was used in the tests, and the composite material had a fibrous structure. Future works should also attempt to determine the effect of tool rounding on the cutting forces and surface quality. Moreover, it is also crucial that the obtained results be validated using the response surface determination method, yet based on a central, compositional, wall-centered plan.
Author Contributions
Conceptualization, K.C., A.K. and M.G.; methodology, K.C., A.K. and M.G.; software, K.C. and M.G.; validation, A.K.; formal analysis, K.C. and M.G.; investigation, K.C., M.G. and P.Ż.; resources, K.C.; data curation, K.C. and M.G.; writing—original draft preparation, K.C.; writing—review and editing, K.C., A.K. and M.G.; visualization, K.C.; supervision, A.K.; project administration, K.C.; funding acquisition, K.C. All authors have read and agreed to the published version of the manuscript.
Funding
The research leading to these results has received funding from the commissioned task entitled “VIA CARPATIA Universities of Technology Network named after the President of the Republic of Poland Lech Kaczyński” under the special purpose grant from the Minister of Education and Science, contract no. MEiN/2022/DPI/2575, as part of the action “In the neighborhood–inter-university research internships and study visits”.
Institutional Review Board Statement
Not applicable.
Informed Consent Statement
Not applicable.
Data Availability Statement
The raw data supporting the conclusions of this article will be made available by the authors on request.
Conflicts of Interest
The authors declare no conflicts of interest.
References
- Newman, B.; Creighton, C.; Henderson, L.C.; Stojcevski, F. A Review of Milled Carbon Fibres in Composite Materials. Compos. Part A Appl. Sci. Manuf. 2022, 163, 107249. [Google Scholar] [CrossRef]
- Teti, R. Machining of Composite Materials. CIRP Ann. 2002, 51, 611–634. [Google Scholar] [CrossRef]
- Uhlmann, E.; Sammler, F.; Richarz, S.; Heitmüller, F.; Bilz, M. Machining of Carbon Fibre Reinforced Plastics. Procedia CIRP 2014, 24, 19–24. [Google Scholar] [CrossRef]
- Caggiano, A. Machining of Fibre Reinforced Plastic Composite Materials. Materials 2018, 11, 442. [Google Scholar] [CrossRef]
- Kiliçkap, E.; Yardimeden, A.; Çelik, Y.H. Investigation of Experimental Study of End Milling of CFRP Composite. Sci. Eng. Compos. Mater. 2015, 22, 89–95. [Google Scholar] [CrossRef]
- Vinayagamoorthy, R. A Review on the Machining of Fiber-Reinforced Polymeric Laminates. J. Reinf. Plast. Compos. 2018, 37, 49–59. [Google Scholar] [CrossRef]
- Ghidossi, P.; El Mansori, M.; Pierron, F. Edge Machining Effects on the Failure of Polymer Matrix Composite Coupons. Compos. Part A Appl. Sci. Manuf. 2004, 35, 989–999. [Google Scholar] [CrossRef]
- Hosokawa, A.; Hirose, N.; Ueda, T.; Furumoto, T. High-Quality Machining of CFRP with High Helix End Mill. CIRP Ann. 2014, 63, 89–92. [Google Scholar] [CrossRef]
- Teicher, U.; Rosenbaum, T.; Nestler, A.; Brosius, A. Characterization of the Surface Roughness of Milled Carbon Fiber Reinforced Plastic Structures. Procedia CIRP 2017, 66, 199–203. [Google Scholar] [CrossRef]
- Karpat, Y.; Polat, N. Mechanistic Force Modeling for Milling of Carbon Fiber Reinforced Polymers with Double Helix Tools. CIRP Ann. 2013, 62, 95–98. [Google Scholar] [CrossRef]
- Azmi, A.I.; Lin, R.J.T.; Bhattacharyya, D. Machinability Study of Glass Fibre-Reinforced Polymer Composites during End Milling. Int. J. Adv. Manuf. Technol. 2013, 64, 247–261. [Google Scholar] [CrossRef]
- Hintze, W.; Hartmann, D. Modeling of Delamination During Milling of Unidirectional CFRP. Procedia CIRP 2013, 8, 444–449. [Google Scholar] [CrossRef]
- Yuanyushkin, A.S.; Rychkov, D.A.; Lobanov, D.V. Surface Quality of the Fiberglass Composite Material after Milling. AMM 2014, 682, 183–187. [Google Scholar] [CrossRef]
- Ciecieląg, K. Analysis of the Surface Layer and Feed Force after Milling Polymer Composites with Coated and Uncoated Tools. Adv. Sci. Technol. Res. J. 2023, 17, 70–78. [Google Scholar] [CrossRef]
- Bayraktar, S.; Turgut, Y. Investigation of the Cutting Forces and Surface Roughness in Milling Carbon-Fiber-Reinforced Polymer Composite Material. Mater. Tehnol. 2016, 50, 591–600. [Google Scholar] [CrossRef]
- Altin Karataş, M.; Gökkaya, H. A Review on Machinability of Carbon Fiber Reinforced Polymer (CFRP) and Glass Fiber Reinforced Polymer (GFRP) Composite Materials. Def. Technol. 2018, 14, 318–326. [Google Scholar] [CrossRef]
- Hintze, W.; Hartmann, D.; Schütte, C. Occurrence and Propagation of Delamination during the Machining of Carbon Fibre Reinforced Plastics (CFRPs)—An Experimental Study. Compos. Sci. Technol. 2011, 71, 1719–1726. [Google Scholar] [CrossRef]
- Liu, J.; Chen, G.; Ji, C.; Qin, X.; Li, H.; Ren, C. An Investigation of Workpiece Temperature Variation of Helical Milling for Carbon Fiber Reinforced Plastics (CFRP). Int. J. Mach. Tools Manuf. 2014, 86, 89–103. [Google Scholar] [CrossRef]
- Ciecieląg, K.; Zaleski, K.; Kęcik, K. Effect of Milling Parameters on the Formation of Surface Defects in Polymer Composites. Mater. Sci. 2022, 57, 882–893. [Google Scholar] [CrossRef]
- Palanikumar, K.; Karunamoorthy, L.; Karthikeyan, R. Assessment of Factors Influencing Surface Roughness on the Machining of Glass Fiber-Reinforced Polymer Composites. Mater. Des. 2006, 27, 862–871. [Google Scholar] [CrossRef]
- Davim, J.P.; Reis, P.; António, C.C. A Study on Milling of Glass Fiber Reinforced Plastics Manufactured by Hand-Lay up Using Statistical Analysis (ANOVA). Compos. Struct. 2004, 64, 493–500. [Google Scholar] [CrossRef]
- Davim, J.P.; Reis, P. Damage and Dimensional Precision on Milling Carbon Fiber-Reinforced Plastics Using Design Experiments. J. Mater. Process. Technol. 2005, 160, 160–167. [Google Scholar] [CrossRef]
- Razfar, M.R.; Zadeh, M.R.Z. Optimum Damage and Surface Roughness Prediction in End Milling Glass Fibre-Reinforced Plastics, Using Neural Network and Genetic Algorithm. Proc. Inst. Mech. Eng. Part B J. Eng. Manuf. 2009, 223, 653–664. [Google Scholar] [CrossRef]
- Sreenivasulu, R. Optimization of Surface Roughness and Delamination Damage of GFRP Composite Material in End Milling Using Taguchi Design Method and Artificial Neural Network. Procedia Eng. 2013, 64, 785–794. [Google Scholar] [CrossRef]
- Jenarthanan, M.P.; Jeyapaul, R. Optimisation of Machining Parameters on Milling of GFRP Composites by Desirability Function Analysis Using Taguchi Method. Int. J. Eng. Sci. Technol. 2018, 5, 22–36. [Google Scholar] [CrossRef]
- Sorrentino, L.; Turchetta, S. Cutting Forces in Milling of Carbon Fibre Reinforced Plastics. Int. J. Manuf. Eng. 2014, 2014, 1–8. [Google Scholar] [CrossRef]
- He, Y.; Sheikh-Ahmad, J.; Zhu, S.; Zhao, C. Cutting Force Analysis Considering Edge Effects in the Milling of Carbon Fiber Reinforced Polymer Composite. J. Mater. Process. Technol. 2020, 279, 116541. [Google Scholar] [CrossRef]
- Haiyan, W.; Xuda, Q.; Hao, L.; Chengzu, R. Analysis of Cutting Forces in Helical Milling of Carbon Fiber–Reinforced Plastics. Proc. Inst. Mech. Eng. Part B J. Eng. Manuf. 2013, 227, 62–74. [Google Scholar] [CrossRef]
- Rusinek, R. Cutting Process of Composite Materials: An Experimental Study. Int. J. Non-Linear Mech. 2010, 45, 458–462. [Google Scholar] [CrossRef]
- Jenarthanan, M.P.; Ramesh Kumar, S.; Jeyapaul, R. Modelling of Machining Force in End Milling of GFRP Composites Using MRA and ANN. Aust. J. Mech. Eng. 2016, 14, 104–114. [Google Scholar] [CrossRef]
- Rajesh Mathivanan, N.; Mahesh, B.S.; Anup Shetty, H. An Experimental Investigation on the Process Parameters Influencing Machining Forces during Milling of Carbon and Glass Fiber Laminates. Measurement 2016, 91, 39–45. [Google Scholar] [CrossRef]
- Ghafarizadeh, S.; Chatelain, J.-F.; Lebrun, G. Effect of Cutting Tool Lead Angle on Machining Forces and Surface Finish of CFRP Laminates. Sci. Eng. Compos. Mater. 2016, 23, 543–550. [Google Scholar] [CrossRef]
- Matuszak, J.; Kawalec, A.; Gdula, M. Analysis of the Deburring Efficiency of EN-AW 7075 Aluminum Alloy Parts with Complex Geometric Shapes Considering the Tool Path Strategy During Multi-Axis Brushing. Materials 2024, 17, 6267. [Google Scholar] [CrossRef] [PubMed]
- Gdula, M.; Mrówka-Nowotnik, G.; Nowotnik, A. Modeling and Comprehensive Mechanism Analysis of Torus Milling Cutter Wear in Multi-Axis Milling of Ni-Based Superalloy Using the Active Cutting Edge Segment Change Technique. Tribol. Int. 2025, 204, 110509. [Google Scholar] [CrossRef]
- Gdula, M.; Knapčíková, L.; Husár, J.; Vandžura, R. Modeling and Measurement of Tool Wear During Angular Positioning of a Round Cutting Insert of a Toroidal Milling Tool for Multi-Axis Milling. Appl. Sci. 2024, 14, 10405. [Google Scholar] [CrossRef]
- Oczoś, K.E.; Kawalec, A. Kształtowanie Metali Lekkich; Wydawnictwo Naukowe PWN: Warszawa, Poland, 2012; ISBN 978-83-01-16875-9. [Google Scholar]
- Ziaja, W.; Kawalec, A. Dwell Fatigue Behavior of Two-Phase Ti-6Al-4V Alloy at Moderate Temperature. JOM 2022, 74, 3745–3751. [Google Scholar] [CrossRef]
- Shetty, N.; Shahabaz, S.M.; Sharma, S.S.; Divakara Shetty, S. A Review on Finite Element Method for Machining of Composite Materials. Compos. Struct. 2017, 176, 790–802. [Google Scholar] [CrossRef]
- Kecik, K.; Rusinek, R.; Warminski, J.; Weremczuk, A. Chatter Control in the Milling Process of Composite Materials. J. Phys. Conf. Ser. 2012, 382, 012012. [Google Scholar] [CrossRef]
- Mkaddem, A.; Demirci, I.; Mansori, M.E. A Micro–Macro Combined Approach Using FEM for Modelling of Machining of FRP Composites: Cutting Forces Analysis. Compos. Sci. Technol. 2008, 68, 3123–3127. [Google Scholar] [CrossRef]
- Dandekar, C.R.; Shin, Y.C. Modeling of Machining of Composite Materials: A Review. Int. J. Mach. Tools Manuf. 2012, 57, 102–121. [Google Scholar] [CrossRef]
- Nayak, D.; Bhatnagar, N.; Mahajan, P. MACHINING STUDIES OF UD-FRP COMPOSITES PART 2: FINITE ELEMENT ANALYSIS. Mach. Sci. Technol. 2005, 9, 503–528. [Google Scholar] [CrossRef]
- Arola, D.; Sultan, M.B.; Ramulu, M. Finite Element Modeling of Edge Trimming Fiber Reinforced Plastics. J. Manuf. Sci. Eng. 2002, 124, 32–41. [Google Scholar] [CrossRef]
- Rao, G.V.G.; Mahajan, P.; Bhatnagar, N. Micro-Mechanical Modeling of Machining of FRP Composites—Cutting Force Analysis. Compos. Sci. Technol. 2007, 67, 579–593. [Google Scholar] [CrossRef]
- Venu Gopala Rao, G.; Mahajan, P.; Bhatnagar, N. Machining of UD-GFRP Composites Chip Formation Mechanism. Compos. Sci. Technol. 2007, 67, 2271–2281. [Google Scholar] [CrossRef]
- Nayak, D.; Bhatnagar, N.; Mahajan, P. Machining Studies of Uni-Directional Glass Fiber Reinforced Plastic (Ud-Gfrp) Composites Part 1: Effect of Geometrical and Process Parameters. Mach. Sci. Technol. 2005, 9, 481–501. [Google Scholar] [CrossRef]
- Azmi, A.I.; Lin, R.J.T.; Bhattacharyya, D. Experimental Study of Machinability of GFRP Composites by End Milling. Mater. Manuf. Process. 2012, 27, 1045–1050. [Google Scholar] [CrossRef]
- Chibane, H.; Serra, R.; Leroy, R. Optimal Milling Conditions of Aeronautical Composite Material under Temperature, Forces and Vibration Parameters. J. Compos. Mater. 2017, 51, 3453–3463. [Google Scholar] [CrossRef]
- Wei, Y.; An, Q.; Cai, X.; Chen, M.; Ming, W. Influence of Fiber Orientation on Single-Point Cutting Fracture Behavior of Carbon-Fiber/Epoxy Prepreg Sheets. Materials 2015, 8, 6738–6751. [Google Scholar] [CrossRef]
Disclaimer/Publisher’s Note: The statements, opinions and data contained in all publications are solely those of the individual author(s) and contributor(s) and not of MDPI and/or the editor(s). MDPI and/or the editor(s) disclaim responsibility for any injury to people or property resulting from any ideas, methods, instructions or products referred to in the content. |
© 2025 by the authors. Licensee MDPI, Basel, Switzerland. This article is an open access article distributed under the terms and conditions of the Creative Commons Attribution (CC BY) license (https://creativecommons.org/licenses/by/4.0/).