Polyacrylic Surfactant-Enabled Engineering of Co3O4 Electrodes for Enhanced Asymmetric Supercapacitor Performance
Abstract
1. Introduction
2. Experimental Section
Electrodeposition-Based Fabrication of PAA-Modified CO Electrodes
3. Sample Characterization and Electrochemical Measurements
4. Results and Discussion
4.1. XRD Elucidation
4.2. XPS Analysis
4.3. Morphological and Elemental Composition
5. Electrochemical Analysis
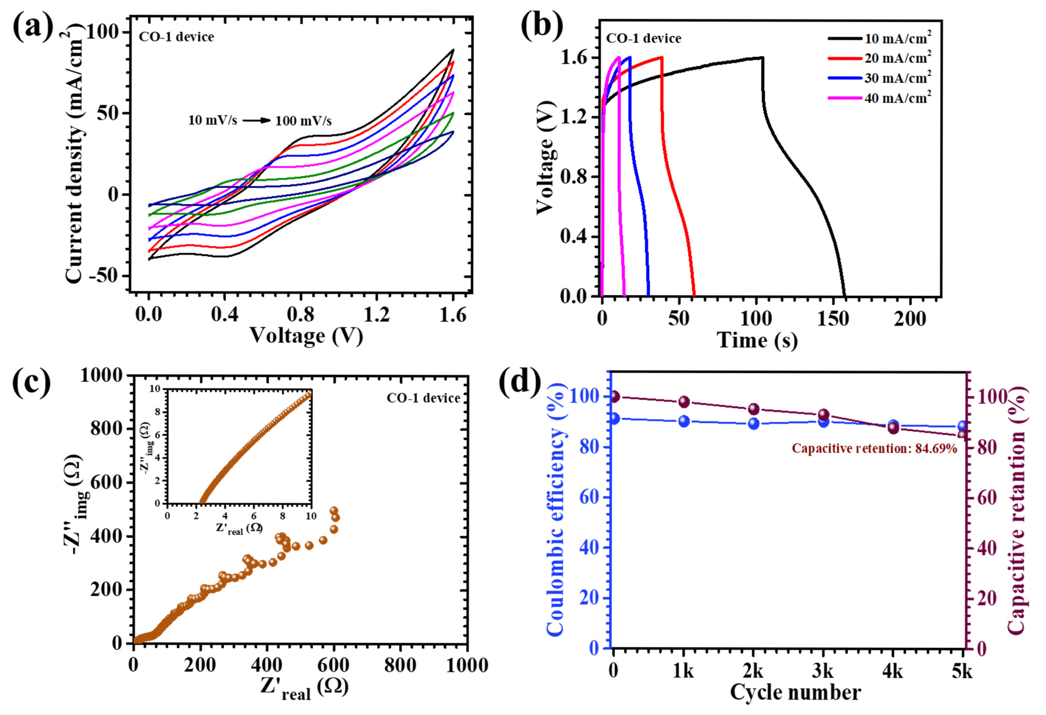
6. Electrochemical Performance of Asymmetric Supercapacitor Device
7. Conclusions
Supplementary Materials
Author Contributions
Funding
Institutional Review Board Statement
Informed Consent Statement
Data Availability Statement
Conflicts of Interest
References
- Yin, C.; Wan, W.; Xie, H.; Weng, W.; Li, G.; Li, B.; Wang, Y.; Wu, X.; Sun, W. Supercapacitance Performances of Electrodeposited Nickel Oxide/Graphene Nanocomposite. Int. J. Electrochem. Sci. 2019, 14, 4185–4194. [Google Scholar] [CrossRef]
- Lewandowski, A.; Galinski, M. Practical and theoretical limits for electrochemical double-layer capacitors. J. Power Sources 2007, 173, 822–828. [Google Scholar] [CrossRef]
- Bohlen, O.; Kowal, J.; Sauer, D.U. Ageing behaviour of electrochemical double layer capacitors: Part I. Experimental study and ageing model. J. Power Sources 2007, 172, 468–475. [Google Scholar] [CrossRef]
- Zhang, X.; Shang, N.; Gao, S.; Wang, C.; Gao, Y.; Wang, Z. Surfactant assisted self-assembly of NiCo phosphate with superior electrochemical performance for supercapacitor. Appl. Surf. Sci. 2019, 483, 529–535. [Google Scholar] [CrossRef]
- Mary, A.J.C.; Bose, A.C. Surfactant assisted ZnCo2O4 nanomaterial for supercapacitor application. Appl. Surf. Sci. 2018, 449, 105–112. [Google Scholar] [CrossRef]
- Jothi, P.R.; Salunkhe, R.R.; Pramanik, M.; Kannan, S.; Yamauchi, Y. Surfactant-assisted synthesis of nanoporous nickel sulfide flakes and their hybridization with reduced graphene oxides for supercapacitor applications. RSC Adv. 2016, 6, 21246–21253. [Google Scholar] [CrossRef]
- Morankar, P.J.; Amate, R.U.; Teli, A.M.; Chavan, G.T.; Beknalkar, S.A.; Dalavi, D.S.; Ahir, N.A.; Jeon, C.-W. Surfactant integrated nanoarchitectonics for controlled morphology and enhanced functionality of tungsten oxide thin films in electrochromic supercapacitors. J. Energy Storage 2023, 73, 109095. [Google Scholar] [CrossRef]
- Young, C.; Salunkhe, R.R.; Alshehri, S.M.; Ahamad, T.; Huang, Z.; Henzie, J.; Yamauchi, Y. High energy density supercapacitors composed of nickel cobalt oxide nanosheets on nanoporous carbon nanoarchitectures. J. Mater. Chem. A 2017, 5, 11834–11839. [Google Scholar] [CrossRef]
- Yang, L.; Zhu, Q.; Yang, K.; Xu, X.; Huang, J.; Chen, H.; Wang, H. A review on the application of cobalt-based nanomaterials in supercapacitors. Nanomaterials 2022, 12, 4065. [Google Scholar] [CrossRef]
- Jiang, J.; Li, Y.; Liu, J.; Huang, X.; Yuan, C.; Lou, X.W. Recent advances in metal oxide-based electrode architecture design for electrochemical energy storage. Adv. Mater. 2012, 24, 5166–5180. [Google Scholar] [CrossRef]
- Wagh, K.S.; Mane, S.M.; Teli, A.M.; Shin, J.C.; Lee, J. Recent Advancements in Co3O4-Based Composites for Enhanced Electrocatalytic Water Splitting. Micromachines 2024, 15, 1450. [Google Scholar] [CrossRef] [PubMed]
- Zhang, Y.; Wu, Y.; Chu, Y.; Li, L.; Yu, Q.; Zhu, Y.; Liu, G.; Hou, Q.; Zeng, R.; Zhao, L. Self-assembled Co3O4 nanostructure with controllable morphology towards high performance anode for lithium ion batteries. Electrochim. Acta 2016, 188, 909–916. [Google Scholar] [CrossRef]
- Wang, B.; Zhu, T.; Wu, H.B.; Xu, R.; Chen, J.S.; Lou, X.W.D. Porous Co3O4 nanowires derived from long Co(CO3)0.5 (OH)·0.11H2O nanowires with improved supercapacitive properties. Nanoscale 2012, 4, 2145–2149. [Google Scholar] [CrossRef] [PubMed]
- Wang, Y.; Zhou, T.; Jiang, K.; Da, P.; Peng, Z.; Tang, J.; Kong, B.; Cai, W.B.; Yang, Z.; Zheng, G. Reduced mesoporous Co3O4 nanowires as efficient water oxidation electrocatalysts and supercapacitor electrodes. Adv. Energy Mater. 2014, 4, 1400696. [Google Scholar] [CrossRef]
- Duan, B.; Cao, Q. Hierarchically porous Co3O4 film prepared by hydrothermal synthesis method based on colloidal crystal template for supercapacitor application. Electrochim. Acta 2012, 64, 154–161. [Google Scholar] [CrossRef]
- Yang, L.; Cheng, S.; Ding, Y.; Zhu, X.; Wang, Z.L.; Liu, M. Hierarchical network architectures of carbon fiber paper supported cobalt oxide nanonet for high-capacity pseudocapacitors. Nano Lett. 2012, 12, 321–325. [Google Scholar] [CrossRef]
- Chung, J.S.; Hur, S.H. A highly sensitive enzyme-free glucose sensor based on Co3O4 nanoflowers and 3D graphene oxide hydrogel fabricated via hydrothermal synthesis. Sens. Actuators B Chem. 2016, 223, 76–82. [Google Scholar]
- Rakhi, R.; Chen, W.; Cha, D.; Alshareef, H.N. Substrate dependent self-organization of mesoporous cobalt oxide nanowires with remarkable pseudocapacitance. Nano Lett. 2012, 12, 2559–2567. [Google Scholar] [CrossRef]
- Rajeshkhanna, G.; Umeshbabu, E.; Rao, G.R. Charge storage, electrocatalytic and sensing activities of nest-like nanostructured Co3O4. J. Colloid Interface Sci. 2017, 487, 20–30. [Google Scholar] [CrossRef]
- Ali, F.; Khalid, N. Effect of calcination temperature on structural, morphological and electrochemical properties of Sn doped Co3O4 nanorods. Ceram. Int. 2020, 46, 24137–24146. [Google Scholar] [CrossRef]
- Babu, R.S.; Vinodh, R.; De Barros, A.; Samyn, L.; Prasanna, K.; Maier, M.; Alves, C.; Kim, H.-J. Asymmetric supercapacitor based on carbon nanofibers as the anode and two-dimensional copper cobalt oxide nanosheets as the cathode. Chem. Eng. J. 2019, 366, 390–403. [Google Scholar] [CrossRef]
- Liu, W.; Yang, Y.; Feng, Y.; Zhang, Y.; Liu, Y.; Feng, Y.; Zhang, L. Oxygen Vacancy Concentration Effect on Co3O4 for High-Quality Energy Storage. ACS Appl. Nano Mater. 2025, 8, 5068–5077. [Google Scholar] [CrossRef]
- Li, L.; Yuan, F.; Shen, H.; Xu, J.; Zhao, H.; Fan, Y.; Lan, Z.; Liang, X.; Zhou, W.; Huang, H. Fan-like structured Ni9S8/Co3O4 core-shell nanoarray as high-performance electrode for high-rate supercapacitors. J. Alloys Compd. 2025, 1017, 179066. [Google Scholar] [CrossRef]
- Bhagwan, J.; Han, J.I. Multi-walled carbon nanotubes decorated CdO/Co3O4 hexagonal nanoplates: Unveiling their potential in hybrid supercapacitor. Appl. Surf. Sci. 2025, 691, 162689. [Google Scholar] [CrossRef]
- Duddi, R.; Dhiman, S.; Singh, A.K.; Kamboj, N.; Kumar, S. Unravelling the synergistic effect of polypyrrole-Co3O4 composite for superior electrochemical performance in Zn-ion capacitors. Appl. Surf. Sci. 2025, 687, 162255. [Google Scholar] [CrossRef]
- Cheng, D.; Cheng, A.; Zhong, W.; Zhang, M.; Qiu, G.; Miao, L.; Li, Z.; Zhang, H. Engineering carbon nanosheets with hexagonal ordered conical macropores as high-performance sodium-ion battery anodes. J. Colloid Interface Sci. 2022, 625, 978–989. [Google Scholar] [CrossRef]
- Wei, H.; Guo, X.; Wang, Y.; Zhou, Z.; Lv, H.; Zhao, Y.; Gu, Z.; Chen, Z. Inherently porous Co3O4@ NiO core–shell hierarchical material for excellent electrochemical performance of supercapacitors. Appl. Surf. Sci. 2022, 574, 151487. [Google Scholar] [CrossRef]
- Kadja, G.T.; Azhari, N.J.; Mardiana, S.; Culsum, N.T.; Maghfirah, A. Recent advances in the development of nanosheet zeolites as heterogeneous catalysts. Results Eng. 2023, 17, 100910. [Google Scholar] [CrossRef]
- Meher, S.K.; Rao, G.R. Ultralayered Co3O4 for high-performance supercapacitor applications. J. Phys. Chem. C 2011, 115, 15646–15654. [Google Scholar] [CrossRef]
- Palmas, S.; Ferrara, F.; Vacca, A.; Mascia, M.; Polcaro, A. Behavior of cobalt oxide electrodes during oxidative processes in alkaline medium. Electrochim. Acta 2007, 53, 400–406. [Google Scholar] [CrossRef]
- Wei, T.-Y.; Chen, C.-H.; Chang, K.-H.; Lu, S.-Y.; Hu, C.-C. Cobalt oxide aerogels of ideal supercapacitive properties prepared with an epoxide synthetic route. Chem. Mater. 2009, 21, 3228–3233. [Google Scholar] [CrossRef]
- Xiong, S.; Yuan, C.; Zhang, X.; Xi, B.; Qian, Y. Controllable synthesis of mesoporous Co3O4 nanostructures with tunable morphology for application in supercapacitors. Chem.–A Eur. J. 2009, 15, 5320–5326. [Google Scholar] [CrossRef] [PubMed]
- Wu, R.; Sun, J.; Xu, C.; Chen, H. MgCo2O4-based electrode materials for electrochemical energy storage and conversion: A comprehensive review. Sustain. Energy Fuels 2021, 5, 4807–4829. [Google Scholar] [CrossRef]
- Cui, M.; Kang, L.; Shi, M.; Xie, L.; Wang, X.; Zhao, Z.; Yun, S.; Liang, W. Explore the influence of agglomeration on electrochemical performance of an amorphous MnO2/C composite by controlling drying process. Appl. Surf. Sci. 2017, 416, 241–247. [Google Scholar] [CrossRef]
- Morankar, P.J.; Sreekanth, T.V.; Amate, R.U.; Yewale, M.A.; Teli, A.M.; Beknalkar, S.A.; Jeon, C.-W. Asymmetric Supercapacitor Performance Enhancement Through Fe-Doped MoS2 Nanosheets Synthesized via Hydrothermal Method. Coatings 2024, 14, 1328. [Google Scholar] [CrossRef]
- Teli, A.M.; Bhat, T.S.; Beknalkar, S.A.; Mane, S.M.; Chaudhary, L.S.; Patil, D.S.; Pawar, S.A.; Efstathiadis, H.; Shin, J.C. Bismuth manganese oxide based electrodes for asymmetric coin cell supercapacitor. Chem. Eng. J. 2022, 430, 133138. [Google Scholar] [CrossRef]
- Liu, T.C.; Pell, W.; Conway, B.; Roberson, S. Behavior of molybdenum nitrides as materials for electrochemical capacitors: Comparison with ruthenium oxide. J. Electrochem. Soc. 1998, 145, 1882. [Google Scholar] [CrossRef]
- Lan, Y.; Zhao, H.; Zong, Y.; Li, X.; Sun, Y.; Feng, J.; Wang, Y.; Zheng, X.; Du, Y. Phosphorization boosts the capacitance of mixed metal nanosheet arrays for high performance supercapacitor electrodes. Nanoscale 2018, 10, 11775–11781. [Google Scholar] [CrossRef]
- Šedajová, V.; Nandi, D.; Langer, P.; Lo, R.; Hobza, P.; Plachá, D.; Bakandritsos, A.; Zbořil, R. Direct upcycling of highly efficient sorbents for emerging organic contaminants into high energy content supercapacitors. J. Colloid Interface Sci. 2025, 692, 137481. [Google Scholar] [CrossRef]
- Wang, X.; Fu, J.; Wang, Q.; Dong, Z.; Wang, X.; Hu, A.; Wang, W.; Yang, S. Preparation and electrochemical properties of Co3O4 supercapacitor electrode materials. Crystals 2020, 10, 720. [Google Scholar] [CrossRef]
- Umar, A.; Raut, S.D.; Ibrahim, A.A.; Algadi, H.; Albargi, H.; Alsaiari, M.A.; Akhtar, M.S.; Qamar, M.; Baskoutas, S. Perforated Co3O4 nanosheets as high-performing supercapacitor material. Electrochim. Acta 2021, 389, 138661. [Google Scholar] [CrossRef]
- Nguyen, Q.T.; Nakate, U.T.; Chen, J.Y.; Park, S.; Park, S. Ceria nanoflowers decorated Co3O4 nanosheets electrodes for highly efficient electrochemical supercapacitors. Appl. Surf. Sci. 2023, 613, 156034. [Google Scholar] [CrossRef]
- Wang, Y.; Xia, Y. A super high performance asymmetric supercapacitor based on Co3S4/NiS nanoplates electrodes. RSC Adv. 2016, 6, 15390–15396. [Google Scholar] [CrossRef]
- Singh, A.K.; Sarkar, D. Substrate-integrated core–shell Co3O4@Au@CuO hybrid nanowires as efficient cathode materials for high-performance asymmetric supercapacitors with excellent cycle life. J. Mater. Chem. A 2017, 5, 21715–21725. [Google Scholar] [CrossRef]
- Zhong, C.; Deng, Y.; Hu, W.; Qiao, J.; Zhang, L.; Gong, Y.; Hu, W. Co3O4/Ni(OH)2 composite mesoporous nanosheet networks as a promising electrode for supercapacitor applications. J. Mater. Chem. 2012, 22, 5656–5665. [Google Scholar] [CrossRef]
- Xiong, S.; Weng, S.; Tang, Y.; Qian, L.; Xu, Y.; Li, X.; Chen, J. Mo-doped Co3O4 ultrathin nanosheet arrays anchored on nickel foam as a bi-functional electrode for supercapacitor and overall water splitting. J. Colloid Interface Sci. 2021, 602, 355–366. [Google Scholar] [CrossRef]
- Sheng, P.; Tao, S.; Gao, X.; Tan, Y.; Wu, D.; Qian, B.; Chu, P.K. Design and synthesis of dendritic Co3O4@Co2(CO3)(OH)2 nanoarrays on carbon cloth for high-performance supercapacitors. J. Mater. Sci. 2020, 55, 12091–12102. [Google Scholar] [CrossRef]
- Polaki, S.R.; Kumar, V.M.; Sundari, S.; Dhara, S. Synergistic effect of morphology and Co+2/Co+3 ratio on the capacitance of Co3O4/VGN binder-free hybrid supercapacitor electrodes. J. Energy Storage 2024, 79, 110160. [Google Scholar]
- Gupta, P.K.; Saha, S.; Gyanprakash, M.; Kishor, K.; Palanisamy, R.G.S. Electrochemical cycling-induced amorphization of cobalt (II,III) oxide for stable high surface area oxygen evolution electrocatalysts. ChemElectroChem 2019, 6, 4176–4182. [Google Scholar] [CrossRef]
- Guo, L.; Deng, J.; Wang, G.; Hao, Y.; Yang, Y. P-doped CoS2 embedded in TiO2 nanoporous films for Zn–air batteries. Adv. Funct. Mater. 2018, 28, 1804540. [Google Scholar] [CrossRef]
- Dar, M.; Nam, S.; Abdo, H.; Almajid, A.; Kim, D.; Qurashi, A.; Kim, W. Self-assembled Co3O4 nanoplatelets into micro-spheres via a simple solvothermal route: Structural and electrochemical properties. J. Alloys Compd. 2017, 695, 329–336. [Google Scholar] [CrossRef]
- Liang, Q.; Liu, X.; Zeng, G.; Liu, Z.; Tang, L.; Shao, B.; Zeng, Z.; Zhang, W.; Liu, Y.; Cheng, M. Surfactant-assisted synthesis of photocatalysts: Mechanism, synthesis, recent advances and environmental application. Chem. Eng. J. 2019, 372, 429–451. [Google Scholar] [CrossRef]










| Sample Code | Diffusion Coefficient (cm2/s) × 10−7 | b-Value | Rs (Ω) | Rct (Ω) | |
|---|---|---|---|---|---|
| Oxidation | Reduction | ||||
| CO-0.5 | 2.3 | 2.08 | 0.6 | 0.5342 | 1.84 |
| CO-1 | 4.46 | 4.3 | 0.55 | 0.4267 | 1.21 |
| CO-1.5 | 1.9 | 0.65 | 0.68 | 0.6703 | 3.52 |
| Sample Code | I (mA) | CA (mF/cm2) | C (mAh/cm2) | ED (mWh/cm2) | PD (mW/cm2) |
|---|---|---|---|---|---|
| CO | 30 | 741 | 0.046 | 0.021 | 5.21 |
| 40 | 632 | 0.040 | 0.018 | 6.74 | |
| 50 | 543 | 0.034 | 0.015 | 8.09 | |
| CO-0.5 | 30 | 2237 | 0.140 | 0.063 | 6.22 |
| 40 | 1185 | 0.074 | 0.033 | 7.89 | |
| 50 | 840 | 0.052 | 0.024 | 10.00 | |
| CO-1 | 30 | 3467 | 0.217 | 0.098 | 6.27 |
| 40 | 1936 | 0.121 | 0.054 | 7.84 | |
| 50 | 1383 | 0.086 | 0.039 | 9.21 | |
| CO-1.5 | 30 | 1778 | 0.111 | 0.050 | 5.90 |
| 40 | 909 | 0.057 | 0.026 | 8.07 | |
| 50 | 642 | 0.040 | 0.018 | 10.16 |
| Sample Code | I (mA) | CA (mF/cm2) | C (mAh/cm2) | ED (mWh/cm2) | PD (mW/cm2) |
|---|---|---|---|---|---|
| CO-1 device | 10 | 157 | 0.035 | 0.056 | 1.90 |
| 20 | 101 | 0.022 | 0.036 | 3.01 | |
| 30 | 100 | 0.022 | 0.035 | 4.90 | |
| 40 | 23 | 0.005 | 0.008 | 4.05 |
Disclaimer/Publisher’s Note: The statements, opinions and data contained in all publications are solely those of the individual author(s) and contributor(s) and not of MDPI and/or the editor(s). MDPI and/or the editor(s) disclaim responsibility for any injury to people or property resulting from any ideas, methods, instructions or products referred to in the content. |
© 2025 by the authors. Licensee MDPI, Basel, Switzerland. This article is an open access article distributed under the terms and conditions of the Creative Commons Attribution (CC BY) license (https://creativecommons.org/licenses/by/4.0/).
Share and Cite
Amate, R.U.; Morankar, P.J.; Bhosale, M.K.; Teli, A.M.; Beknalkar, S.A.; Jeon, C.-W. Polyacrylic Surfactant-Enabled Engineering of Co3O4 Electrodes for Enhanced Asymmetric Supercapacitor Performance. Materials 2025, 18, 2916. https://doi.org/10.3390/ma18122916
Amate RU, Morankar PJ, Bhosale MK, Teli AM, Beknalkar SA, Jeon C-W. Polyacrylic Surfactant-Enabled Engineering of Co3O4 Electrodes for Enhanced Asymmetric Supercapacitor Performance. Materials. 2025; 18(12):2916. https://doi.org/10.3390/ma18122916
Chicago/Turabian StyleAmate, Rutuja U., Pritam J. Morankar, Mrunal K. Bhosale, Aviraj M. Teli, Sonali A. Beknalkar, and Chan-Wook Jeon. 2025. "Polyacrylic Surfactant-Enabled Engineering of Co3O4 Electrodes for Enhanced Asymmetric Supercapacitor Performance" Materials 18, no. 12: 2916. https://doi.org/10.3390/ma18122916
APA StyleAmate, R. U., Morankar, P. J., Bhosale, M. K., Teli, A. M., Beknalkar, S. A., & Jeon, C.-W. (2025). Polyacrylic Surfactant-Enabled Engineering of Co3O4 Electrodes for Enhanced Asymmetric Supercapacitor Performance. Materials, 18(12), 2916. https://doi.org/10.3390/ma18122916

