The Effect of Colloidal Nano-Silica on the Initial Hydration of High-Volume Fly Ash Cement
Abstract
1. Introduction
2. Materials and Methods
2.1. Materials
2.2. Mixture Proportions
2.3. Test Methods
3. Results and Discussion
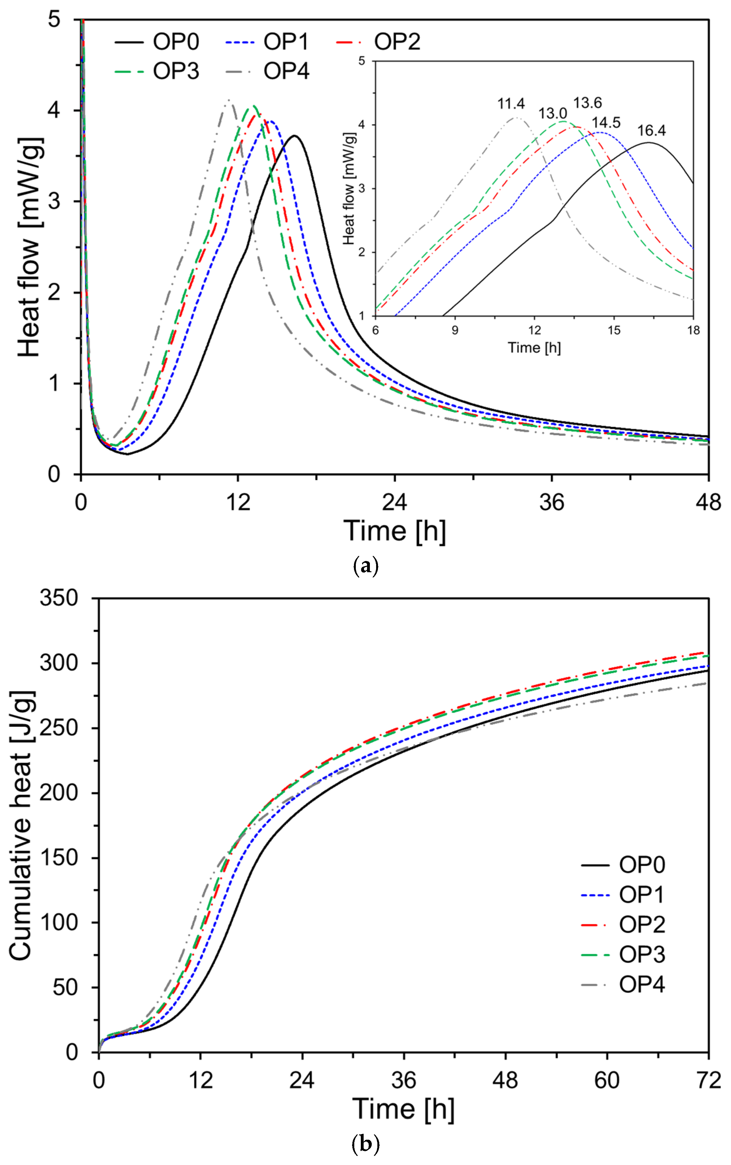
3.1. Hydration Properties of HVFA Cement Containing CNS
3.2. Compressive Strength Results
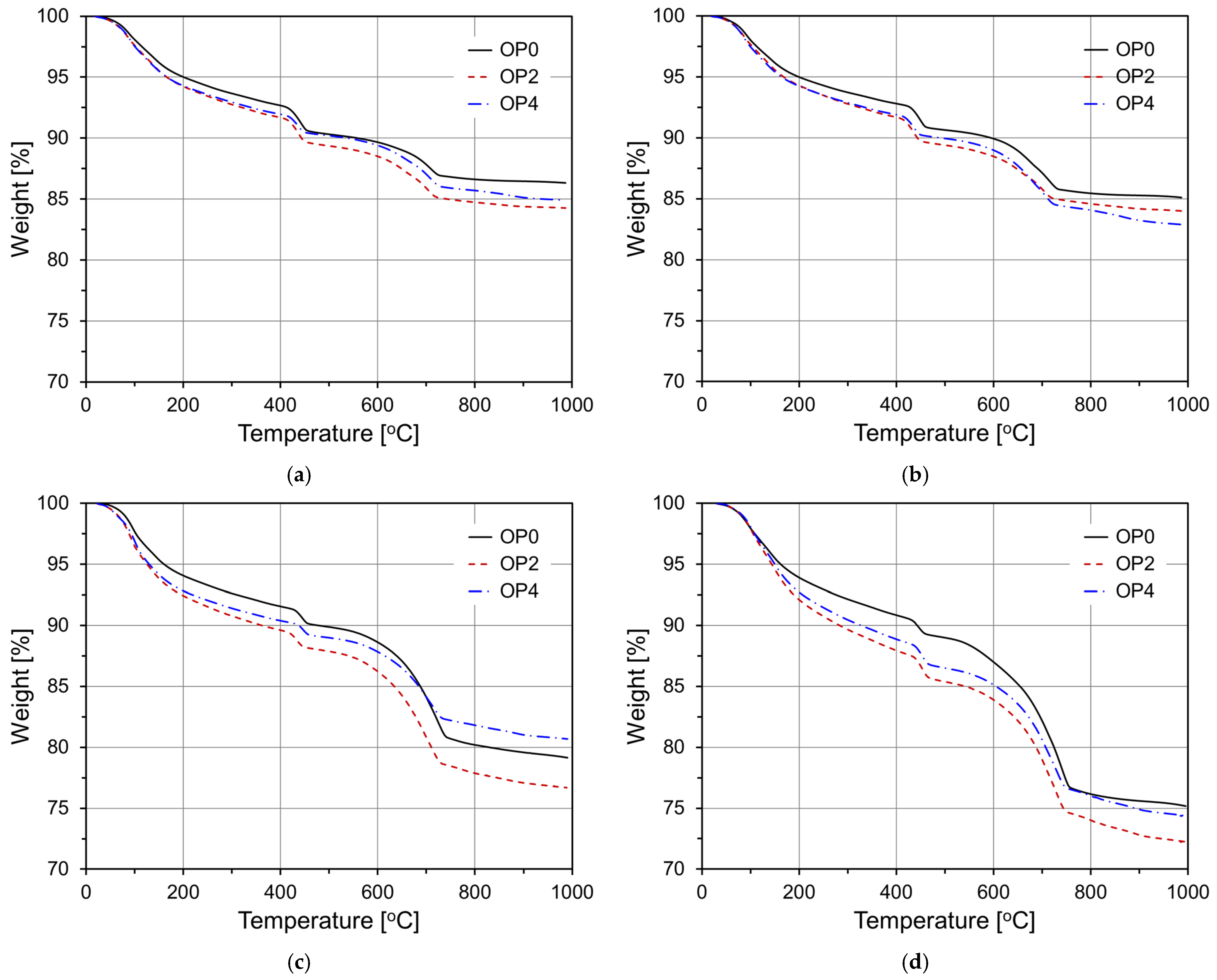
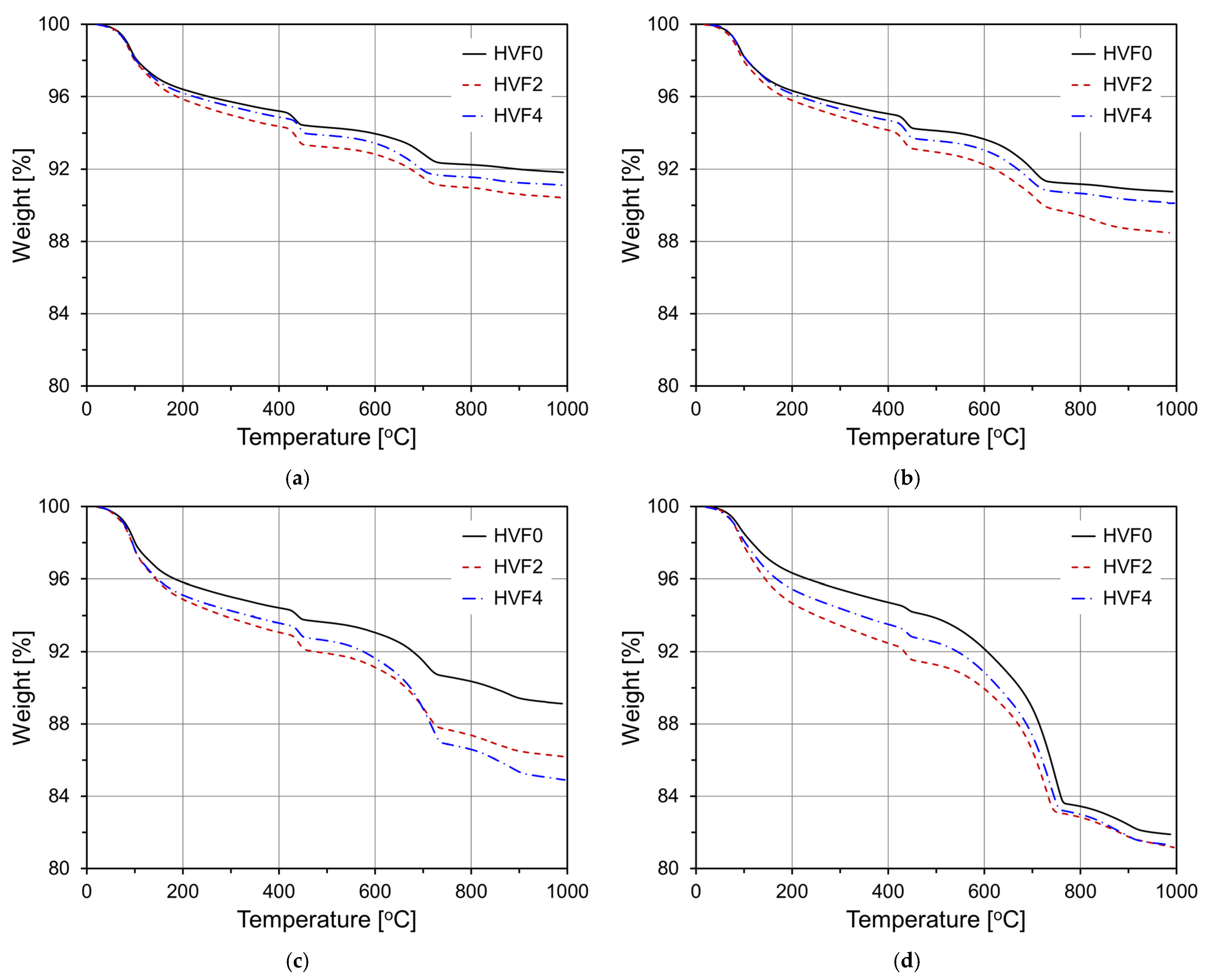
3.3. Thermogravimetric Analysis Results
4. Conclusions
Funding
Institutional Review Board Statement
Informed Consent Statement
Data Availability Statement
Conflicts of Interest
References
- Tomassi, A.; Falegnami, A.; Meleo, L.; Romano, E. The GreenSCENT Competence Frameworks. In The European Green Deal in Education; McDonagh, S.A., Caforio, A., Pollini, A., Eds.; Routledge: London, UK, 2024; pp. 25–44. [Google Scholar] [CrossRef]
- Prakash, R.; Raman, S.N.; Subramanian, C.; Divyah, N. Eco-Friendly Fiber-Reinforced Concretes. In Handbook of Sustainable Concrete and Industrial Waste Management; Colangelo, F., Cioffi, R., Farina, I., Eds.; Elsevier: Amsterdam, The Netherlands, 2022; pp. 109–145. [Google Scholar] [CrossRef]
- Agnihotri, A.; Ramana, P.V. GGBS: Fly-Ash Evaluation and Mechanical Properties within High Strength Concrete. Mater. Today Proc. 2022, 50, 2404–2410. [Google Scholar] [CrossRef]
- Wang, Q.; Liu, R.; Liu, P.; Liu, C.; Sun, L.; Zhang, H. Effects of Silica Fume on the Abrasion Resistance of Low-Heat Portland Cement Concrete. Constr. Build. Mater. 2022, 329, 127165. [Google Scholar] [CrossRef]
- Sahoo, S.; Das, B.B.; Mustakim, S. Acid, Alkali, and Chloride Resistance of Concrete Composed of Low-Carbonated Fly Ash. J. Mater. Civ. Eng. 2017, 29, 04016242. [Google Scholar] [CrossRef]
- Şahmaran, M.; Yaman, İ.Ö.; Tokyay, M. Transport and Mechanical Properties of Self Consolidating Concrete with High Volume Fly Ash. Cem. Concr. Compos. 2009, 31, 99–106. [Google Scholar] [CrossRef]
- ACI Committee 232. ACI PRC-232.3-14 Report on High-Volume Fly Ash Concrete for Structural Applications; ACI: Farmington Hills, MI, USA, 2014. [Google Scholar]
- Paya, J.; Monzo, J.; Borrachero, M.V.; Peris-Mora, E.; Amahjour, F. Mechanical Treatment of Fly Ashes. Part IV: Strength Development of Ground Fly Ash-Cement Mortars Cured at Different Temperatures. Cem. Concr. Res. 2000, 30, 543–551. [Google Scholar] [CrossRef]
- Riding, K.; Silva, D.A.; Scrivener, K. Early Age Strength Enhancement of Blended Cement Systems by CaCl2 and Diethanol-Isopropanolamine. Cem. Concr. Res. 2010, 40, 935–946. [Google Scholar] [CrossRef]
- Qian, J.S.; Shi, C.J.; Wang, Z. Activation of Blended Cements Containing Fly Ash. Cem. Concr. Res. 2001, 31, 1121–1127. [Google Scholar] [CrossRef]
- Hemalatha, T.; Sasmal, S. Early-Age Strength Development in Fly Ash Blended Cement Composites: Investigation through Chemical Activation. Mag. Concr. Res. 2019, 71, 260–270. [Google Scholar] [CrossRef]
- Hoang, K.; Justnes, H.; Geiker, M. Early Age Strength Increase of Fly Ash Blended Cement by a Ternary Hardening Accelerating Admixture. Cem. Concr. Res. 2016, 81, 59–69. [Google Scholar] [CrossRef]
- Ma, B.; Zhang, T.; Tan, H.; Liu, X.; Mei, J.; Qi, H.; Jiang, W.; Zou, F. Effect of Triisopropanolamine on Compressive Strength and Hydration of Cement-Fly Ash Paste. Constr. Build. Mater. 2018, 179, 89–99. [Google Scholar] [CrossRef]
- Kanchanason, V.; Plank, J. Effectiveness of a Calcium Silicate Hydrate–Polycarboxylate Ether (C-S-H–PCE) Nanocomposite on Early Strength Development of Fly Ash Cement. Constr. Build. Mater. 2018, 169, 20–27. [Google Scholar] [CrossRef]
- Hu, S.; Xu, Z.; Ma, X.; Huo, Y.; Yang, Y. Preparation of C-S-H Seeds from Solid Waste and Its Application as Portland Cement Accelerator. Constr. Build. Mater. 2024, 428, 136277. [Google Scholar] [CrossRef]
- Luo, K.; Li, J.; Lu, Z.; Jiang, J.; Niu, Y. Effect of Nano-SiO2 on Early Hydration of Natural Hydraulic Lime. Constr. Build. Mater. 2019, 216, 119–127. [Google Scholar] [CrossRef]
- Kong, D.; Su, Y.; Du, X.; Yang, Y.; Wei, S.; Shah, S.P. Influence of Nano-Silica Agglomeration on Fresh Properties of Cement Pastes. Constr. Build. Mater. 2013, 43, 557–562. [Google Scholar] [CrossRef]
- Sun, J.; Shen, X.; Tan, G.; Tanner, J.E. Modification Effects of Nano-SiO2 on Early Compressive Strength and Hydration Characteristics of High-Volume Fly Ash Concrete. J. Mater. Civ. Eng. 2019, 31, 04019057. [Google Scholar] [CrossRef]
- Newell, M.; Garcia-Taengua, E. Fresh and Hardened State Properties of Hybrid Graphene Oxide/Nanosilica Cement Composites. Constr. Build. Mater. 2019, 221, 433–442. [Google Scholar] [CrossRef]
- Quercia, G.; Spiesz, P.; Hüsken, G.; Brouwers, H.J.H. SCC Modification by Use of Amorphous Nano-Silica. Cem. Concr. Compos. 2014, 45, 69–81. [Google Scholar] [CrossRef]
- Mukharjee, B.B.; Barai, S.V. Assessment of the Influence of Nano-Silica on the Behavior of Mortar Using Factorial Design of Experiments. Constr. Build. Mater. 2014, 68, 416–425. [Google Scholar] [CrossRef]
- Teimortashlu, E.; Dehestani, M.; Jalal, M. Application of Taguchi Method for Compressive Strength Optimization of Tertiary Blended Self-Compacting Mortar. Constr. Build. Mater. 2018, 190, 1182–1191. [Google Scholar] [CrossRef]
- Pan, Z.; He, L.; Qiu, L.; Korayem, A.H.; Li, G.; Zhu, J.W.; Collins, F.; Li, D.; Duan, W.H.; Wang, M.C. Mechanical Properties and Microstructure of a Graphene Oxide Cement Composite. Cem. Concr. Compos. 2015, 58, 140–147. [Google Scholar] [CrossRef]
- Liu, H.; Yu, Y.; Liu, H.; Jin, J.; Liu, S. Hybrid Effects of Nano-Silica and Graphene Oxide on Mechanical Properties and Hydration Products of Oil Well Cement. Constr. Build. Mater. 2018, 191, 311–319. [Google Scholar] [CrossRef]
- Ghazizadeh, S.; Duffour, P.; Skipper, N.T.; Bai, Y. Understanding the Behaviour of Graphene Oxide in Portland Cement Paste. Cem. Concr. Res. 2018, 111, 169–182. [Google Scholar] [CrossRef]
- Rao, S.; Silva, P.; de Brito, J. Experimental Study of the Mechanical Properties and Durability of Self-Compacting Mortars with Nanomaterials (SiO2 and TiO2). Constr. Build. Mater. 2015, 96, 508–517. [Google Scholar] [CrossRef]
- Nazari, A.; Riahi, S. The Effects of SiO2 Nanoparticles on Physical and Mechanical Properties of High Strength Compacting Concrete. Compos. Part B Eng. 2011, 42, 570–578. [Google Scholar] [CrossRef]
- Chen, Y.X.; Li, S.; Mezari, B.; Hensen, E.J.M.; Yu, R.; Schollbach, K.; Brouwers, H.J.H.; Yu, Q. Effect of Highly Dispersed Colloidal Olivine Nano-Silica on Early Age Properties of Ultra-High Performance Concrete. Cem. Concr. Compos. 2022, 131, 104564. [Google Scholar] [CrossRef]
- Yang, T.; Liu, B.; Li, L.; Gan, X.; Lu, L.; Li, Y. Agglomeration Behavior of Colloidal Nano-Silica and Its Effect on Pore Structure, Mechanical Properties and Shrinkage of Cement Mortar. Constr. Build. Mater. 2023, 409, 133865. [Google Scholar] [CrossRef]
- Gu, Y.; Ran, Q.; Shu, X.; Yu, C.; Chang, H.; Liu, J. Synthesis of Nano-SiO2@PCE Core–Shell Nanoparticles and Its Effect on Cement Hydration at Early Age. Constr. Build. Mater. 2016, 114, 673–680. [Google Scholar] [CrossRef]
- Kawashima, S.; Hou, P.; Corr, D.J.; Shah, S.P. Modification of cement-based materials with nanoparticles. Cem. Concr. Compos. 2013, 36, 8–15. [Google Scholar] [CrossRef]
- ISO 679:2009; Cement—Test Methods—Determination of Strength. International Organization for Standardization: Geneva, Switzerland, 2009.
- ISO 9597:2020; Cement—Test Methods—Determination of Setting Time and Soundness. International Organization for Standardization: Geneva, Switzerland, 2020.
- Lavergne, F.; Belhadi, R.; Carriat, J.; Ben Fraj, A. Effect of Nano-Silica Particles on the Hydration, the Rheology and the Strength Development of a Blended Cement Paste. Cem. Concr. Compos. 2019, 95, 42–55. [Google Scholar] [CrossRef]
- Karakouzian, M.; Farhangi, V.; Farani, M.R.; Joshaghani, A.; Zadehmohamad, M.; Ahmadzadeh, M. Mechanical Characteristics of Cement Paste in the Presence of Carbon Nanotubes and Silica Oxide Nanoparticles: An Experimental Study. Materials 2021, 14, 1347. [Google Scholar] [CrossRef]
- Liu, H.; Li, Q.; Ni, S.; Wang, L.; Yue, G.; Guo, Y. Effect of Nano-Silica Dispersed at Different Temperatures on the Properties of Cement-Based Materials. J. Build. Eng. 2022, 46, 103750. [Google Scholar] [CrossRef]
- Elkady, T.; Yousef, A.; Elnaggar, M.; Badr, A. A Review of the Effect of Nano-Silica on the Mechanical and Durability Properties of Concrete. Infrastructures 2019, 4, 132. [Google Scholar] [CrossRef]
- Oertel, T.; Hutter, F.; Tänzer, R.; Helbig, U.; Sextl, G. Primary Particle Size and Agglomerate Size Effects of Amorphous Silica in Ultra-High Performance Concrete. Cem. Concr. Compos. 2013, 37, 61–67. [Google Scholar] [CrossRef]
- Solache, S.C.; Pérez, E.M.; Bautista, A.G.; González, M.F.; Gonzalez, J.A.P. Comparative Analysis of the Use of Nanosilica and Fly Ash in Hydraulic Concrete. Ing. Investig. 2023, 43, 132. [Google Scholar] [CrossRef]
- Shaikh, F.U.A.; Shaikh, S.W.M.; Sarker, P.K. A study on the effect of nano silica on compressive strength of high volume fly ash mortars and concretes. Mater. Des. 2014, 60, 433–442. [Google Scholar] [CrossRef]















| Chemical Oxide Compositions (wt%) | |||||||||
|---|---|---|---|---|---|---|---|---|---|
| SiO2 | Al2O3 | Fe2O3 | CaO | MgO | K2O | Na2O | SO3 | TiO2 | |
| OPC | 21.8 | 4.7 | 3.3 | 63.2 | 3.2 | 1.7 | 0.3 | 2.4 | 0.3 |
| FA | 55.6 | 22.2 | 7.8 | 8.6 | 2.4 | 1.2 | 1.9 | 2.1 | 1.0 |
| Specimens | W/B (-) | OPC (g) | FA (g) | CNS-Solid (g) | Sand (g) |
|---|---|---|---|---|---|
| OP0 | 0.5 | 100 | - | 0.0 | 300 |
| OP1 | 99 | - | 1.0 | ||
| OP2 | 98 | - | 2.0 | ||
| OP3 | 97 | - | 3.0 | ||
| OP4 | 96 | - | 4.0 | ||
| HVF0 | 50 | 50 | 0.0 | ||
| HVF1 | 49 | 50 | 1.0 | ||
| HVF2 | 48 | 50 | 2.0 | ||
| HVF3 | 47 | 50 | 3.0 | ||
| HVF4 | 46 | 50 | 4.0 |
Disclaimer/Publisher’s Note: The statements, opinions and data contained in all publications are solely those of the individual author(s) and contributor(s) and not of MDPI and/or the editor(s). MDPI and/or the editor(s) disclaim responsibility for any injury to people or property resulting from any ideas, methods, instructions or products referred to in the content. |
© 2025 by the author. Licensee MDPI, Basel, Switzerland. This article is an open access article distributed under the terms and conditions of the Creative Commons Attribution (CC BY) license (https://creativecommons.org/licenses/by/4.0/).
Share and Cite
Choi, Y.-C. The Effect of Colloidal Nano-Silica on the Initial Hydration of High-Volume Fly Ash Cement. Materials 2025, 18, 2769. https://doi.org/10.3390/ma18122769
Choi Y-C. The Effect of Colloidal Nano-Silica on the Initial Hydration of High-Volume Fly Ash Cement. Materials. 2025; 18(12):2769. https://doi.org/10.3390/ma18122769
Chicago/Turabian StyleChoi, Young-Cheol. 2025. "The Effect of Colloidal Nano-Silica on the Initial Hydration of High-Volume Fly Ash Cement" Materials 18, no. 12: 2769. https://doi.org/10.3390/ma18122769
APA StyleChoi, Y.-C. (2025). The Effect of Colloidal Nano-Silica on the Initial Hydration of High-Volume Fly Ash Cement. Materials, 18(12), 2769. https://doi.org/10.3390/ma18122769

