Utilization of Low-Grade Limestone and Solid Waste for the Preparation of High-Belite Portland Cement
Abstract
1. Introduction
2. Experimental Section
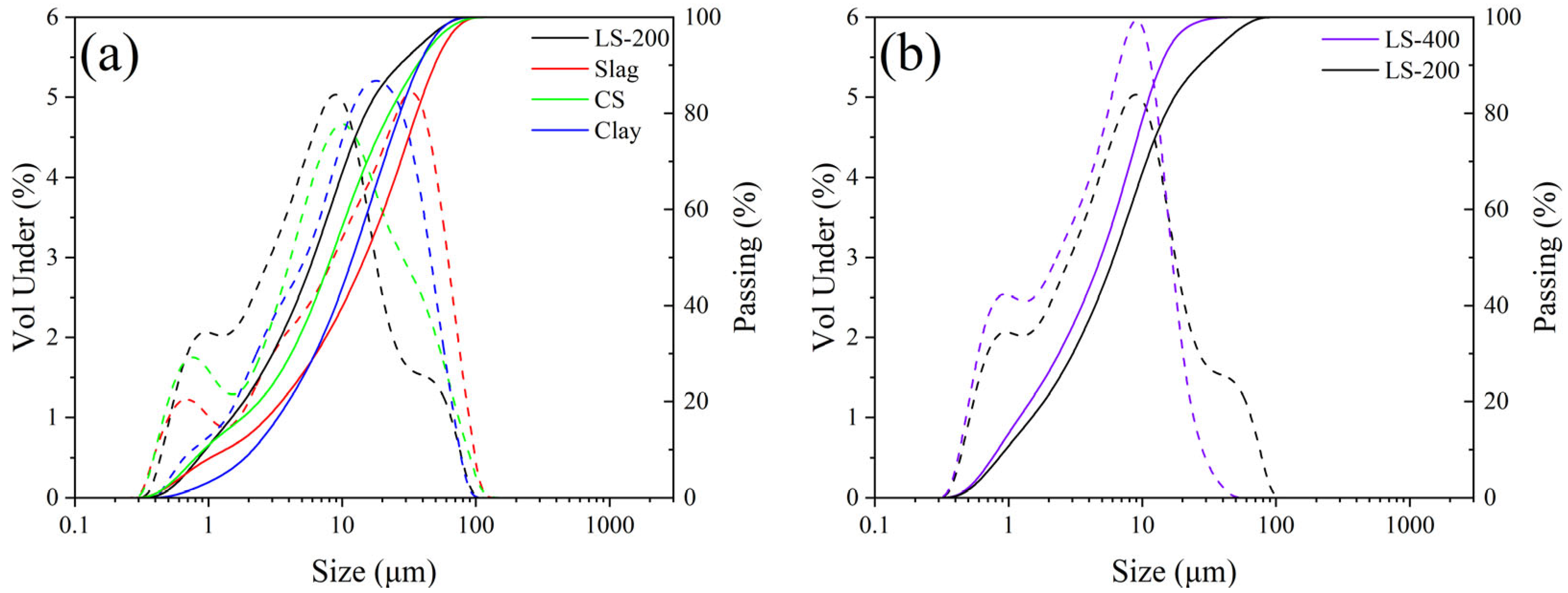
2.1. Raw Materials
2.2. Measurement Methods
| Phase | ICSD Number |
|---|---|
| M1-C3S | 81100 [22] |
| M3-C3S | 94742 [23] |
| α-C2S | 81099 [24] |
| β-C2S | 81096 [25] |
| γ-C2S | 81095 [26] |
| C3A | 1841 [27] |
| C4AF | 9197 [28] |
| CaO | 75785 [29] |
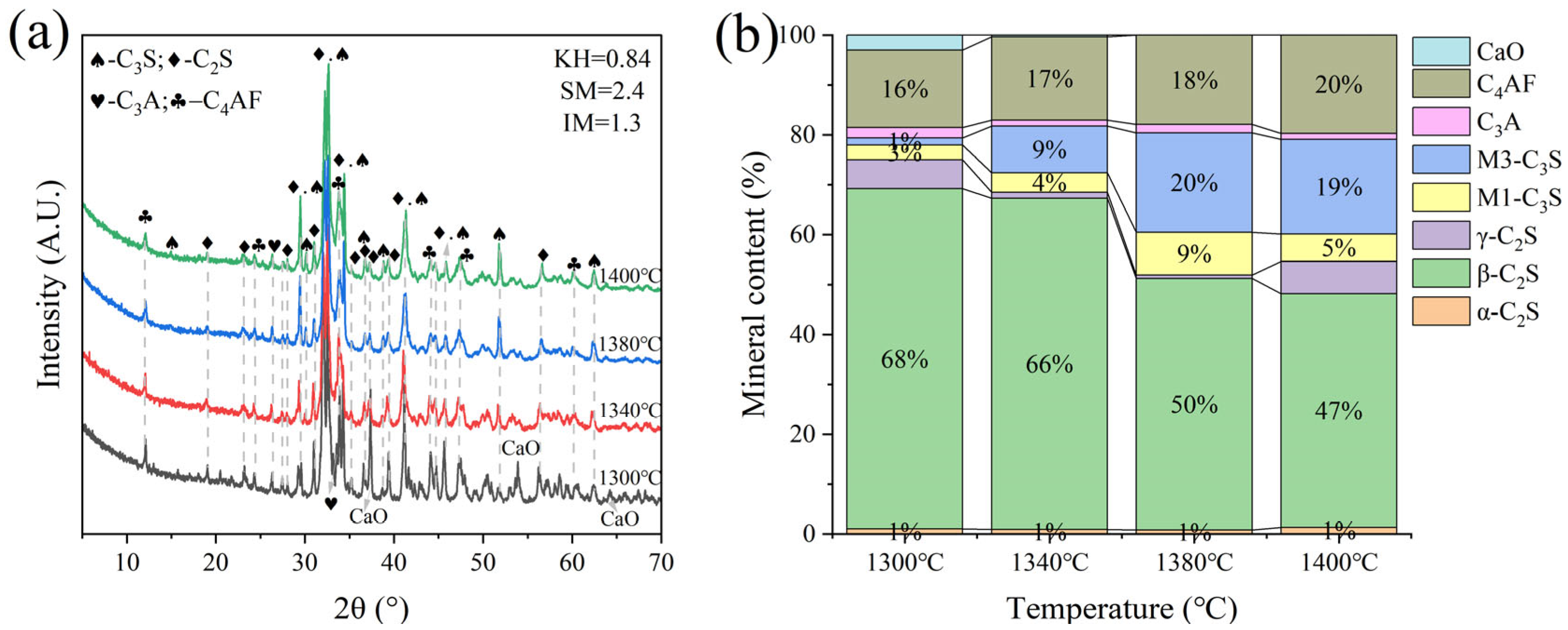
3. Results and Discussion
4. Conclusions
Author Contributions
Funding
Institutional Review Board Statement
Informed Consent Statement
Data Availability Statement
Conflicts of Interest
References
- National Bureau of Statistics. Statistical Communique of the People’s Republic of China on the 2023 National Economic and Social Development; National Bureau of Statistics: Beijing, China, 2024; pp. 4–21. [Google Scholar]
- IEA. CO2 Emissions in 2023; IEA: Paris, France, 2024. [Google Scholar]
- Cuesta, A.; Ayuela, A.; Aranda, M.A.G. Belite cements and their activation. Cem. Concr. Res. 2021, 140, 106319. [Google Scholar] [CrossRef]
- Kurdowski, W.; Duszak, S.; Trybalska, B. Belite produced by means of low-temperature synthesis. Cem. Concr. Res. 1997, 27, 51–62. [Google Scholar] [CrossRef]
- Hanein, T.; Galvez-Martos, J.-L.; Bannerman, M.N. Carbon footprint of calcium sulfoaluminate clinker production. J. Clean. Prod. 2018, 172, 2278–2287. [Google Scholar] [CrossRef]
- Moudar, J.; El Fami, N.; Diouri, A.; Taibi, M.H. Characterization of belitic cement mortars elaborated from shell and glass powders, microstructure and mechanical properties. Constr. Build. Mater. 2023, 379, 131189. [Google Scholar] [CrossRef]
- Enriquez, M.K.; Tobon, J.I.; Ramirez, J.H. Use of industrial wastes for the synthesis of belite clinker. Mater. Constr. 2020, 70, e226. [Google Scholar] [CrossRef]
- Yang, Z.; Liu, Y.; Chen, M.; Wang, X.; Ye, C.; Li, X.; Chen, W.; Yang, Y.; Wang, B.; Li, C.; et al. Influence of Coupling Effects between Gravel Soil Porosity and Cement Grout Weight on Diffusion Laws and Morphologies of Penetration Grouting. Appl. Sci. 2022, 12, 7601. [Google Scholar] [CrossRef]
- Zhiquan, Y.; Xiangdong, N.; Kepeng, H.; Wei, L.; Yanhui, G. Relationships between water-cement ratio and rheological characteristics of Power-law cement grouts. Electron. J. Geotech. Eng. 2015, 20, 5825–5831. [Google Scholar]
- Yang, Z.; Qian, S.; Hou, K. Time-dependent behavior characteristics of Power-law cement grouts applied in geotechnical engineering. Electron. J. Geotech. Eng. 2015, 20, 1017–1024. [Google Scholar]
- Yang, Z.Q.; Hou, K.P.; Guo, T.T. Research on Time-Varying Behavior of Cement Grouts of Different Water-Cement Ratios. Appl. Mech. Mater. 2011, 71–78, 4398–4401. [Google Scholar] [CrossRef]
- Yang, Z.Q.; Hou, K.P.; Guo, T.T. Study on the Effects of Different Water-Cement Ratios on the Flow Pattern Properties of Cement Grouts. Appl. Mech. Mater. 2011, 71–78, 1264–1267. [Google Scholar] [CrossRef]
- Zhao, X.J.; Yang, Z.J.; Lin, X.W.; Ma, H.; Shen, W.H. Development status of comprehensive utilization of carbide slag. China Chlor Alkali 2016, 7, 43–47. [Google Scholar]
- Ding, Q.S.; Tang, G.H.; Lu, S.B. Development of New Technology for Production of Cement Clinker with Carbide Slag in Replacement of Limestone. In Proceedings of the International Symposium on Cement and Concrete and Canmet/ACI International Symposium on Concrete Technology for Sustainable Development, Xi’an, China, 19–22 September 2006; pp. 274–282. [Google Scholar]
- Zeng, X.J.; Chen, P.; Wang, Y.P. Production technology progress of cement made of acetylene slag home and abroad. China Cem. 2018, 9, 79–85. [Google Scholar]
- Gao, Y.; Li, Z.; Zhang, J.; Zhang, C.; Chen, J. Synthesis, Characterization and Properties of Solid Waste Based High Belite Cement. Chem. Lett. 2021, 50, 128–130. [Google Scholar] [CrossRef]
- Tamma, V.R.; Pancharathi, R.K.; Bibekananda, M.; Pallapothu, S.N.R.G. Strength and microstructure characteristics of low-grade (LG) limestone-based cements for a sustainable concrete. Environ. Dev. Sustain. 2024, 26, 22907–22927. [Google Scholar] [CrossRef]
- Liu, Z.H.; Guo, Y.H.; Liu, S.F. Application of low grade limestone in cement clinker production. Cement 2024, 4, 49–51. [Google Scholar] [CrossRef]
- Zhao, P. Performance of Belite-Barium Calcium Sulphoaluminate Cement Preparaed by Low Grade Raw Materials and Industrial Wastes. Master’s Thesis, University of Jinan, Jinan, China, 2011. [Google Scholar]
- Wu, H.M. Cement clinker rate value and its application in batching. China Cem. 2013, 7, 70–74. [Google Scholar]
- Hu, Y.; Li, W.; Ma, S.; Wang, Q.; Zou, H.; Shen, X. The composition and performance of alite-ye’elimite clinker produced at 1300 °C. Cem. Concr. Res. 2018, 107, 41–48. [Google Scholar] [CrossRef]
- Mumme, W.G. Crystal structure of tricalcium silicate from a Portland cement clinker and its application to quantitative XRD analysis. Neues Jahrb. Für Mineral. Monatshefte. 1995, 4, 146–160. [Google Scholar]
- De La Torre, A.G.; Bruque, S.; Campo, J.; Aranda, M.A.G. The superstructure of C3S from synchrotron and neutron powder diffraction and its role in quantitative phase analyses. Cem. Concr. Res. 2002, 32, 1347–1356. [Google Scholar] [CrossRef]
- Mumme, W.G.; Hill, R.J.; Bushnell-wye, G.; Segnit, E.R. Rietveld crystal structure refinements, crystal chemistry and calculated powder diffraction data for the polymorphs of dicalcium silicate and related phases. Neues Jb Miner Abh. 1995, 169, 35–68. [Google Scholar]
- Yamnova, N.A.; Zubkova, N.V.; Eremin, N.N.; Zadov, A.E.; Gazeev, V.M. Crystal structure of larnite β-Ca2SiO4 and specific features of polymorphic transitions in dicalcium orthosilicate. Crystallogr. Rep. 2011, 56, 210–220. [Google Scholar] [CrossRef]
- Gobechiya, E.R.; Yamnova, N.A.; Zadov, A.E.; Gazeev, V.M. Calcio-olivine γ-Ca2SiO4: I.: Rietveld refinement of the crystal structure. Crystallogr. Rep. 2008, 53, 404–408. [Google Scholar] [CrossRef]
- McMurdie, H.F. The Structure of Tricalcium Aluminate. J. Res. Natl. Bur. Stand. 1941, 27, 499–505. [Google Scholar] [CrossRef]
- Jupe, A.C.; Cockcroft, J.K.; Barnes, P.; Colston, S.L.; Sankar, G.; Hall, C. The site occupancy of Mg in the brownmillerite structure and its effect on hydration properties: An X-ray/neutron diffraction and EXAFS study. J. Appl. Crystallogr. 2001, 34, 55–61. [Google Scholar] [CrossRef]
- Chmaissem, O.; Huang, Q.; Putilin, S.N.; Marezio, M.; Santoro, A. Neutron powder diffraction study of the crystal structures of HgBa2CuO4+δ and HgBaO2. Phys. C Supercond 1993, 212, 259–265. [Google Scholar] [CrossRef]
- Blancovarela, M.T.; Palomo, A.; Vazquez, T. Effect of fluorspar on the formation of clinker phases. Cem. Concr. Res. 1984, 14, 397–406. [Google Scholar] [CrossRef]
- Huang, L.; Song, W.; Li, H.; Zhang, H.; Yang, Z. Effects of aphthitalite on the formation of clinker minerals and hydration properties. Constr. Build. Mater. 2018, 183, 275–282. [Google Scholar] [CrossRef]
- Londono-Zuluaga, D.; Tobón, J.I.; Aranda, M.A.G.; Santacruz, I.; De la Torre, A.G. Clinkering and hydration of belite-alite-ye’elimite cement. Cem. Concr. Compos. 2017, 80, 333–341. [Google Scholar] [CrossRef]





















| Materials | LOSS | SiO2 | Al2O3 | Fe2O3 | CaO | MgO | K2O | Na2O | SO3 |
|---|---|---|---|---|---|---|---|---|---|
| Low-grade limestone | 31.01 | 19.90 | 6.49 | 2.13 | 36.14 | 1.88 | 1.29 | 0.40 | 0.17 |
| Calcium carbide slag | 25.95 | 2.90 | 1.42 | 0.46 | 68.50 | 0.12 | 0.03 | 0 | 0.44 |
| Clay | 12.38 | 63.59 | 11.45 | 1.03 | 6.10 | 2.24 | 2.48 | 0.45 | 0 |
| Steel slag | −0.70 | 14.02 | 4.14 | 24.35 | 43.28 | 5.36 | 0.02 | 0.08 | 0.16 |
| Low-Grade Limestone | Calcium Carbide Slag | Clay | Steel Slag | KH | SM | IM | |
|---|---|---|---|---|---|---|---|
| A | 16.5 | 52.5 | 20 | 11 | 0.72 | 2.4 | 1.3 |
| B | 15 | 54 | 20 | 11 | 0.74 | 2.4 | 1.3 |
| C | 13.5 | 55.5 | 20 | 11 | 0.76 | 2.4 | 1.3 |
| D | 13 | 56.75 | 20 | 10.25 | 0.78 | 2.5 | 1.3 |
| E | 11 | 58 | 20 | 11 | 0.80 | 2.4 | 1.3 |
| F | 12.5 | 58 | 19 | 10.5 | 0.82 | 2.4 | 1.3 |
| G | 11.5 | 59 | 19 | 10.5 | 0.84 | 2.4 | 1.3 |
| H | 10 | 60 | 19 | 11 | 0.86 | 2.4 | 1.2 |
| I | 9 | 61.5 | 19 | 10.5 | 0.88 | 2.4 | 1.3 |
| J | 7.5 | 62.5 | 19 | 11 | 0.90 | 2.4 | 1.2 |
Disclaimer/Publisher’s Note: The statements, opinions and data contained in all publications are solely those of the individual author(s) and contributor(s) and not of MDPI and/or the editor(s). MDPI and/or the editor(s) disclaim responsibility for any injury to people or property resulting from any ideas, methods, instructions or products referred to in the content. |
© 2025 by the authors. Licensee MDPI, Basel, Switzerland. This article is an open access article distributed under the terms and conditions of the Creative Commons Attribution (CC BY) license (https://creativecommons.org/licenses/by/4.0/).
Share and Cite
Duan, J.; Zhang, Y.; Xia, S.; Geng, Z.; Xin, W. Utilization of Low-Grade Limestone and Solid Waste for the Preparation of High-Belite Portland Cement. Materials 2025, 18, 2641. https://doi.org/10.3390/ma18112641
Duan J, Zhang Y, Xia S, Geng Z, Xin W. Utilization of Low-Grade Limestone and Solid Waste for the Preparation of High-Belite Portland Cement. Materials. 2025; 18(11):2641. https://doi.org/10.3390/ma18112641
Chicago/Turabian StyleDuan, Jiapeng, Yu Zhang, Suwei Xia, Zian Geng, and Wenbo Xin. 2025. "Utilization of Low-Grade Limestone and Solid Waste for the Preparation of High-Belite Portland Cement" Materials 18, no. 11: 2641. https://doi.org/10.3390/ma18112641
APA StyleDuan, J., Zhang, Y., Xia, S., Geng, Z., & Xin, W. (2025). Utilization of Low-Grade Limestone and Solid Waste for the Preparation of High-Belite Portland Cement. Materials, 18(11), 2641. https://doi.org/10.3390/ma18112641
