Polydimethylsiloxane as a Modifier of the Processing, Surface and Mechanical Properties of the Linear Low-Density Polyethylene Recyclate
Abstract
1. Introduction
2. Materials and Methods
2.1. Tested Materials
2.2. Sample Preparation
2.3. Analytical Methods
- -
- x is the parameter specifying the nature of the tip contact with the coating (1 < x < 2 for viscoelastic or viscoplastic deformation, x = 1 for purely elastic contact and x = 2 for plastic deformation);
- -
- L represents the tip load, and w is the scratch width. In this study, the x parameter was taken as 1.
3. Results and Discussion
3.1. Processing and Rheological Properties
3.2. Surface Properties
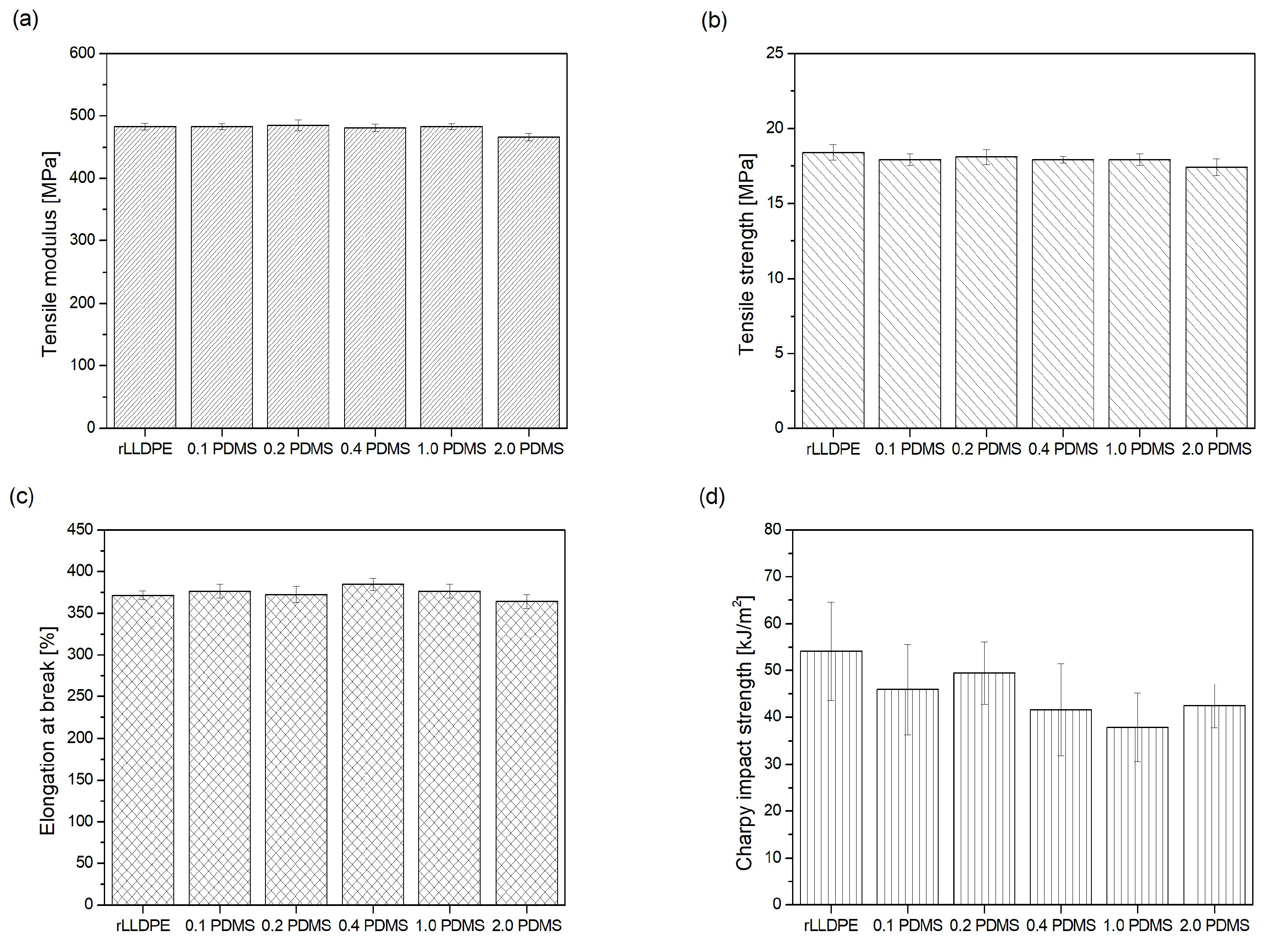
3.3. Mechanical Properties
4. Conclusions
Author Contributions
Funding
Institutional Review Board Statement
Informed Consent Statement
Data Availability Statement
Conflicts of Interest
Abbreviations
| HDPE | high-density polyethylene |
| LDPE | low-density polyethylene |
| LLDPE | linear low-density polyethylene |
| MFR | melt flow rate |
| PDMS | polydimethylsiloxane |
| PE | polyethylene |
| rLLDPE | recyclate of high-density polyethylene |
| SL | longitudinal processing shrinkage |
| UHMW | ultra-high molecular weight |
References
- Navarre, S.; Degueil, M.; Maillard, B. Chemical modification of molten polyethylene by thermolysis of peroxyketals. Polymer 2001, 42, 4509–4516. [Google Scholar] [CrossRef]
- Wilczewski, S.; Skórczewska, K.; Tomaszewska, J.; Lewandowski, K.; Şentürk, Ö.F. Mechanical and thermal properties of rigid PVC and graphene nanocomposites obtained by melt–mixing. Polimery 2024, 69, 86–91. [Google Scholar] [CrossRef]
- Wang, X.; Tzoganakis, C.; Rempel, G.L. Chemical modification of polypropylene with peroxide/pentaerythritol triacrylate by reactive extrusion. J. Appl. Polym. Sci. 1996, 61, 1395–1404. [Google Scholar] [CrossRef]
- Chruściel, J.J.; Leśniak, E. Modification of thermoplastics with reactive silanes and siloxanes. In Thermoplastic Elastomers; InTech—Open Science: Rijeka, Croatia, 2012; pp. 155–192. [Google Scholar]
- Cassagnau, P.; Bounor-Legaré, V.; Fenouillot, F. Reactive Processing of Thermoplastic Polymers: A Review of the Fundamental Aspects: This work is dedicated to Dr. Alain Michel for his retirement and in memory of Prof. Morand Lambla. Dr. Michel and Prof. Lambla were the pioneers of the development of reactive processing in France. Int. Polym. Process. 2007, 22, 218–258. [Google Scholar] [CrossRef]
- Jeziórska, R. Recycling of multilayer films by reactive extrusion. Polimery 2003, 48, 130–133. [Google Scholar] [CrossRef]
- Belhaoues, A.; Benmesli, S.; Riahi, F. Compatibilization of natural rubber–polypropylene thermoplastic elastomer blend. J. Elastomers Plast. 2020, 52, 728–746. [Google Scholar] [CrossRef]
- Suárez, L.; Hanna, P.R.; Ortega, Z.; Barczewski, M.; Kosmela, P.; Millar, B.; Cunningham, E. Influence of Giant Reed (Arundo Donax L.) Culms Processing Procedure on Physicochemical, Rheological, and Thermomechanical Properties of Polyethylene Composites. J. Nat. Fibers 2024, 21, 2296909. [Google Scholar] [CrossRef]
- Yan, J.; Wang, C.; Zhang, T.; Xiao, Z.; Xie, X. Super Tough PA6/PP/ABS/SEBS Blends Compatibilized by a Combination of Multi-Phase Compatibilizers. Materials 2024, 17, 5370. [Google Scholar] [CrossRef]
- Barczewski, M.; Hejna, A.; Sałasińska, K.; Aniśko, J.; Piasecki, A.; Skórczewska, K.; Andrzejewski, J. Thermomechanical and Fire Properties of Polyethylene-Composite-Filled Ammonium Polyphosphate and Inorganic Fillers: An Evaluation of Their Modification Efficiency. Polymers 2022, 14, 2501. [Google Scholar] [CrossRef]
- Patel, R.M. Polyethylene. In Multilayer Flexible Packaging, 2nd ed.; Wagner, J.R., Ed.; William Andrew Publishing: New York, NY, USA, 2016; pp. 17–34. [Google Scholar]
- Published by Statista Research Department. Available online: https://www.statista.com/statistics/1245162/polyethylene-market-volume-worldwide/#statisticContainer (accessed on 12 March 2025).
- Baur, E.; Drummer, D.; Osswald, T.A.; Rudolph, N. Saechtling Kunststoff-Handbuch; Carl Hanser Verlag: München, Germany, 2022; pp. 353–364, 581–589. [Google Scholar]
- Kloziński, A.; Jakubowska, P. The effect of the addition of a slip agent on the rheological properties of polyethylene—Off-line and in-line measurements. J. Polym. Eng. 2019, 39, 422–431. [Google Scholar] [CrossRef]
- Mysiukiewicz, O.; Kosmela, P.; Barczewski, M.; Hejna, A. Mechanical, Thermal and Rheological Properties of Polyethylene-Based Composites Filled with Micrometric Aluminum Powder. Materials 2020, 13, 1242. [Google Scholar] [CrossRef]
- Bensalah, H.; Gueraoui, K.; Essabir, H.; Rodrigue, D.; Bouhfid, R.; Qaiss, A. Mechanical, thermal, and rheological properties of polypropylene hybrid composites based clay and graphite. J. Compos. Mater. 2017, 51, 3563–3576. [Google Scholar] [CrossRef]
- Mukherjee, M.; Kumar, S.; Bose, S.; Das, C.K.; Kharitonov, A.P. Study on the Mechanical, Rheological, and Morphological Properties of Short KevlarTM Fiber/s-PS Composites. Polym.-Plast. Technol. 2008, 47, 623–629. [Google Scholar] [CrossRef]
- Ryan, K.J.; Lupton, K.E.; Pape, P.G.; John, V.B. Ultra-high-molecular-weight functional siloxane additives in polymers. Effects on processing and properties. J. Vinyl Addit. Technol. 2000, 6, 7–19. [Google Scholar] [CrossRef]
- Zhu, S.H.; McManus, N.T.; Tzoganakis, C.; Penlidis, A. Effect of a polydimethylsiloxanemodified polyolefin additive on the processing and surface properties of LLDPE. Polym. Eng. Sci. 2007, 47, 1309–1316. [Google Scholar] [CrossRef]
- Muñoz, P.; Ma, P.; Werlang, M.M.; Yoshida, I.V.P.; Mauler, R.S. Blends of High-Density Polyethylene with Solid Silicone Additive. J. Appl. Polym. Sci. 2002, 83, 2347–2354. [Google Scholar] [CrossRef]
- Tan, X.M.; Rodrigue, D. A Review on Porous Polymeric Membrane Preparation. Part II: Production Techniques with Polyethylene, Polydimethylsiloxane, Polypropylene, Polyimide, and Polytetrafluoroethylene. Polymers 2019, 11, 1310. [Google Scholar] [CrossRef]
- Teixeira, I.; Castro, I.; Carvalho, V.; Rodrigues, C.; Souza, A.; Lima, R.; Teixeira, S.; Ribeiro, J. Polydimethylsiloxane mechanical properties: A systematic review. AIMS Mater. Sci. 2021, 8, 952–973. [Google Scholar] [CrossRef]
- Souza, A.; Marques, E.; Balsa, C.; Ribeiro, J. Characterization of Shear Strain on PDMS: Numerical and Experimental Approaches. Appl. Sci. 2020, 10, 3322. [Google Scholar] [CrossRef]
- Montazerian, H.; Mohamed, M.G.A.; Mohaghegh Montazeri, M.; Kheiri, S.; Milani, A.S.; Kim, K.; Hoorfar, M. Permeability and mechanical properties of gradient porous PDMS scaffolds fabricated by 3D-printed sacrificial templates designed with minimal surfaces. Acta Biomater. 2019, 96, 149–160. [Google Scholar] [CrossRef] [PubMed]
- Khorasani, M.T.; Zaghiyan, M.; Mirzadeh, H. Ultra high molecular weight polyethylene and polydimethylsiloxane blend as acetabular cup material. Colloids Surf. B Biointerfaces 2005, 41, 169–174. [Google Scholar] [CrossRef]
- Seethapathy, S.; Górecki, T. Applications of polydimethylsiloxane in analytical chemistry: A review. Anal. Chim. Acta 2012, 750, 48–62. [Google Scholar] [CrossRef] [PubMed]
- Zhu, R.; Hoshi, T.; Muroga, Y.; Hagiwara, T.; Yano, S.; Sawaguchi, T. Microstructure and Mechanical Properties of a Polyethylene/Polydimethylsiloxane Composite Prepared Using Supercritical Carbon Dioxide. J. Appl. Polym. Sci. 2013, 127, 3388–3394. [Google Scholar] [CrossRef]
- Le-The, H.; Tibbe, M.; Loessberg-Zahl, J.; Palma do Carmo, M.; van der Helm, M.; Bomer, J.; Albert van der Berg, A.; Leferink, A.; Segerink, L.; Eijkel, J. Large-scale fabrication of free-standing and sub-μm PDMS through-hole membranes. Nanoscale 2018, 10, 7711–7718. [Google Scholar] [CrossRef]
- Giri, R.; Naskar, K.; Nando, G.B. Effect of electron beam irradiation on dynamic mechanical, thermal and morphological properties of LLDPE and PDMS rubber blends. Radiat. Phys. Chem. 2012, 81, 1930–1942. [Google Scholar] [CrossRef]
- Dalla Monta, A.; Razan, F.; Le Cam, J.B.; Chagnon, G. Using thickness-shear mode quartz resonator for characterizing the viscoelastic properties of PDMS during cross-linking, from the liquid to the solid state and at different temperatures. Sens. Actuators A Phys. 2018, 280, 107–113. [Google Scholar] [CrossRef]
- Anisimov, A.A.; Zaytsev, A.V.; Ol’shevskaya, V.A.; Buzin, M.I.; Vasil’ev, V.G.; Boldyrev, K.L.; Olga, I.; Shchegolikhina, O.I.; Kalinin, V.N.; Aziz, M.; et al. Polydimethylsiloxanes with bulk end groups: Synthesis and properties. Mendeleev Commun. 2016, 26, 524–526. [Google Scholar] [CrossRef]
- Pinho, D.; Muñoz-Sánchez, B.N.; Anes, C.F.; Vega, E.J.; Lima, R. Flexible PDMS microparticles to mimic RBCs in blood particulate analogue fluids. Mech. Res. Commun. 2019, 100, 103399. [Google Scholar] [CrossRef]
- Zahid, A.; Dai, B.; Hong, R.; Zhang, D. Optical properties study of silicone polymer PDMS substrate surfaces modified by plasma treatment. Mater. Res. Express 2017, 4, 105301. [Google Scholar] [CrossRef]
- Fanse, S.; Bao, Q.; Zou, Y.; Wang, Y.; Burgess, D.J. Effect of crosslinking on the physicochemical properties of polydimethylsiloxane based levonorgestrel intrauterine systems. Int. J. Pharm. 2021, 609, 121192. [Google Scholar] [CrossRef]
- Ariati, R.; Flaminio Sales, F.; Souza, A.; Rui, A.; Lima, R.A.; Ribeiro, J. Polydimethylsiloxane Composites Characterization and Its Applications: A Review. Polymers 2021, 13, 4258. [Google Scholar] [CrossRef]
- Ressel, J.; Seewald, O.; Bremser, W.; Reicher, H.P.; Strube, O.I. Self-lubricating coatings via PDMS micro-gel dispersions. Prog. Org. Coat. 2020, 146, 105705. [Google Scholar] [CrossRef]
- Gao, Z.; Song, G.; Zhang, X.; Li, Q.; Yang, S.; Wang, T.; Li, Y.; Zhang, L.; Guo, L.; Fu, Y. A facile PDMS coating approach to room-temperature gas sensors with high humidity resistance and long-term stability. Sens. Actuators B Chem. 2020, 325, 128810. [Google Scholar] [CrossRef]
- Nam, Y.-H.; Lee, S.-K.; Kim, J.-H.; Park, J.-H. PDMS membrane filter with nano-slit array fabricated using three-dimensional silicon mold for the concentration of particles with bacterial size range. Microelectron. Eng. 2019, 215, 111008. [Google Scholar] [CrossRef]
- Fan, S.; Liu, J.; Tang, X.; Wang, W.; Xiao, Z.; Qiu, B.; Wang, Y.; Jian, S.; Qin, Y.; Wang, Y. Process operation performance of PDMS membrane pervaporation coupled with fermentation for efficient bioethanol production. Chin. J. Chem. Eng. 2019, 27, 1339–1347. [Google Scholar] [CrossRef]
- Park, J.S.; Cabosky, R.; Ye, Z.; Kim, I. Investigating the mechanical and optical properties of thin PDMS film by flat-punched indentation. Opt. Mater. 2018, 85, 153–161. [Google Scholar] [CrossRef]
- Hu, H.; Li, S.; Ying, C.; Zhang, R.; Li, Y.; Qian, W.; Zheng, L.; Fu, X.; Liu, Q.; Hu, S.; et al. Hydrophilic PDMS with a sandwich-like structure and no loss of mechanical properties and optical transparency. Appl. Surf. Sci. 2020, 503, 144126. [Google Scholar] [CrossRef]
- Maram, S.K.; Barron, B.; Leung, J.C.K.; Pallapa, M.; Rezai, P. Fabrication and thermoresistive behavior characterization of three-dimensional silver-polydimethylsiloxane (Ag-PDMS) microbridges in a mini-channel. Sensor. Actuat. A-Phys. 2018, 277, 43–51. [Google Scholar] [CrossRef]
- Qian, W.; Hu, X.; He, W.; Zhan, R.; Liu, M.; Zhou, D.; Huang, Y.; Hu, X.; Wang, Z.; Fei, G.; et al. Polydimethylsiloxane incorporated with reduced graphene oxide (rGO) sheets for wound dressing application: Preparation and characterization. Colloids Surf. B Biointerfaces 2018, 166, 61–71. [Google Scholar] [CrossRef]
- Yeetsorna, R.; Prissanaroon-Ouajaib, W.; Boonpanaidb, C.; Onyub, K.; Simonc, L. Rotomoulding release agent preparation for auto part fabrications. Mater. Today Proc. 2022, 52, 2365–2371. [Google Scholar] [CrossRef]
- McManus, N.T.; Zhu, S.-H.; Tzoganakis, C.; Penlidis, A. Grafting of ethylene–ethyl acrylate–maleic anhydride terpolymer with amino-terminated polydimethylsiloxane during reactive processing. J. Appl. Polym. Sci. 2006, 101, 4230–4237. [Google Scholar] [CrossRef]
- Wypych, G. Handbook of Antiblocking, Release, and Slip Additives, 3rd ed.; ChemTec Publishing: Scarborough, ON, Canada, 2014; pp. 9–36. [Google Scholar] [CrossRef]
- Traxler, I.; Laske, S.; Fischer, J. Closed-loop recycling of polypropylene: A case study on mechanical recycling of separately collected yogurt cups in Austria. Resour. Conserv. Recycl. 2024, 205, 10737. [Google Scholar] [CrossRef]
- Uekert, T.; Singh, A.; Jason, S.; DesVeaux, J.S.; Ghosh, T.; Bhatt, A.; Yadav, G.; Afzal, S.; Walzberg, J.; Knauer, K.M.; et al. Technical, Economic, and Environmental Comparison of Closed-Loop Recycling Technologies for Common Plastics. ACS Sustain. Chem. Eng. 2023, 11, 965–978. [Google Scholar] [CrossRef]
- Bociąga, E. The effect of injection mold gate construction on selected properties of polyethylene moldings. Polimery 2000, 45, 89–98. [Google Scholar] [CrossRef]
- Bociąga, E. The effect of mold temperature and injection velocity on selected properties of polyethylene moldings. Polimery 2000, 45, 830–836. [Google Scholar] [CrossRef]
- Bird, J.O.; Chivers, P.J. Newnes Engineering and Physical Science Pocket Book; Butterworth-Heinemann Ltd.: Oxford, UK, 1993; pp. 235–237. [Google Scholar]
- Bora, M.O.; Çoban, O.; Sinmazcelik, T.; Gunay, V. Effect of Fiber Orientation on Scratch Resistance in Unidirectional Carbon-Fiber-Reinforced Polymer Matrix Composites. J. Reinf. Plast. Compos. 2010, 29, 1476–1490. [Google Scholar] [CrossRef]
- Prządka, D.; Marcinkowska, A.; Andrzejewska, E. POSS-modified UV-curable coatings with improved scratch hardness and hydrophobicity. Prog. Org. Coat. 2016, 100, 165–172. [Google Scholar] [CrossRef]
- Stan, D.V. Considerations on the Drying of the Raw Material and Consequences on the Quality of the Injected Products. Mat. Plast. 2020, 57, 46–56. [Google Scholar] [CrossRef]
- Chruściel, J.J.; Graczyk, T. Preparation and properties of elastomeric silicone anti- -adhesion layers on a paper or parchment. Polimery 2006, 51, 192–198. [Google Scholar] [CrossRef]
- Kloziński, A.; Barczewski, M. Comparison of off -line, on-line and in-line measuring techniques used for determining the rheological characteristics of polyethylene composites with calcium carbonate. Polimery 2019, 64, 83–92. [Google Scholar] [CrossRef]
- Pick, L.; Hanna, P.R.; Gorman, L. Assessment of processibility and properties of raw post-consumer waste polyethylene in the rotational moulding proces. J. Polym. Eng. 2022, 42, 374–383. [Google Scholar] [CrossRef]
- Chaisrichawla, S.; Dangtungee, R. The Usage of Recycled Material in Rotational Molding Process for Production of Septic Tank. Mater. Sci. Forum 2018, 936, 151–158. [Google Scholar] [CrossRef]
- Wilczyński, K. Reologia w Przetwórstwie Tworzyw Sztucznych; Wydawnictwa Naukowo Techniczne: Warszawa, Poland, 2001; pp. 38–53, 105. [Google Scholar]
- Greco, A.; Maffezzoli, A. Polymer melting and polymer powder sintering by thermal analysis. J. Therm. Anal. Calorim. 2003, 72, 1167–1174. [Google Scholar] [CrossRef]
- Schramm, G. A Practical Approach to Rheology and Rheometry; Gebrueder HAAKE GmbH: Karlsruhe, Germany, 1994; pp. 13–16. [Google Scholar]
- Kloziński, A.; Sterzyński, T. Evaluation of corrections in rheological measurements of polyethylene. Part II. Power-law index, Rabinowitsch correction. Polimery 2007, 52, 855–862. [Google Scholar] [CrossRef]
- Matuana, L.M.; Park, C.B.; Balatinecz, J.J. The effect of low levels of plasticizer on the rheological and mechanical properties of polyvinyl chloride/newsprint-fiber composites. J. Vinyl Addit. Technol. 1997, 3, 265–273. [Google Scholar] [CrossRef]
- Shrinkage. Available online: https://omnexus.specialchem.com/polymer-property/shrinkage (accessed on 24 May 2025).
- Thoden van Velzen, E.U.; Chu, S.; Alvarado Chacon, F.; Brouwer, M.T.; Molenveld, K. The impact of impurities on the mechanical properties of recycled polyethylene. Packag. Tech. Sci. 2021, 34, 219–228. [Google Scholar] [CrossRef]
- Saikrishnan, S.; Jubinville, D.; Tzoganaki, C.; Mekonnen, T.H. Thermo-mechanical degradation of polypropylene (PP) and low-density polyethylene (LDPE) blends exposed to simulated recycling. Polym. Degrad. Stab. 2020, 182, 109390. [Google Scholar] [CrossRef]
- Bednarik, M.; Manas, D.; Manas, M.; Stanek, M.; Navratil, J.; Mizera, A. The surface properties of linear low-density polyethylene after radiation cross-linking. In Latest Trends on Systems; 2014; Volume I, pp. 123–126. ISBN 978-1-61804-243-9. Available online: https://www.inase.org/library/2014/santorini/bypaper/SYSTEMS/SYSTEMS1-18.pdf (accessed on 24 May 2025).
- Meiron, T.S.; Saguy, I.S. Wetting properties of food packaging. Food Res. Int. 2007, 40, 653–659. [Google Scholar] [CrossRef]
- Zhu, R.; Hoshi, T.; Sasaki, D.; Usui, R.; Hagiwara, T.; Yano, S.; Sawaguchi, T. Surface properties and depth analysis of polyethylene/polydimethylsiloxane composite prepared by using supercritical carbon dioxide. Polym. J. 2010, 42, 562–566. [Google Scholar] [CrossRef]
- Ruan, S.; Shikun Chen, S.; Liu, Y.; Zhang, Y.; Yan, D.; Zhang, M. Early-age deformation of hydrophobized metakaolin-based geopolymers. Cem. Concr. Res. 2023, 169, 107168. [Google Scholar] [CrossRef]
- Johnson, L.M.; Gao, L.; C Wyatt Shields IV, C.W.; Smith, M.; Efimenko, K.; Cushing, K.; Genzer, J.; López, G.P. Elastomeric microparticles for acoustic mediated bioseparations. J. Nanobiotechnol. 2013, 11, 22. [Google Scholar] [CrossRef] [PubMed]
- Chércoles Asensio, R.; San Andrés Moya, M.; de la Roja, J.M.; Gómez, M. Analytical characterization of polymers used in conservation and restoration by ATR-FTIR spectroscopy. Anal. Bioanal. Chem. 2009, 395, 2081–2096. [Google Scholar] [CrossRef] [PubMed]
- Jung, M.R.; Horgen, F.D.; Orski, S.V.; Rodriguez, C.V.; Beers, K.L.; Balazs, G.H.; Jones, T.T.; Work, T.M.; Brignac, K.C.; Royer, S.-J.; et al. Validation of ATR FT-IR to identify polymers of plastic marine debris, including those ingested by marine organisms. Mar. Pollut. Bull. 2018, 127, 704–716. [Google Scholar] [CrossRef]
- Silverstein, R.M.; Webster, F.X.; Kiemle, D.J. Spectrometric Identyfication of Organic Compounds, 6th ed.; John Wiley & Sons, Inc.: New York, NY, USA, 1998; pp. 71–143. [Google Scholar]
- Bociąga, E.; Trzaskalska, M.; Wróż, K. Models of colour space and colour preception in the colour studies of ABS without and with addiction of colorant agents. Przetwórstwo Tworzyw 2011, 7, 427. [Google Scholar]
- Zalewska, A.; Kowalik, J. Research on physico-mechanical properties of protective coatings formed from water-thinnable acrylic compositions. Inż. Ap. Chem. 2012, 5, 268. [Google Scholar]
- Ignell, S.; Kleist, U.; Rigdahl, M. Visual perception and measurements of texture and gloss of injection-molded plastics. Polym. Eng. Sci. 2009, 49, 344–353. [Google Scholar] [CrossRef]
- Pisciotti, F.; Boldizar, A.; Rigdahl, M.; Ariño, I. Effects of Injection-Molding Conditions on the Gloss and Color of Pigmented Polypropylene. Polym. Eng. Sci. 2005, 45, 1557–1567. [Google Scholar] [CrossRef]









| Symbol | Content in wt. % | ||
|---|---|---|---|
| rLLDPE | LDPE | PDMS | |
| LDPE/PDMS | 0 | 50 | 50 |
| rLLDPE | 100 | 0 | 0 |
| 0.1 PDMS | 99.8 | 0.1 | 0.1 |
| 0.2 PDMS | 99.6 | 0.2 | 0.2 |
| 0.4 PDMS | 99.2 | 0.4 | 0.4 |
| 1.0 PDMS | 98.0 | 1.0 | 1.0 |
| 2.0 PDMS | 96.0 | 2.0 | 2.0 |
| Polymer Materials | Moisture Content [wt.%] | MFR [g/10 min] | Zero Shear Viscosity [Pa·s] | Longitudinal Processing Shrinkage [%] | |
|---|---|---|---|---|---|
| 16 h | 3 Month | ||||
| rLLDPE | 0.130 ± 0.0119 | 4.04 ± 0.033 | 3010 | 2.11 ± 0.117 | 2.22 ± 0.105 |
| 0.1 PDMS | 0.122 ± 0.0091 | 3.93 ± 0.066 | 2930 | 2.19 ± 0.129 | 2.37 ± 0.068 |
| 0.2 PDMS | 0.086 ± 0.0274 | 4.06 ± 0.036 | 2840 | 2.35 ± 0.103 | 2.44 ± 0.102 |
| 0.4 PDMS | 0.085 ± 0.0280 | 3.94 ± 0.022 | 2830 | 2.39 ± 0.052 | 2.50 ± 0.083 |
| 1.0 PDMS | 0.045 ± 0.0188 | 3.92 ± 0.049 | 2780 | 2.43 ± 0.066 | 2.54 ± 0.075 |
| 2.0 PDMS | 0.017 ± 0.0065 | 3.98 ± 0.036 | 2640 | 2.51 ± 0.177 | 2.61 ± 0.180 |
| Polymer Materials | Wetting Angle [°] | Dynamic Coefficient of Friction [/] | Shore D Hardness [Sh°] | Scratch Hardness [MPa] | Gloss [GU] |
|---|---|---|---|---|---|
| rLLDPE | 88.25 ± 0.257 | 0.13 ± 0.011 | 50.0 ± 0.27 | 79.8 ± 0.39 | 59.9 ± 1.06 |
| 0.1 PDMS | 90.27 ± 0.767 | 0.12 ± 0.006 | 49.7 ± 0.45 | 63.2 ± 0.24 | 62.1 ± 1.72 |
| 0.2 PDMS | 91.14 ± 0.681 | 0.10 ± 0.009 | 50.0 ± 0.03 | 61.9 ± 0.19 | 62.3 ± 1.29 |
| 0.4 PDMS | 94.96 ± 0.640 | 0.09 ± 0.006 | 50.0 ± 0.00 | 61.3 ± 0.12 | 63.0 ± 1.82 |
| 1.0 PDMS | 96.94 ± 0.693 | 0.08 ± 0.008 | 49.1 ± 0.09 | 58.2 ± 0.09 | 65.9 ± 1.38 |
| 2.0 PDMS | 102.47 ± 0.753 | 0.06 ± 0.004 | 48.0 ± 0.27 | 55.7 ± 0.20 | 67.2 ± 1.01 |
Disclaimer/Publisher’s Note: The statements, opinions and data contained in all publications are solely those of the individual author(s) and contributor(s) and not of MDPI and/or the editor(s). MDPI and/or the editor(s) disclaim responsibility for any injury to people or property resulting from any ideas, methods, instructions or products referred to in the content. |
© 2025 by the authors. Licensee MDPI, Basel, Switzerland. This article is an open access article distributed under the terms and conditions of the Creative Commons Attribution (CC BY) license (https://creativecommons.org/licenses/by/4.0/).
Share and Cite
Kloziński, A.; Postawa, P.; Jakubowska, P.; Trzaskalska, M. Polydimethylsiloxane as a Modifier of the Processing, Surface and Mechanical Properties of the Linear Low-Density Polyethylene Recyclate. Materials 2025, 18, 2552. https://doi.org/10.3390/ma18112552
Kloziński A, Postawa P, Jakubowska P, Trzaskalska M. Polydimethylsiloxane as a Modifier of the Processing, Surface and Mechanical Properties of the Linear Low-Density Polyethylene Recyclate. Materials. 2025; 18(11):2552. https://doi.org/10.3390/ma18112552
Chicago/Turabian StyleKloziński, Arkadiusz, Przemysław Postawa, Paulina Jakubowska, and Milena Trzaskalska. 2025. "Polydimethylsiloxane as a Modifier of the Processing, Surface and Mechanical Properties of the Linear Low-Density Polyethylene Recyclate" Materials 18, no. 11: 2552. https://doi.org/10.3390/ma18112552
APA StyleKloziński, A., Postawa, P., Jakubowska, P., & Trzaskalska, M. (2025). Polydimethylsiloxane as a Modifier of the Processing, Surface and Mechanical Properties of the Linear Low-Density Polyethylene Recyclate. Materials, 18(11), 2552. https://doi.org/10.3390/ma18112552

