Aging Behavior of Styrene–Butadiene Rubber (SBR)-Modified Asphalt Under the Coupled Effects of Intense UV Radiation and Large Temperature Differences
Abstract
1. Introduction
2. Materials and Methods
2.1. Experimental Material
2.2. Coupled Aging Test
2.3. Test Methods
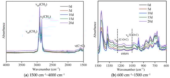
2.3.1. ATR-FTIR Test
2.3.2. Gel Permeation Chromatography (GPC) Test
2.3.3. AFM Test
3. Results and Discussion
3.1. Evolution of the Sample Surface Morphology
3.2. Functional Group Analysis
3.3. Molecular Size Evolution Analyses
3.4. Microstructural Evolution
3.4.1. Microtopography
3.4.2. Micromechanics
4. Conclusions
- (1)
- Macromorphology analysis indicated that a high-temperature non-melting film layer formed on the asphalt surface under the coupled effects of intense UV radiation and large temperature differences. As aging progressed, the surface contraction increased, the film gloss was diminished, the color deepened, the surface became dry, the aging film layer thickened, and noticeable cracking occurred in the later stages.
- (2)
- Changes in the chemical composition indicated that the overall pattern of chemical component evolution was consistent between the SBR asphalt and the matrix asphalt and primarily involved photo-oxidation, photodecomposition, polycondensation, and photoinduced crosslinking reactions. However, compared to those in the matrix asphalt, the peak values of the characteristic carbonyl, hydroxyl, and ester peaks in the SBR asphalt appeared significantly later. The carbonyl, sulfonyl, aromatic hydrocarbon, and butadiene indexes suggested a slower aging process for the SBR asphalt. Furthermore, the molecular weight distribution analysis indicated that the SBR-modified asphalt exhibited less variation in molecular composition compared to the matrix asphalt during aging. Specifically, the maximum absolute increments for the SBR-modified asphalt reached 35.33% (), 33.88% (), and 74.16% () compared to 59.45% (), 37.41% (), and 125.59% () for the matrix asphalt. These results indicated that SBR effectively enhanced the colloidal stability of the matrix asphalt, thereby suppressing the aging process.
- (3)
- The AFM test data analysis revealed significant differences in the aging pathways between the SBR-modified asphalt and matrix asphalt. The SBR-modified asphalt showed consistent changes with the matrix asphalt only after a period of initial aging; these results indicated that the incorporation of the SBR modifier delayed the aging process. The network structure of the SBR-modified asphalt provided a buffering effect in the initial aging phase. The degradation of the SBR modifier subsequently mitigated changes in the “bee structure” characteristics. Additionally, a gradient aging phenomenon was clearly observed throughout the aging process.
- (4)
- The analysis of the adhesion forces and Young’s modulus (DMT modulus) from the FD force curve indicated that gradient aging, influenced by the coupled effects, was the main factor causing crack formation from the surface layer downward. The risk of surface cracking can be quantitatively evaluated by the modulus ratio; a higher modulus ratio between the surface film and the underlying asphalt layer is associated with an elevated cracking risk and increased crack propagation rate. During the middle-to-late aging stages, the modulus of the lower layer in the SBR-modified asphalt decreased more significantly than in the matrix asphalt, leading to an increased stress concentration between the surface and underlying layers. As a consequence, the surface cracking of the SBR-modified asphalt occurs earlier than that of the matrix asphalt under the coupled effects of intense UV radiation and large temperature differences. This characteristic may induce premature initiation of top-down cracking in SBR-modified asphalt pavements during the early service period in high-altitude cold regions.
5. Future Research Work
Author Contributions
Funding
Institutional Review Board Statement
Informed Consent Statement
Data Availability Statement
Conflicts of Interest
References
- Polo-Mendoza, R.; Martinez-Arguelles, G.; Walubita, L.F.; Moreno-Navarro, F.; Giustozzi, F.; Fuentes, L.; Navarro-Donado, T. Ultraviolet ageing of bituminous materials: A comprehensive literature review from 2011 to 2022. Constr. Build. Mater. 2022, 350, 128889. [Google Scholar] [CrossRef]
- Decky, M.; Hodasova, K.; Papanova, Z.; Remisova, E. Sustainable Adaptive Cycle Pavements Using Composite Foam Concrete at High Altitudes in Central Europe. Sustainability 2022, 14, 9034. [Google Scholar] [CrossRef]
- Fernández-Gómez, W.D.; Quintana, H.R.; Lizcano, F.R. A review of asphalt and asphalt mixture aging. Ing. E Investig. 2013, 33, 5–12. [Google Scholar] [CrossRef]
- Tauste, R.; Moreno-Navarro, F.; Sol-Sánchez, M.; Rubio-Gámez, M.C. Understanding the bitumen ageing phenomenon: A review. Constr. Build. Mater. 2018, 192, 593–609. [Google Scholar] [CrossRef]
- Madeira, N.C.L.; Lacerda, V.; Romao, W. Characterization of Asphalt Aging by Analytical Techniques: A Review on Progress and Perspectives. Energy Fuels 2022, 36, 5531–5549. [Google Scholar] [CrossRef]
- Kemp, G.R.; Predoehl, N.H. A comparison of field and laboratory environments on asphalt durability. Assoc. Asph. Paving Technol. Proc. 1981, 50, 492–537. [Google Scholar]
- Tia, M.; Ruth, B.; Charai, C.; Shiau, J.; Richardson, D.; Williams, J. Investigation of original and in-service asphalt properties for the development of improved specifications-final phase of testing and analysis, Final Report. In Engineering and Industrial Experiment Station; University of Florida: Gainesville, FL, USA, 1988. [Google Scholar]
- Yang, B.; Li, H.; Xie, N.; Yang, J.; Liu, J.W. Surface Characteristics of Ageing Asphalt Binder Coupling Thermal Oxidation and Ultraviolet Radiation. Transp. Res. Rec. 2022, 2676, 147–162. [Google Scholar] [CrossRef]
- Yang, B.; Li, H.; Sun, Y.; Zhang, H.; Liu, J.; Yang, J.; Zhang, X. Chemo-rheological, mechanical, morphology evolution and environmental impact of aged asphalt binder coupling thermal oxidation, ultraviolet radiation and water. J. Clean. Prod. 2023, 388, 135866. [Google Scholar] [CrossRef]
- Guan, M.Y.; Guo, M.; Liu, X.; Du, X.L.; Tan, Y.Q. Effect of Multifactor Coupling Aging on Rheological Properties of Asphalt Binders and Correlations between Various Rheological Indexes. J. Mater. Civ. Eng. 2024, 36, 04024088. [Google Scholar] [CrossRef]
- Xu, Y.L.; Niu, K.M.; Zhu, H.Z.; Chen, R.P.; Ou, L.; Wang, J.X. Generation and evolution mechanisms of asphalt aging under the combined effects of intense UV radiation and large temperature variations. Constr. Build. Mater. 2024, 438, 136786. [Google Scholar] [CrossRef]
- Hossain, R.; Wasiuddin, N.M. Evaluation of Degradation of SBS Modified Asphalt Binder Because of RTFO, PAV, and UV Aging using a Novel Extensional Deformation Test. Transp. Res. Rec. 2019, 2673, 447–457. [Google Scholar] [CrossRef]
- Zhang, D.M.; Zhang, H.L.; Shi, C.J. Investigation of aging performance of SBS modified asphalt with various aging methods. Constr. Build. Mater. 2017, 145, 445–451. [Google Scholar] [CrossRef]
- Zhu, J.Q.; Birgisson, B.; Kringos, N. Polymer modification of bitumen: Advances and challenges. Eur. Polym. J. 2014, 54, 18–38. [Google Scholar] [CrossRef]
- Liang, M.; Liang, P.; Fan, W.Y.; Qian, C.D.; Xin, X.; Shi, J.T.; Nan, G.Z. Thermo-rheological behavior and compatibility of modified asphalt with various styrene-butadiene structures in SBS copolymers. Mater. Des. 2015, 88, 177–185. [Google Scholar] [CrossRef]
- Cong, Y.F.; Liao, K.J.; Huang, W.; Zhai, Y.C. Performance of SBR-modified asphalt. Pet. Sci. Technol. 2006, 24, 1187–1194. [Google Scholar] [CrossRef]
- Yidirim, Y. Polymer modified asphalt binders. Constr. Build. Mater. 2007, 21, 66–72. [Google Scholar] [CrossRef]
- Liao, M.J.; Liu, Z.H.; Gao, Y.L.; Liu, L.; Xiang, S.C. Study on UV aging resistance of nano-TiO2/montmorillonite/styrene-butadiene rubber composite modified asphalt based on rheological and microscopic properties. Constr. Build. Mater. 2021, 301, 124108. [Google Scholar] [CrossRef]
- Ye, F.; Sun, D.Q.; Huang, P.; Zhu, J.P.; Zhou, Z.D. Analysis of asphalt photooxi dati on aging property under intensive ultraviolet. China J. High Way Transp. 2006, 19, 35–38. [Google Scholar]
- Zhang, M.J.; Jiao, X.H.; Chen, G. Study on aging kenetic performance of SBR modified asphalt. J. Shenyang Jianzhu Univ. Natl. Sci. 2009, 25, 478–481. [Google Scholar]
- Ruan, Y.H.; Davison, R.R.; Glover, C.J. The effect of long-term oxidation on the rheological properties of polymer modified asphalts. Fuel 2003, 82, 1763–1773. [Google Scholar] [CrossRef]
- Li, Q.S.; Zhang, H.L.; Chen, Z.H. Improvement of short-term aging resistance of styrene-butadiene rubber modified asphalt by Sasobit and epoxidized soybean oil. Constr. Build. Mater. 2021, 271, 121870. [Google Scholar] [CrossRef]
- Li, Y.M.; Cheng, P.F.; Siddig, E.A.A.; Han, C.P. Investigation on thermal aging stability of crosslinked styrene butadiene rubber modified asphalt binder. Road Mater. Pavement Des. 2020, 21, 1902–1917. [Google Scholar] [CrossRef]
- Yu, H.N.; Bai, X.P.; Qian, G.P.; Wei, H.; Gong, X.B.; Jin, J.; Li, Z.J. Impact of Ultraviolet Radiation on the Aging Properties of SBS-Modified Asphalt Binders. Polymers 2019, 11, 1111. [Google Scholar] [CrossRef]
- Airey, G.D. Rheological properties of styrene butadiene styrene polymer modified road bitumens. Fuel 2003, 82, 1709–1719. [Google Scholar] [CrossRef]
- Wang, M.; Zhan, H.; Tan, Y.Q.; Xu, H.N. Rheological properties and phase behaviour degradation of asphalt mastics under cyclic temperature variations. Int. J. Pavement Eng. 2023, 24, 2224913. [Google Scholar] [CrossRef]
- Xu, H.N.; Zhan, H.; Wang, M.; Tan, Y.Q. Microstructural characteristics evolution of asphalt mastics under cyclic environmental temperature variations. Constr. Build. Mater. 2023, 400, 132795. [Google Scholar] [CrossRef]
- DB21T 2538-2015; Technical Specifictions for the Design and Construction of SBR Modified Asphalt. Liaoning Provincial Bureau of Quality and Technical Supervision Press: Shenyang, China, 2015.
- Xu, Y.; Niu, K.; Zhu, H.; Chen, R.; Ou, L.J.M. Evaluating the effects of polyphosphoric acid (ppa) on the anti-ultraviolet aging properties of sbr-modified asphalt. Materials 2023, 16, 2784. [Google Scholar] [CrossRef]
- JTG E20-2011; Standard Test Methods of Bitumen and Bituminous Mixture for Highway Engineering. China Communications Press: Beijing, China, 2011.
- JTG F40-2004; Technical Specification for Highway Asphalt Pavement Construction. China Communications Press: Beijing, China, 2004.
- Wang, M. Investigation on the Performance Degradation of Asphalt Mastic and Vulnerability Partition with Lage Temperature Difference; Harbin Institute of Technology: Harbin, China, 2021. [Google Scholar]
- Nuo, S.; Jin, Y.M.; Tsoja, W.M.; Zhou, Y.; Sunam, B.M.; Denggua, T.Z. Ground-based measurements of global solar radiation and UV radition in Tibet. Spectrosc. Spectr. Anal. 2019, 39, 1683–1688. [Google Scholar]
- Yao, H.; You, Z.P.; Li, L.; Goh, S.W.; Lee, C.H.; Yap, Y.K.; Shi, X.M. Rheological properties and chemical analysis of nanoclay and carbon microfiber modified asphalt with Fourier transform infrared spectroscopy. Constr. Build. Mater. 2013, 38, 327–337. [Google Scholar] [CrossRef]
- Hassan, M.N.; Hossain, Z. Paper Fourier Transformation Infrared Spectroscopic (FTIR) Analysis on Modified Asphalt Binders. In Tran-SET 2020; American Society of Civil Engineers: Reston, VA, USA, 2020; pp. 150–159. [Google Scholar] [CrossRef]
- Hung, A.M.; Kazembeyki, M.; Hoover, C.G.; Fini, E.H. Evolution of Morphological and Nanomechanical Properties of Bitumen Thin Films as a Result of Compositional Changes Due to Ultraviolet Radiation. Acs Sustain. Chem. Eng. 2019, 7, 18005–18014. [Google Scholar] [CrossRef]
- Kim, K.W.; Burati, J.L., Jr.; Park, J.S. Methodology for defining LMS portion in asphalt chromatogram. J. Mater. Civ. Eng. 1995, 7, 31–40. [Google Scholar] [CrossRef]
- Wang, Z.; Xu, X.; Wang, X.; Huo, J.; Guo, H.; Yang, B. Performance of modified asphalt of rubber powder through tetraethyl orthosilicate (TEOS). Constr. Build. Mater. 2021, 267, 121032. [Google Scholar] [CrossRef]
- Liu, J.; Qi, L.; Wang, X.; Li, M.; Wang, Z. Influence of aging induced by mutation in temperature on property and microstructure development of asphalt binders. Constr. Build. Mater. 2022, 319, 126083. [Google Scholar] [CrossRef]
- Zaidullin, I.M.; Petrova, L.M.; Yakubov, M.R.; Borisov, D.N. Variation of the composition of asphaltenes in the course of bitumen aging in the presence of antioxidants. Russ. J. Appl. Chem. 2013, 86, 1070–1075. [Google Scholar] [CrossRef]
- Hung, A.; Fini, E.H. Surface morphology and chemical mapping of UV-aged thin films of bitumen. ACS Sustain. Chem. Eng. 2020, 8, 11764–11771. [Google Scholar] [CrossRef]
- Yuan, Y.; Zhu, X.; Chen, L. Relationship among cohesion, adhesion, and bond strength: From multi-scale investigation of asphalt-based composites subjected to laboratory-simulated aging. Mater. Des. 2022, 185, 108272. [Google Scholar] [CrossRef]
- Xu, J.; Sun, L.J.; Pei, J.Z.; Xue, B.; Liu, T.; Li, R. Microstructural, chemical and rheological evaluation on oxidative aging effect of SBS polymer modified asphalt. Constr. Build. Mater. 2021, 267, 121028. [Google Scholar] [CrossRef]
- Gong, Y.; Xu, J.; Chang, R.; Yan, E.H. Effect of water diffusion and thermal coupling condition on SBS modified asphalts’ surface micro properties. Constr. Build. Mater. 2021, 273, 121758. [Google Scholar] [CrossRef]
- Liu, H.; Zhang, Z.; Tian, Z.; Lu, C. Exploration for UV Aging Characteristics of Asphalt Binders based on Response Surface Methodology: Insights from the UV Aging Influencing Factors and Their Interactions. Constr. Build. Mater. 2022, 347, 128460. [Google Scholar] [CrossRef]
- García, A.; Aguiar-Moya, J.P.; Salazar-Delgado, J.; Baldi-Sevilla, A.; Loría-Salazar, L.G.J.R.M. Methodology for estimating the modulus of elasticity of bitumen under different aging conditions by AFM. Road Mater. Pavement Des. 2019, 20, S332–S346. [Google Scholar] [CrossRef]
- Rebelo, L.M.; De Sousa, J.; Abreu, A.; Baroni, M.; Alencar, A.; Soares, S.; Mendes Filho, J.; Soares, J.J.F. Aging of asphaltic binders investigated with atomic force microscopy. Fuel 2014, 117, 15–25. [Google Scholar] [CrossRef]
- Pipintakos, G.; Hasheminejad, N.; Lommaert, C.; Bocharova, A.; Blom, J. Application of Atomic Force (AFM), Environmental Scanning Electron (ESEM) and Confocal Laser Scanning Microscopy (CLSM) in bitumen: A review of the ageing effect. Micron 2021, 147, 103083. [Google Scholar] [CrossRef] [PubMed]
- Chen, J.; Dan, H.; Ding, Y.; Gao, Y.; Guo, M.; Guo, S.; Han, B.; Hong, B.; Hou, Y.; Hu, C. New innovations in pavement materials and engineering: A review on pavement engineering research 2021. J. Traffic Transp. Eng. Engl. Ed. 2021, 8, 815–999. [Google Scholar]












| Material Type | Technical Indexes |
|---|---|
| Shell90# | Penetration (25 °C, 5 s, 100 g): 88.4 (0.1 mm), ductility (5 mm/min 5 °C): 13.5 cm, softening point (ring and ball method): 47.7 °C, density (25 °C): 1.030 g/cm3, storage stability: 0.4 °C. |
| SBR | The polymer modifier SBR is a white powder, containing 23.0% styrene, with a tensile strength of 25 MPa, an elongation at break of 378%, and a volatile content of 0.6%. |
| SBR-modified asphalt | Penetration (25 °C, 5 s, 100 g): 76.0 (0.1 mm), ductility (5 mm/min 5 °C): >100 cm, softening point (ring and ball method): 52.3 °C, density (25 °C): 1.031 g/cm3, storage stability: 0.9 °C. |
| Aging Time | 5 d | 10 d | 15 d | 20 d | Sample | |
|---|---|---|---|---|---|---|
| Index | ||||||
| (%) | −50.60 | −52.56 | −59.45 | 4.36 | 90# | |
| 17.59 | −22.82 | 35.33 | 31.58 | SBR asphalt | ||
| (%) | −31.12 | −36.49 | −37.41 | −30.05 | 90# | |
| −18.24 | −33.88 | 4.55 | −2.03 | SBR asphalt | ||
| (%) | 105.19 | 119.16 | 125.59 | 68.87 | 90# | |
| 27.62 | 74.16 | −23.25 | −9.13 | SBR asphalt | ||
Disclaimer/Publisher’s Note: The statements, opinions and data contained in all publications are solely those of the individual author(s) and contributor(s) and not of MDPI and/or the editor(s). MDPI and/or the editor(s) disclaim responsibility for any injury to people or property resulting from any ideas, methods, instructions or products referred to in the content. |
© 2025 by the authors. Licensee MDPI, Basel, Switzerland. This article is an open access article distributed under the terms and conditions of the Creative Commons Attribution (CC BY) license (https://creativecommons.org/licenses/by/4.0/).
Share and Cite
Xu, Y.; Tian, B.; Zhu, H.; Wang, J. Aging Behavior of Styrene–Butadiene Rubber (SBR)-Modified Asphalt Under the Coupled Effects of Intense UV Radiation and Large Temperature Differences. Materials 2025, 18, 2527. https://doi.org/10.3390/ma18112527
Xu Y, Tian B, Zhu H, Wang J. Aging Behavior of Styrene–Butadiene Rubber (SBR)-Modified Asphalt Under the Coupled Effects of Intense UV Radiation and Large Temperature Differences. Materials. 2025; 18(11):2527. https://doi.org/10.3390/ma18112527
Chicago/Turabian StyleXu, Yanling, Bo Tian, Hongzhou Zhu, and Junxin Wang. 2025. "Aging Behavior of Styrene–Butadiene Rubber (SBR)-Modified Asphalt Under the Coupled Effects of Intense UV Radiation and Large Temperature Differences" Materials 18, no. 11: 2527. https://doi.org/10.3390/ma18112527
APA StyleXu, Y., Tian, B., Zhu, H., & Wang, J. (2025). Aging Behavior of Styrene–Butadiene Rubber (SBR)-Modified Asphalt Under the Coupled Effects of Intense UV Radiation and Large Temperature Differences. Materials, 18(11), 2527. https://doi.org/10.3390/ma18112527

