Processing of Bulk MgB2 Superconductors by Coupling Laser Powder Bed Fusion and Spark Plasma Sintering Techniques
Abstract
1. Introduction
2. Materials and Methods
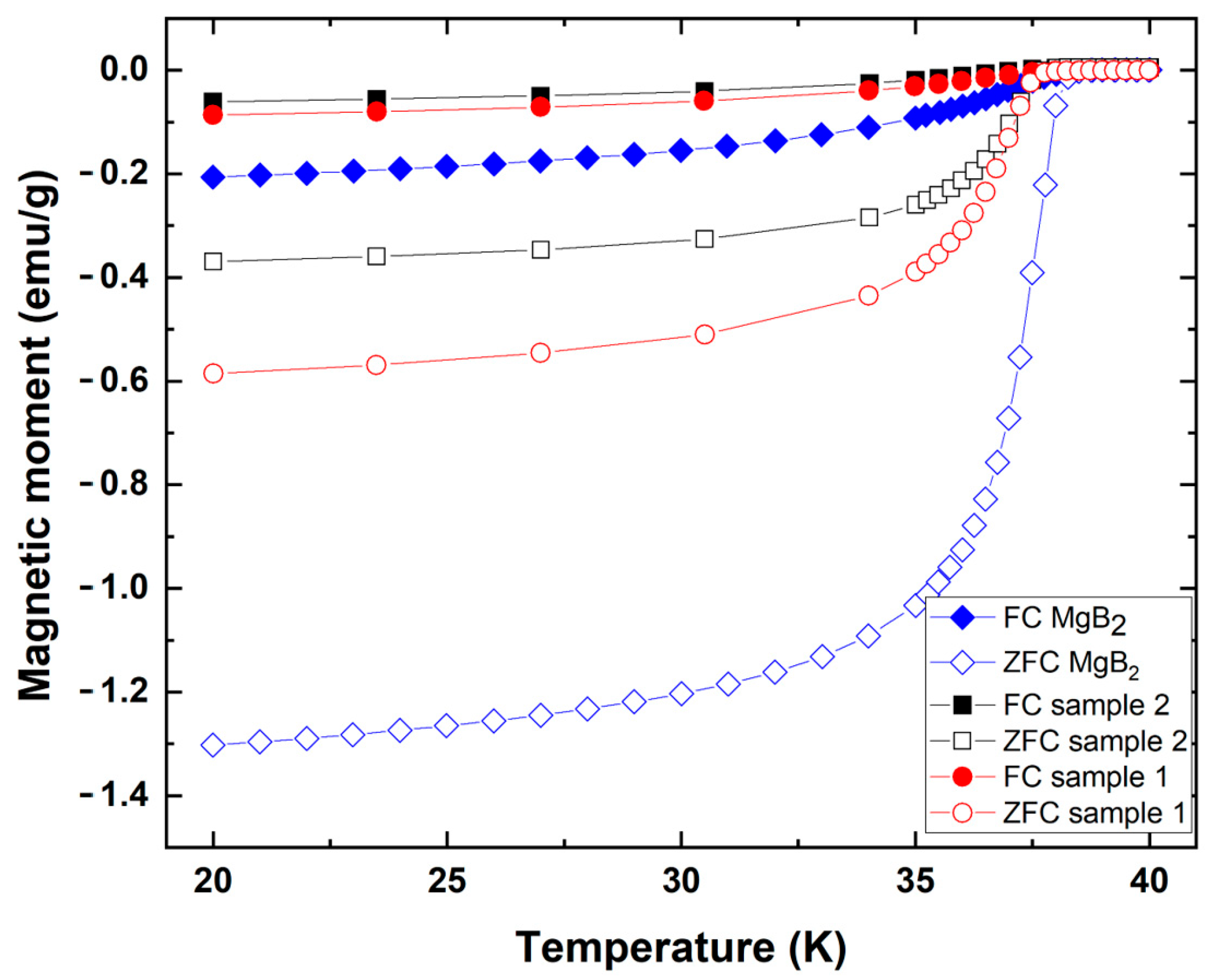
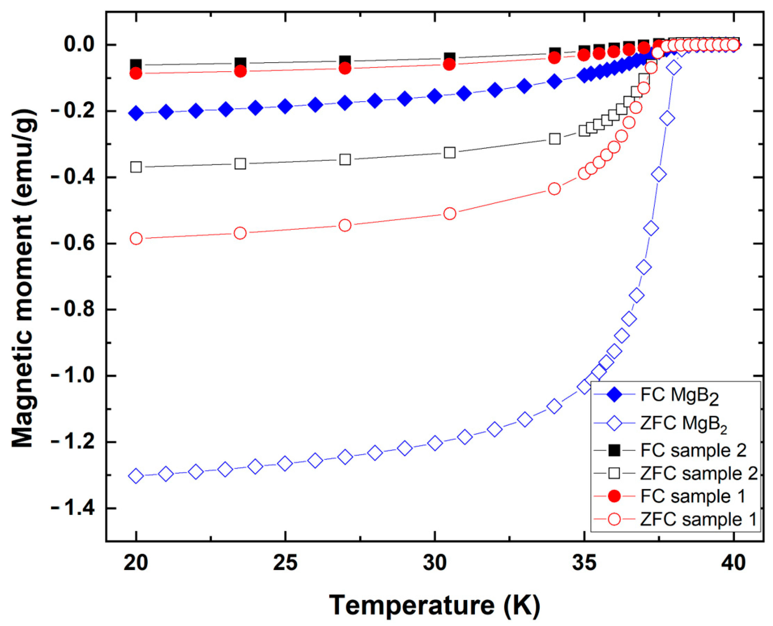
3. Results
4. Conclusions
5. Patents
Supplementary Materials
Author Contributions
Funding
Institutional Review Board Statement
Informed Consent Statement
Data Availability Statement
Conflicts of Interest
References
- Tomsic, M.; Rindfleisch, M.; Yue, J.; McFadden, K.; Phillips, J. Overview of MgB2 superconductor applications. Int. J. Appl. Ceram. Technol. 2007, 4, 250–259. [Google Scholar] [CrossRef]
- Dorget, R.; Nouailhetas, Q.; Colle, A.; Berger, K.; Sudo, K.; Ayat, S.; Lêvêque, J.; Koblischka, M.R.; Sakai, N.; Oka, T.; et al. Review on the Use of Superconducting Bulks for Magnetic Screening in Electrical Machines for Aircraft Applications. Materials 2021, 14, 2847. [Google Scholar] [CrossRef]
- Prikhna, T.; Sokolovsky, V.; Moshchil, V. Bulk MgB2 Superconducting Materials: Technology, Properties, and Applications. Materials 2024, 17, 2787. [Google Scholar] [CrossRef] [PubMed]
- Tajima, T. Possibility of MgB2 application to superconducting cavities. In Proceedings of the EPAC 2002, Paris, France, 3–7 June 2002. [Google Scholar]
- Nagamatsu, J.; Nakagawa, N.; Muranaka, T.; Zenitani, Y.; Akimitsu, J. Superconductivity at 39 K in magnesium diboride. Nature 2001, 410, 63–64. [Google Scholar] [CrossRef] [PubMed]
- Dhallé, M.; Toulemonde, P.; Beneduce, C.; Musolino, N.; Decroux, M.; Flükiger, R. Transport and inductive critical current densities in superconducting MgB2. Physica C 2001, 363, 155–165. [Google Scholar] [CrossRef]
- Bernstein, P.; Mosqueira, J.; Siejka, J.; Vidal, F.; Thimont, Y.; McLoughlin, C.; Ferro, G. Measurements of the surface critical current of YBa2Cu3O7−d thin films: Probing the nonuniformity of their superconducting critical temperature along the c-axis. J. Appl. Phys. 2010, 107, 123901. [Google Scholar] [CrossRef]
- Yao, W.; Bascuñán, J.; Hahn, S.; Iwasa, Y. MgB2 Coils for MRI Applications. IEEE Trans. Appl. Supercond. 2010, 20, 756–759. [Google Scholar]
- Murakami, A.; Iwamoto, A.; Noudem, J.G. Effects of SPS pressure on the mechanical properties of high packing ratio bulk MgB2 superconductor. J. Phys. Conf. Ser. 2018, 1054, 012051. [Google Scholar] [CrossRef]
- Prikhna, T.; Gawalek, W.; Novikov, N.; Savchuk, Y.; Moshchil, V.; Sergienko, N.; Wendt, M.; Dub, S.; Melnikov, V.; Surzhenko, A.; et al. Positive influence of ta addition on superconductive properties of high pressure synthesized MgB2. arXiv 2002, arXiv:cond-mat/0204362. Available online: https://arxiv.org/abs/cond-mat/0204362 (accessed on 17 April 2002).
- Zhai, H.Y.; Christen, H.M.; Zhang, L.; Paranthaman, M.; Fleming, P.H.; Lowndes, D.H. Degradation of superconducting properties in MgB2 films by exposure to water. Supercond. Sci. Technol. 2001, 14, 425. [Google Scholar] [CrossRef]
- Rasiya, G.; Shukla, A.; Saran, K. Additive Manufacturing—A Review. Mater. Today Proc. 2021, 47, 6896–6901. [Google Scholar] [CrossRef]
- Wang, D.; Song, C.; Yang, Y.; Bai, Y. Investigation of crystal growth mechanism during selective laser melting and mechanical property characterization of 316L stainless steel parts. Mater. Des. 2016, 100, 291–299. [Google Scholar] [CrossRef]
- Thimont, Y.; Presmanes, L.; Baylac, V.; Tailhades, P.; Berthebaud, D.; Gascoin, F. Thermoelectric Higher Manganese Silicide: Synthetized, sintered and shaped simultaneously by selective laser sintering/Melting additive manufacturing technique. Mater. Lett. 2018, 214, 236–239. [Google Scholar] [CrossRef]
- Granetz, R.; Volberg, R.; Anderson, D.; Chen, L.; Kruger, T.; Luis Izet, E. High Temperature Superconductor and 3D Additive Manufacturing for Non-Planar Stellarator Coils. In Proceedings of the 62nd Annual Meeting of the APS Division of Plasma Physics, Online, 9–13 November 2020. [Google Scholar]
- Huang, S.H.; Liu, P.; Mokasdar, A.; Hou, L. Additive manufacturing and its societal impact: A literature review. Int. J. Adv. Manuf. Technol. 2013, 67, 1191–1203. [Google Scholar] [CrossRef]
- Rodriquez-Carvajal, J. Rietveld Refinement of the Crystal Structure of Hydroxyapatite Using X-ray Powder Diffraction. Physica B 1993, 192, 55. [Google Scholar]
- Manière, C.; Nigito, E.; Durand, L.; Weibel, A.; Beynet, Y.; Estournès, C. Spark plasma sintering and complex shapes: The deformed interfaces approach. Powder Technol. 2017, 320, 340–345. [Google Scholar] [CrossRef]
- Estournès, C.; Manière, C.; Chevallier, G.; Baylac, V. Procédé de Fabrication d’une Pièce par Densification Sous Charge. French Patent No FR3088016B1, 8 May 2020. [Google Scholar]
- Dadiel, J.L.; Naik, S.P.K.; Peçzkowski, P.; Sugiyama, J.; Ogino, H.; Sakai, N.; Kazuya, Y.; Warski, T.; Wojcik, A.; Oka, T.; et al. Synthesis of Dense MgB2 Superconductor via In Situ and Ex Situ Spark Plasma Sintering. Materials 2021, 14, 7395. [Google Scholar] [CrossRef]
- Häßler, W.; Scheiter, J.; Hädrich, P.; Kauffmann-Weiß, S.; Holzapfel, B.; Oomen, M.; Nielsch, K. Properties of ex-situ MgB2 bulk samples prepared by uniaxial hot pressing and spark plasma sintering. Phys. C Supercond. Appl. 2018, 551, 48–54. [Google Scholar] [CrossRef]
- Badica, P.; Aldica, G.; Burdusel, M.; Popa, S.; Negrea, R.F.; Enculescu, M.; Pasuk, I.; Miu, L. Significant enhancement of the critical current density for cubic BN addition into ex situ spark plasma sintered MgB2. Supercond. Sci. Technol. 2014, 27, 095013. [Google Scholar] [CrossRef]
- Gao, Z.; Santra, S.; Grovenor, S.R.M.; Speller, C.S. Effect of cubic and hexagonal boron nitride additions on the microstructure and properties of bulk MgB2 superconductors. Supercond. Sci. Technol. 2022, 35, 084002. [Google Scholar] [CrossRef]
- Xing, Y. Densification of MgB2 Superconducting Cryomagnets: Synthesis and Physical Properties Studies. Material Chemistry. Ph.D Thesis, Normandie Université; Shibaura Institute of Technology, Caen, France, 2022. [Google Scholar]
- Abrahamsen, B.; Grivel, J.-C.; Andersen, N.H.; Herrmann, M.; Häßler, W.; Birajdar, B.; Eibl, O.; Saksl, K. In-situ synchrotron X-ray study of MgB2 formation when doped by SiC. J. Phys. Conf. Ser. 2008, 97, 012315. [Google Scholar] [CrossRef]
- Liang, G.; Fang, H.; Luo, Z.P.; Hoyt, C.; Yen, F.; Guchhait, S.; Lv, B.; Markert, J.T. Negative effects of crystalline-SiC doping on the critical current density in Ti-sheathed MgB2(SiC)y superconducting wires. Supercond. Sci. Technol. 2007, 20, 697–703. [Google Scholar] [CrossRef]
- Peng, J.; Cai, Q.; Cheng, F.; Ma, Z.; Li, C.; Xin, Y.; Liu, Y. Enhancement of critical current density by a “MgB2-MgB4” reversible reaction in selfsintered ex-situ MgB2 bulks. J. Alloys Compd. 2017, 694, 24–29. [Google Scholar] [CrossRef]
- Badica, P.; Burdusel, M.; Popa, S.; Pasuk, I.; Ivan, I.; Borodianska, H.; Vasylkiv, O.; Kuncser, A.; Ionescu, A.M.; Miu, L.; et al. Reactive spark plasma sintering of MgB2 in nitrogen atmosphere for the enhancement of the high-field critical current density. Supercond. Sci. Technol. 2016, 29, 105020. [Google Scholar] [CrossRef]
- Muralidhar, M.M.; Shadab, M.; Sai Srikanth, A.; Jirsa, M.; Noudem, J. Review on High-Performance Bulk MgB2 Superconductors. J. Phys. D Appl. Phys. 2023, 57, 053001. [Google Scholar] [CrossRef]
- Ng, D.H.L.; Hon, W.M. Effect of boron concentration on the superconductive and microstructural properties of MgB2/Mg composites. Physica C 2007, 460–462, 783–784. [Google Scholar] [CrossRef]
- Muralidhar, M.; Inoue, K.; Koblischk, M.R.; Murakami, M. Critical current densities in Ag-added bulk MgB2. Physica C 2018, 518, 36–39. [Google Scholar] [CrossRef]





Disclaimer/Publisher’s Note: The statements, opinions and data contained in all publications are solely those of the individual author(s) and contributor(s) and not of MDPI and/or the editor(s). MDPI and/or the editor(s) disclaim responsibility for any injury to people or property resulting from any ideas, methods, instructions or products referred to in the content. |
© 2025 by the authors. Licensee MDPI, Basel, Switzerland. This article is an open access article distributed under the terms and conditions of the Creative Commons Attribution (CC BY) license (https://creativecommons.org/licenses/by/4.0/).
Share and Cite
Sklyarova, A.; Presmanes, L.; Baylac, V.; Chevallier, G.; Estournès, C.; Duployer, B.; Noudem, J.; Bernstein, P.; Tailhades, P.; Thimont, Y. Processing of Bulk MgB2 Superconductors by Coupling Laser Powder Bed Fusion and Spark Plasma Sintering Techniques. Materials 2025, 18, 2367. https://doi.org/10.3390/ma18102367
Sklyarova A, Presmanes L, Baylac V, Chevallier G, Estournès C, Duployer B, Noudem J, Bernstein P, Tailhades P, Thimont Y. Processing of Bulk MgB2 Superconductors by Coupling Laser Powder Bed Fusion and Spark Plasma Sintering Techniques. Materials. 2025; 18(10):2367. https://doi.org/10.3390/ma18102367
Chicago/Turabian StyleSklyarova, Anastasia, Lionel Presmanes, Vincent Baylac, Geoffroy Chevallier, Claude Estournès, Benjamin Duployer, Jacques Noudem, Pierre Bernstein, Philippe Tailhades, and Yohann Thimont. 2025. "Processing of Bulk MgB2 Superconductors by Coupling Laser Powder Bed Fusion and Spark Plasma Sintering Techniques" Materials 18, no. 10: 2367. https://doi.org/10.3390/ma18102367
APA StyleSklyarova, A., Presmanes, L., Baylac, V., Chevallier, G., Estournès, C., Duployer, B., Noudem, J., Bernstein, P., Tailhades, P., & Thimont, Y. (2025). Processing of Bulk MgB2 Superconductors by Coupling Laser Powder Bed Fusion and Spark Plasma Sintering Techniques. Materials, 18(10), 2367. https://doi.org/10.3390/ma18102367

