Design Optimization of Printed Multi-Layered Electroactive Actuators Used for Steerable Guidewire in Micro-Invasive Surgery
Abstract
1. Introduction
1.1. Guidewires Used for Cardiovascular Surgery
1.2. Framework Used for Printed Electronics (PEs)
2. Materials and Methods
2.1. Material Selection
2.2. Fabrication Process
2.3. Experimental Characterization Methods
2.3.1. Imaging Microscopy Using AFM and SEM
2.3.2. Structural Characterization Using XRD
2.3.3. Electrical Characterization
2.3.4. Mechanical Characterization
2.3.5. Tip Deflection Based on Bending Measurements
3. Results and Discussion
3.1. Calculation
3.1.1. Analytical Model
- Each layer of the beam can be piezoelectric/electrostrictive or purely elastic;
- The device (plate) thickness is negligible with respect to the curvature radius;
- The cross section of the layers is constant along the length of the plate;
- The whole system is in a static equilibrium, in which the stress distribution within the cross section is supposed to be constant, whatever the bending deflection;
- The xz-plane is the plane of symmetry (see Figure 9).
- Whatever the thickness of the EAP layer (denoted ): the smaller the substrate thickness, the higher the bending angle θ (and so is the tip deflection δ);
- Very thin layers give rise to enhanced bending response but could weaken the device structure. Adequate values of both and should be chosen to achieve the best compromise between the actuation ability and mechanical property of the structure.
- Whatever the stiffness of the EAP layer (denoted ): the stiffer the substrate, the higher the bending angle θ (and so is the tip deflection δ). If the substrate Young’s modulus () exceeds 1 GPa, variation in the angle of curvature and deflection are small (see Figure 10a where the curves with 10 GPa and 100 GPa are superimposed);
- Both θ and δ have a similar trend, in which their maximum value at the Young’s modulus ratio () is between 300 and 2000 (i.e., corresponding to GPa and 0.01 GPa);
- Too small a value of makes the curvature drop off due to low efficiency for the delivery of energy. On the other hand, increasing to a significant value provokes a complete elongation of the actuator, whose strain reaches a saturate regime (Figure 10b).
3.1.2. Comparison with Simulation Model
3.2. Microscopic Image
3.3. Structural Analyses
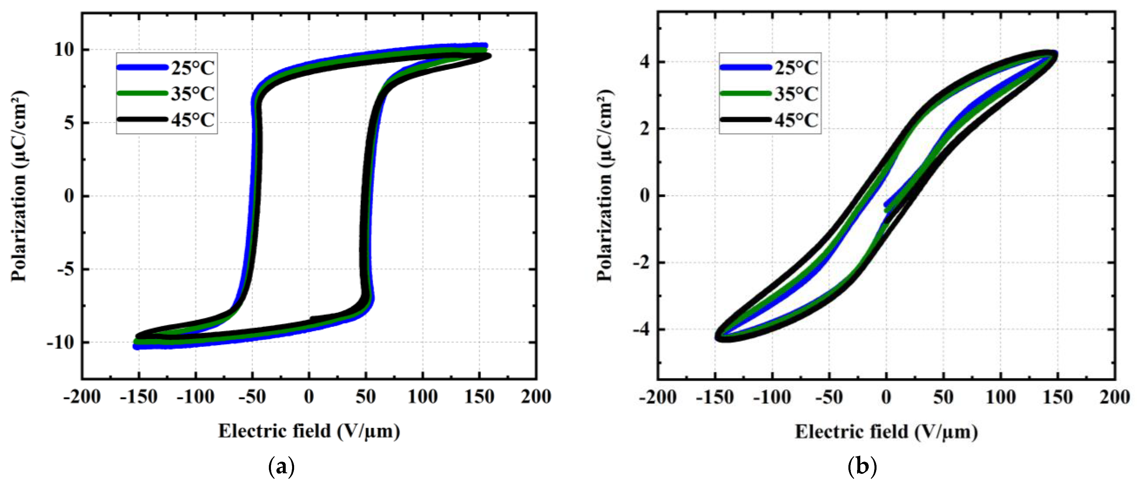
3.4. Electrical Analyses
3.5. Mechanical Analyses
- For all materials, the data distributions are almost symmetrical, as the median (horizontal lines in the whisker box) is close to the mean value (the cross); thus, the skewness should be near to zero.
- All observations did not show any outliers or extremes values (i.e., fall below Q1 − 1.5 IQR or above Q3 + 1.5 IQR), meaning that the highest and lowest occurring values were within this limit interval.
- Regarding the measures of the PI samples, their thickness somewhat influences the result: the higher the thickness, the higher the Young’s modulus (Y). Although Y is supposed to be an intrinsic property of material (so independent of the sample’s size), in reality, the determination of this parameter is somehow affected by some factors, including the sample’s thickness.
- Concerning the Young’s modulus of the PEN, an important discrepancy (~30%) is observed between the literature and our measurement. This may come from the differences in material and process (grade, homogeneity, dimension, etc.), or differences in technique and condition of measurement.
- PI and PEN samples lead to a very small dispersion of Y with the coefficient QCD < 1%. In the case of the terpolymer and PEDOT:PSS, QCD is revealed to be higher, but still lower than 10%, confirming good repeatability of the data.
3.6. Parameters Influencing Tip Deflection
3.6.1. Number of Stacks and Thickness of Substrate/EAP
3.6.2. Nature of Substrate and EAP
3.6.3. Device Slenderness
3.7. Design Guideline of a Smart Guidewire-Based Printed EAP
4. Conclusions
- Structural analyses via XRD confirmed that the annealing treatment under vacuum and high temperature (150 °C) resulted in the best homogeneity and crystallization for the polymers layers.
- Observation-based SEM of the cross section of the printed sample (including an EAP layer sandwiched between the substrate and the electrodes) allowed us to valid the good print quality of each layer.
- AFM images highlighted the small roughness with very few defects of the printed polymer surface, confirming the possibility of performing the staking multi-layer design.
- Broadband dielectric measurement pointed out that, compared to the copolymer, the terpolymer leads to higher permittivity but less stability vis a vis the temperature change and the annealing pressure.
- Polarization hysteresis cycles allowed us to confirm the relaxing behavior of the terpolymer and the ferroelectric characteristics of the copolymer. The electrical properties of both materials were revealed to be stable at a temperature range from 25 °C to 45 °C.
- Mechanical characterization indicated that the Young’s modulus of the copolymer and the substrates are of the same order, which is necessary to achieve good bending behavior.
Supplementary Materials
Author Contributions
Funding
Institutional Review Board Statement
Informed Consent Statement
Data Availability Statement
Acknowledgments
Conflicts of Interest
References
- Stefanovska, A. Physics of the Human Cardiovascular System. Contemp. Phys. 1999, 40, 31–55. [Google Scholar] [CrossRef]
- Haga, Y.; Esashi, M. Biomedical Microsystems for Minimally Invasive Diagnosis and Treatment. Proc. IEEE 2004, 92, 98–114. [Google Scholar] [CrossRef]
- Szewczyk, J.; Marchandise, E.; Flaud, P.; Royon, L.; Blanc, R. Active Catheters for Neuroradiology. J. Robot. Mechatron. 2011, 23, 105–115. [Google Scholar] [CrossRef]
- Fan, Z.; Ma, L.; Liao, Z.; Zhang, X.; Liao, H. 33—Three-Dimensional Image-Guided Techniques for Minimally Invasive Surgery. In Handbook of Robotic and Image-Guided Surgery; Abedin-Nasab, M.H., Ed.; Elsevier: Amsterdam, The Netherlands, 2020; pp. 575–584. ISBN 978-0-12-814245-5. [Google Scholar]
- Cho, S.M.; Grupp, R.B.; Gomez, C.; Gupta, I.; Armand, M.; Osgood, G.; Taylor, R.H.; Unberath, M. Visualization in 2D/3D Registration Matters for Assuring Technology-Assisted Image-Guided Surgery. Int. J. CARS 2023, 18, 1017–1024. [Google Scholar] [CrossRef]
- Ali, A.; Plettenburg, D.; Breedveld, P. Steerable Catheters in Cardiology: Classifying Steerability and Assessing Future Challenges. IEEE Trans. Biomed. Eng. 2016, 63, 679–693. [Google Scholar] [CrossRef]
- Dagnino, G.; Liu, J.; Abdelaziz, M.E.M.K.; Chi, W.; Riga, C.; Yang, G.-Z. Haptic Feedback and Dynamic Active Constraints for Robot-Assisted Endovascular Catheterization. In Proceedings of the 2018 IEEE/RSJ International Conference on Intelligent Robots and Systems (IROS), Madrid, Spain, 1–5 October 2018; IEEE: Piscataway, NJ, USA, 2018; pp. 1770–1775. [Google Scholar]
- Tavallaei, M.A.; Gelman, D.; Lavdas, M.K.; Skanes, A.C.; Jones, D.L.; Bax, J.S.; Drangova, M. Design, Development and Evaluation of a Compact Telerobotic Catheter Navigation System. Robot. Comput. Surg. 2016, 12, 442–452. [Google Scholar] [CrossRef]
- Ikuta, K.; Matsuda, Y.; Yajima, D.; Ota, Y. Pressure Pulse Drive: A Control Method for the Precise Bending of Hydraulic Active Catheters. IEEE/ASME Trans. Mechatron. 2012, 17, 876–883. [Google Scholar] [CrossRef]
- Kang, S.; Lee, D.Y. Hydraulically Steerable Micro Guidewire Capable of Distal Sharp Steering. IEEE Trans. Biomed. Eng. 2021, 68, 728–735. [Google Scholar] [CrossRef]
- Heunis, C.; Sikorski, J.; Misra, S. Flexible Instruments for Endovascular Interventions: Improved Magnetic Steering, Actuation, and Image-Guided Surgical Instruments. IEEE Robot. Automat. Mag. 2018, 25, 71–82. [Google Scholar] [CrossRef]
- Yang, Z.; Yang, L.; Zhang, M.; Wang, Q.; Simon, C.H.; Zhang, L. Magnetic Control of a Steerable Guidewire Under Ultrasound Guidance Using Mobile Electromagnets. IEEE Robot. Autom. Lett. 2021, 6, 1280–1287. [Google Scholar] [CrossRef]
- Hwang, J.; Kim, J.; Choi, H. A Review of Magnetic Actuation Systems and Magnetically Actuated Guidewire- and Catheter-Based Microrobots for Vascular Interventions. Intel. Serv. Robot. 2020, 13, 1–14. [Google Scholar] [CrossRef]
- Dupont, P.E.; Lock, J.; Itkowitz, B.; Butler, E. Design and Control of Concentric-Tube Robots. IEEE Trans. Robot. 2010, 26, 209–225. [Google Scholar] [CrossRef] [PubMed]
- Mineta, T.; Mitsui, T.; Watanabe, Y.; Kobayashi, S.; Haga, Y.; Esashi, M. Batch Fabricated at Meandering Shape Memory Alloy Actuator for Active Catheter. Sens. Actuators A 2001, 88, 112–120. [Google Scholar] [CrossRef]
- He, Q.; Huo, K.; Xu, X.; Yue, Y.; Yin, G.; Yu, M. The Square Rod-Shaped Ionic Polymer-Metal Composite and Its Application in Interventional Surgical Guide Device. Int. J. Smart Nano Mater. 2020, 11, 159–172. [Google Scholar] [CrossRef]
- Ganet, F.; Le, M.Q.; Capsal, J.F.; Lermusiaux, P.; Petit, L.; Millon, A.; Cottinet, P.J. Development of a Smart Guide Wire Using an Electrostrictive Polymer: Option for Steerable Orientation and Force Feedback. Sci. Rep. 2015, 5, 18593. [Google Scholar] [CrossRef]
- Zhang, C.; Guo, S.; Xiao, N.; Wu, J.; Li, Y.; Jiang, Y. Transverse Microvibrations-Based Guide Wires Drag Reduction Evaluation for Endovascular Interventional Application. Biomed. Microdevices 2018, 20, 69. [Google Scholar] [CrossRef]
- Selvaraj, M.; Takahata, K. A Steerable Smart Catheter Tip Realized by Flexible Hydrogel Actuator. In Proceedings of the 2016 IEEE 29th International Conference on Micro Electro Mechanical Systems (MEMS), Shanghai, China, 24–28 January 2016; IEEE: Piscataway, NJ, USA, 2016; pp. 161–164. [Google Scholar]
- Mahmud, I. Deflection of MEMS Based Sandwiched Cantilever Beam for Piezoelectric Actuation: Analysis of Lead Zirconate Titanate Piezoceramic Material. J. Mech. Civ. Eng. 2021, 18, 22–26. [Google Scholar] [CrossRef]
- Lee, S.-Y.; Ko, B.; Yang, W. Theoretical Modeling, Experiments and Optimization of Piezoelectric Multimorph. Smart Mater. Struct. 2005, 14, 1343–1352. [Google Scholar] [CrossRef]
- Damamme, R.; Seveyrat, L.; Borta-Boyon, A.; Nguyen, V.-C.; Le, M.-Q.; Cottinet, P.-J. 3D Printing of Doped Barium-Titanate Using Robocasting—Toward New Generation Lead-Free Piezoceramic Transducers. J. Eur. Ceram. Soc. 2023, 43, 3297–3306. [Google Scholar] [CrossRef]
- Lam, K.H.; Wang, X.X.; Chan, H.L.W. (Bi0.5Na0.5)0.94Ba0.06TiO3/P(VDF-TrFE) 0-3 Composites Poled with a Sinusoidal Electric Field. In Proceedings of the 2006 15th IEEE International Symposium on the Applications of Ferroelectrics, Sunset Beach, NC, USA, 30 July–3 August 2006; IEEE: Piscataway, NJ, USA, 2006; pp. 101–104. [Google Scholar]
- Capsal, J.-F.; Dantras, E.; Lacabanne, C. Molecular Mobility Interpretation of the Dielectric Relaxor Behavior in Fluorinated Copolymers and Terpolymers. J. Non-Cryst. Solids 2013, 363, 20–25. [Google Scholar] [CrossRef]
- Bharti, V.; Zhang, Q.M. Dielectric Study of the Relaxor Ferroelectric Poly(Vinylidene Fluoride-Trifluoroethylene) Copolymer System. Phys. Rev. B 2001, 63, 184103. [Google Scholar] [CrossRef]
- Chen, X.; Qin, H.; Qian, X.; Zhu, W.; Li, B.; Zhang, B.; Lu, W.; Li, R.; Zhang, S.; Zhu, L.; et al. Relaxor Ferroelectric Polymer Exhibits Ultrahigh Electromechanical Coupling at Low Electric Field. Science 2022, 375, 1418–1422. [Google Scholar] [CrossRef] [PubMed]
- Chen, X.-Z.; Li, X.; Qian, X.-S.; Wu, S.; Lu, S.-G.; Gu, H.-M.; Lin, M.; Shen, Q.-D.; Zhang, Q.M. A Polymer Blend Approach to Tailor the Ferroelectric Responses in P(VDF–TrFE) Based Copolymers. Polymer 2013, 54, 2373–2381. [Google Scholar] [CrossRef]
- Pramanick, A.; Osti, N.C.; Jalarvo, N.; Misture, S.T.; Diallo, S.O.; Mamontov, E.; Luo, Y.; Keum, J.-K.; Littrell, K. Origin of Dielectric Relaxor Behavior in PVDF-Based Copolymer and Terpolymer Films. AIP Adv. 2018, 8, 045204. [Google Scholar] [CrossRef]
- Jacquemin, Q.; Sun, Q.; Thuau, D.; Monteiro, E.; Tence-Girault, S.; Mechbal, N. Design of a New Electroactive Polymer Based Continuum Actuator for Endoscopic Surgical Robots. In Proceedings of the 2020 IEEE/RSJ International Conference on Intelligent Robots and Systems (IROS), Las Vegas, NV, USA, 24 October 2020–24 January 2021; IEEE: Piscataway, NJ, USA, 2020; pp. 3208–3215. [Google Scholar]
- Nguyen, V.-C.; Le, M.-Q.; Fimbel, A.; Bernadet, S.; Hebrard, Y.; Mogniotte, J.-F.; Capsal, J.-F.; Cottinet, P.-J. Printing Smart Coating of Piezoelectric Composite for Application in Condition Monitoring of Bearings. Mater. Des. 2022, 215, 110529. [Google Scholar] [CrossRef]
- Grau, G.; Frazier, E.J.; Subramanian, V. Printed Unmanned Aerial Vehicles Using Paper-Based Electroactive Polymer Actuators and Organic Ion Gel Transistors. Microsyst. Nanoeng. 2016, 2, 16032. [Google Scholar] [CrossRef]
- Kamyshny, A.; Magdassi, S. Conductive Nanomaterials for Printed Electronics. Small 2014, 10, 3515–3535. [Google Scholar] [CrossRef]
- Tan, H.W.; Choong, Y.Y.C.; Kuo, C.N.; Low, H.Y.; Chua, C.K. 3D Printed Electronics: Processes, Materials and Future Trends. Prog. Mater. Sci. 2022, 127, 100945. [Google Scholar] [CrossRef]
- Aliqué, M.; Simão, C.D.; Murillo, G.; Moya, A. Fully-Printed Piezoelectric Devices for Flexible Electronics Applications. Adv. Mater. Technol. 2021, 6, 2001020. [Google Scholar] [CrossRef]
- Yin, L.; Lv, J.; Wang, J. Structural Innovations in Printed, Flexible, and Stretchable Electronics. Adv. Mater. Technol. 2020, 5, 2000694. [Google Scholar] [CrossRef]
- Pinto, R.S.; Serra, J.P.; Barbosa, J.C.; Gonçalves, R.; Silva, M.M.; Lanceros-Méndez, S.; Costa, C.M. Direct-Ink-Writing of Electroactive Polymers for Sensing and Energy Storage Applications. Macromol. Mater. Eng. 2021, 306, 2100372. [Google Scholar] [CrossRef]
- Abdolmaleki, H.; Agarwala, S. PVDF-BaTiO3 Nanocomposite Inkjet Inks with Enhanced β-Phase Crystallinity for Printed Electronics. Polymers 2020, 12, 2430. [Google Scholar] [CrossRef] [PubMed]
- Prenzel, T.M.; Gehring, F.; Fuhs, F.; Albrecht, S. Influence of Design Properties of Printed Electronics on Their Environmental Profile. Matériaux Tech. 2021, 109, 506. [Google Scholar] [CrossRef]
- Rao, C.H.; Avinash, K.; Varaprasad, B.K.S.V.L.; Goel, S. A Review on Printed Electronics with Digital 3D Printing: Fabrication Techniques, Materials, Challenges and Future Opportunities. J. Electron. Mater. 2022, 51, 2747–2765. [Google Scholar] [CrossRef]
- Carbone, C.; Benwadih, M.; D’Ambrogio, G.; Le, M.-Q.; Capsal, J.-F.; Cottinet, P.-J. Influence of Matrix and Surfactant on Piezoelectric and Dielectric Properties of Screen-Printed BaTiO3/PVDF Composites. Polymers 2021, 13, 2166. [Google Scholar] [CrossRef] [PubMed]
- Nguyen, V.-C.; Le, M.-Q.; Bernadet, S.; Hebrard, Y.; Mogniotte, J.-F.; Capsal, J.-F.; Cottinet, P.-J. Design Rules of Bidirectional Smart Sensor Coating for Condition Monitoring of Bearings. Polymers 2023, 15, 826. [Google Scholar] [CrossRef]
- Diatezo, L.; Le, M.-Q.; Tonellato, C.; Puig, L.; Capsal, J.-F.; Cottinet, P.-J. Development and Optimization of 3D-Printed Flexible Electronic Coatings: A New Generation of Smart Heating Fabrics for Automobile Applications. Micromachines 2023, 14, 762. [Google Scholar] [CrossRef]
- Bonnassieux, Y.; Brabec, C.J.; Cao, Y.; Carmichael, T.B.; Chabinyc, M.L.; Cheng, K.-T.; Cho, G.; Chung, A.; Cobb, C.L.; Distler, A.; et al. The 2021 Flexible and Printed Electronics Roadmap. Flex. Print. Electron. 2021, 6, 023001. [Google Scholar] [CrossRef]
- Chang, J.S.; Facchetti, A.F.; Reuss, R. A Circuits and Systems Perspective of Organic/Printed Electronics: Review, Challenges, and Contemporary and Emerging Design Approaches. IEEE J. Emerg. Sel. Topics Circuits Syst. 2017, 7, 7–26. [Google Scholar] [CrossRef]
- Khan, Y.; Thielens, A.; Muin, S.; Ting, J.; Baumbauer, C.; Arias, A.C. A New Frontier of Printed Electronics: Flexible Hybrid Electronics. Adv. Mater. 2020, 32, 1905279. [Google Scholar] [CrossRef] [PubMed]
- Goh, G.L.; Zhang, H.; Chong, T.H.; Yeong, W.Y. 3D Printing of Multilayered and Multimaterial Electronics: A Review. Adv. Electron. Mater. 2021, 7, 2100445. [Google Scholar] [CrossRef]
- Wiklund, J.; Karakoç, A.; Palko, T.; Yiğitler, H.; Ruttik, K.; Jäntti, R.; Paltakari, J. A Review on Printed Electronics: Fabrication Methods, Inks, Substrates, Applications and Environmental Impacts. J. Manuf. Mater. Process. 2021, 5, 89. [Google Scholar] [CrossRef]
- Park, Y.-G.; Yun, I.; Chung, W.G.; Park, W.; Lee, D.H.; Park, J.-U. High-Resolution 3D Printing for Electronics. Adv. Sci. 2022, 9, 2104623. [Google Scholar] [CrossRef] [PubMed]
- Comotti, C.; Regazzoni, D.; Rizzi, C.; Vitali, A. Additive Manufacturing to Advance Functional Design: An Application in the Medical Field. J. Comput. Inf. Sci. Eng. 2017, 17, 031006. [Google Scholar] [CrossRef]
- Salmi, M. Additive Manufacturing Processes in Medical Applications. Materials 2021, 14, 191. [Google Scholar] [CrossRef] [PubMed]
- Culmone, C.; Smit, G.; Breedveld, P. Additive Manufacturing of Medical Instruments: A State-of-the-Art Review. Addit. Manuf. 2019, 27, 461–473. [Google Scholar] [CrossRef]
- Lee, D.U.; Kim, D.W.; Lee, S.Y.; Choi, D.Y.; Choi, S.Y.; Moon, K.-S.; Shon, M.Y.; Moon, M.J. Amino Acid-Mediated Negatively Charged Surface Improve Antifouling and Tribological Characteristics for Medical Applications. Colloids Surf. B Biointerfaces 2022, 211, 112314. [Google Scholar] [CrossRef] [PubMed]
- Szabo, B.; Gueli, C.; Eickenscheidt, M.; Stieglitz, T. Polyimide-Based Thin Film Conductors for High Frequency Data Transmission in Ultra-Conformable Implants. Curr. Dir. Biomed. Eng. 2020, 6, 481–485. [Google Scholar] [CrossRef]
- Sezer Hicyilmaz, A.; Celik Bedeloglu, A. Applications of Polyimide Coatings: A Review. SN Appl. Sci. 2021, 3, 363. [Google Scholar] [CrossRef]
- Piezoelectric Materials|P(VDF-TRFE)|Arkema Piezotech. Available online: https://piezotech.arkema.com/en/Products/piezoelectric-copolymers/ (accessed on 19 April 2024).
- Relaxor Ferroelectric|Terpolymer|Arkema Piezotech. Available online: https://piezotech.arkema.com/en/Products/high-k-terpolymers/ (accessed on 19 April 2024).
- Yang, Y.; Deng, H.; Fu, Q. Recent Progress on PEDOT:PSS Based Polymer Blends and Composites for Flexible Electronics and Thermoelectric Devices. Mater. Chem. Front. 2020, 4, 3130–3152. [Google Scholar] [CrossRef]
- Luo, R.; Li, H.; Du, B.; Zhou, S.; Zhu, Y. A Simple Strategy for High Stretchable, Flexible and Conductive Polymer Films Based on PEDOT:PSS-PDMS Blends. Org. Electron. 2020, 76, 105451. [Google Scholar] [CrossRef]
- Pedroli, F.; Marrani, A.; Le, M.; Froidefond, C.; Cottinet, P.; Capsal, J. Processing Optimization: A Way to Improve the Ionic Conductivity and Dielectric Loss of Electroactive Polymers. J. Polym. Sci. B Polym. Phys. 2018, 56, 1164–1173. [Google Scholar] [CrossRef]
- Khatua, T.P.; Cheung, Y.K. Bending and Vibration of Multilayer Sandwich Beams and Plates. Numer. Methods Eng. 1973, 6, 11–24. [Google Scholar] [CrossRef]
- Icardi, U.; Sciuva, M.D. Large-Deflection and Stress Analysis of Multilayered Plates with Induced-Strain Actuators. Smart Mater. Struct. 1996, 5, 140–164. [Google Scholar] [CrossRef]
- Rajendran, L.; Mathew, A.T. Analytical Solution for Large Deflection of Multilayered Composite Cantilever Beams with Interlayer Slip. Iran. J. Sci. Technol. Trans. Mech. Eng. 2020, 44, 23–33. [Google Scholar] [CrossRef]
- Moory-Shirbani, M.; Sedighi, H.M.; Ouakad, H.M.; Najar, F. Experimental and Mathematical Analysis of a Piezoelectrically Actuated Multilayered Imperfect Microbeam Subjected to Applied Electric Potential. Compos. Struct. 2018, 184, 950–960. [Google Scholar] [CrossRef]
- Ko, B.; Tongue, B.H.; Packard, A. A Method for Determining the Optimal Location of a Distributed Sensor/Actuator. Shock. Vib. 1994, 1, 357–374. [Google Scholar] [CrossRef]
- Tadmor, E.B.; Kosa, G. Electromechanical Coupling Correction for Piezoelectric Layered Beams. J. Microelectromech. Syst. 2003, 12, 899–906. [Google Scholar] [CrossRef]
- Della Schiava, N.; Thetpraphi, K.; Le, M.-Q.; Lermusiaux, P.; Millon, A.; Capsal, J.-F.; Cottinet, P.-J. Enhanced Figures of Merit for a High-Performing Actuator in Electrostrictive Materials. Polymers 2018, 10, 263. [Google Scholar] [CrossRef] [PubMed]
- Rupitsch, S.J. Piezoelectric Sensors and Actuators: Fundamentals and Applications; Topics in Mining, Metallurgy and Materials Engineering; Springer: Berlin/Heidelberg, Germany, 2019; ISBN 978-3-662-57532-1. [Google Scholar]
- Nguyen, V.-C.; Oliva-Torres, V.; Bernadet, S.; Rival, G.; Richard, C.; Capsal, J.-F.; Cottinet, P.-J.; Le, M.-Q. Haptic Feedback Device Using 3D-Printed Flexible, Multilayered Piezoelectric Coating for In-Car Touchscreen Interface. Micromachines 2023, 14, 1553. [Google Scholar] [CrossRef]
- Poncet, P.; Casset, F.; Latour, A.; Domingues Dos Santos, F.; Pawlak, S.; Gwoziecki, R.; Devos, A.; Emery, P.; Fanget, S. Static and Dynamic Studies of Electro-Active Polymer Actuators and Integration in a Demonstrator. Actuators 2017, 6, 18. [Google Scholar] [CrossRef]
- Chen, G.; Zhao, J.; Li, S.; Zhong, L. Origin of Thickness Dependent Dc Electrical Breakdown in Dielectrics. Appl. Phys. Lett. 2012, 100, 222904. [Google Scholar] [CrossRef]
- Helgee, B.; Bjellheim, P. Electric Breakdown Strength of Aromatic Polymers: Dependence on Film Thickness and Chemical Structure. IEEE Trans. Elect. Insul. 1991, 26, 1147–1152. [Google Scholar] [CrossRef]
- Pedroli, F.; Flocchini, A.; Marrani, A.; Le, M.-Q.; Sanseau, O.; Cottinet, P.-J.; Capsal, J.-F. Boosted Energy-Storage Efficiency by Controlling Conduction Loss of Multilayered Polymeric Capacitors. Mater. Des. 2020, 192, 108712. [Google Scholar] [CrossRef]
- Zhao, L.; Liu, G.; Su, J.; Pan, Y.; Zhang, X. Investigation of Thickness Effect on Electric Breakdown Strength of Polymers Under Nanosecond Pulses. IEEE Trans. Plasma Sci. 2011, 39, 1613–1618. [Google Scholar] [CrossRef]
- Choi, S.T.; Kwon, J.O.; Bauer, F. Multilayered Relaxor Ferroelectric Polymer Actuators for Low-Voltage Operation Fabricated with an Adhesion-Mediated Film Transfer Technique. Sens. Actuators A Phys. 2013, 203, 282–290. [Google Scholar] [CrossRef]
- Gregorio, R.; Ueno, E.M. Effect of Crystalline Phase, Orientation and Temperature on the Dielectric Properties of Poly (Vinylidene Fluoride) (PVDF). J. Mater. Sci. 1999, 34, 4489–5000. [Google Scholar] [CrossRef]
- Lheritier, P.; Noel, S.; Vaxelaire, N.; Domingues Dos Santos, F.; Defay, E. Actuation Efficiency of Polyvinylidene Fluoride-Based Co- and Ter-Polymers. Polymer 2018, 156, 270–275. [Google Scholar] [CrossRef]
- Cho, Y.; Ahn, D.; Park, J.; Pak, S.; Lee, S.; Jun, B.; Hong, J.; Lee, S.; Jang, J.; Hong, J.; et al. Enhanced ferroelectric property of P(VDF-TrFE-CTFE) film using room-temperature crystallization for high-performance ferroelectric device applications. Adv. Electron. Mater. 2016, 2, 1600225. [Google Scholar] [CrossRef]
- Toinet, S.; Benwadih, M.; Tardif, S.; Eymery, J.; Revenant, C. Phase Transitions in Flexible Solution-Processed Ferroelectric P(VDF-TrFE) Copolymer Thin Films. J. Polym. Res. 2022, 29, 456. [Google Scholar] [CrossRef]
- Lheritier, P. Study of PVDF Derivatives for Actuation Purpose; NNT: 2018GREAI070; HAL Id: tel-02963638; Université Grenoble Alpes: Grenoble, France, 2018. [Google Scholar]
- Zhang, Y.; Aich, B.R.; Chang, S.; Lochhead, K.; Tao, Y. How to Process P(VDF-TrFE) Thin Films for Controlling Short Circuits in Flexible Non-Volatile Memories. Org. Electron. 2022, 105, 106494. [Google Scholar] [CrossRef]
- Scriven, L.E.; Sternling, C.V. The Marangoni Effects. Nature 1960, 187, 186–188. [Google Scholar] [CrossRef]
- Pirkle, A.; Chan, J.; Venugopal, A.; Hinojos, D.; Magnuson, C.W.; McDonnell, S.; Colombo, L.; Vogel, E.M.; Ruoff, R.S.; Wallace, R.M. The Effect of Chemical Residues on the Physical and Electrical Properties of Chemical Vapor Deposited Graphene Transferred to SiO2. Appl. Phys. Lett. 2011, 99, 122108. [Google Scholar] [CrossRef]
- Kumar, K.; Kim, Y.-S.; Yang, E.-H. The Influence of Thermal Annealing to Remove Polymeric Residue on the Electronic Doping and Morphological Characteristics of Graphene. Carbon 2013, 65, 35–45. [Google Scholar] [CrossRef]
- MacDonald, W.A.; Looney, M.K.; MacKerron, D.; Eveson, R.; Adam, R.; Hashimoto, K.; Rakos, K. Latest Advances in Substrates for Flexible Electronics. J. Soc. Inf. Display 2007, 15, 1075. [Google Scholar] [CrossRef]
- Della-Schiava, N. Development of Electrostrictive P(VDF-TrFE-CTFE) Terpolymer for Medical Applications; NNT: 2020LYSEI112; HAL Id: tel-03187162; Université de Lyon: Lyon, France, 2021. [Google Scholar]
- Schäffner, P.; Zirkl, M.; Schider, G.; Groten, J.; Belegratis, M.R.; Knoll, P.; Stadlober, B. Microstructured Single-Layer Electrodes Embedded in P(VDF-TrFE) for Flexible and Self-Powered Direction-Sensitive Strain Sensors. Smart Mater. Struct. 2020, 29, 085040. [Google Scholar] [CrossRef]
- Jucius, D.; Gudaitis, R.; Lazauskas, A.; Grigaliūnas, V. Electrical Characterization of Thin PEDOT:PSS Films on Alumina and Thiol–Ene Substrates. Polymers 2021, 13, 3519. [Google Scholar] [CrossRef]
- Bauer, C.L.; Farris, R.J. Determination of Poisson’s Ratio for Polyimide Films. Polym. Eng. Sci. 1989, 29, 1107–1110. [Google Scholar] [CrossRef]
- Beringer, L.T.; Xu, X.; Shih, W.; Shih, W.-H.; Habas, R.; Schauer, C.L. An Electrospun PVDF-TrFe Fiber Sensor Platform for Biological Applications. Sens. Actuators A Phys. 2015, 222, 293–300. [Google Scholar] [CrossRef]
- Della Schiava, N.; Pedroli, F.; Thetpraphi, K.; Flocchini, A.; Le, M.-Q.; Lermusiaux, P.; Capsal, J.-F.; Cottinet, P.-J. Effect of Beta-Based Sterilization on P(VDF-TrFE-CFE) Terpolymer for Medical Applications. Sci. Rep. 2020, 10, 8805. [Google Scholar] [CrossRef] [PubMed]
- Ribeiro, L.M.S.; Costa da Rosa Simões, L.A.; Espanhol-Soares, M.; Carvalho Teles, V.; Ribeiro, T.A.N.; Capellato, P.; Vasconcelos Fré, L.V.B.; Kuffner, B.H.B.; Saddow, S.E.; Sachs, D.; et al. Surface Modification of Ti–30Ta Alloy by Deposition of P(VDF-TrFE)/BaTiO3 Coating for Biomedical Applications. Metals 2022, 12, 1409. [Google Scholar] [CrossRef]



























| Mask | Mesh | Φ Thread [µm] | Material | Thickness [µm] |
|---|---|---|---|---|
| A | 235 | 24 | Stainless steel | 1 |
| B | 230 | 36 | Stainless steel | 2.5 |
| C | 43 | 80 | Polyester | 4.4 |
| Material | Value | Title 3 |
|---|---|---|
| PEN substrate | ||
| Poisson’s Raito | 0.4 | - |
| Young’s modulus | 4.1 | GPa |
| PI substrate | ||
| Poisson’s Raito | 0.4 | - |
| Young’s modulus | 6.5 | GPa |
| PVDF-TrFE copolymer | ||
| Density | 1770 | kg.m−3 |
| Poisson’s Raito | 0.4 | - |
| Young’s modulus | 2.4 | GPa |
| ) | 31 | Mm |
| Relative permittivity εr | 12 | - |
| Piezoelectric coefficient d31 | 15 | pC/N |
| Piezoelectric coefficient d32 | 2 | pC/N |
| Piezoelectric coefficient d33 | -28 | pC/N |
| PEDOT:PSS electrode | ||
| Density | 1180 | - |
| Poisson’s Raito | 0.35 | - |
| Young’s modulus | 2.5 | GPa |
| Thickness | 1 | µm |
| Pressure | Temperature | Domain Size (nm) |
|---|---|---|
| Ambient | 150 °C | 8 |
| Ambient | 70 °C | 10.5 |
| Vacuum | 150 °C | 12 |
| Vacuum | Ambient | 7.5 |
| PVDF-TrFE | PEDOT:PSS | PI-125 µm | PI-50 µm | PI-25 µm | PEN-125 µm | PEN-50 µm | PVDF-TrFE-CTFE | ||
|---|---|---|---|---|---|---|---|---|---|
| Young’s Modulus | Mean (GPa) | 3.308 | 2.547 | 6.510 | 6.286 | 5.882 | 4.087 | 5.3 [84] | 0.103 [85] |
| SD (GPa) | 0.289 | 0.287 | 0.036 | 0.026 | 0.054 | 0.035 | - | - | |
| Min (GPa) | 2.839 | 2.050 | 6.455 | 6.222 | 5.785 | 4.023 | - | - | |
| Max (GPa) | 3.815 | 3.026 | 6.548 | 6.340 | 5.969 | 4.141 | - | - | |
| Q1 (GPa) | 3.079 | 2.326 | 6.473 | 6.272 | 5.836 | 4.065 | - | - | |
| Q2 (GPa) | 3.282 | 2.566 | 6.532 | 6.290 | 5.908 | 4.096 | - | - | |
| Q3 (GPa) | 3.522 | 2.766 | 6.543 | 6.304 | 5.921 | 4.111 | - | - | |
| IQR (GPa) | 0.443 | 0.440 | 0.069 | 0.032 | 0.085 | 0.046 | - | - | |
| QCD (%) | 6.71 | 8.64 | 0.53 | 0.25 | 0.72 | 0.56 | - | - | |
| Poisson coefficient | ν | 0.28 [86] | 0.33 [87] | 0.34 [88] | 0.33 [84] | 0.48 [74] | |||
Disclaimer/Publisher’s Note: The statements, opinions and data contained in all publications are solely those of the individual author(s) and contributor(s) and not of MDPI and/or the editor(s). MDPI and/or the editor(s) disclaim responsibility for any injury to people or property resulting from any ideas, methods, instructions or products referred to in the content. |
© 2024 by the authors. Licensee MDPI, Basel, Switzerland. This article is an open access article distributed under the terms and conditions of the Creative Commons Attribution (CC BY) license (https://creativecommons.org/licenses/by/4.0/).
Share and Cite
Toinet, S.; Benwadih, M.; Szambolics, H.; Revenant, C.; Alincant, D.; Bordet, M.; Capsal, J.-F.; Della-Schiava, N.; Le, M.-Q.; Cottinet, P.-J. Design Optimization of Printed Multi-Layered Electroactive Actuators Used for Steerable Guidewire in Micro-Invasive Surgery. Materials 2024, 17, 2135. https://doi.org/10.3390/ma17092135
Toinet S, Benwadih M, Szambolics H, Revenant C, Alincant D, Bordet M, Capsal J-F, Della-Schiava N, Le M-Q, Cottinet P-J. Design Optimization of Printed Multi-Layered Electroactive Actuators Used for Steerable Guidewire in Micro-Invasive Surgery. Materials. 2024; 17(9):2135. https://doi.org/10.3390/ma17092135
Chicago/Turabian StyleToinet, Simon, Mohammed Benwadih, Helga Szambolics, Christine Revenant, David Alincant, Marine Bordet, Jean-Fabien Capsal, Nellie Della-Schiava, Minh-Quyen Le, and Pierre-Jean Cottinet. 2024. "Design Optimization of Printed Multi-Layered Electroactive Actuators Used for Steerable Guidewire in Micro-Invasive Surgery" Materials 17, no. 9: 2135. https://doi.org/10.3390/ma17092135
APA StyleToinet, S., Benwadih, M., Szambolics, H., Revenant, C., Alincant, D., Bordet, M., Capsal, J.-F., Della-Schiava, N., Le, M.-Q., & Cottinet, P.-J. (2024). Design Optimization of Printed Multi-Layered Electroactive Actuators Used for Steerable Guidewire in Micro-Invasive Surgery. Materials, 17(9), 2135. https://doi.org/10.3390/ma17092135

