Catalytic Oxidation of Chlorobenzene over Amorphous Manganese-Chromium Catalysts Supported by UiO-66-Derived ZrOx
Abstract
1. Introduction
2. Materials and Methods
2.1. Chemicals and Materials
2.2. Catalyst Preparation
2.3. Catalyst Characterization
2.4. Catalytic Test
3. Results and Discussions
3.1. Catalytic Performance for Chlorobenzene Oxidation
3.2. Durability and Stability
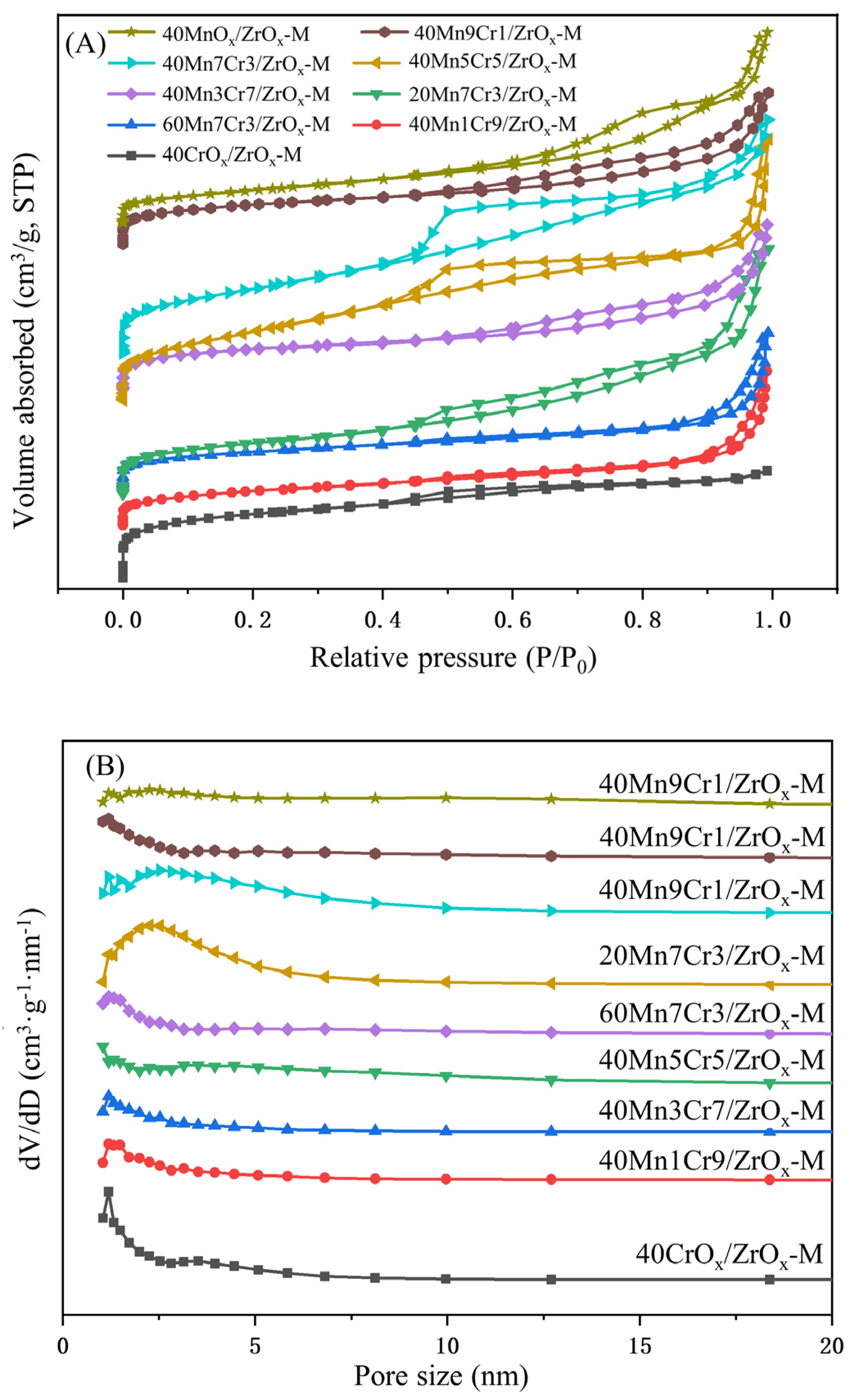
3.3. Crystal Structure and Texture Properties
3.4. Chemical States, Redox, and Acidity Properties
4. Conclusions
Author Contributions
Funding
Institutional Review Board Statement
Informed Consent Statement
Data Availability Statement
Conflicts of Interest
References
- Li, N.; Gaillard, F. Catalytic combustion of toluene over electrochemically promoted Ag catalyst. Appl. Catal. B Environ. 2009, 88, 152–159. [Google Scholar] [CrossRef]
- Pan, C.; Wang, W.; Zhang, Y.; Nam, J.C.; Wu, F.; You, Z.; Xu, J.; Li, J. Porous graphitized carbon-supported FeOCl as a bifunctional adsorbent-catalyst for the wet peroxide oxidation of chlorinated volatile organic compounds: Effect of mesopores and mechanistic study. Appl. Catal. B Environ. 2023, 330, 122659. [Google Scholar] [CrossRef]
- Huang, B.; Lei, C.; Wei, C.; Zeng, G. Chlorinated volatile organic compounds (Cl-VOCs) in environment—Sources, potential human health impacts, and current remediation technologies. Environ. Int. 2014, 71, 118–138. [Google Scholar] [CrossRef] [PubMed]
- Zhao, X.; Xu, D.; Wang, Y.; Zheng, Z.; Li, K.; Zhang, Y.; Zhan, R.; Lin, H. Electric field assisted benzene oxidation over Pt-Ce-Zr nano-catalysts at low temperature. J. Hazard. Mater. 2021, 407, 124349. [Google Scholar] [CrossRef] [PubMed]
- Lee, J.E.; Ok, Y.S.; Tsang, D.C.W.; Song, J.; Jung, S.C.; Park, Y.K. Recent advances in volatile organic compounds abatement by catalysis and catalytic hybrid processes: A critical review. Sci. Total Environ. 2020, 719, 137405. [Google Scholar] [CrossRef] [PubMed]
- Mustafa, M.F.; Liu, Y.; Duan, Z.; Guo, H.; Xu, S.; Wang, H.; Lu, W. Volatile compounds emission and health risk assessment during composting of organic fraction of municipal solid waste. J. Hazard. Mater. 2017, 327, 35–43. [Google Scholar] [CrossRef] [PubMed]
- Lin, F.; Zhang, Z.; Li, N.; Yan, B.; He, C.; Hao, Z.; Chen, G. How to achieve complete elimination of Cl-VOCs: A critical review on byproducts formation and inhibition strategies during catalytic oxidation. Chem. Eng. J. 2021, 404, 126534. [Google Scholar] [CrossRef]
- Hou, Z.; Pei, W.; Zhang, X.; Zhang, K.; Liu, Y.; Deng, J.; Jing, L.; Dai, H. Rare earth oxides and their supported noble metals in application of environmental catalysis. J. Rare Earths 2020, 38, 819–839. [Google Scholar] [CrossRef]
- Huang, J.; Zhang, Y.; Hao, Z.; Zhang, Y. Preparation of rare earth metal ions promoted MnOx@halloysite catalyst for highly efficient catalytic oxidation of toluene. Appl. Clay Sci. 2023, 244, 107081. [Google Scholar] [CrossRef]
- Shi, Y.; Wang, J.; Zhou, R. Pt-support interaction and nanoparticle size effect in Pt/CeO2-TiO2 catalysts for low temperature VOCs removal. Chemosphere 2021, 265, 129127. [Google Scholar] [CrossRef]
- Topka, P.; Delaigle, R.; Kaluža, L.; Gaigneaux, E.M. Performance of platinum and gold catalysts supported on ceria–zirconia mixed oxide in the oxidation of chlorobenzene. Catal. Today 2015, 253, 172–177. [Google Scholar] [CrossRef]
- Guo, Y.; Gao, Y.; Li, X.; Zhuang, G.; Wang, K.; Zheng, Y.; Sun, D.; Huang, J.; Li, Q. Catalytic benzene oxidation by biogenic Pd nanoparticles over 3D-ordered mesoporous CeO2. Chem. Eng. J. 2019, 362, 41–52. [Google Scholar] [CrossRef]
- Chen, Z.; Mao, J.; Zhou, R. Preparation of size-controlled Pt supported on Al2O3 nanocatalysts for deep catalytic oxidation of benzene at lower temperature. Appl. Surf. Sci. 2019, 465, 15–22. [Google Scholar] [CrossRef]
- Zhou, Z.; Li, Q.; Su, G.; Pang, J.; Sun, B.; Meng, J.; Shi, B. Catalytic degradation of chlorinated volatile organic compounds (CVOCs) over Ce-Mn-Ti composite oxide catalysts. J. Environ. Sci. 2024, 138, 326–338. [Google Scholar] [CrossRef] [PubMed]
- Zhang, J.; Zhang, L.; Cheng, Y.; Liu, Y. Construction of oxygen vacancies in δ-MnO2 for promoting low-temperature toluene oxidation. Fuel 2023, 332, 126104. [Google Scholar] [CrossRef]
- Ye, N.; Zheng, J.; Xie, K.; Jiang, B.; Zuo, S. Performance of mesoporous CeO2-Cr2O3 mixed metal oxides applied to benzene catalytic combustion. J. Rare Earths 2023, 41, 889–895. [Google Scholar] [CrossRef]
- Wang, Y.; Wang, G.; Deng, W.; Han, J.; Qin, L.; Zhao, B.; Guo, L.; Xing, F. Study on the structure-activity relationship of Fe-Mn oxide catalysts for chlorobenzene catalytic combustion. Chem. Eng. J. 2020, 395, 125172. [Google Scholar] [CrossRef]
- Sun, W.; Gong, B.; Pan, J.; Wang, Y.; Xia, H.; Zhang, H.; Dai, Q.; Wang, L.; Wang, X. Catalytic combustion of CVOCs over Cr Ti1- oxide catalysts. J. Catal. 2020, 391, 132–144. [Google Scholar] [CrossRef]
- Ryu, U.; Jee, S.; Rao, P.C.; Shin, J.; Ko, C.; Yoon, M.; Park, K.S.; Choi, K.M. Recent advances in process engineering and upcoming applications of metal-organic frameworks. Coord. Chem. Rev. 2021, 426, 213544. [Google Scholar] [CrossRef]
- Meng, J.; Fu, Y.; Chen, S.; Zhang, H.; Li, Z.; Wang, X.; Luo, J.; Zhou, Y.; Luo, S.; Qin, H. Hollow zeolite-based V-Cu bimetallic oxide catalyst for remarkable catalytic oxidation of chlorobenzene. Sep. Purif. Technol. 2023, 326, 124775. [Google Scholar] [CrossRef]
- Wan, J.; Tao, F.; Shi, Y.; Shi, Z.; Liu, Y.; Wu, G.; Kan, J.; Zhou, R. Designed preparation of nano rod shaped CeO2-MnO catalysts with different Ce/Mn ratios and its highly efficient catalytic performance for chlorobenzene complete oxidation: New insights into structure–activity correlations. Chem. Eng. J. 2022, 433, 133788. [Google Scholar] [CrossRef]
- Liu, J.; Zuo, S.; Lin, S.; Shan, B.; Zhou, X.; Zhao, J.; Qi, C.; Yang, P. Promoting the performance of Nb2O5 by doping transition metal oxide for catalytic degradation of monochlorobenzene and toluene. J. Mater. Res. Technol. 2023, 25, 3642–3653. [Google Scholar] [CrossRef]
- Yang, T.; Gao, Y.; He, Q.; Chai, Y.; Qin, P.; Wu, Z.; Liu, C.; Gong, X.; Liang, Y. Preparation and application of UiO-66(Zr) and its derivatives as catalysts in lignocellulosic biomass conversion. Chem. Eng. J. 2024, 486, 149971. [Google Scholar] [CrossRef]
- Duan, X.; Zhao, T.; Yang, Z.; Niu, B.; Li, G.; Li, B.; Zhang, Z.; Cheng, J.; Hao, Z. Oxygen activation-boosted manganese oxide with unique interface for chlorobenzene oxidation: Unveiling the roles and dynamic variation of active oxygen species in heterogeneous catalytic oxidation process. Appl. Catal. B Environ. 2023, 331, 122719. [Google Scholar] [CrossRef]
- Duan, X.; Zhao, T.; Niu, B.; Wei, Z.; Li, G.; Zhang, Z.; Cheng, J.; Hao, Z. Simultaneously Constructing Active Sites and Regulating Mn-O Strength of Ru-Substituted Perovskite for Efficient Oxidation and Hydrolysis Oxidation of Chlorobenzene. Adv. Sci. 2023, 10, e2205054. [Google Scholar] [CrossRef] [PubMed]
- Chen, G.; Cai, Y.; Zhang, H.; Hong, D.; Shao, S.; Tu, C.; Chen, Y.; Wang, F.; Chen, B.; Bai, Y.; et al. Pt and Mo Co-Decorated MnO2 Nanorods with Superior Resistance to H2O, Sintering, and HCl for Catalytic Oxidation of Chlorobenzene. Environ. Sci. Technol. 2021, 55, 14204–14214. [Google Scholar] [CrossRef] [PubMed]
- Pérez, H.A.; López, C.A.; Cadús, L.E.; Agüero, F.N. Catalytic feasibility of Ce-doped LaCoO3 systems for chlorobenzene oxidation: An analysis of synthesis method. J. Rare Earths 2022, 40, 897–905. [Google Scholar] [CrossRef]
- Hu, P.; Liang, X.; Yaseen, M.; Sun, X.; Tong, Z.; Zhao, Z.; Zhao, Z. Preparation of highly-hydrophobic novel N-coordinated UiO-66(Zr) with dopamine via fast mechano-chemical method for (CHO-/Cl-)-VOCs competitive adsorption in humid environment. Chem. Eng. J. 2018, 332, 608–618. [Google Scholar] [CrossRef]
- Zhang, X.; Liu, Y.; Deng, J.; Zhao, X.; Zhang, K.; Yang, J.; Han, Z.; Jiang, X.; Dai, H. Three-dimensionally ordered macroporous Cr2O3−CeO2: High-performance catalysts for the oxidative removal of trichloroethylene. Catal. Today 2020, 339, 200–209. [Google Scholar] [CrossRef]
- Lin, F.; Zhang, Z.; Xiang, L.; Zhang, L.; Cheng, Z.; Wang, Z.; Yan, B.; Chen, G. Efficient degradation of multiple Cl-VOCs by catalytic ozonation over MnO catalysts with different supports. Chem. Eng. J. 2022, 435, 134807. [Google Scholar] [CrossRef]
- Wang, X.; Wang, C.; Liu, Y.; Zhang, X.; Yang, H.; Chen, Y.; Chen, H. Modification of a micro-mesoporous Ni/ZSM-5 catalyst for steam reforming of toluene. Powder Technol. 2023, 429, 118933. [Google Scholar] [CrossRef]
- Zhou, Z.; Liu, L.; Liu, X.; Zhou, Y.; Li, C.; Peng, D.; Xu, J.; Wang, C.; Cao, X.E. Direct combustion of wet/dry solution-impregnated cigarette butts for nano-FeOx synthesis: Effects of combustion conditions and NO reduction ability. Colloid. Interface Sci. Commun. 2022, 46, 100562. [Google Scholar] [CrossRef]
- Hosseini, S.A.; Niaei, A.; Salari, D.; Alvarez-Galvan, M.C.; Fierro, J.L.G. Study of correlation between activity and structural properties of Cu-(Cr, Mn and Co)2 nano mixed oxides in VOC combustion. Ceram. Int. 2014, 40, 6157–6163. [Google Scholar] [CrossRef]
- González-Cobos, J.; Mylonoyannis, B.; Chai, G.; Zhang, W.; Tian, C.; Kaddouri, A.; Gil, S. Low-temperature gas-phase toluene catalytic combustion over modified CoCr2O4 spinel catalysts: Effect of Co/Cr content and calcination temperature. Appl. Catal. A Gen. 2023, 657, 119162. [Google Scholar] [CrossRef]
- Gao, N.; Zhou, Y.; Fan, M.; Xu, H.; Chen, Y.; Shen, S. Promoting effect and role of alkaline earth metal added to ZrO2-TiO2-supported CeO2 for dichloromethane oxidation. Chem. Eng. J. 2020, 396, 125193. [Google Scholar] [CrossRef]
- Zhang, N.; Guo, Y.; Guo, Y.; Dai, Q.; Wang, L.; Dai, S.; Zhan, W. Synchronously constructing the optimal redox-acidity of sulfate and RuOx Co-modified CeO2 for catalytic combustion of chlorinated VOCs. Chem. Eng. J. 2023, 454, 140391. [Google Scholar] [CrossRef]
- Wan, J.; Yang, P.; Guo, X.; Zhou, R. Elimination of 1,2-dichloroethane over (Ce, Cr) O2/Nb2O5 catalysts: Synergistic performance between oxidizing ability and acidity. Chin. J. Catal. 2019, 40, 1100–1108. [Google Scholar] [CrossRef]
- Yang, P.; Fan, S.; Chen, Z.; Bao, G.; Zuo, S.; Qi, C. Synthesis of Nb2O5 based solid superacid materials for catalytic combustion of chlorinated VOCs. Appl. Catal. B Environ. 2018, 239, 114–124. [Google Scholar] [CrossRef]
- Huang, Q.; Xue, X.; Zhou, R. Decomposition of 1,2-dichloroethane over CeO2 modified USY zeolite catalysts: Effect of acidity and redox property on the catalytic behavior. J. Hazard. Mater. 2010, 183, 694–700. [Google Scholar] [CrossRef]
- Chen, G.; Hong, D.; Xia, H.; Sun, W.; Shao, S.; Gong, B.; Wang, S.; Wu, J.; Wang, X.; Dai, Q. Amorphous and homogeneously Zr-doped MnOx with enhanced acid and redox properties for catalytic oxidation of 1,2-Dichloroethane. Chem. Eng. J. 2022, 428, 131067. [Google Scholar] [CrossRef]
- Chai, S.; Li, S.; Li, W.; Zheng, Q.; Wang, D.; Chen, Y. Fabrication of high loading V2O5/TiO2 catalysts derived from metal-organic framework with excellent activity for chlorobenzene decomposition. Appl. Surf. Sci. 2022, 572, 151511. [Google Scholar] [CrossRef]
- Ying, Q.; Liu, Y.; Li, H.; Zhang, Y.; Wu, Z. A comparative study of the dichloromethane catalytic combustion over ruthenium-based catalysts: Unveiling the roles of acid types in dissociative adsorption and by-products formation. J. Colloid. Interface Sci. 2022, 605, 537–546. [Google Scholar] [CrossRef] [PubMed]
- Liang, W.; Zhu, Y.; Ren, S.; Li, Q.; Song, L.; Shi, X. Catalytic combustion of chlorobenzene at low temperature over Ru-Ce/TiO2: High activity and high selectivity. Appl. Catal. A Gen. 2021, 623, 118257. [Google Scholar] [CrossRef]
- Luo, Y.; Zheng, Y.; Zuo, J.; Feng, X.; Wang, X.; Zhang, T.; Zhang, K.; Jiang, L. Insights into the high performance of Mn-Co oxides derived from metal-organic frameworks for total toluene oxidation. J. Hazard. Mater. 2018, 349, 119–127. [Google Scholar] [CrossRef] [PubMed]
- Kan, J.; Deng, L.; Li, B.; Huang, Q.; Zhu, S.; Shen, S.; Chen, Y. Performance of co-doped Mn-Ce catalysts supported on cordierite for low concentration chlorobenzene oxidation. Appl. Catal. A Gen. 2017, 530, 21–29. [Google Scholar] [CrossRef]
- Feng, X.; Tian, M.; He, C.; Li, L.; Shi, J.-W.; Yu, Y.; Cheng, J. Yolk-shell-like mesoporous CoCrOx with superior activity and chlorine resistance in dichloromethane destruction. Appl. Catal. B Environ. 2020, 264, 118493. [Google Scholar] [CrossRef]
- Zhang, X.; Liu, Y.; Deng, J.; Jing, L.; Yu, X.; Han, Z.; Dai, H. Effect of transition metal oxide doping on catalytic activity of titania for the oxidation of 1,2-dichloroethane. Catal. Today 2021, 375, 623–634. [Google Scholar] [CrossRef]
- Qiu, J.; Peng, Y.; Tang, M.; Lu, S.; Li, X.; Yan, J. Catalytic activity, selectivity, and stability of co-precipitation synthesized Mn-Ce mixed oxides for the oxidation of 1,2-dichlorobenzene. Environ. Sci. Pollut. Res. Int. 2021, 28, 65416–65427. [Google Scholar] [CrossRef]
- Zhang, X.; Xu, Z.; Jiang, M.; Liu, Y.; Han, Z. A confinement strategy for constructing CexMn1−xO2 solid solutions with oxygen vacancies confined in interwoven titania nanotubes toward catalytic ozonation of 1,2-dichloroethane. J. Environ. Chem. Eng. 2023, 11, 109299. [Google Scholar] [CrossRef]
- Wang, Y.; Wu, S.; Wu, G.; Fang, N.; Chu, Y.; Guo, J. The abundant oxygen vacancies of the Co–Ce mixed oxides towards catalytic combustion toluene. Microporous Mesoporous Mater. 2022, 343, 112158. [Google Scholar] [CrossRef]
- Mao, Y.; Wang, P.; Li, L.; Chen, Z.; Wang, H.; Li, Y.; Zhan, S. Unravelling the Synergy between Oxygen Vacancies and Oxygen Substitution in BiO2−x for Efficient Molecular-Oxygen Activation. Angew. Chem. Int. Ed. 2020, 59, 3685–3690. [Google Scholar] [CrossRef]
- Liu, J.; Wang, H.; Zhang, W.; Gao, J.; Yu, Q.; Ke, J.; Wang, L. Boosting the performance of Co-doped CeO2 catalyst in the catalytic oxidation of toluene by modulating oxygen vacancies. Fuel 2023, 349, 128657. [Google Scholar] [CrossRef]










| Catalyst | CVOCs | Concentration | Gaseous Hourly Space Velocity | T90 (°C) | References |
|---|---|---|---|---|---|
| MnOx | Chlorobenzene | 500 ppm | 22,500 mL·g−1·h−1 | 301 | [24] |
| Ru/LaMnOx | Chlorobenzene | 500 ppm | 20,000 mL·g−1·h−1 | 356 | [25] |
| Pt-110Mn | Chlorobenzene | 1000 ppm | 30,000 mL·g−1·h−1 | 290 | [26] |
| La0.9Ce0.1CoO3 | Chlorobenzene | 1000 ppm | 60,000 mL·g−1·h−1 | 422 | [27] |
| 40Mn7Cr3/ZrOx-M | Chlorobenzene | 1000 ppm | 20,000 mL·g−1·h−1 | 293 | This work |
| Catalyst | SBET (m2/g) a | DP (nm) b | VP (cm3/g) c | Mn4+/Mn3+ | Cr6+/Cr3+ | Oads/Olatt | T50 (°C) | T90 (°C) |
|---|---|---|---|---|---|---|---|---|
| 40MnOx/ZrOx-M | 113.1 | 9.7 | 0.27 | - | - | - | 285 | 331 |
| 40Mn9Cr1/ZrOx-M | 136.6 | 6.3 | 0.22 | 1.53 | 0.43 | 0.56 | 274 | 311 |
| 40Mn7Cr3/ZrOx-M | 231.4 | 5.8 | 0.34 | 1.68 | 0.50 | 0.79 | 262 | 293 |
| 20Mn7Cr3/ZrOx-M | 238.9 | 5.9 | 0.35 | - | - | - | 290 | 330 |
| 60Mn7Cr3/ZrOx-M | 140.5 | 6.5 | 0.23 | - | - | - | 264 | 295 |
| 40Mn5Cr5/ZrOx-M | 172.0 | 8.3 | 0.34 | 1.78 | 0.71 | 0.59 | 269 | 296 |
| 40Mn3Cr7/ZrOx-M | 110.9 | 7.4 | 0.20 | - | - | - | 271 | 301 |
| 40Mn1Cr9/ZrOx-M | 121.5 | 7.0 | 0.21 | - | - | - | 279 | 315 |
| 40CrOx/ZrOx-M | 218.4 | 2.9 | 0.16 | - | - | - | 280 | 322 |
| ZrOx-M | - | - | - | - | - | - | >400 | >400 |
Disclaimer/Publisher’s Note: The statements, opinions and data contained in all publications are solely those of the individual author(s) and contributor(s) and not of MDPI and/or the editor(s). MDPI and/or the editor(s) disclaim responsibility for any injury to people or property resulting from any ideas, methods, instructions or products referred to in the content. |
© 2024 by the authors. Licensee MDPI, Basel, Switzerland. This article is an open access article distributed under the terms and conditions of the Creative Commons Attribution (CC BY) license (https://creativecommons.org/licenses/by/4.0/).
Share and Cite
Zhu, P.; Yuan, Q.; Li, N.; Hu, Z.; Chen, S. Catalytic Oxidation of Chlorobenzene over Amorphous Manganese-Chromium Catalysts Supported by UiO-66-Derived ZrOx. Materials 2024, 17, 2103. https://doi.org/10.3390/ma17092103
Zhu P, Yuan Q, Li N, Hu Z, Chen S. Catalytic Oxidation of Chlorobenzene over Amorphous Manganese-Chromium Catalysts Supported by UiO-66-Derived ZrOx. Materials. 2024; 17(9):2103. https://doi.org/10.3390/ma17092103
Chicago/Turabian StyleZhu, Pengfei, Qiaosen Yuan, Na Li, Zhaoxia Hu, and Shouwen Chen. 2024. "Catalytic Oxidation of Chlorobenzene over Amorphous Manganese-Chromium Catalysts Supported by UiO-66-Derived ZrOx" Materials 17, no. 9: 2103. https://doi.org/10.3390/ma17092103
APA StyleZhu, P., Yuan, Q., Li, N., Hu, Z., & Chen, S. (2024). Catalytic Oxidation of Chlorobenzene over Amorphous Manganese-Chromium Catalysts Supported by UiO-66-Derived ZrOx. Materials, 17(9), 2103. https://doi.org/10.3390/ma17092103

