Study on the Effect of Microstructure and Inclusions on Corrosion Resistance of Low-N 25Cr-Type Duplex Stainless Steel via Additive Manufacturing
Abstract
1. Introduction
2. Materials and Methods
3. Results
3.1. Microstructure
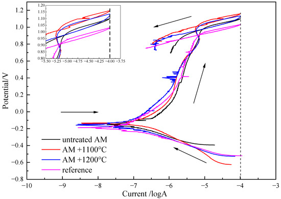
3.2. Corrosion Resistance
4. Discussion
4.1. Influence of Phase Composition and Substructure on Corrosion Resistance Properties
4.2. Effect of Inclusions on Corrosion Resistance
5. Conclusions
- (1)
- The corrosion resistance of 0.09% N 25Cr-type AM test steel after heat treatment is superior to that of S32750 duplex stainless steel with the same Cr content when hot rolled and in solid solution condition. In a 3.5% wt.% NaCl solution, the combination value of film resistance and charge transfer resistance of AM samples in solid solution at 1100 °C and 1200 °C was 5.5 times and 3.2 times that of conventional S32750 duplex stainless steel, respectively; the pitting potential was 128.5 mV and 103.4 mV higher, respectively;
- (2)
- The disappearance of residual thermal stress and the reasonable distribution of Cr and N elements in the two phases are the reasons for the improvement of the corrosion resistance of AM duplex stainless steel after heat treatment. When the heat treatment temperature decreased from 1200 °C to 1100 °C, the austenite phase morphology changed from intercrystalline austenite to intercrystalline and intragranular austenite. The Cr and N contents in intragranular austenite were both higher than those in the intercrystalline austenite, also leading to further enrichment of Cr elements in the ferrite and enhancing the corrosion resistance of AM DSSs;
- (3)
- The influence of inclusions on corrosion resistance of DSSs is more obvious than PREN value. Unlike the large particle inclusions commonly found in duplex stainless steel prepared by conventional processes, the oxygen in AM samples only exists in nanoscale Mn and Cr oxides due to the particularity of AM technology. The extremely high purity of AM duplex stainless steel with no visible inclusions resulted in a higher corrosion resistance exhibited at lower PREN values.
Author Contributions
Funding
Institutional Review Board Statement
Informed Consent Statement
Data Availability Statement
Conflicts of Interest
References
- Freitas, B.J.M.; Rodrigues, L.C.M.; Claros, C.A.E.; Botta, W.J.; Koga, G.Y.; Bolfarini, C. Ferritic-Induced High-Alloyed Stainless Steel Produced by Laser Powder Bed Fusion (L-PBF) of 2205 Duplex Stainless Steel: Role of Microstructure, Corrosion, and Wear Resistance. J. Alloy. Compd. 2022, 918, 165576. [Google Scholar] [CrossRef]
- Ha, H.; Kang, J.; Lee, T.; Park, H.; Kim, H. Effect of Grain Size on the Pitting Corrosion Resistance of Lean Duplex Stainless Steel. Steel Res. Int. 2023, 94, 2200227. [Google Scholar] [CrossRef]
- Mondal, R.; Bonagani, S.K.; Raut, P.; Kumar, S.; Sivaprasad, P.V.; Chai, G.; Kain, V.; Samajdar, I. Dynamic Recrystallization and Phase-Specific Corrosion Performance in a Super Duplex Stainless Steel. J. Mater. Eng. Perform. 2022, 31, 1478–1492. [Google Scholar] [CrossRef]
- Wu, X.; Song, Z.; Liu, L.; He, J.; Zheng, L. Effect of Secondary Austenite on Fatigue Behavior of S32750 Super Duplex Stainless Steel. Mater. Lett. 2022, 322, 132487. [Google Scholar] [CrossRef]
- Yang, Y.; Pan, X. Effect of Mn/N Ratio on Microstructure and Mechanical Behavior of Simulated Welding Heat Affected Zone in 22% Cr Lean Duplex Stainless Steel. Mater. Sci. Eng. A 2022, 835, 142676. [Google Scholar] [CrossRef]
- Zhi-gang, S.H.F.S. Development of Chinese Duplex Stainless Steel in Recent Years. J. Iron Steel Res. Int. 2017, 24, 121–130. [Google Scholar]
- Chen, M.; He, J.; Li, J.; Liu, H.; Xing, S.; Wang, G. Excellent Cryogenic Strength-Ductility Synergy in Duplex Stainless Steel with Heterogeneous Lamella Structure. Mater. Sci. Eng. A 2022, 831, 142335. [Google Scholar] [CrossRef]
- Abedi, H.R.; Hanzaki, A.Z.; Azami, M.; Kahnooji, M.; Rahmatabadi, D. The High Temperature Flow Behavior of Additively Manufactured Inconel 625 Superalloy. Mater. Res. Express 2019, 6, 116514. [Google Scholar] [CrossRef]
- Jiang, D.; Birbilis, N.; Hutchinson, C.R.; Brameld, M. On the Microstructure and Electrochemical Properties of Additively Manufactured Duplex Stainless Steels Produced Using Laser-Powder Bed Fusion. Corrosion 2020, 76, 871–883. [Google Scholar] [CrossRef]
- Núñez De La Rosa, Y.E.; Palma Calabokis, O.; Borges, P.C.; Ballesteros Ballesteros, V. Effect of Low-Temperature Plasma Nitriding on Corrosion and Surface Properties of Duplex Stainless Steel UNS S32205. J. Mater. Eng. Perform. 2020, 29, 2612–2622. [Google Scholar] [CrossRef]
- Iams, A.D.; Keist, J.S.; Palmer, T.A. Formation of Austenite in Additively Manufactured and Post-Processed Duplex Stainless Steel Alloys. Metall. Mater. Trans. A Phys. Metall. Mater. Sci. 2020, 51, 982–999. [Google Scholar] [CrossRef]
- Yan, F.; Xiong, W.; Faierson, E.; Olson, G.B. Characterization of Nano-Scale Oxides in Austenitic Stainless Steel Processed by Powder Bed Fusion. Scr. Mater. 2018, 155, 104–108. [Google Scholar] [CrossRef]
- Zhang, J.; Dong, H.; Xi, X.; Tang, H.; Li, X.; Rao, J.H.; Xiao, Z. Enhanced Mechanical Performance of Duplex Stainless Steels Via Dense Core-Shell Nano-Inclusions In-Situ Formed upon Selective Laser Melting. Scr. Mater. 2023, 237, 115711. [Google Scholar] [CrossRef]
- Haghdadi, N.; Laleh, M.; Chen, H.; Chen, Z.; Ledermueller, C.; Liao, X.; Ringer, S.; Primig, S. On the Pitting Corrosion of 2205 Duplex Stainless Steel Produced by Laser Powder Bed Fusion Additive Manufacturing in the As-Built and Post-Processed Conditions. Mater. Des. 2021, 212, 110260. [Google Scholar] [CrossRef]
- Laleh, M.; Haghdadi, N.; Hughes, A.E.; Primig, S.; Tan, M.Y.J. Enhancing the Repassivation Ability and Localised Corrosion Resistance of an Additively Manufactured Duplex Stainless Steel by Post-Processing Heat Treatment. Corros. Sci. 2022, 198, 110106. [Google Scholar] [CrossRef]
- Gor, M.; Soni, H.; Wankhede, V.; Sahlot, P.; Grzelak, K.; Szachgluchowicz, I.; Kluczyński, J. A Critical Review on Effect of Process Parameters on Mechanical and Microstructural Properties of Powder-Bed Fusion Additive Manufacturing of SS316L. Materials 2021, 14, 6527. [Google Scholar] [CrossRef] [PubMed]
- Zhang, D.; Liu, A.; Yin, B.; Wen, P. Additive Manufacturing of Duplex Stainless Steels—A Critical Review. J. Manuf. Process. 2022, 73, 496–517. [Google Scholar] [CrossRef]
- Zhang, Y.; Cheng, F.; Wu, S. Improvement of Pitting Corrosion Resistance of Wire Arc Additive Manufactured Duplex Stainless Steel through Post-Manufacturing Heat-Treatment. Mater. Charact. 2021, 171, 110743. [Google Scholar] [CrossRef]
- He, J.; Lv, J.; Song, Z.; Wang, C.; Feng, H.; Wu, X.; Zhu, Y.; Zheng, W. Maintaining Excellent Mechanical Properties via Additive Manufacturing of Low-N 25Cr-Type Duplex Stainless Steel. Materials 2023, 16, 7125. [Google Scholar] [CrossRef]
- Zhu, M.; Zhang, Q.; Yuan, Y.; Guo, S. Effect of Microstructure and Passive Film on Corrosion Resistance of 2507 Super Duplex Stainless Steel Prepared by Different Cooling Methods in Simulated Marine Environment. Int. J. Miner. Metall. Mater. 2020, 27, 1100–1114. [Google Scholar] [CrossRef]
- Kocijan, A.; Merl, D.K.; Jenko, M. The Corrosion Behaviour of Austenitic and Duplex Stainless Steels in Artificial Saliva with the Addition of Fluoride. Corros. Sci. 2011, 53, 776–783. [Google Scholar] [CrossRef]
- Ming, J.; Shi, J. Chloride Resistance of Cr-bearing Alloy Steels in Carbonated Concrete Pore Solutions. Int. J. Miner. Metall. Mater. 2020, 27, 494–504. [Google Scholar] [CrossRef]
- Moshtaghi, M.; Eškinja, M.; Mori, G.; Griesser, T.; Safyari, M.; Cole, I. The Effect of HPAM Polymer for Enhanced Oil Recovery on Corrosion Behaviour of a Carbon Steel and Interaction with the Inhibitor Under Simulated Brine Conditions. Corros. Sci. 2023, 217, 111118. [Google Scholar] [CrossRef]
- Li, B.; Qu, H.; Lang, Y.; Feng, H.; Chen, Q.; Chen, H. Copper Alloying Content Effect on Pitting Resistance of Modified 00Cr20Ni18Mo6CuN Super Austenitic Stainless Steels. Corros. Sci. 2020, 173, 108791. [Google Scholar] [CrossRef]
- Zhang, J.; Zhu, Y.; Xi, X.; Xiao, Z. Altered Microstructure Characteristics and Enhanced Corrosion Resistance of UNS S32750 Duplex Stainless Steel Via Ultrasonic Surface Rolling Process. J. Mater. Process. Tech. 2022, 309, 117750. [Google Scholar] [CrossRef]
- Han, Y.; Liu, Z.; Wu, C.; Zhao, Y.; Zu, G.; Zhu, W.; Ran, X. A Short Review on the Role of Alloying Elements in Duplex Stainless Steels. Tungsten 2022, 5, 419–439. [Google Scholar] [CrossRef]
- Zhang, Y.; Wu, S.; Cheng, F. A Specially-Designed Super Duplex Stainless Steel with Balanced Ferrite: Austenite Ratio Fabricated Via Flux-Cored Wire Arc Additive Manufacturing: Microstructure Evolution, Mechanical Properties and Corrosion Resistance. Mater. Sci. Eng. A 2022, 854, 143809. [Google Scholar] [CrossRef]
- Biserova-Tahchieva, A.; Biezma-Moraleda, M.V.; Llorca-Isern, N.; Gonzalez-Lavin, J.; Linhardt, P. Additive Manufacturing Processes in Selected Corrosion Resistant Materials: A State of Knowledge Review. Materials 2023, 16, 1893. [Google Scholar] [CrossRef] [PubMed]
- Ko, G.; Kim, W.; Kwon, K.; Lee, T. The Corrosion of Stainless Steel Made by Additive Manufacturing: A Review. Metals 2021, 11, 516. [Google Scholar] [CrossRef]
- Tavares, S.S.M.; Gonzaga, A.C.; Pardal, J.M.; Conceição, J.N.; Correa, E.O. Nitrides Precipitation and Preferential Pitting Corrosion of Ferrite Phase in UNS S39274 Superduplex Stainless Steel. Metallogr. Microstruct. Anal. 2020, 9, 685–694. [Google Scholar] [CrossRef]
- David, C.; Ruel, F.; Krajcarz, F.; Boissy, C.; Saedlou, S.; Vignal, V. Effect of Grain Size on the Anodic Dissolution of Lean Duplex UNS S32202 Austenitic-Ferritic Stainless Steel. Corrosion 2019, 75, 1450–1460. [Google Scholar] [CrossRef] [PubMed]
- Koga, N.; Noguchi, M.; Watanabe, C. Low-Temperature Tensile Properties, Deformation and Fracture Behaviors in the Ferrite and Austenite Duplex Stainless Steel with Various Grain Sizes. Mater. Sci. Eng. A 2023, 880, 145354. [Google Scholar] [CrossRef]
- Mondal, R.; Rajagopal, A.; Bonagani, S.K.; Prakash, A.; Fuloria, D.; Sivaprasad, P.V.; Chai, G.; Kain, V.; Samajdar, I. Solution Annealing of Super Duplex Stainless Steel: Correlating Corrosion Performance with Grain Size and Phase-Specific Chemistry. Metall. Mater. Trans. A Phys. Metall. Mater. Sci. 2020, 51, 2480–2494. [Google Scholar] [CrossRef]
- Wroński, S.; Tarasiuk, J.; Bacroix, B.; Baczmański, A.; Braham, C. Investigation of Plastic Deformation Heterogeneities in Duplex Steel by EBSD. Mater. Charact. 2012, 73, 52–60. [Google Scholar] [CrossRef]
- Saeidi, K.; Kevetkova, L.; Lofaj, F.; Shen, Z. Novel Ferritic Stainless Steel Formed by Laser Melting from Duplex Stainless Steel Powder with Advanced Mechanical Properties and High Ductility. Mater. Sci. Eng. A 2016, 665, 59–65. [Google Scholar] [CrossRef]
- Gao, J.; Jiang, Y.; Deng, B.; Ge, Z.; Li, J. Determination of Pitting Initiation of Duplex Stainless Steel Using Potentiostatic Pulse Technique. Electrochim. Acta 2010, 55, 4837–4844. [Google Scholar] [CrossRef]
- Garfias, L.F.; Siconolfi, D.J. In Situ High-Resolution Microscopy on Duplex Stainless Steels. J. Electrochem. Soc. 2000, 147, 2525–2531. [Google Scholar] [CrossRef]










| Cr | Ni | Mo | N | Mn | O | Si | C | PREN | |
|---|---|---|---|---|---|---|---|---|---|
| AM powder | 24.70 | 6.52 | 3.74 | 0.098 | 0.55 | 0.028 | 0.35 | 0.0050 | 38.6 |
| S32750 | 25.39 | 6.72 | 3.71 | 0.28 | 0.40 | 0.0022 | 0.43 | 0.020 | 42.1 |
| Rs (Ω cm2) | Qf (μF/cm2) | Rf (Ωcm2) | Qdl (μF/cm2) | Rct (Ωcm2) | Rf + Rct (Ωcm2) | |||
|---|---|---|---|---|---|---|---|---|
| Y0 | n | Y0 | n | |||||
| Untreated AM | 6.53 | 91.97 | 0.855 | 1.82 × 104 | 12.25 | 0.978 | 1.27 × 105 | 1.46 × 105 |
| AM + 1100 °C | 5.56 | 13.82 | 1.000 | 7.85 | 34.82 | 0.827 | 9.31 × 105 | 9.31 × 105 |
| AM + 1200 °C | 6.16 | 17.95 | 1.000 | 11.12 | 35.7 | 0.805 | 5.22 × 105 | 5.22 × 105 |
| Reference | 6.06 | 80.08 | 0.874 | 2.76 × 104 | 9.959 | 1.000 | 1.41 × 105 | 1.68 × 105 |
| Ecorr/mV | Icorr/μA | Ep/mV | Ep-Ecorr/mV | Er/mV | Ep-Er/mV | |
|---|---|---|---|---|---|---|
| Untreated AM | −153.46 | 0.282 | 1100.75 | 1254.21 | 972.84 | 127.91 |
| AM + 1100 °C | −134.99 | 0.293 | 1160.33 | 1295.32 | 1008.97 | 151.36 |
| AM + 1200 °C | −142.91 | 0.265 | 1135.19 | 1278.10 | 985.91 | 149.28 |
| Reference | −189.34 | 0.272 | 1031.80 | 1221.14 | 909.27 | 122.53 |
| Spot | Phase | The Element Content (wt.%) | ||||||
|---|---|---|---|---|---|---|---|---|
| Ni | Cr | Mo | Mn | C | N | Fe | ||
| 1 | Ferrite | 6.63 | 25.30 | 3.65 | 0.48 | 0.64 | 0.15 | Bal. |
| 2 | Intercrystalline austenite | 8.87 | 22.33 | 2.74 | 0.41 | 0.43 | 0.61 | Bal. |
| 3 | Ferrite | 6.32 | 25.69 | 3.67 | 0.43 | 0.60 | 0.05 | Bal. |
| 4 | Intercrystalline austenite | 8.33 | 22.59 | 2.81 | 0.64 | 0.54 | 0.36 | Bal. |
| 5 | Intragranular austenite | 7.00 | 24.65 | 3.25 | 0.75 | 0.51 | 0.41 | Bal. |
| 6 | Ferrite | 6.07 | 25.99 | 3.72 | 0.52 | 0.59 | 0.06 | Bal. |
Disclaimer/Publisher’s Note: The statements, opinions and data contained in all publications are solely those of the individual author(s) and contributor(s) and not of MDPI and/or the editor(s). MDPI and/or the editor(s) disclaim responsibility for any injury to people or property resulting from any ideas, methods, instructions or products referred to in the content. |
© 2024 by the authors. Licensee MDPI, Basel, Switzerland. This article is an open access article distributed under the terms and conditions of the Creative Commons Attribution (CC BY) license (https://creativecommons.org/licenses/by/4.0/).
Share and Cite
Gu, Y.; Lv, J.; He, J.; Song, Z.; Wang, C.; Feng, H.; Wu, X. Study on the Effect of Microstructure and Inclusions on Corrosion Resistance of Low-N 25Cr-Type Duplex Stainless Steel via Additive Manufacturing. Materials 2024, 17, 2068. https://doi.org/10.3390/ma17092068
Gu Y, Lv J, He J, Song Z, Wang C, Feng H, Wu X. Study on the Effect of Microstructure and Inclusions on Corrosion Resistance of Low-N 25Cr-Type Duplex Stainless Steel via Additive Manufacturing. Materials. 2024; 17(9):2068. https://doi.org/10.3390/ma17092068
Chicago/Turabian StyleGu, Yang, Jiesheng Lv, Jianguo He, Zhigang Song, Changjun Wang, Han Feng, and Xiaohan Wu. 2024. "Study on the Effect of Microstructure and Inclusions on Corrosion Resistance of Low-N 25Cr-Type Duplex Stainless Steel via Additive Manufacturing" Materials 17, no. 9: 2068. https://doi.org/10.3390/ma17092068
APA StyleGu, Y., Lv, J., He, J., Song, Z., Wang, C., Feng, H., & Wu, X. (2024). Study on the Effect of Microstructure and Inclusions on Corrosion Resistance of Low-N 25Cr-Type Duplex Stainless Steel via Additive Manufacturing. Materials, 17(9), 2068. https://doi.org/10.3390/ma17092068

