Experimental Study on Dynamic Mechanical Performance of Post-Fire Concrete Confined by CFRP Sheets
Abstract
1. Introduction
2. Experimental Program
2.1. Test Specimens
2.2. Experimental Method
2.3. Test Setup
3. Experimental Results
3.1. Failure Modes
3.2. Dynamic Stress-Strain Curves
4. Experimental Parameter Analysis
4.1. Temperature
4.2. CFRP Confinement
4.3. Strain Rate
5. Theoretical Analysis
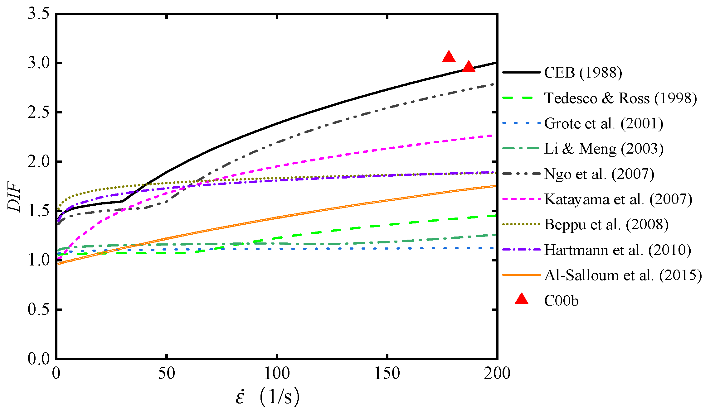
5.1. Summary of DIF Models
- (1)
- CEB model [13]:
- (2)
- Tedesco & Ross model [14]:
- (3)
- Grote et al. model [15]:
- (4)
- Li & Meng model [11]:
- (5)
- Ngo et al. model [16]:
- (6)
- Katayama et al. model [17]:
- (7)
- Beppu et al. model [18]:
- (8)
- Hartmann et al. model [19]:
- (9)
- Al-Salloum et al. model [12]:
5.2. Simplified Model for Dynamic Compressive Strength
6. Conclusions
- Temperature exposure leads to a negative effect on the compressive strength and initial stiffness of concrete, while it results in the increased ultimate strain and the flat stress-strain curve. In addition, strain rate leads to a positive effect on the compressive strength and initial stiffness of concrete, with a decreasing effect on the ultimate strain at low temperatures and an increasing effect at high temperatures, resulting in a steeper stress-strain curve. Moreover, the number of CFRP layers increases the compressive strength and ultimate strain of concrete, without significantly affecting the initial stiffness, and elongates the stress-strain curve, significantly enhancing the dynamic energy dissipation capacity at the interface.
- Owing to combined effects of temperature, strain rate, and CFRP confinement, the softening effect of temperature has the least influence, while the strain rate strengthening effect has a secondary influence, and CFRP confinement effect has the tremendous influence. The mechanisms of the latter two are different and affect different points on the stress-strain curve. The strain rate effect primarily acts in the early loading stage, influencing the first peak point of the stress-strain curve. CFRP confinement effect primarily acts in the later loading stage, influencing the second peak point of the stress-strain curve. Both CFRP confinement effect and the temperature effect reduce the strain rate sensitivity of concrete.
- Based on the existing models, a simplified model for the dynamic compressive strength of post-fire concrete confined by CFRP sheets is proposed by considering the temperature effect together with the concrete strain rate effect and CFRP confinement effect. Through comparison with experimental values, its accuracy and practicality are verified. The research results of this paper can be used as reference for engineering emergency repair after fire accidents.
Author Contributions
Funding
Institutional Review Board Statement
Informed Consent Statement
Data Availability Statement
Acknowledgments
Conflicts of Interest
References
- Teng, J.G.; Chen, J.F.; Smith, S.T.; Lin, L. Strengthened RC Structures by FRP; China Architecture & Building Press: Beijing, China, 2005. [Google Scholar]
- Liu, J.Y.; Huo, J.S.; Liu, Y.Z. Experimental study on the mechanical performance of post-fire concrete confined by CFRP sheets. Eng. Mech. 2017, 34, 158–166. [Google Scholar] [CrossRef]
- Li, L.; Chen, Y.; He, C.; Wang, C.; Zhang, H.; Wang, Q.; Liu, Y.; Zhang, G. Recovery Behavior of the Macro-Cracks in Elevated Temperature-Damaged Concrete after Post-Fire Curing. Materials 2022, 15, 5673. [Google Scholar] [CrossRef] [PubMed]
- Yu, Z.W.; Ding, F.X.; Luo, J.P. Experimental research on mechanical performance of different type of concrete after high temperature. J. Saf. Environ. 2005, 5, 1–6. [Google Scholar]
- Li, W.; Guo, Z.H. Experimental investigation of strength and deformation of concrete at elevated temperature. J. Build. Struct. 1993, 1, 8–16. [Google Scholar]
- Guo, Z.H.; Shi, X.D. Performance and Calculation of Reinfored Concrete at Elevated Temperatures; Tsinghua University Press: Beijing, China, 2003. [Google Scholar]
- Hu, S.S. Technique of Split Hopkinson Pressure Bar. Ordnance Mater. Sci. Eng. 1991, 11, 40–47. [Google Scholar]
- Wang, H.T.; Huo, J.S.; Liu, Y.Z. Experimental study on dynamic tensile performance of Q345 structural steel considering thickness differences. Structures 2023, 47, 891–910. [Google Scholar] [CrossRef]
- Wang, L.L. Foundation of Stress Waves; National Defense Industry Press: Beijing, China, 2010. [Google Scholar]
- Gurbuz, T.; Ilki, A.; Thambiratnam, D.P.; Perera, N. Low-Elevation Impact Tests of Axially Loaded Reinforced Concrete Columns. ACI Struct J. 2019, 116, 117–128. [Google Scholar] [CrossRef]
- Li, Q.M.; Meng, H. About the dynamic strength enhancement of concrete-like materials in a split Hopkinson pressure bar test. Int. J. Solids Struct. 2003, 40, 343–360. [Google Scholar] [CrossRef]
- Al-Salloum, Y.; Almusallam, T.; Ibrahim, S.M.; Abbas, H.; Alsayed, S. Rate dependment behavior and modeling of concrete based on SHPB experiments. Cem. Concr. Compos. 2015, 55, 34–44. [Google Scholar] [CrossRef]
- CEB Concrete Structures under Impact and Impulsive Loading; Synthesis Report, Bulletin d’ information No.187; Comite Euro-International du Beton: Lausanne, Switzerland, 1988; pp. 205–206.
- Tedesco, J.W.; Ross, C.A. Strain-rate dependent constitutive equations for concrete. J. Press. Vessel Technol. 1998, 120, 398–405. [Google Scholar] [CrossRef]
- Grote, D.L.; Park, S.W.; Zhou, M. Dynamic behavior of concrete at high strain-rates and pressures. Int. J. Impact Eng. 2001, 25, 869–886. [Google Scholar] [CrossRef]
- Ngo, T.; Mendis, P.; Krauthammer, T. Behavior of ultra high strength prestressed concrete panels subjected to blast loading. J. Struct. Eng. 2007, 133, 1582–1590. [Google Scholar] [CrossRef]
- Katayama, M.; Itoh, M.; Tamura, S.; Beppu, M.; Ohno, T. Numerical analysis method for the RC and geological structures subjected to extreme loading by energetic materials. Int. J. Impact Eng. 2007, 34, 1546–1561. [Google Scholar] [CrossRef]
- Beppu, M.; Miwa, K.; Itoh, M.; Katayama, M.; Ohno, T. Damage evaluation of concrete plates by high-velocity impact. Int. J. Impact Eng. 2008, 35, 1419–1426. [Google Scholar] [CrossRef]
- Hartmann, T.; Pietzsch, A.; Gebbeken, N. A hydrocode material model for concrete. Int. J. Prot. Struct. 2010, 4, 443–468. [Google Scholar] [CrossRef]
- Lam, L.; Teng, J.G. Design-oriented stress-strain model for FRP-confined concrete. Constr. Build. Mater. 2003, 17, 471–489. [Google Scholar] [CrossRef]
- Lam, L.; Teng, J.G. Strength models for fiber-reinforced plastic-confined concrete. J. Struct. Eng. 2002, 128, 612–623. [Google Scholar] [CrossRef]
- Ozbakkaloglu, T.; Lim, J.C.; Vincent, T. FRP-confined concrete in circular sections: Review and assessment of stress-strain models. Eng. Struct. 2013, 49, 1068–1088. [Google Scholar] [CrossRef]
- Alhawamdeh, M.; Alqam, M. Behaviour Assessment of Reinforced Concrete Columns Externally Rehabilitated with Carbon Fiber-Reinforced Polymers (CFRPs) Subjected to Eccentric Loadings. Jordan J. Civ. Eng. 2020, 14, 1–13. [Google Scholar]
- Tang, Y.; Lu, X.W.; Wei, Y. Experimental Study on Compressive Behavior of Concrete Cylinders Confined by a Novel Hybrid Fiber-Reinforced Polymer Spiral. Polymers 2022, 14, 4750. [Google Scholar] [CrossRef]
- Karouche, A.; Hebbache, K.; Belebchouche, C.; Lahbari, N.; Kessal, O.; Czarnecki, S. External Confined Concrete Cylinders Behavior under Axial Compression Using CFRP Wrapping. Materials 2022, 15, 8232. [Google Scholar] [CrossRef] [PubMed]
- Aman, S.S.; Mohammed, B.S.; Wahab, M.A.; Anwar, A. Performance of reinforced concrete slab with opening strengthened using CFRP. Fibers 2020, 8, 25. [Google Scholar] [CrossRef]
- Liang, J.F.; Zou, W.J.; Li, W.; Liu, D. Behaviour of CFRP strips confined partially encased concrete columns under axial compressive load. Compos. Struct. 2021, 275, 114468. [Google Scholar] [CrossRef]
- Liang, J.; Zou, W.; Li, W.; Liu, D. Compressive behavior of CFRP-confined partially encased concrete columns under axial loading. Compos. Struct. 2019, 229, 111479. [Google Scholar] [CrossRef]
- Babba, R.; Merdas, A. Width Effect of CFRP Strips on the Compressive Behavior of Plain Concrete Cylinders. Iran. J. Sci. Technol. Trans. Civ. Eng. 2020, 44, 921–929. [Google Scholar] [CrossRef]
- Ismail, R.; Rashid, R.S.M.; Chan, W.C.; Jaafar, M.S.; Hejazi, F. Compressive behavior of concrete cylinder fully and partially confined by carbon fibre-reinforced polymer (CFRP). Constr. Build. Mater. 2019, 201, 196–206. [Google Scholar] [CrossRef]
- Zhang, B.C.; Pan, J.L.; Jiang, H.B. Computation of strength for FRP confined concrete under fast loading. J. Harbin Inst. Technol. 2003, 35, 958–961. [Google Scholar]
- Zhang, B.C.; Pan, J.L. Stress-strain relation of FRP confined concrete subjected to fast load. Explos. Shock Waves 2003, 23, 466–471. [Google Scholar]
- Yang, H.; Xiao, Y.; Yuan, L. Experimental study on dynamic compressive mechanic properties for AFRP confined concrete. Earthq. Resist. Eng. Retrofit. 2012, 34, 17–21. [Google Scholar]
- Guedes, R.M.; Moura de MF, S.F.; Ferreira FJ, F. Failure analysis of quasi-isotropic CFRP laminates under high strain rate compression loading. Compos. Struct. 2008, 84, 362–368. [Google Scholar] [CrossRef]
- Swesi, A.O.; Cotsovos, D.M.; Val, D.V. Effect of CFRP strengthening on response of RC columns to lateral static and impact loads. Compos. Struct. 2022, 287, 115356. [Google Scholar] [CrossRef]
- Liu, Y.H.; Dong, A.R.; Zhao, S.C.; Zeng, Y.; Wang, Z. The effect of CFRP-shear strengthening on existing circular RC columns under impact loads. Constr. Build. Mater. 2021, 302, 124185. [Google Scholar] [CrossRef]
- Xu, J.J.; Demartino, C.; Shan, B.; Heo, Y.A.; Xiao, Y. Experimental investigation on performance of cantilever CFRP-wrapped circular RC columns under lateral low-velocity impact. Compos. Struct. 2020, 242, 112143. [Google Scholar] [CrossRef]
- Ali, J.; Yehya, T.; Jamal, K.; Osama, B.; Said, K. The behavior of CFRP strengthened RC beams subjected to blast loading. Mag. Civ. Eng. 2021, 103, 10309. [Google Scholar]
- Yan, J.B.; Liu, Y.; Xu, Z.X.; Li, Z.; Huang, F.L. Experimental and numerical analysis of CFRP strengthened RC columns subjected to close-in blast loading. Int. J. Impact Eng. 2020, 146, 103720. [Google Scholar] [CrossRef]
- Hu, Y.; Chen, L.; Fang, Q.; Kong, X.Z.; Shi, Y.C.; Cui, J. Study of CFRP retrofitted RC column under close-in explosion. Eng. Struct. 2021, 227, 111431. [Google Scholar] [CrossRef]
- Khalil, A.B.; Liu, Y.H.; Zhao, S.C.; Hussein, A.; Han, D.G.; Xu, N.; Yang, L.; Yan, X.Y. Effect of the axial load on the dynamic response of the wrapped CFRP reinforced concrete column under the asymmetrical lateral impact load. PLoS ONE 2023, 18, 0284238. [Google Scholar]
- JGJ 55-2011; Specification for Mix Proportion Design of Ordinary Concrete. General Administration of Quality Supervision, Inspection and Quarantine & Standardization Administration of China: Beijing, China, 2011.
- GB/T 50081-2002Standard for Test Method of Mechanical Performance on Ordinary Concrete, General Administration of Quality Supervision, Inspection and Quarantine & Standardization Administration of China: Beijing, China, 2002.
- GB/T 3354-1999; Test Method for Tensile Properties of Oriented Fiber Reinforced Plastics. General Administration of Quality Supervision, Inspection and Quarantine & Standardization Administration of China: Beijing, China, 1999.
- Wu, Y.P.; Wu, B. Residual compressive strength and freeze-thaw resistance of ordinary concrete after high temperature. Constr. Build. Mater. 2014, 54, 596–604. [Google Scholar] [CrossRef]
- T/CECS 146-2003; Technical Specification for Strengthening Concrete Structures with Carbon Fiber Reinforced Polymer Laminate. General Administration of Quality Supervision, Inspection and Quarantine & Standardization Administration of China: Beijing, China, 2003.
- Shang, B.; Wu, L.P.; Zhuang, Z. The effect of stress heterogeneous on test data of concrete using SHPB. Eng. Mech. 2011, 28, 33–37. [Google Scholar]
- Naghdabadi, R.; Ashrafi, M.J.; Arghavani, J. Experimental and numerical investigation of pulse-shaped split Hopkinson pressure bar test. Mater. Sci. Eng. A 2012, 539, 285–293. [Google Scholar] [CrossRef]
- Li, X.B.; Zou, Y.; Zhou, Z.L. Numerical simulation of the rock SHPB test with a special shape striker based on the discrete element method. Rock Mech. Rock Eng. 2014, 47, 1693–1709. [Google Scholar] [CrossRef]
- Zhou, J.K.; Chen, X.D. Stress-strain behavior and statistical continuous damage model of cement motar under high strain rates. J. Mater. Civ. Eng. 2013, 25, 120–130. [Google Scholar] [CrossRef]
- Zhang, M.; Wu, H.J.; Li, Q.M.; Huang, F.L. Further investigation on the dynamic compressive strength enhancement of concrete-like materials based on split Hopkinson pressure bar tests. Part 1: Experiments. Int. J. Impact Eng. 2009, 36, 1327–1334. [Google Scholar] [CrossRef]
- Wang, S.; Zhang, M.H.; Quek, S.T. Effect of specimen size on static strength in dynamic increase factor of high-strength concrete strength from SHPB test. J. Test. Eval. 2011, 39, 898–907. [Google Scholar] [CrossRef]
- Wang, J.; Ren, Z.; Yang, S.; Ning, J.; Zhang, S.; Bian, Y. The influence of the strain rate and prestatic stress on the dynamic mechanical performance of sandstone—A case study from China. Materials 2023, 16, 3591. [Google Scholar] [CrossRef]
- Yang, H.; Song, H.W.; Zhang, S. Experimental investigation of the behavior of aramid fiber reinforced polymer confined concrete subjected to high strain-rate compression. Constr. Build. Mater. 2015, 95, 143–151. [Google Scholar] [CrossRef]
- Ning, J.G.; Shang, L.; Sun, Y.X. The developments of dynamic constitutive behavior of concrete. Adv. Mech. 2006, 3, 389–405. [Google Scholar]
- Xia, Y.M.; Yuan, J.M.; Yang, B.C. Theory of the statistical constitutive model of strain rate dependence of the fiber and its experimental study. Acta Mater. Compos. Sin. 1993, 10, 17–24. [Google Scholar]
- Pan, J.L.; Zhang, B.C.; Jin, X.N. Axial stress-strain relation of FRP confined concrete under rapid loading. Ind. Constr. 2004, 8, 155–162. [Google Scholar]
- Huo, J.; Liu, J.; Dai, X.; Yang, J.; Lu, Y.; Xiao, Y.; Monti, G. Experimental Study on Dynamic Behavior of CFRP-to-concrete interface. ASCE J. Compos. Constr. 2016, 118, 04016026. [Google Scholar] [CrossRef]
- Tin, H.X.; Thuy, N.T.; Seo, S.Y. Structural behavior of RC column confined by FRP sheet under uniaxial and biaxial load. Polymers 2022, 14, 75. [Google Scholar] [CrossRef] [PubMed]
- NadimiShahraki, K.; Reisi, M. Stress-strain based method for analysis and design of FRP wrapped reinforced concrete columns. Structures 2020, 28, 1818–1830. [Google Scholar] [CrossRef]
- Al-Nimry, H.S.; Al-Rabadi, R.A. Axial-flexural interaction in FRP-wrapped RC columns. Int. J. Concr. Struct. Mater. 2019, 13, 1–19. [Google Scholar] [CrossRef]











| Specimen Number | Specimen Size | T (°C) | n (Layer) | v (m/s) | (s−1) | fS (MPa) | fS,ave (MPa) | εS | εS,ave | SS (MPa) | SS,ave (MPa) |
|---|---|---|---|---|---|---|---|---|---|---|---|
| ΦD(mm) × L(mm) | |||||||||||
| C000−1 | Φ94.1×279 | 20 | 0 | 0 | 6 × 10−4 | 28.34 | 28.06 | 0.0020 | 0.0022 | 0.030 | 0.0034 |
| C000−2 | Φ94.6×280 | 6 × 10−4 | 27.77 | 0.0023 | 0.038 |
| Specimen Number | Specimen Size | T (°C) | n (Layer) | v (m/s) | (s−1) | fCTD (MPa) | εCTD | SCTD (MPa) | fCTD,ave/ fS,ave | εCTD,ave/ εS,ave | SCTD,ave/ SS,ave | ||||
|---|---|---|---|---|---|---|---|---|---|---|---|---|---|---|---|
| ΦD(mm) × L(mm) | fCTD1 | fCTD2 | fCTD,ave | εCTD1 | εCTD2 | εCTD,ave | |||||||||
| C00b−1 | Φ93.2 × 50.4 | 20 | 0 | 11.5 | 178 | 85.49 | - | 85.49 | 0.0047 | - | 0.0047 | 0.283 | 3.05 | 2.14 | 83.24 |
| C00b−2 | Φ93.7 × 51.1 | 0 | 11.5 | 187 | 82.74 | - | 82.74 | 0.0045 | - | 0.0045 | 0.265 | 2.95 | 2.05 | 77.94 | |
| C01a−1 | Φ96.1 × 44.3 | 1 | 7.5 | 84 | 54.04 | 81.13 | 67.59 | 0.0026 | 0.0155 | 0.0091 | 0.950 | 2.41 | 4.11 | 279.41 | |
| C01a−2 | Φ96.1 × 46.6 | 1 | 7.5 | 86 | 52.22 | 75.79 | 64.01 | 0.0035 | 0.0119 | 0.0077 | 0.667 | 2.28 | 3.50 | 196.18 | |
| C01b−1 | Φ96.5 × 51.1 | 1 | 11.5 | 160 | 89.27 | 81.55 | 85.41 | 0.0049 | 0.0111 | 0.0080 | 0.813 | 3.04 | 3.64 | 89.12 | |
| C01b−2 | Φ95.8 × 48.8 | 1 | 11.5 | 167 | 85.79 | 71.10 | 78.45 | 0.0062 | 0.0149 | 0.0106 | 1.013 | 2.80 | 4.80 | 110.29 | |
| C02b−1 | Φ97.0 × 51.4 | 2 | 11.5 | 144 | 90.89 | 111.19 | 101.04 | 0.0051 | 0.0183 | 0.0117 | 1.592 | 3.60 | 5.32 | 468.24 | |
| C02b−2 | Φ96.7 × 50.3 | 2 | 11.5 | 144 | 88.21 | 105.62 | 96.92 | 0.0064 | 0.0177 | 0.0121 | 1.473 | 3.45 | 5.48 | 433.24 | |
| C20b−1 | Φ93.5 × 49.5 | 200 | 0 | 11.5 | 182 | 79.15 | - | 79.15 | 0.0065 | - | 0.0065 | 0.369 | 2.82 | 2.95 | 108.53 |
| C20b−2 | Φ94.0 × 50.3 | 0 | 11.5 | 172 | 77.98 | - | 77.98 | 0.0063 | - | 0.0063 | 0.324 | 2.78 | 2.86 | 95.29 | |
| C21a−1 | Φ95.7 × 50.3 | 1 | 7.5 | 69 | 57.98 | 81.61 | 69.80 | 0.0045 | 0.0167 | 0.0106 | 1.023 | 2.49 | 4.82 | 300.88 | |
| C21a−2 | Φ95.6 × 49.7 | 1 | 7.5 | 68 | 63.24 | 82.18 | 72.71 | 0.0043 | 0.0175 | 0.0109 | 1.125 | 2.59 | 4.95 | 330.88 | |
| C21b−1 | Φ96.3 × 50.3 | 1 | 11.5 | 164 | 73.08 | 72.90 | 72.99 | 0.0069 | 0.0162 | 0.0116 | 1.006 | 2.60 | 5.25 | 107.65 | |
| C21b−2 | Φ96.2 × 50.2 | 1 | 11.5 | 161 | 67.70 | 76.40 | 72.05 | 0.0104 | 0.0181 | 0.0143 | 0.954 | 2.57 | 6.48 | 280.59 | |
| C22b−1 | Φ96.8 × 52.5 | 2 | 11.5 | 136 | 75.66 | 102.27 | 88.97 | 0.0067 | 0.0197 | 0.0132 | 1.570 | 3.17 | 6.00 | 461.76 | |
| C22b−2 | Φ96.5 × 50.4 | 2 | 11.5 | 144 | 66.76 | 104.92 | 85.84 | 0.0068 | 0.0211 | 0.0140 | 1.526 | 3.06 | 6.34 | 448.82 | |
| C30b−1 | Φ94.2 × 49.7 | 300 | 0 | 11.5 | 180 | 71.42 | - | 71.42 | 0.0064 | - | 0.0064 | 0.324 | 2.55 | 2.91 | 95.29 |
| C30b−2 | Φ94.0 × 51.1 | 0 | 11.5 | 174 | 74.71 | - | 74.71 | 0.0049 | - | 0.0049 | 0.246 | 2.66 | 2.23 | 72.35 | |
| C31a−1 | Φ95.7 × 49.4 | 1 | 7.5 | 67 | 62.16 | 80.99 | 71.58 | 0.0037 | 0.0164 | 0.0101 | 1.045 | 2.55 | 4.57 | 307.35 | |
| C31a−2 | Φ95.8 × 50.6 | 1 | 7.5 | 67 | 57.05 | 83.01 | 70.03 | 0.0031 | 0.0147 | 0.0089 | 0.893 | 2.50 | 4.05 | 262.68 | |
| C31b−1 | Φ96.6 × 51.3 | 1 | 11.5 | 158 | 70.77 | 76.85 | 73.81 | 0.0052 | 0.0142 | 0.0097 | 0.869 | 2.63 | 4.41 | 255.59 | |
| C31b−2 | Φ96.0 × 49.4 | 1 | 11.5 | 162 | 75.29 | 80.05 | 77.67 | 0.0083 | 0.0155 | 0.0119 | 0.925 | 2.77 | 5.41 | 272.06 | |
| C32b−1 | Φ97.2 × 49.4 | 2 | 11.5 | 153 | 74.81 | 93.17 | 83.99 | 0.0073 | 0.0184 | 0.0129 | 1.302 | 2.99 | 5.84 | 382.94 | |
| C32b−2 | Φ97.8 × 48.8 | 2 | 11.5 | 149 | 80.80 | 102.64 | 91.72 | 0.0052 | 0.0190 | 0.0121 | 1.544 | 3.27 | 5.50 | 454.12 | |
| C40b−1 | Φ93.7 × 51.5 | 400 | 0 | 11.5 | 172 | 67.01 | - | 67.01 | 0.0046 | - | 0.0046 | 0.226 | 2.39 | 2.09 | 66.47 |
| C40b−2 | Φ93.7 × 51.7 | 0 | 11.5 | 171 | 68.33 | - | 68.33 | 0.0040 | - | 0.0040 | 0.196 | 2.44 | 1.82 | 57.65 | |
| C41a−1 | Φ95.8 × 49.5 | 1 | 7.5 | 69 | 54.27 | 77.01 | 65.64 | 0.0053 | 0.0151 | 0.0102 | 0.856 | 2.34 | 4.64 | 251.76 | |
| C41a−2 | Φ95.6 × 49.3 | 1 | 7.5 | 67 | 57.91 | 79.94 | 68.93 | 0.0053 | 0.0137 | 0.0095 | 0.826 | 2.46 | 4.32 | 242.94 | |
| C41b−1 | Φ96.1 × 50.7 | 1 | 11.5 | 161 | 75.57 | 80.31 | 77.94 | 0.0049 | 0.0133 | 0.0091 | 0.885 | 2.78 | 4.14 | 260.29 | |
| C41b−2 | Φ95.7 × 50.3 | 1 | 11.5 | 157 | 78.06 | 81.84 | 79.95 | 0.0049 | 0.0141 | 0.0095 | 0.945 | 2.85 | 4.32 | 277.94 | |
| C42b−1 | Φ98.1 × 50.5 | 2 | 11.5 | 138 | 73.38 | 97.39 | 85.39 | 0.0061 | 0.0167 | 0.0114 | 1.196 | 3.04 | 5.18 | 351.76 | |
| C42b−2 | Φ97.2 × 50.1 | 2 | 11.5 | 144 | 60.54 | 104.56 | 82.55 | 0.0063 | 0.0198 | 0.0131 | 1.414 | 2.94 | 5.93 | 415.88 | |
| C50b−1 | Φ93.4 × 52.4 | 500 | 0 | 11.5 | 167 | 68.35 | - | 68.35 | 0.0042 | - | 0.0042 | 0.202 | 2.44 | 1.91 | 59.41 |
| C50b−2 | Φ93.6 × 50.2 | 0 | 11.5 | 169 | 69.24 | - | 69.24 | 0.0058 | - | 0.0058 | 0.280 | 2.47 | 2.64 | 82.35 | |
| C51a−1 | Φ96.3 × 51.4 | 1 | 7.5 | 69 | 36.87 | 75.49 | 56.18 | 0.0038 | 0.0153 | 0.0096 | 0.753 | 2.00 | 4.34 | 221.47 | |
| C51a−2 | Φ95.8 × 49.9 | 1 | 7.5 | 82 | 41.31 | 69.64 | 55.48 | 0.0032 | 0.0161 | 0.0097 | 0.820 | 1.98 | 4.39 | 241.18 | |
| C51b−1 | Φ95.9 × 51.8 | 1 | 11.5 | 152 | 66.67 | 82.14 | 74.41 | 0.0044 | 0.0122 | 0.0083 | 0.712 | 2.65 | 3.77 | 209.41 | |
| C51b−2 | Φ95.5 × 51.8 | 1 | 11.5 | 154 | 69.39 | 82.67 | 76.03 | 0.0055 | 0.0144 | 0.0100 | 0.914 | 2.71 | 4.52 | 268.82 | |
| C52b−1 | Φ96.8 × 51.8 | 2 | 11.5 | 136 | 72.24 | 107.34 | 89.79 | 0.0046 | 0.0190 | 0.0118 | 1.516 | 3.20 | 5.36 | 445.88 | |
| C52b−2 | Φ97.5 × 49.9 | 2 | 11.5 | 123 | 74.15 | 119.12 | 96.64 | 0.0045 | 0.0232 | 0.0139 | 2.048 | 3.44 | 6.30 | 602.35 | |
| C60b−1 | Φ93.7 × 49.4 | 600 | 0 | 11.5 | 179 | 51.70 | - | 51.70 | 0.0055 | - | 0.0055 | 0.203 | 1.84 | 2.50 | 59.71 |
| C60b−2 | Φ93.5 × 51.3 | 0 | 11.5 | 171 | 56.69 | - | 56.69 | 0.0044 | - | 0.0044 | 0.182 | 2.02 | 2.00 | 53.53 | |
| C61a−1 | Φ96.4 × 51.5 | 1 | 7.5 | 76 | 32.51 | 68.95 | 50.73 | 0.0040 | 0.0177 | 0.0109 | 0.814 | 1.81 | 4.93 | 239.41 | |
| C61a−2 | Φ95.9 × 51.4 | 1 | 7.5 | 75 | 35.76 | 72.71 | 54.24 | 0.0032 | 0.0167 | 0.0100 | 0.845 | 1.93 | 4.52 | 248.53 | |
| C61b−1 | Φ96.8 × 51.1 | 1 | 11.5 | 162 | 53.62 | 66.98 | 60.30 | 0.0047 | 0.0178 | 0.0113 | 0.937 | 2.15 | 5.11 | 275.59 | |
| C61b−2 | Φ96.0 × 50.3 | 1 | 11.5 | 159 | 60.04 | 76.89 | 68.47 | 0.0054 | 0.0164 | 0.0109 | 0.963 | 2.44 | 4.95 | 283.24 | |
| C62b−1 | Φ97.7 × 48.6 | 2 | 11.5 | 140 | 65.47 | 110.48 | 87.98 | 0.0054 | 0.0193 | 0.0124 | 1.452 | 3.14 | 5.61 | 427.06 | |
| C62b−2 | Φ98.1 × 50.3 | 2 | 11.5 | 136 | 62.17 | 111.60 | 86.89 | 0.0069 | 0.0241 | 0.0155 | 1.824 | 3.10 | 7.05 | 536.47 | |
| Strength Grade | Mix Proportion (kg/m3) | fcu (MPa) | fc (MPa) | Ec (MPa) | |||||
|---|---|---|---|---|---|---|---|---|---|
| Water | Cement | Sand | Stone | Average Value | Standard Deviation | Average Value | Standard Deviation | ||
| C30 | 204 | 402 | 664 | 1130 | 38.4 | 0.57 | 29.6 | 0.98 | 3.36 × 104 |
| Model | Fiber Weight (g/m2) | tf (mm) | ff (MPa) | Ef (MPa) | δf(%) | |
|---|---|---|---|---|---|---|
| Average Value | Standard Deviation | |||||
| HITEX−C300 | 300 | 0.167 | 3587 | 5.72 | 2.36 × 105 | 1.52 |
| DIF Models | CEB [13] | Tedesco & Ross [14] | Grote et al. [15] | Li & Meng [11] | Ngo et al. [16] | Katayama et al. [17] | Beppu et al. [18] | Hartmann et al. [19] | Al-Salloum et al. [12] |
|---|---|---|---|---|---|---|---|---|---|
| Average Value | 1.444 | 0.959 | 0.897 | 0.927 | 1.319 | 1.208 | 1.139 | 1.134 | 1.039 |
| Standard Deviation | 0.261 | 0.306 | 0.325 | 0.323 | 0.282 | 0.298 | 0.320 | 0.317 | 0.299 |
Disclaimer/Publisher’s Note: The statements, opinions and data contained in all publications are solely those of the individual author(s) and contributor(s) and not of MDPI and/or the editor(s). MDPI and/or the editor(s) disclaim responsibility for any injury to people or property resulting from any ideas, methods, instructions or products referred to in the content. |
© 2024 by the authors. Licensee MDPI, Basel, Switzerland. This article is an open access article distributed under the terms and conditions of the Creative Commons Attribution (CC BY) license (https://creativecommons.org/licenses/by/4.0/).
Share and Cite
Liu, J.; Huo, J.; Wang, H.; Tang, Z.; Zhang, Q.; Yi, S. Experimental Study on Dynamic Mechanical Performance of Post-Fire Concrete Confined by CFRP Sheets. Materials 2024, 17, 2076. https://doi.org/10.3390/ma17092076
Liu J, Huo J, Wang H, Tang Z, Zhang Q, Yi S. Experimental Study on Dynamic Mechanical Performance of Post-Fire Concrete Confined by CFRP Sheets. Materials. 2024; 17(9):2076. https://doi.org/10.3390/ma17092076
Chicago/Turabian StyleLiu, Jingya, Jingsi Huo, Haitao Wang, Zhongping Tang, Qingyan Zhang, and Shixiang Yi. 2024. "Experimental Study on Dynamic Mechanical Performance of Post-Fire Concrete Confined by CFRP Sheets" Materials 17, no. 9: 2076. https://doi.org/10.3390/ma17092076
APA StyleLiu, J., Huo, J., Wang, H., Tang, Z., Zhang, Q., & Yi, S. (2024). Experimental Study on Dynamic Mechanical Performance of Post-Fire Concrete Confined by CFRP Sheets. Materials, 17(9), 2076. https://doi.org/10.3390/ma17092076
