High-Resolution Ultrasound to Quantify Sub-Surface Wrinkles in a Woven CFRP Laminate
Abstract
1. Introduction
2. Manufacturing Method
2.1. Wet Layup
2.2. Curing
3. Analysis Methods
3.1. Ultrasonic Data Collection
3.2. Extraction of Laminated Layers
3.3. Scan Data Analysis
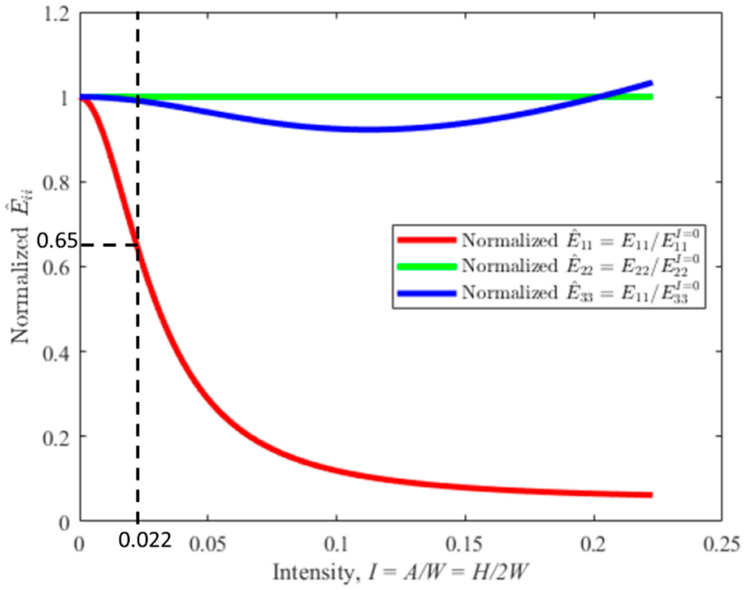
4. Results
5. Conclusions and Discussion
- The present research presents a method for fabricating a laminated composite with a synthetic wrinkle that can be used for inspection methodology development.
- The present research presents both a methodology and results for the extraction of the wrinkled layer surfaces from ultrasonic data.
- The automated code can extract the spatially varying wrinkle geometry and quantify the wrinkle intensity, height, and width as a function of spatial position, for each individual lamina.
Author Contributions
Funding
Data Availability Statement
Acknowledgments
Conflicts of Interest
References
- Ozkan, D.; Gok, M.S.; Karaoglanli, A.C. Carbon Fiber Reinforced Polymer (CFRP) Composite Materials, Their Characteristic Properties, Industrial Application Areas and Their Machinability. In Engineering Design Applications III: Structures, Materials and Processes; Öchsner, A., Altenbach, H., Eds.; Springer International Publishing: Cham, Switzerland, 2020; pp. 235–253. ISBN 978-3-030-39062-4. [Google Scholar]
- Pawlak, A.M.; Górny, T.; Dopierała, Ł.; Paczos, P. The Use of CFRP for Structural Reinforcement—Literature Review. Metals 2022, 12, 1470. [Google Scholar] [CrossRef]
- Smith, R.A.; Nelson, L.J.; Mienczakowski, M.J.; Challis, R.E. Automated analysis and advanced defect characterisation from ultrasonic scans of composites. Insight-Non-Destr. Test. Cond. Monit. 2009, 51, 82–87. [Google Scholar] [CrossRef]
- Rahul, K.; Jack, D.A.; Smith, D.E. A Statistical Approach for Failure Analysis Involving Uncertainty in Determining Ply Orientation. Polym. Compos. 2024, 45, 5192–5206. [Google Scholar] [CrossRef]
- Nelson, L.J.; Smith, R.A. Fibre direction and stacking sequence measurement in carbon fibre composites using Radon transforms of ultrasonic data. Compos. Part A Appl. Sci. Manuf. 2019, 118, 1–8. [Google Scholar] [CrossRef]
- Koodalil, D.; Rajagopal, P.; Balasubramaniam, K. Quantifying adhesive thickness and adhesion parameters using higher-order SH guided waves. Ultrasonics 2021, 114, 106429. [Google Scholar] [CrossRef]
- Nargis, R.A.; Pulipati, D.; Kokkada, P.; Jack, D.A. Automated Detection of Foreign Object Debris in Woven Carbon Fiber Laminate at Different Environmental Conditions. Available online: https://speautomotive.com/wp-content/uploads/2023/09/Automated-Foreign-Object-Detection-for-Composite-Laminates-Using-High-Resolution-Ultrasound-Testing_Nargis_Rifat.pdf (accessed on 29 February 2024).
- Katunin, A.; Wronkowicz-Katunin, A.; Dragan, K. Impact Damage Evaluation in Composite Structures Based on Fusion of Results of Ultrasonic Testing and X-ray Computed Tomography. Sensors 2020, 20, 1867. [Google Scholar] [CrossRef]
- Minnie, W.H. Nondestructive Evaluation of Out-of-Plane Wrinkles within Woven Carbon Fiber Reinforced Plastics (CFRP) Using Ultrasonic Detection. Master’s Thesis, Baylor University, Waco, TX, USA, 2021. Available online: https://baylor-ir.tdl.org/handle/2104/11585 (accessed on 21 November 2022).
- Bhat, M.R.; Binoy, M.P.; Surya, N.M.; Murthy, C.R.L.; Engelbart, R.W. Non-destructive evaluation of porosity and its effect on mechanical properties of carbon fiber reinforced polymer composite materials. AIP Conf. Proc. 2012, 1430, 1080–1087. [Google Scholar] [CrossRef]
- De Castro, D.S.V.; Matvieieva, N.; Grosso, M.; Camerini, C.G.; Kotik, H.G.; Heuer, H. Evaluation of Mode II Delamination Area by Non-destructive Techniques: Accuracy and Influence on Fracture Toughness Calculation. J. Nondestruct. Eval. 2021, 40, 58. [Google Scholar] [CrossRef]
- Thor, M.; Kiss, P.; Sause, M.; Hinterhoelzl, R. Strategies for the manufacturing of wrinkle-free composite parts. In Proceedings of the SAMPE Europe Conference 2020, Amsterdam, The Netherlands, 30 September–1 October 2020. [Google Scholar]
- Hallander, P.; Akermo, M.; Mattei, C.; Petersson, M.; Nyman, T. An experimental study of mechanisms behind wrinkle development during forming of composite laminates. Compos. Part A Appl. Sci. Manuf. 2013, 50, 54–64. [Google Scholar] [CrossRef]
- Xie, N.; Smith, R.A.; Mukhopadhyay, S.; Hallett, S.R. A numerical study on the influence of composite wrinkle defect geometry on compressive strength. Mater. Des. 2018, 140, 7–20. [Google Scholar] [CrossRef]
- Hsiao, H.M.; Daniel, I.M. Elastic properties of composites with fiber waviness. Compos. Part A Appl. Sci. Manuf. 1996, 27, 931–941. [Google Scholar] [CrossRef]
- Pain, D.; Drinkwater, B.W. Detection of Fibre Waviness Using Ultrasonic Array Scattering Data. J. Nondestruct. Eval. 2013, 32, 215–227. [Google Scholar] [CrossRef]
- Ma, T.; Li, Y.; Zhou, Z.; Meng, J. Wrinkle Detection in Carbon Fiber-Reinforced Polymers Using Linear Phase FIR-Filtered Ultrasonic Array Data. Aerospace 2023, 10, 181. [Google Scholar] [CrossRef]
- Schumacher, D.; Meyendorf, N.; Hakim, I.; Ewert, U. Defect recognition in CFRP components using various NDT methods within a smart manufacturing process. AIP Conf. Proc. 2018, 1949, 020024. [Google Scholar] [CrossRef]
- Zhang, L.; Tham, Z.W.; Chen, Y.F.; Tan, C.Y.; Cui, F.; Mutiargo, B.; Ke, L. Defect imaging in carbon fiber composites by acoustic shearography. Compos. Sci. Technol. 2022, 223, 109417. [Google Scholar] [CrossRef]
- Schmerr, L.W. Fundamentals of Ultrasonic Nondestructive Evaluation: A Modeling Approach; Springer: Boston, MA, USA, 1998; ISBN 978-1-4899-0144-6. [Google Scholar]
- Sandhu, A.; Dodwell, T.J.; Butler, R. An automated image processing algorithm to determine wrinkle characteristics from B-scans. In Proceedings of the 17th European Conference on Composite Materials, Munich, Germany, 26–30 June 2016; p. 9. [Google Scholar]
- Larrañaga-Valsero, B.; Smith, R.A.; Tayong, R.B.; Fernández-López, A.; Güemes, A. Wrinkle measurement in glass-carbon hybrid laminates comparing ultrasonic techniques: A case study. Compos. Part A Appl. Sci. Manuf. 2018, 114, 225–240. [Google Scholar] [CrossRef]
- Larrañaga-Valsero, B.; Smith, R.A.; Tayong, R.B.; Fernández-López, A.; Güemes, A. Wrinkle characterisation from Ultrasonic Scans of Composites. In Proceedings of the 55th Annual Conference of the British Institute of Non-Destructive Testing, Nottingham, UK, 12–14 September 2016; p. 15. [Google Scholar]
- Zhang, Z.; Guo, S.; Li, Q.; Cui, F.; Malcolm, A.A.; Su, Z.; Liu, M. Ultrasonic detection and characterization of delamination and rich resin in thick composites with waviness. Compos. Sci. Technol. 2020, 189, 108016. [Google Scholar] [CrossRef]
- An Introduction to Ultrasonic Transducers for Nondestructive Testing | Olympus IMS. Available online: https://www.olympus-ims.com/en/resources/white-papers/intro-ultrasonic-transducers-ndt-testing/ (accessed on 5 April 2023).
- Blackman, N.J.; Jack, D.A.; Blandford, B.M. Improvement in the Quantification of Foreign Object Defects in Carbon Fiber Laminates Using Immersion Pulse-Echo Ultrasound. Materials 2021, 14, 2919. [Google Scholar] [CrossRef] [PubMed]
- Takeda, T. Micromechanics model for three-dimensional effective elastic properties of composite laminates with ply wrinkles. Compos. Struct. 2018, 189, 419–427. [Google Scholar] [CrossRef]












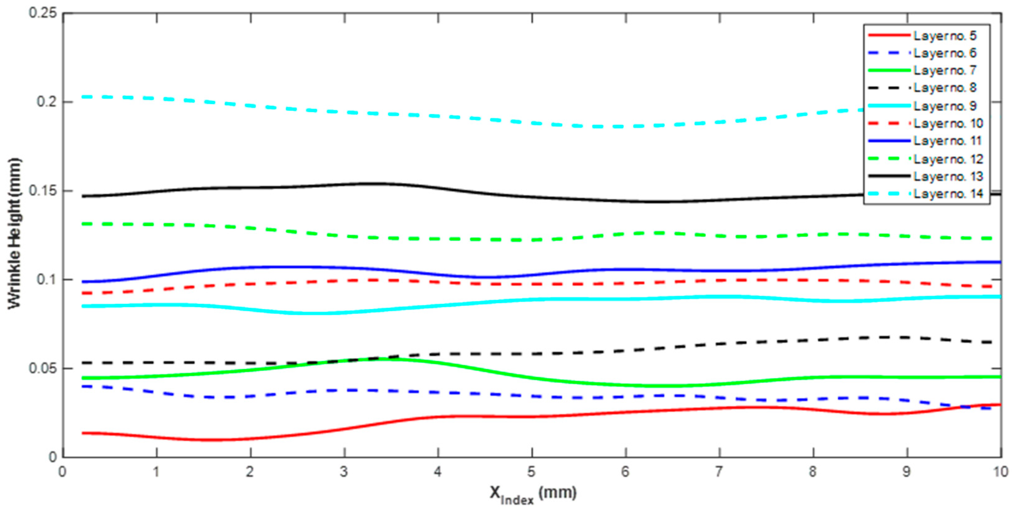
| Layer No. | Wrinkle Height (mm) | Wrinkle Intensity (mm/mm) |
|---|---|---|
| 1–4 | N/A | N/A |
| 5 | 0.0210 | N/A |
| 6 | 0.0321 | N/A |
| 7 | 0.0435 | N/A |
| 8 | 0.0574 | 0.0069 |
| 9 | 0.0866 | 0.0109 |
| 10 | 0.0968 | 0.0107 |
| 11 | 0.1029 | 0.0127 |
| 12 | 0.1246 | 0.0159 |
| 13 | 0.1473 | 0.0171 |
| 14 | 0.1931 | 0.0221 |
Disclaimer/Publisher’s Note: The statements, opinions and data contained in all publications are solely those of the individual author(s) and contributor(s) and not of MDPI and/or the editor(s). MDPI and/or the editor(s) disclaim responsibility for any injury to people or property resulting from any ideas, methods, instructions or products referred to in the content. |
© 2024 by the authors. Licensee MDPI, Basel, Switzerland. This article is an open access article distributed under the terms and conditions of the Creative Commons Attribution (CC BY) license (https://creativecommons.org/licenses/by/4.0/).
Share and Cite
Amif, M.A.; Jack, D.A. High-Resolution Ultrasound to Quantify Sub-Surface Wrinkles in a Woven CFRP Laminate. Materials 2024, 17, 2002. https://doi.org/10.3390/ma17092002
Amif MA, Jack DA. High-Resolution Ultrasound to Quantify Sub-Surface Wrinkles in a Woven CFRP Laminate. Materials. 2024; 17(9):2002. https://doi.org/10.3390/ma17092002
Chicago/Turabian StyleAmif, Md Admay, and David A. Jack. 2024. "High-Resolution Ultrasound to Quantify Sub-Surface Wrinkles in a Woven CFRP Laminate" Materials 17, no. 9: 2002. https://doi.org/10.3390/ma17092002
APA StyleAmif, M. A., & Jack, D. A. (2024). High-Resolution Ultrasound to Quantify Sub-Surface Wrinkles in a Woven CFRP Laminate. Materials, 17(9), 2002. https://doi.org/10.3390/ma17092002

