Flexural Response of Functionally Graded Rubberized Concrete Beams
Abstract
1. Introduction
2. Experimental Investigation
2.1. Mix Preparation and Material Characteristics
2.2. Description of Test Specimens
2.3. Casting and Curing Method
2.4. Experimental Setup and Instrumentation
3. Results and Discussion
3.1. Mechanical Properties of Concrete
3.1.1. Stress–Strain Relationship
3.1.2. Splitting Tensile Strength
3.2. Flexure Behavior of the Beams
3.2.1. Cracking Behavior and Mode of Failure
3.2.2. Load–Deflection and Longitudinal Strain Response
3.2.3. Effect of RuC on the Flexural Response of Concrete Beams
3.2.4. Effectiveness of Utilizing Functionally Graded Beams
4. Moment–Curvature Relationship
4.1. Moment–Curvature Prediction
4.2. Comparison of Predicted vs. Measured Moment Curvature
5. Conclusions
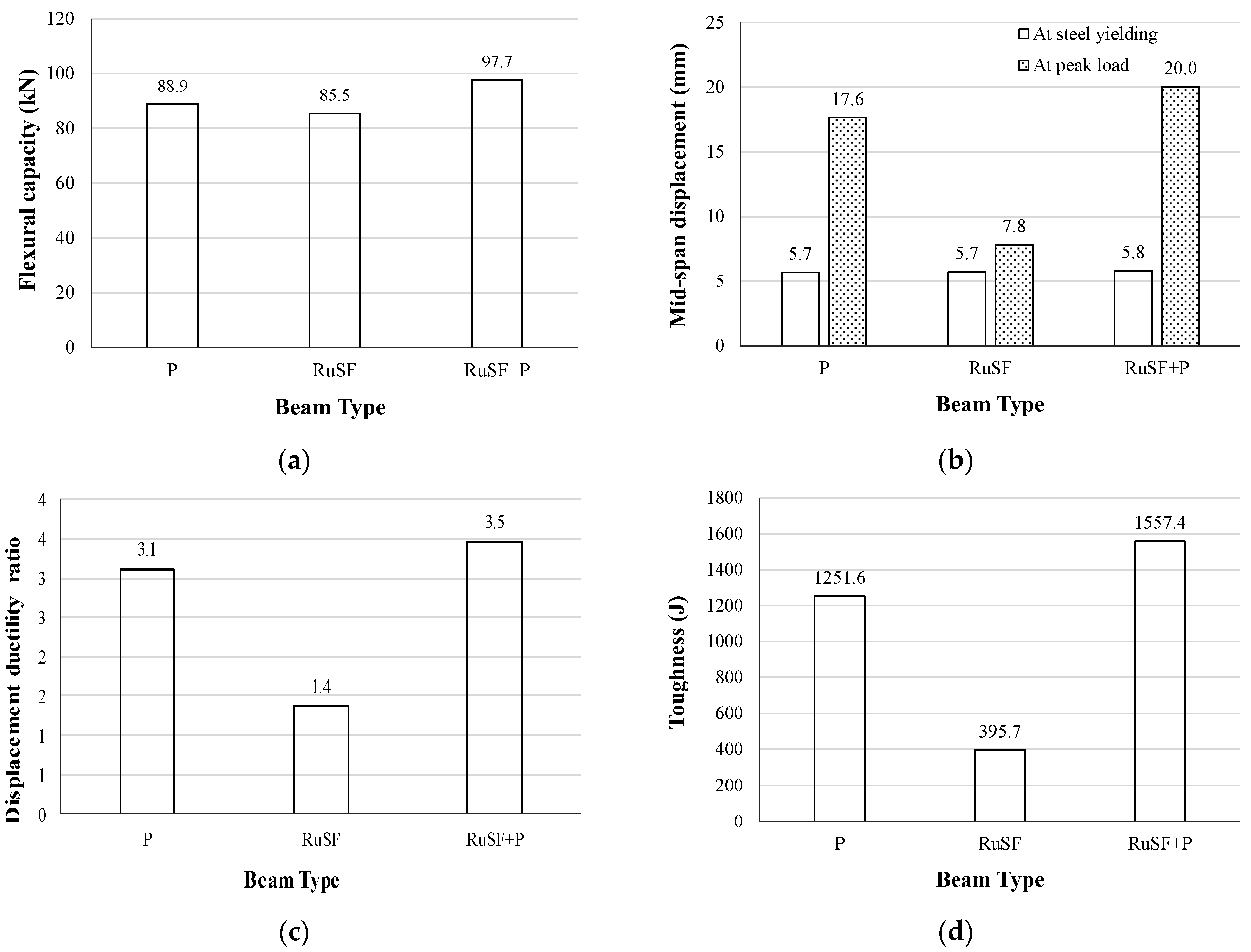
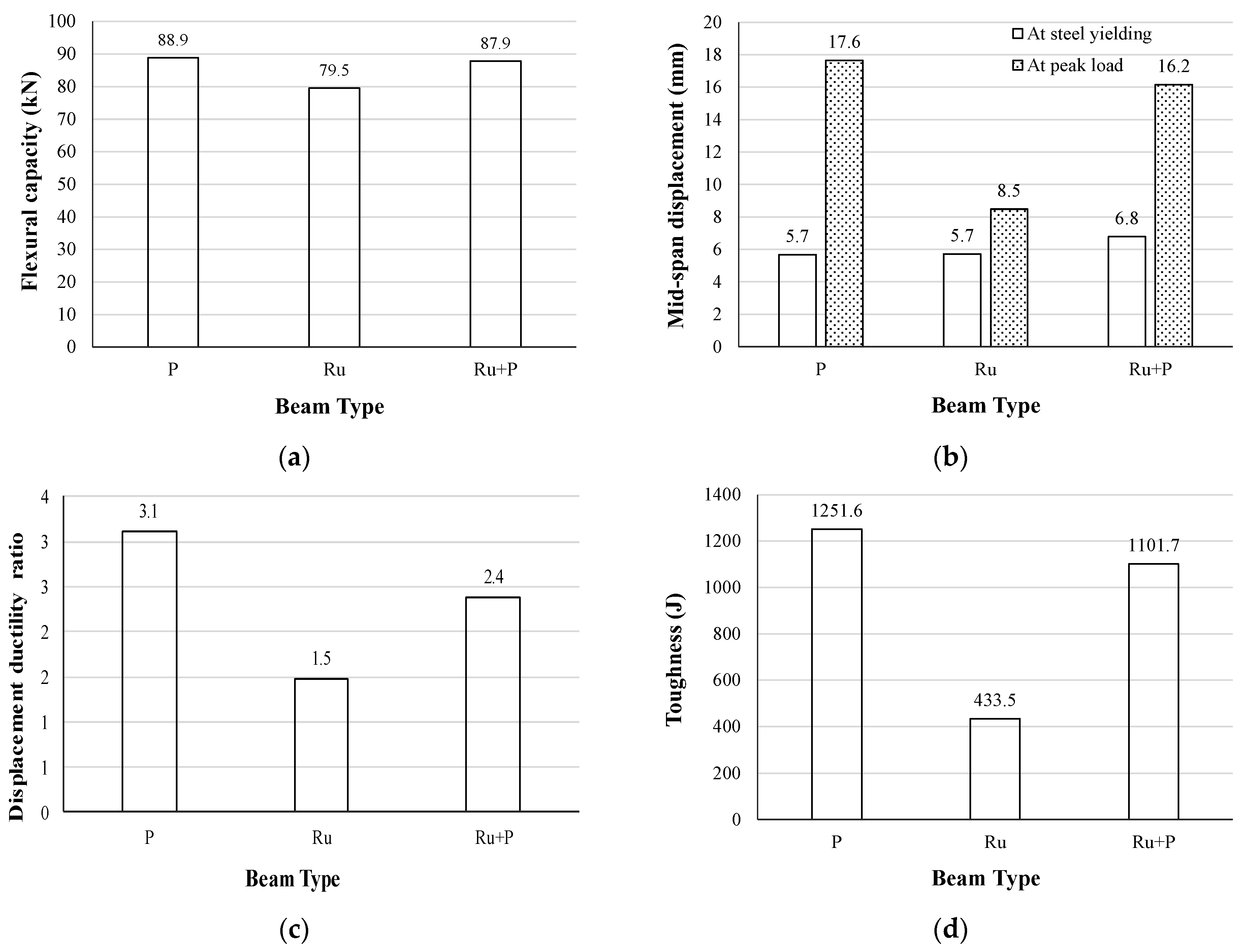
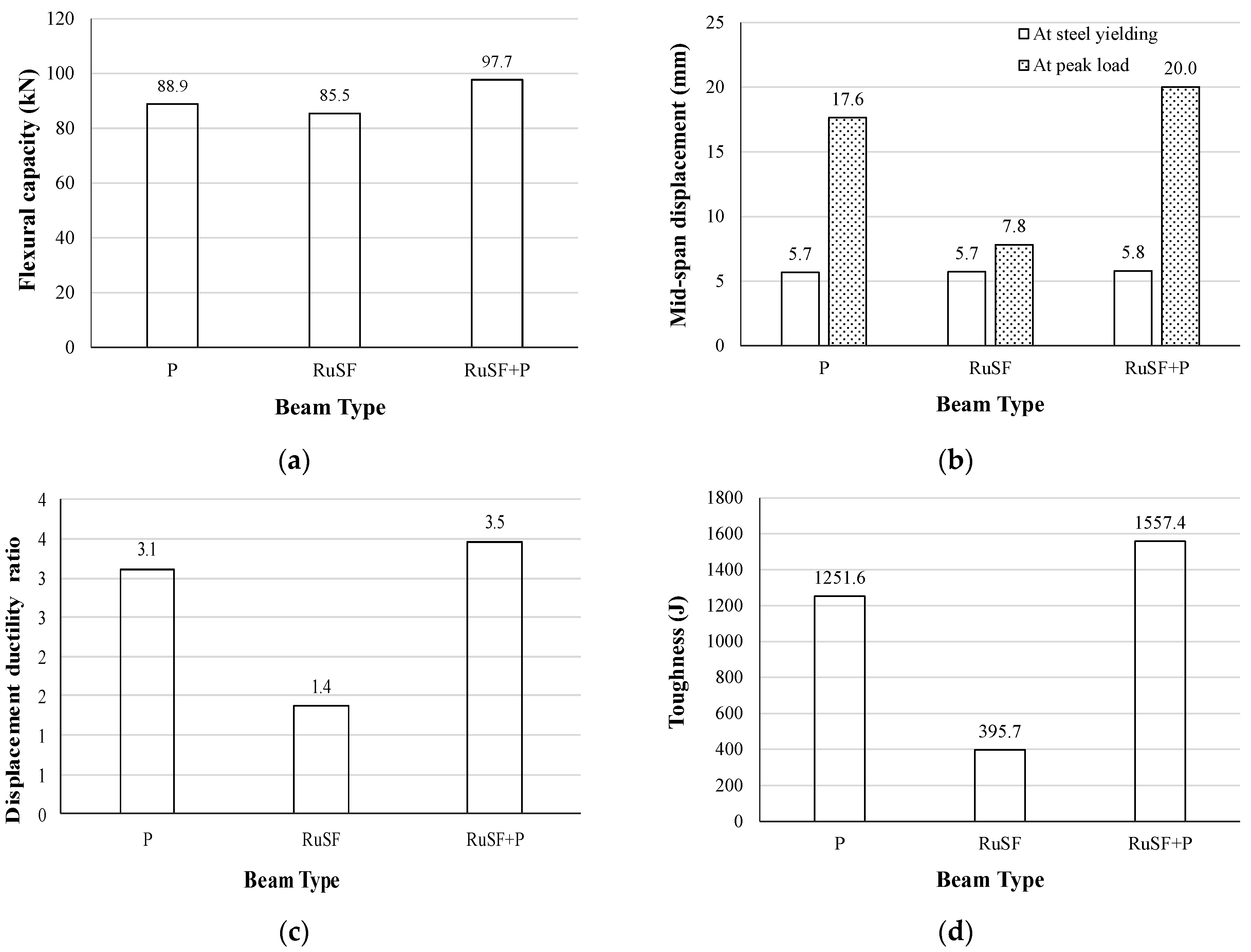
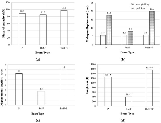
- The first visible flexural crack (i.e., at the cracking moment) for the beam with only RuC appeared at a smaller load than the plain beam containing no rubber. However, the addition of steel fibers to the RuC postponed the occurrence of the initial flexural crack to an extent, exceeding the corresponding load for the plain beam. A similar conclusion was observed for the functionally graded beams, controlled by the bottom concrete layer of either RuC or SFRRuC.
- Despite the marginal reduction in initial flexural stiffness for the RuC, either the inclusion of steel fibers or the adoption of functionally graded beams (with an upper layer of plain concrete) partially or fully recovered the decrease in stiffness.
- Utilizing RuC across the whole cross-section of the beam resulted in a 10.6% lower flexural strength than the beam with no rubber. However, combining recycled rubber with 40 kg/m3 steel fibers enhanced the flexural strength, which was then reduced by only 3.8%. Furthermore, the mid-span deflection at peak load was found to decrease by approximately 51.7% and 55.7% for beams of only RuC and SFRRuC, respectively. As a consequence of the reduced displacement at peak load, both the displacement ductility and toughness were reduced with the incorporation of rubber with or without steel fibers.
- The flexural response of rubberized beams including or excluding steel fibers was significantly improved by adopting the functionally graded beams concept.
- The flexural behavior of the functionally graded beam with layers of RuC and plain concrete was superior to the fully rubberized beam, and closely approximated that of the plain beam in terms of flexural strength, displacement ductility ratio, and toughness. However, the flexural behavior of the functionally graded beam with a layer of SFRRuC and a layer of plain concrete exceeded the performance of the plain concrete beam.
- The moment–curvature relationships were predicted for the investigated beams and showed an excellent match with the experimentally measured relationships.
Author Contributions
Funding
Institutional Review Board Statement
Informed Consent Statement
Data Availability Statement
Acknowledgments
Conflicts of Interest
References
- World Business Council For Sustainable Development (WBCSD). Global ELT Management—A Global State of Knowledge on Regulation, Management Systems, Impacts of Recovery and Technologies. 2019. Available online: https://www.wbcsd.org/Sector-Projects/Tire-Industry-Project/End-of-Life-Tires-ELTs (accessed on 16 April 2024).
- Eisa, A.S.; Elshazli, M.T.; Nawar, M.T. Experimental investigation on the effect of using crumb rubber and steel fibers on the structural behavior of reinforced concrete beams. Constr. Build. Mater. 2020, 252, 119078. [Google Scholar] [CrossRef]
- Xiong, Z.; Fang, Z.; Feng, W.; Liu, F.; Yang, F.; Li, L. Review of dynamic behaviour of rubberised concrete at material and member levels. J. Build. Eng. 2021, 38, 102237. [Google Scholar] [CrossRef]
- Ganjian, E.; Khorami, M.; Maghsoudi, A.A. Scrap-tyre-rubber replacement for aggregate and filler in concrete. Constr. Build. Mater. 2009, 23, 1828–1836. [Google Scholar] [CrossRef]
- Alsaif, A.; Albidah, A.; Abadel, A.; Abbas, H.; Almusallam, T.; Al-Salloum, Y. Behavior of ternary blended cementitious rubberized mixes reinforced with recycled tires steel fibers under different types of impact loads. Structures 2022, 45, 2292–2305. [Google Scholar] [CrossRef]
- Alsaif, A.; Albidah, A.; Abadel, A.; Abbas, H.; Al-Salloum, Y. Development of metakaolin-based geopolymer rubberized concrete: Fresh and hardened properties. Arch. Civ. Mech. Eng. 2022, 22, 144. [Google Scholar] [CrossRef]
- Albidah, A.; Alsaif, A.; Abadel, A.; Abbas, H.; Al-Salloum, Y. Role of recycled vehicle tires quantity and size on the properties of metakaolin-based geopolymer rubberized concrete. J. Mater. Res. Technol. 2022, 18, 2593–2607. [Google Scholar] [CrossRef]
- Alsaif, A.; Koutas, L.; Bernal, S.A.; Guadagnini, M.; Pilakoutas, K. Mechanical performance of steel fibre reinforced rubberised concrete for flexible concrete pavements. Constr. Build. Mater. 2018, 172, 533–543. [Google Scholar] [CrossRef]
- Wang, H.Y.; Chen, B.T.; Wu, Y.W. A study of the fresh properties of controlled low-strength rubber lightweight aggregate concrete (CLSRLC). Constr. Build. Mater. 2013, 41, 526–531. [Google Scholar] [CrossRef]
- Aiello, M.A.; Leuzzi, F. Waste tyre rubberized concrete: Properties at fresh and hardened state. Waste Manag. 2010, 30, 1696–1704. [Google Scholar] [CrossRef]
- Si, R.; Guo, S.; Dai, Q. Durability performance of rubberized mortar and concrete with NaOH-Solution treated rubber particles. Constr. Build. Mater. 2017, 153, 496–505. [Google Scholar] [CrossRef]
- Wang, J.; Du, B. Experimental studies of thermal and acoustic properties of recycled aggregate crumb rubber concrete. J. Build. Eng. 2020, 32, 101836. [Google Scholar] [CrossRef]
- Li, J.; Saberian, M.; Nguyen, B.T. Effect of crumb rubber on the mechanical properties of crushed recycled pavement materials. J. Environ. Manag. 2018, 218, 291–299. [Google Scholar] [CrossRef] [PubMed]
- Khaloo, A.R.; Dehestani, M.; Rahmatabadi, P. Mechanical properties of concrete containing a high volume of tire–rubber particles. Waste Manag. 2008, 28, 2472–2482. [Google Scholar] [CrossRef] [PubMed]
- Noaman, A.T.; Bakar, B.A.; Akil, H.M. Experimental investigation on compression toughness of rubberized steel fibre concrete. Constr. Build. Mater. 2016, 115, 163–170. [Google Scholar] [CrossRef]
- Li, L.; Ruan, S.; Zeng, L. Mechanical properties and constitutive equations of concrete containing a low volume of tire rubber particles. Constr. Build. Mater. 2014, 70, 291–308. [Google Scholar] [CrossRef]
- Feng, W.; Liu, F.; Yang, F.; Li, L.; Jing, L. Experimental study on dynamic split tensile properties of rubber concrete. Constr. Build. Mater. 2018, 165, 675–687. [Google Scholar] [CrossRef]
- Pacheco-Torgal, F.; Ding, Y.; Jalali, S. Properties and durability of concrete containing polymeric wastes (tyre rubber and polyethylene terephthalate bottles): An overview. Constr. Build. Mater. 2012, 30, 714–724. [Google Scholar] [CrossRef]
- Moustafa, A.; ElGawady, M.A. Dynamic properties of high strength rubberized concrete. ACI Spec. Publ. 2017, 314, 1–22. [Google Scholar]
- Zheng, L.; Huo, X.S.; Yuan, Y. Strength, modulus of elasticity, and brittleness index of rubberized concrete. J. Mater. Civ. Eng. 2008, 20, 692–699. [Google Scholar] [CrossRef]
- Liu, F.; Zheng, W.; Li, L.; Feng, W.; Ning, G. Mechanical and fatigue performance of rubber concrete. Constr. Build. Mater. 2013, 47, 711–719. [Google Scholar] [CrossRef]
- Liu, F.; Chen, G.; Li, L.; Guo, Y. Study of impact performance of rubber reinforced concrete. Constr. Build. Mater. 2012, 36, 604–616. [Google Scholar] [CrossRef]
- Mendis, A.S.; Al-Deen, S.; Ashraf, M. Effect of rubber particles on the flexural behaviour of reinforced crumbed rubber concrete beams. Constr. Build. Mater. 2017, 154, 644–657. [Google Scholar] [CrossRef]
- Ismail, M.K.; Hassan, A.A. Ductility and cracking behavior of reinforced self-consolidating rubberized concrete beams. J. Mater. Civ. Eng. 2017, 29, 04016174. [Google Scholar] [CrossRef]
- Hassanli, R.; Youssf, O.; Mills, J.E. Experimental investigations of reinforced rubberized concrete structural members. J. Build. Eng. 2017, 10, 149–165. [Google Scholar] [CrossRef]
- Hall, M.R.; Najim, K.B. Structural behaviour and durability of steel-reinforced structural Plain/Self-Compacting Rubberised Concrete (PRC/SCRC). Constr. Build. Mater. 2014, 73, 490–497. [Google Scholar] [CrossRef]
- Ismail, M.K.; Hassan, A.A.A.; Abdelaleem, B.H. Flexural behaviour of reinforced SCC beams containing recycled crumb rubber. In Proceedings of the 5th International Structural Specialty Conference, London, ON, Canada, 1–4 June 2016; Volume 11. [Google Scholar]
- Karthikeyan, R.; Narasimha Rao, R.P.; Kannan, S. Structural performance evaluation of rubberised concrete beams with micro-reinforcement. Aust. J. Struct. Eng. 2020, 21, 118–134. [Google Scholar] [CrossRef]
- Palaniappan, S.M.; Govindasamy, V.; Jabar, A.B. Experimental investigation on flexural performance of functionally graded concrete beams using flyash and red mud. Matéria 2021, 26, e12913. [Google Scholar] [CrossRef]
- Koizumi, M. FGM activities in Japan. Compos. Part B Eng. 1997, 28, 1–4. [Google Scholar] [CrossRef]
- Pratama, M.M.A.; Vertian, T.; Umniati, B.S.; Yoh, W.H. Flexural behaviour of the functionally graded concrete beams using two-layers and three-layers configuration. IOP Conf. Ser. Mater. Sci. Eng. 2019, 669, 012054. [Google Scholar] [CrossRef]
- Torelli, G.; Fernández, M.G.; Lees, J.M. Functionally graded concrete: Design objectives, production techniques and analysis methods for layered and continuously graded elements. Constr. Build. Mater. 2020, 242, 118040. [Google Scholar] [CrossRef]
- Bajaj, K.; Shrivastava, Y.; Dhoke, P. Experimental study of functionally graded beam with fly ash. J. Inst. Eng. (India) Ser. A 2013, 94, 219–227. [Google Scholar] [CrossRef]
- Liu, X.; Yan, M.; Galobardes, I.; Sikora, K. Assessing the potential of functionally graded concrete using fibre reinforced and recycled aggregate concrete. Constr. Build. Mater. 2018, 171, 793–801. [Google Scholar] [CrossRef]
- Choudhary, S.; Chaudhary, S.; Jain, A.; Gupta, R. Assessment of effect of rubber tyre fiber on functionally graded concrete. Mater. Today Proc. 2020, 28, 1496–1502. [Google Scholar] [CrossRef]
- Maalej, M.; Ahmed, S.F.; Paramasivam, P. Corrosion durability and structural response of functionally-graded concrete beams. J. Adv. Concr. Technol. 2003, 1, 307–316. [Google Scholar] [CrossRef]
- Naghibdehi, M.G.; Mastali, M.; Sharbatdar, M.K.; Naghibdehi, M.G. Flexural performance of functionally graded RC cross-section with steel and PP fibres. Mag. Concr. Res. 2014, 66, 219–233. [Google Scholar] [CrossRef]
- Sharaky, I.A.; Seleem, M.H.; Elamary, A.S. Minimizing the crumb rubber effects on the flexural behaviour of the layered RC beams cast using rubberized concrete with or without recycled tire steel fibers. Constr. Build. Mater. 2023, 400, 132503. [Google Scholar] [CrossRef]
- ASTM C39/C39M; Standard Test Method for Compressive Strength of Cylindrical Concrete Specimens. ASTM International: West Conshohocken, PA, USA, 2018.
- ASTM C469/C469M; Standard Test Method for Static Modulus of Elasticity and Poisson’s Ratio of Concrete in Compression. ASTM International: West Conshohocken, PA, USA, 2014.
- Ismail, M.K.; Hassan, A.A. Performance of full-scale self-consolidating rubberized concrete beams in flexure. ACI Mater. J. 2016, 113, 207–218. [Google Scholar] [CrossRef]
- Priestley, M.J.N.; Calvi, G.M.; Kowalsky, M.J.N. Displacement-Based Seismic Design of Structures; IUSS Press: Pavia, Italy, 2007. [Google Scholar]
- Mander, J.B.; Priestley, M.J.; Park, R. Theoretical stress-strain model for confined concrete. J. Struct. Eng. 1988, 114, 1804–1826. [Google Scholar] [CrossRef]
- CSA-A23.3; Design of Concrete Structures. CSA: Longueuil, QC, Canada, 2004.
- ACI 318-08; Building Code Requirements for Structural Concrete and Commentary. American Concrete Institute: Farmington Hills, MI, USA, 2008.
- Tomaszewicz, A. Betongens Arbeidsdiagram: SINTEF Rep. No. STF 65A84605; The Foundation for Industrial and Technical Research: Trondheim, Norway, 1984. [Google Scholar]
- Bompa, D.V.; Elghazouli, A.Y.; Xu, B.; Stafford, P.J.; Ruiz-Teran, A.M. Experimental assessment and constitutive modelling of rubberised concrete materials. Constr. Build. Mater. 2017, 137, 246–260. [Google Scholar] [CrossRef]
- Kytinou, V.K.; Chalioris, C.E.; Karayannis, C.G.; Elenas, A. Effect of steel fibers on the hysteretic performance of concrete beams with steel reinforcement—Tests and analysis. Materials 2020, 13, 2923. [Google Scholar] [CrossRef]
- Vecchio, F.J.; Collins, M.P. The modified compression-field theory for reinforced concrete elements subjected to shear. ACI J. 1986, 83, 219–231. [Google Scholar]
- ACI 318R-14; Committee 318-14, Building Code Requirements for Structural Concrete: An ACI Standard; Commentary on Building Code Requirements for Structural Concrete. American Concrete Institute (ACI): Farmington Hills, MI, USA, 2014.
- Abadel, A.; Abbas, H.; Almusallam, T.; Al-Salloum, Y.; Siddiqui, N. Mechanical properties of hybrid fibre-reinforced concrete–analytical modelling and experimental behaviour. Mag. Concr. Res. 2016, 68, 823–843. [Google Scholar] [CrossRef]
















| Ingredient/Mix ID. | P | Ru | RuSF | |
|---|---|---|---|---|
| Cement | 350 | 350 | 350 | |
| Natural aggregate | Red sand (0–1 mm) | 560 | 448 | 448 |
| Crushed (1–5 mm) | 240 | 192 | 192 | |
| Coarse (5–10 mm) | 330 | 264 | 264 | |
| Coarse (10–20 mm) | 715 | 572 | 572 | |
| Rubber aggregate | Fine (0–1 mm) | 0 | 29.2 | 29.2 |
| Fine (1–5 mm) | 0 | 12.5 | 12.5 | |
| Coarse (5–10 mm) | 0 | 18 | 18 | |
| Coarse (10–20 mm) | 0 | 39 | 39 | |
| Free water | 140 | 140 | 140 | |
| Superplasticizer (PCE 575) (L) | 2.8 | 3.5 | 5.25 | |
| Recycled tire steel fibers | 0 | 0 | 20 | |
| Manufactured steel fibers | 0 | 0 | 20 | |
| Property | Bar Diameter | |
|---|---|---|
| 8 mm | 12 mm | |
| Yield strength (MPa) | 518.3 | 550.2 |
| Ultimate strength (MPa) | 528.8 | 651.2 |
| Elastic modulus (GPa) | 190 | 201.4 |
| Designation | Beam Geometry (mm) | Stirrups (Dia. @ Spacing) | Flexural Steel | Concrete Mix | ||||
|---|---|---|---|---|---|---|---|---|
| L | D | W | Top | Bottom | Layer 1 a | Layer 2 b | ||
| P | 1500 | 180 | 120 | 8 @ 100 mm | Two 8 mm | Two 12 mm | P | |
| Ru | 1500 | 180 | 120 | 8 @ 100 mm | Two 8 mm | Two 12 mm | Ru | |
| RuSF | 1500 | 180 | 120 | 8 @ 100 mm | Two 8 mm | Two 12 mm | RuSF | |
| Ru + P | 1500 | 180 | 120 | 8 @ 100 mm | Two 8 mm | Two 12 mm | Ru | P |
| RuSF + P | 1500 | 180 | 120 | 8 @ 100 mm | Two 8 mm | Two 12 mm | RuSF | P |
| Mix | Compressive Strength (MPa) | Modulus of Elasticity (GPa) | Strain at Peak Strength (Micro-Strain) | |||||||||
|---|---|---|---|---|---|---|---|---|---|---|---|---|
| 1 | 2 | 3 | Average | 1 | 2 | 3 | Average | 1 | 2 | 3 | Average | |
| P | 47.5 | 49.0 | 48.8 | 48.4 | 30.0 | 32.3 | 31.0 | 31.1 | 2245 | 2265 | 2390 | 2300.0 |
| Ru | 27.4 | 29.0 | 24.5 | 27.0 | 21.7 | 21.2 | 20.4 | 21.1 | 2040 | 1790 | 1820 | 1883.3 |
| RuSF | 34.1 | 30.6 | 31.8 | 32.2 | 22.9 | 21.4 | 23.6 | 22.6 | 2085 | 2240 | 2015 | 2113.3 |
Disclaimer/Publisher’s Note: The statements, opinions and data contained in all publications are solely those of the individual author(s) and contributor(s) and not of MDPI and/or the editor(s). MDPI and/or the editor(s) disclaim responsibility for any injury to people or property resulting from any ideas, methods, instructions or products referred to in the content. |
© 2024 by the authors. Licensee MDPI, Basel, Switzerland. This article is an open access article distributed under the terms and conditions of the Creative Commons Attribution (CC BY) license (https://creativecommons.org/licenses/by/4.0/).
Share and Cite
Albidah, A.S.; Alsaif, A.S. Flexural Response of Functionally Graded Rubberized Concrete Beams. Materials 2024, 17, 1931. https://doi.org/10.3390/ma17081931
Albidah AS, Alsaif AS. Flexural Response of Functionally Graded Rubberized Concrete Beams. Materials. 2024; 17(8):1931. https://doi.org/10.3390/ma17081931
Chicago/Turabian StyleAlbidah, Abdulrahman S., and Abdulaziz S. Alsaif. 2024. "Flexural Response of Functionally Graded Rubberized Concrete Beams" Materials 17, no. 8: 1931. https://doi.org/10.3390/ma17081931
APA StyleAlbidah, A. S., & Alsaif, A. S. (2024). Flexural Response of Functionally Graded Rubberized Concrete Beams. Materials, 17(8), 1931. https://doi.org/10.3390/ma17081931

